Assessment of Contents and Health Impacts of Four Metals in Chongming Asparagus—Geographical and Seasonal Aspects
Abstract
:1. Introduction
2. Materials and Methods
2.1. Description of the Study Area
2.2. Sample Collection
2.3. Sample Processing and Analysis
2.4. Metal Pollution and Risk Assessment Methods
2.4.1. Bio-Concentration Factors
2.4.2. Pollution Index
2.4.3. Geo-Accumulation Index
2.4.4. Human Health Risk Assessment Methods
2.5. Data Processing and Analysis
3. Results and Discussion
3.1. Contents of Metals
3.2. Bio-Concentration Factor
3.3. Single Factor and Comprehensive Pollution Index
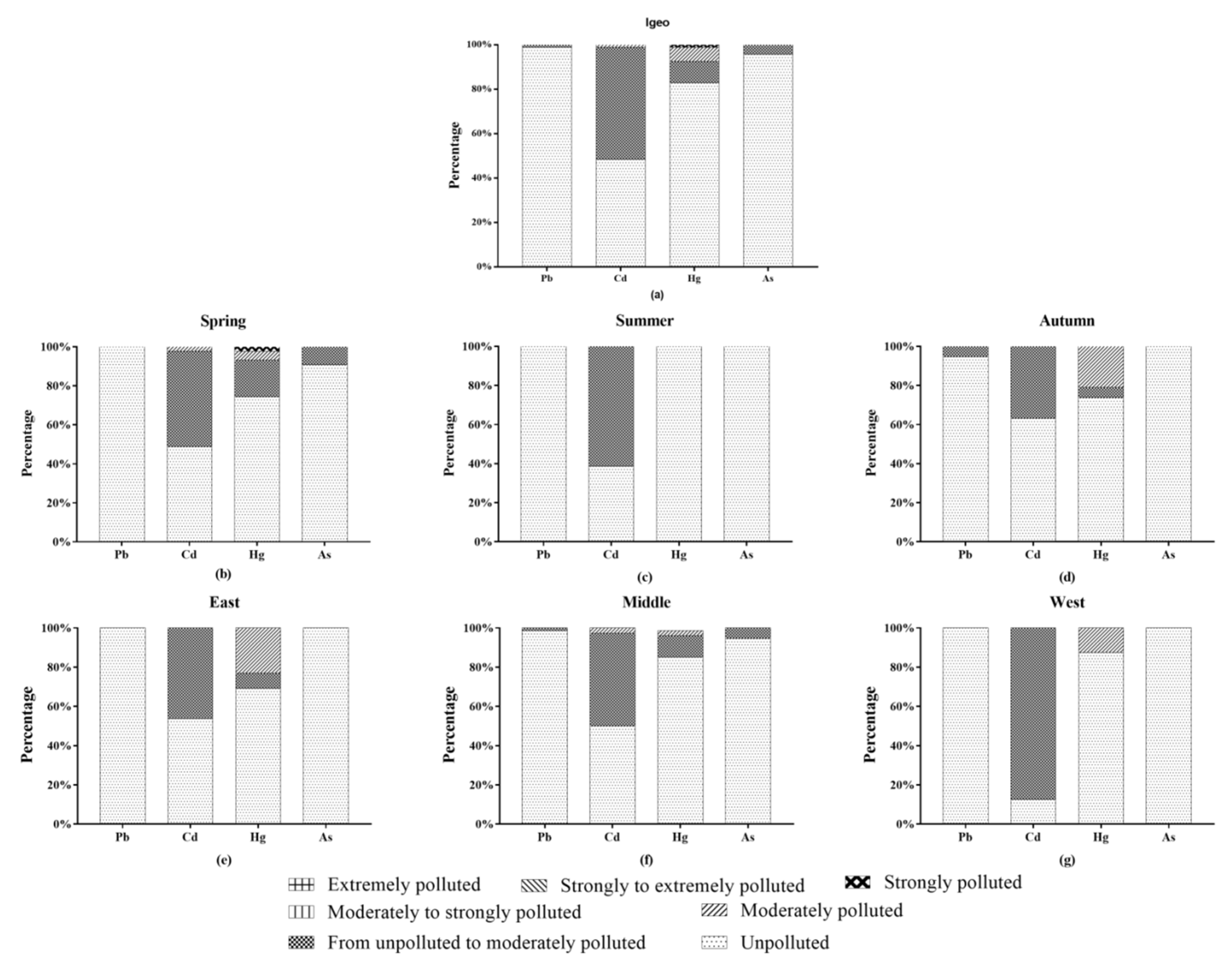
3.4. Geo-Accumulation Index of Chongming Asparagus Planting Soil
3.5. Human Health Risk Assessment of Chongming Asparagus
4. Conclusions
Author Contributions
Funding
Data Availability Statement
Conflicts of Interest
References
- Li, X.; Zhang, J.; Gong, Y.; Liu, Q.; Yang, S.; Ma, J.; Zhao, L.; Hou, H. Status of copper accumulation in agricultural soils across China (1985–2016). Chemosphere 2020, 244, 125516. [Google Scholar] [CrossRef] [PubMed]
- Miao, X.Y.; Hao, Y.P.; Zhang, F.W.; Zou, S.Z.; Ye, S.Y.; Xie, Z.Q. Spatial distribution of heavy metals and their potential sources in the soil of Yellow River Delta: A traditional oil field in China. Environ. Geochem. Health 2020, 42, 709. [Google Scholar] [CrossRef] [PubMed] [Green Version]
- Wang, S.Y.; Kalkhajeh, Y.K.; Qin, Z.R.; Jiao, W.T. Spatial distribution and assessment of the human health risks of heavy metals in a retired petrochemical industrial area, south China. Environ. Res. 2020, 188, 109661. [Google Scholar] [CrossRef]
- Ren, Z.Q.; Xiao, R.; Zhang, Z.H.; Lv, X.N.; Fei, X.F. Risk assessment and source identification of heavy metals in agricultural soil: A case study in the coastal city of Zhejiang Province, China. Stoch. Environ. Res. Risk A 2019, 33, 2109–2118. [Google Scholar] [CrossRef]
- Garcia-Carmona, M.; Romero-Freire, A.; Aragon, M.S.; Garzon, F.J.M.; Peinado, F.J.M. Evaluation of remediation techniques in soils affected by residual contamination with heavy metals and arsenic. J. Environ. Manag. 2017, 191, 228–236. [Google Scholar] [CrossRef]
- Tian, S.Q.; Wang, S.J.; Bai, X.Y.; Zhou, D.Q.; Luo, G.J.; Yang, Y.J.; Hu, Z.Y.; Li, C.J.; Deng, Y.H.; Lu, Q. Ecological security and health risk assessment of soil heavy metals on a village-level scale, based on different land use types. Environ. Geochem. Health 2020, 42, 3393–3413. [Google Scholar] [CrossRef]
- Huang, Y.; Chen, Q.Q.; Deng, M.H.; Japenga, J.; Li, T.Q.; Yang, X.E.; He, Z. Heavy metal pollution and health risk assessment of agricultural soils in a typical peri-urban area in southeast China. J. Environ. Manag. 2018, 207, 159–168. [Google Scholar] [CrossRef]
- Borah, P.; Gujre, N.; Rene, E.R.; Rangan, L.; Paul, R.K.; Karak, T.; Mitra, S. Assessment of mobility and environmental risks associated with copper, manganese and zinc in soils of a dumping site around a Ramsar site. Chemosphere 2020, 254, 126852. [Google Scholar] [CrossRef]
- Zuzolo, D.; Cicchella, D.; Catani, V.; Giaccio, L.; Guagliardi, I.; Esposito, L.; De Vivo, B. Assessment of potentially harmful elements pollution in the Calore River basin (Southern Italy). Environ. Geochem. Health 2017, 39, 531–548. [Google Scholar] [CrossRef]
- Zhang, T.; Liu, F.; Yu, X.; Jiang, X.; Cui, Y.; Li, M. Risk assessment and ecotoxicological diagnosis of soil from a chemical industry park in Nanjing, China. Ecotoxicology 2021, 30, 1303–1314. [Google Scholar] [CrossRef]
- Jadoon, S.; Muhammad, S.; Hilal, Z.; Ali, M.; Khan, S.; Khattak, N.U. Spatial distribution of potentially toxic elements in urban soils of Abbottabad city, (N Pakistan): Evaluation for potential risk. Microchem. J. 2020, 153. [Google Scholar] [CrossRef]
- Kim, N.H.; Hyun, Y.Y.; Lee, K.B.; Chang, Y.; Rhu, S.; Oh, K.H.; Ahn, C. Environmental heavy metal exposure and chronic kidney disease in the general population. J. Korean Med. Sci. 2015, 30, 272–277. [Google Scholar] [CrossRef] [PubMed] [Green Version]
- Guagliardi, I.; Cicchella, D.; De Rosa, R.; Buttafuoco, G. Assessment of lead pollution in topsoils of a southern Italy area: Analysis of urban and peri-urban environment. J. Environ. Sci. China 2015, 33, 179–187. [Google Scholar] [CrossRef] [PubMed]
- Kaufmann, R.B.; Staes, C.J.; Matte, T.D. Deaths related to lead poisoning in the United States, 1979-1998. Environ. Res. 2003, 91, 78–84. [Google Scholar] [CrossRef]
- Zukowska, J.; Biziuk, M. Methodological evaluation of method for dietary heavy metal intake. J. Food Sci. 2008, 73, R21–R29. [Google Scholar] [CrossRef]
- Qing, X.; Yutong, Z.; Shenggao, L. Assessment of heavy metal pollution and human health risk in urban soils of steel industrial city (Anshan), Liaoning, Northeast China. Ecotoxicol. Environ. Saf. 2015, 120, 377–385. [Google Scholar] [CrossRef]
- Sun, R.; Chen, L. Assessment of heavy metal pollution in topsoil around Beijing metropolis. PLoS ONE 2016, 11, e0155350. [Google Scholar] [CrossRef]
- Wang, X.; Zhang, C.; Wang, C.; Zhu, Y.; Cui, Y. Probabilistic-fuzzy risk assessment and source analysis of heavy metals in soil considering uncertainty: A case study of Jinling Reservoir in China. Ecotoxicol. Environ. Saf. 2021, 222, 112537. [Google Scholar] [CrossRef]
- Lee, C.S.; Li, X.; Shi, W.; Cheung, S.C.; Thornton, I. Metal contamination in urban, suburban, and country park soils of Hong Kong: A study based on GIS and multivariate statistics. Sci. Total Environ. 2006, 356, 45–61. [Google Scholar] [CrossRef] [Green Version]
- Han, Y.; Xie, H.T.; Liu, W.B.; Li, H.F.; Wang, M.J.; Chen, X.B.; Liao, X.; Yan, N. Assessment of pollution of potentially harmful elements in soils surrounding a municipal solid waste incinerator, China. Front. Environ. Sci. Eng. 2016, 10, 1–11. [Google Scholar] [CrossRef]
- Hughes, M.F. Arsenic toxicity and potential mechanisms of action. Toxicol. Lett. 2002, 133, 1–16. [Google Scholar] [CrossRef] [Green Version]
- Buttafuoco, G.; Tarvainen, T.; Jarva, J.; Guagliardi, I. Spatial variability and trigger values of arsenic in the surface urban soils of the cities of Tampere and Lahti, Finland. Environ. Earth Sci. 2016, 75, 896. [Google Scholar] [CrossRef]
- Pellegrini, N.; Serafini, M.; Colombi, B.; Del Rio, D.; Salvatore, S.; Bianchi, M.; Brighenti, F. Total antioxidant capacity of plant foods, beverages and oils consumed in Italy assessed by three different in vitro assays. J. Nutr. 2003, 133, 2812–2819. [Google Scholar] [CrossRef] [PubMed] [Green Version]
- Rodriguez, R.; Jaramillo, S.; Rodriguez, G.; Espejo, J.A.; Guillen, R.; Fernandez-Bolanos, J.; Heredia, A.; Jimenez, A. Antioxidant activity of ethanolic extracts from several asparagus cultivars. J. Agric. Food Chem. 2005, 53, 5212–5217. [Google Scholar] [CrossRef] [PubMed]
- Zhong, C.; Jiang, C.; Xia, X.; Mu, T.; Wei, L.; Lou, Y.; Zhang, X.; Zhao, Y.; Bi, X. Antihepatic fibrosis effect of active components isolated from green asparagus (Asparagus officinalis L.) involves the inactivation of hepatic stellate cells. J. Agric. Food Chem. 2015, 63, 6027–6034. [Google Scholar] [CrossRef] [PubMed]
- Al Mamun, A.; Hossain, M.; Uddin, M.S.; Tanjir Islam, M.; Hossain, S.; Hossain, M.S.; Hossain, M.F.; Rahman Sujan, A.; Rashid, M.; Rahman, M.M.; et al. Comparison of the Hypoglycemic, Hypolipidemic and Hepatoprotective Effects of Asparagus racemosus Linn. in Combination with Gliclazide and Pioglitazone on Alloxan-Induced Diabetic Rats. Pharmacol. Pharm. 2017, 8, 52–74. [Google Scholar] [CrossRef] [Green Version]
- Nakabayashi, R.; Yamada, Y.; Nishizawa, T.; Mori, T.; Asano, T.; Kuwabara, M.; Saito, K. Tandem mass spectrum similarity-based network analysis using C-13-labeled and non-labeled metabolome data to identify the biosynthetic pathway of the blood pressure-lowering asparagus metabolite asparaptine A. J. Agric. Food Chem. 2021, 69, 8571–8577. [Google Scholar] [CrossRef]
- Xu, G.; Kong, W.; Fang, Z.; Fan, Y.; Yin, Y.; Sullivan, S.A.; Tran, A.Q.; Clark, L.H.; Sun, W.; Hao, T.; et al. Asparagus officinalis Exhibits Anti-Tumorigenic and Anti-Metastatic Effects in Ovarian Cancer. Front. Oncol. 2021, 11, 688461. [Google Scholar] [CrossRef]
- Hafizur, R.M.; Kabir, N.; Chishti, S. Asparagus officinalis extract controls blood glucose by improving insulin secretion and beta-cell function in streptozotocin-induced type 2 diabetic rats. Brit. J. Nutr. 2012, 108, 1586–1595. [Google Scholar] [CrossRef] [Green Version]
- Wang, J.; Liu, Y.; Zhao, J.; Zhang, W.; Pang, X. Saponins extracted from by-product of Asparagus officinalis L. suppress tumour cell migration and invasion through targeting Rho GTPase signalling pathway. J. Sci. Food Agric. 2013, 93, 1492–1498. [Google Scholar] [CrossRef]
- Hamdi, A.; Jaramillo-Carmona, S.; Rodriguez-Arcos, R.; Jimenez-Araujo, A.; Lachaal, M.; Karray-Bouraoui, N.; Guillen-Bejarano, R. Phytochemical Characterization and Bioactivity of Asparagus acutifolius: A Focus on Antioxidant, Cytotoxic, Lipase Inhibitory and Antimicrobial Activities. Molecules 2021, 26, 3328. [Google Scholar] [CrossRef] [PubMed]
- Kowalska, J.B.; Mazurek, R.; Gasiorek, M.; Zaleski, T. Pollution indices as useful tools for the comprehensive evaluation of the degree of soil contamination-A review. Environ. Geochem. Health 2018, 40, 2395–2420. [Google Scholar] [CrossRef] [PubMed] [Green Version]
- Li, Y.L.; Wang, L.; Zhang, W.Q.; Zhang, S.P.; Wang, H.L.; Fu, X.H.; Le, Y.Q. Variability of soil carbon sequestration capability and microbial activity of different types of salt marsh soils at Chongming Dongtan. Ecol. Eng. 2010, 36, 1754–1760. [Google Scholar] [CrossRef]
- Liu, L.; Li, D.Z.; Sun, Y.M.; Zhu, Y.Y.; Li, L.L.; Ren, Z.X.; Kong, R.P.; Jia, P.; Peng, N.A.; Jia, J.; et al. Pattern of soil extracellular enzyme activities along a tidal wetland with mosaic vegetation distributions in Chongming Island, China. J. Clean. Prod. 2021, 315, 127991. [Google Scholar] [CrossRef]
- Loska, K.; Wiechula, D.; Korus, I. Metal contamination of farming soils affected by industry. Environ. Int. 2004, 30, 159–165. [Google Scholar] [CrossRef]
- Zahra, A.; Hashmi, M.Z.; Malik, R.N.; Ahmed, Z. Enrichment and geo-accumulation of heavy metals and risk assessment of sediments of the Kurang Nallah-feeding tributary of the Rawal Lake Reservoir, Pakistan. Sci. Total Environ. 2014, 470–471, 925–933. [Google Scholar] [CrossRef]
- Zhang, H.; Zhang, F.; Song, J.; Tan, M.L.; Kung, H.T.; Johnson, V.C. Pollutant source, ecological and human health risks assessment of heavy metals in soils from coal mining areas in Xinjiang, China. Environ. Res. 2021, 202, 111702. [Google Scholar] [CrossRef]
- Wei, P.R.; Shao, T.J.; Wang, R.J.; Chen, Z.Y.; Zhang, Z.D.; Xu, Z.P.; Zhu, Y.D.; Li, D.Z.; Fu, L.J.; Wang, F.E. A Study on Heavy Metals in the Surface Soil of the Region around the Qinghai Lake in Tibet Plateau: Pollution Risk Evaluation and Pollution Source Analysis. Water Sui 2020, 12, 3277. [Google Scholar] [CrossRef]
- U.S. EPA. Exposure Factors Handbook 2011 Edition; Final Report; EPA/600/R-09/052F; U.S. Environmental Protection Agency: Washington, DC, USA, 2011.
- Xiang, M.; Li, Y.; Yang, J.; Lei, K.; Li, Y.; Li, F.; Zheng, D.; Fang, X.; Cao, Y. Heavy metal contamination risk assessment and correlation analysis of heavy metal contents in soil and crops. Environ. Pollut. 2021, 278, 116911. [Google Scholar] [CrossRef]
- Dolezalova Weissmannova, H.; Mihocova, S.; Chovanec, P.; Pavlovsky, J. Potential Ecological Risk and Human Health Risk Assessment of Heavy Metal Pollution in Industrial Affected Soils by Coal Mining and Metallurgy in Ostrava, Czech Republic. Int. J. Environ. Res. Public Health 2019, 16, 4495. [Google Scholar] [CrossRef] [Green Version]
- U.S. EPA. Soil Screening Guidance: Technical Background Document; U.S. Environmental Protection Agency: Washington, DC, USA, 1996.
- Dago, A.; Gonzalez, I.; Arino, C.; Martinez-Coronado, A.; Higueras, P.; Diaz-Cruz, J.M.; Esteban, M. Evaluation of mercury stress in plants from the Almaden mining district by analysis of phytochelatins and their Hg complexes. Environ. Sci. Technol. 2014, 48, 6256–6263. [Google Scholar] [CrossRef] [PubMed] [Green Version]
- Wang, X.; Sato, T.; Xing, B.; Tao, S. Health risks of heavy metals to the general public in Tianjin, China via consumption of vegetables and fish. Sci. Total Environ. 2005, 350, 28–37. [Google Scholar] [CrossRef] [PubMed]
- Kirkillis, C.G.; Pasias, I.N.; Miniadis-Meimaroglou, S.; Thomaidis, N.S.; Zabetakis, I. Concentration Levels of Trace Elements in Carrots, Onions, and Potatoes Cultivated in Asopos Region, Central Greece. Anal. Lett. 2012, 45, 551–562. [Google Scholar] [CrossRef]
- Conversa, G.; Miedico, O.; Chiaravalle, A.E.; Elia, A. Heavy metal contents in green spears of asparagus (Asparagus officinalis L.) grown in Southern Italy: Variability among farms, genotypes and effect of soil mycorrhizal inoculation. Sci. Hortic. 2019, 256, 108559. [Google Scholar] [CrossRef]
- Yang, Q.W.; Xu, Y.; Liu, S.J.; He, J.F.; Long, F.Y. Concentration and potential health risk of heavy metals in market vegetables in Chongqing, China. Ecotox. Environ. Safe 2011, 74, 1664–1669. [Google Scholar] [CrossRef]
- Sun, C.; Bi, C.J.; Chen, Z.L.; Wang, D.Q.; Zhang, C.; Sun, Y.D.; Yu, Z.J.; Zhou, D. Assessment on environmental quality of heavy metals in agricultural soils of Chongming Island, Shanghai City. J. Geogr. Sci. 2010, 20, 135–147. [Google Scholar] [CrossRef]
- Sawut, R.; Kasim, N.; Maihemuti, B.; Hu, L.; Abliz, A.; Abdujappar, A.; Kurban, M. Pollution characteristics and health risk assessment of heavy metals in the vegetable bases of northwest China. Sci. Total Environ. 2018, 642, 864–878. [Google Scholar] [CrossRef]
- Liu, X.; Song, Q.; Tang, Y.; Li, W.; Xu, J.; Wu, J.; Wang, F.; Brookes, P.C. Human health risk assessment of heavy metals in soil-vegetable system: A multi-medium analysis. Sci. Total Environ. 2013, 463–464, 530–540. [Google Scholar] [CrossRef]
- Li, C.; Sun, G.; Wu, Z.; Zhong, H.; Wang, R.; Liu, X.; Guo, Z.; Cheng, J. Soil physiochemical properties and landscape patterns control trace metal contamination at the urban-rural interface in southern China. Environ. Pollut. 2019, 250, 537–545. [Google Scholar] [CrossRef]
- Hu, W.; Huang, B.; Borggaard, O.K.; Ye, M.; Tian, K.; Zhang, H.; Holm, P.E. Soil threshold values for cadmium based on paired soil-vegetable content analyses of greenhouse vegetable production systems in China: Implications for safe food production. Environ. Pollut. 2018, 241, 922–929. [Google Scholar] [CrossRef]
- Gan, Y.; Wang, L.; Yang, G.; Dai, J.; Wang, R.; Wang, W. Multiple factors impact the contents of heavy metals in vegetables in high natural background area of China. Chemosphere 2017, 184, 1388–1395. [Google Scholar] [CrossRef] [PubMed]
- Salam, M.A.; Alam, M.A.; Paul, S.I.; Islam, F.; Shaha, D.C.; Rahman, M.M.; Khan, M.A.R.; Rahman, M.M.; Islam, A.M.A.; Ahamed, T.; et al. Assessment of Heavy Metals in the Sediments of Chalan Beel Wetland Area in Bangladesh. Processes 2021, 9, 410. [Google Scholar] [CrossRef]
- Biddau, R.; Cidu, R. Metals and Metalloids in Wild Asparagus at Uncontaminated and Mining-Contaminated Sites. J. Environ. Qual. 2017, 46, 320–329. [Google Scholar] [CrossRef] [PubMed]
- Li, Y.Y.; Yuan, Y.; Sun, C.J.; Sun, T.; Liu, X.L.; Li, J.B.; Fang, L.; Fan, Z.Q. Heavy metals in soil of an urban industrial zone in a metropolis: Risk assessment and source apportionment. Stoch. Environ. Res. Risk A 2020, 34, 435–446. [Google Scholar] [CrossRef]
- Ariano, A.; Marrone, R.; Andreini, R.; Smaldone, G.; Velotto, S.; Montagnaro, S.; Anastasio, A.; Severino, L. Metal Concentration in Muscle and Digestive Gland of Common Octopus (Octopus vulgaris) from Two Coastal Site in Southern Tyrrhenian Sea (Italy). Molecules 2019, 24, 2401. [Google Scholar] [CrossRef] [Green Version]







| Single-Factor Pollution Index | Nemerow Pollution Index | ||
|---|---|---|---|
| Index | Pollution Level | NPI | Pollution Level |
| SFPI ≤ 1 | Non-polluted | NPI ≤ 0.7 | Clean (safe) |
| 1 < SFPI ≤ 2 | Slightly | 0.7 < NPI ≤ 1 | Still clean (cordon) |
| 2 < SFPI ≤ 3 | Moderate | 1 < NPI ≤ 2 | Slightly |
| SFPI > 5 | Heavy | 2 < NPI ≤ 3 | Moderate |
| NPI > 3 | Heavy | ||
| Igeo | Pollution Category |
|---|---|
| Igeo ≤ 0 | Unpolluted |
| 0 < Igeo ≤ 1 | From unpolluted to moderately polluted |
| 1 < Igeo ≤ 2 | Moderately polluted |
| 2 < Igeo ≤ 3 | Moderately to strongly polluted |
| 3 < Igeo ≤ 4 | Strongly polluted |
| 4 < Igeo ≤ 5 | Strongly to extremely polluted |
| Igeo > 5 | Extremely polluted |
| Parameter | Definition | Value | Indicator Source |
|---|---|---|---|
| Ef (d/a) | Exposure frequency | 350 | [39] |
| ED (a) | Exposure period | Adult: 24 | [38] |
| Child: 6 | |||
| EIR (mg/d) | Ingestion rate | Adult: 100 | [38] |
| Child: 200 | |||
| c (mg/kg) | Concentration of metal | This study | This study |
| RfD (mg·kg−1·d−1) | Reference dose | Pb: 0.0035 | Cd, Pb, As: [40] Hg: [41] |
| Cd: 0.001 | |||
| Hg: 0.0003 | |||
| As: 0.03 | |||
| WAB (kg) | Body weight | Adult: 56.8 | [38] |
| Child: 15.9 | |||
| TA-non-carcinogenic (days) | Total time of non-cancer risk exposure | Adult: 24 × 365 | [42] |
| Child: 6 × 365 | |||
| TA-carcinogenic (days) | Total time of cancer risk exposure | Adult: 26,280 | [38] |
| Child: 26,280 | |||
| SF(μg·g−1·day−1) | Slope factor | Cd: 6.1, As: 1.5 | [38] |
| Pb | Cd | Hg | As | ||
|---|---|---|---|---|---|
| Spring | East | 0.0011 ± 0.0010 | 0.0254 ± 0.0203 | 0.0034 ± 0.0020 | 0.0003 ± 0.0001 |
| West | 0.0002 ± 0.0001 | 0.0313 ± 0.0149 | 0.0026 ± 0.0007 | 0.0003 ± 0.0000 | |
| Middle | 0.0003 ± 0.0002 | 0.0183 ± 0.0178 | 0.0057 ± 0.0105 | 0.0003 ± 0.0001 | |
| Summer | East | 0.0004 ± 0.0002 | 0.0587 ± 0.0113 | 0.0062 ± 0.0009 | 0.0021 ± 0.0008 |
| West | 0.0007 ± 0.0000 | 0.0499 ± 0.0124 | 0.0078 ± 0.0031 | 0.0027 ± 0.0012 | |
| Middle | 0.0007 ± 0.0005 | 0.0680 ± 0.0708 | 0.0082 ± 0.0036 | 0.0011 ± 0.0006 | |
| Autumn | East | 0.0096 ± 0.0093 | 0.0592 ± 0.0182 | 0.0152 ± 0.0017 | 0.0080 ± 0.0008 |
| West | 0.0003 ± 0.0003 | 0.0574 ± 0.0082 | 0.0139 ± 0.0067 | 0.0110 ± 0.0084 | |
| Middle | 0.0032 ± 0.0094 | 0.0591 ± 0.0396 | 0.1055 ± 0.1314 | 0.0033 ± 0.0030 |
| Asparagus | Soil | ||||
|---|---|---|---|---|---|
| Season | Region | Pollution Index | Pollution Level | Pollution Index | Pollution Level |
| Spring | East | 0.2208 ± 0.2027 | Clean | 0.4846 ± 0.099 | Clean |
| Middle | 0.0915 ± 0.0916 | Clean | 0.5413 ± 0.1567 | Clean | |
| West | 0.0632 ± 0.0252 | Clean | 0.5918 ± 0.0803 | Clean | |
| Summer | East | 0.1089 ± 0.0145 | Clean | 0.5098 ± 0.0865 | Clean |
| Middle | 0.1211 ± 0.0759 | Clean | 0.4847 ± 0.1136 | Clean | |
| West | 0.1108 ± 0.0037 | Clean | 0.5412 ± 0.0301 | Clean | |
| Autumn | East | 0.4392 ± 0.0453 | Clean | 0.4542 ± 0.1112 | Clean |
| Middle | 1.0395 ± 2.0091 | Slightly | 0.5275 ± 0.3349 | Clean | |
| West | 0.4718 ± 0.3637 | Clean | 0.5368 ± 0.0016 | Clean | |
Publisher’s Note: MDPI stays neutral with regard to jurisdictional claims in published maps and institutional affiliations. |
© 2022 by the authors. Licensee MDPI, Basel, Switzerland. This article is an open access article distributed under the terms and conditions of the Creative Commons Attribution (CC BY) license (https://creativecommons.org/licenses/by/4.0/).
Share and Cite
Xu, N.; Zhang, H.; Jia, J.; Li, H.; Zhu, Z.; Fu, S.; Wang, Y. Assessment of Contents and Health Impacts of Four Metals in Chongming Asparagus—Geographical and Seasonal Aspects. Foods 2022, 11, 624. https://doi.org/10.3390/foods11050624
Xu N, Zhang H, Jia J, Li H, Zhu Z, Fu S, Wang Y. Assessment of Contents and Health Impacts of Four Metals in Chongming Asparagus—Geographical and Seasonal Aspects. Foods. 2022; 11(5):624. https://doi.org/10.3390/foods11050624
Chicago/Turabian StyleXu, Naifeng, Hongxia Zhang, Jingze Jia, Hao Li, Zhaoxiang Zhu, Shuge Fu, and Yuanfeng Wang. 2022. "Assessment of Contents and Health Impacts of Four Metals in Chongming Asparagus—Geographical and Seasonal Aspects" Foods 11, no. 5: 624. https://doi.org/10.3390/foods11050624
APA StyleXu, N., Zhang, H., Jia, J., Li, H., Zhu, Z., Fu, S., & Wang, Y. (2022). Assessment of Contents and Health Impacts of Four Metals in Chongming Asparagus—Geographical and Seasonal Aspects. Foods, 11(5), 624. https://doi.org/10.3390/foods11050624

