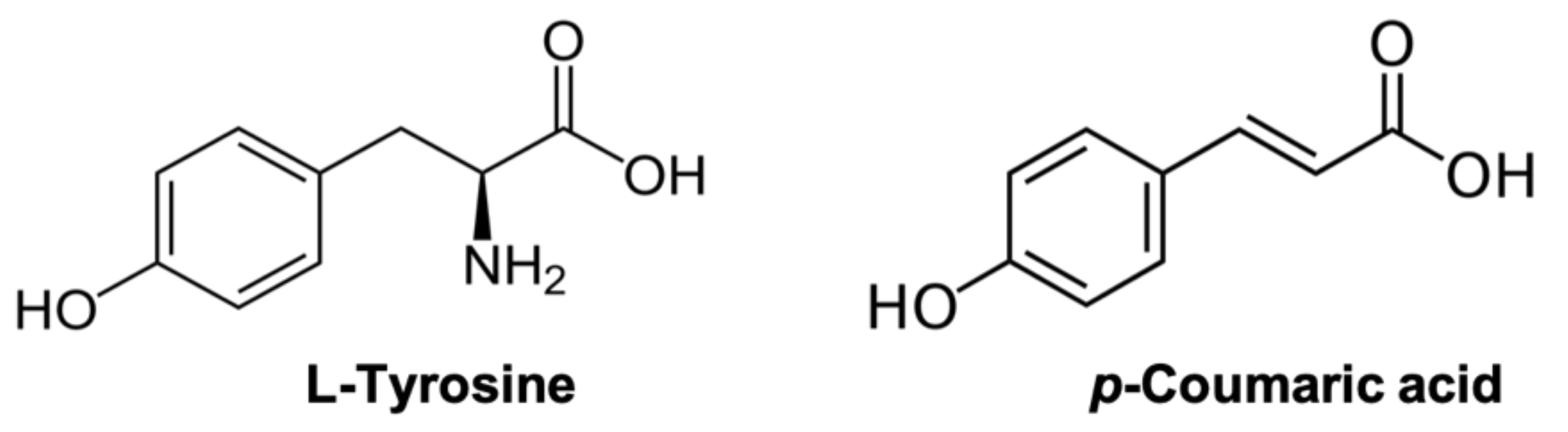
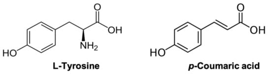
The Effect of p-Coumaric Acid on Browning Inhibition in Potato Polyphenol Oxidase-Catalyzed Reaction Mixtures
Abstract
1. Introduction
2. Materials and Methods
2.1. Materials
2.2. Preparation of Fresh Potato Juice
2.3. Preparation of Semi-Purified PPO
2.4. Quantification of Color Formation
2.5. Evaluation of Tyrosine Effect on Color Development in Model Potato Juice
2.6. Determination of pCA Concentration Effect on Color Formation in a Model and Fresh Potato Juice System
2.7. Determination of pCA and/or βCyD Effect on Color Formation in a Model and Fresh Potato Juice System
2.8. Effect of Juice Concentration on pCA and/or βCyD Inhibition of Color Formation
2.9. Effect of Tropolone on Color Formation in pCA-Containing Fresh Potato Juice
2.10. Statistical Analysis
3. Results and Discussion
4. Conclusions
Author Contributions
Funding
Institutional Review Board Statement
Informed Consent Statement
Data Availability Statement
Conflicts of Interest
References
- Queiroz, C.; Mendes Lopes, M.L.; Fialho, E.; Valente-Mesquita, V.L. Polyphenol oxidase: Characteristics and mechanisms of browning control. Food Rev. Int. 2008, 24, 361–375. [Google Scholar] [CrossRef]
- Croguennec, T. Enzymatic browning. In Handbook of Food Science and Technology 1: Food Alteration and Food Quality, 1st ed.; Jeantet, R., Croguennec, T., Schuck, P., Brulé, G., Eds.; John Wiley & Sons, Inc.: Hoboken, NJ, USA, 2016; pp. 159–181. [Google Scholar]
- Sapers, G.M.; Hicks, K.B.; Phillips, J.G.; Garzarella, L.; Pondish, D.L.; Matulaitis, R.M.; McCormack, T.J.; Sondey, S.M.; Seib, P.A.; Ei-Atawy, Y.S. Control of enzymatic browning in apple with ascorbic acid derivatives, polyphenol oxidase inhibitors, and complexing agents. J. Food Sci. 1989, 54, 997–1002. [Google Scholar] [CrossRef]
- Ali, H.M.; El-Gizawy, A.M.; El-Bassiouny, R.E.I.; Saleh, M.A. Browning inhibition mechanisms by cysteine, ascorbic acid and citric acid, and identifying PPO-catechol-cysteine reaction products. J. Food Sci. Technol. 2014, 52, 3651–3659. [Google Scholar] [CrossRef]
- Kuijpers, T.F.M.; Narváez-Cuenca, C.E.; Vincken, J.P.; Verloop, A.J.W.; van Berkel, W.J.H.; Gruppen, H. Inhibition of enzymatic browning of chlorogenic acid by sulfur-containing compounds. J. Agric. Food Chem. 2012, 60, 3507–3514. [Google Scholar] [CrossRef]
- Yoruk, R.; Marshall, M.R. Physicochemical properties and function of plant polyphenol oxidase: A review. J. Food Biochem. 2003, 27, 361–422. [Google Scholar] [CrossRef]
- Jiang, S.; Penner, M.H. The nature of β-cyclodextrin inhibition of potato polyphenol oxidase-catalyzed reactions. Food Chem. 2019, 298, 125004. [Google Scholar] [CrossRef]
- Macrae, A.R.; Duggleby, R.G. Substrates and inhibitors of potato tuber phenolase. Phytochemistry 1968, 7, 855–861. [Google Scholar] [CrossRef]
- Shi, Y.; Chen, Q.; Wang, Q.; Song, K.; Qiu, L. Inhibitory effects of cinnamic acid and its derivatives on the diphenolase activity of mushroom (Agaricus bisporus) tyrosinase. Food Chem. 2005, 92, 707–712. [Google Scholar] [CrossRef]
- Walker, J.R.L.; Wilson, E.L. Studies on the enzymatic browning of apples. Inhibition of apple o-diphenol oxidase by phenolic acids. J. Sci. Food Agric. 1975, 26, 1825–1831. [Google Scholar] [CrossRef]
- De Jesus Rivas, N.; Whitaker, J.R. Purification and some properties of two polyphenol oxidases from Bartlett pears. Plant Physiol. 1973, 52, 501–507. [Google Scholar] [CrossRef]
- Lim, J.Y.; Ishiguro, K.; Kubo, I. Tyrosinase inhibitory p-coumaric acid from ginseng leaves. Phytother. Res. 1999, 13, 371–375. [Google Scholar] [CrossRef]
- Robert, C.; Rouch, C.; Cadet, F. Inhibition of palmito (Acanthophoenix rubra) polyphenol oxidase by carboxylic acids. Food Chem. 1997, 59, 355–360. [Google Scholar] [CrossRef]
- Chang, T.S. Natural melanogenesis inhibitors acting through the down-regulation of tyrosinase activity. Materials 2012, 5, 1661–1685. [Google Scholar] [CrossRef]
- Garcia-Jimenez, A.; Munoz-Munoz, J.L.; García-Molina, F.; Teruel-Puche, J.A.; García-Cánovas, F. Spectrophotometric characterization of the action of tyrosinase on p -coumaric and caffeic acids: Characteristics of o-caffeoquinone. J. Agric. Food Chem. 2017, 65, 3378–3386. [Google Scholar] [CrossRef] [PubMed]
- Chang, T.S. An updated review of tyrosinase inhibitors. Int. J. Mol. Sci. 2009, 10, 2440–2475. [Google Scholar] [CrossRef]
- Saisung, P.; Theerakulkait, C. Inhibitory effect of pineapple shell extract and its ultrafiltered fractions on polyphenol oxidase activity and browning in fresh-cut banana slices. CyTA-J. Food 2011, 9, 37–42. [Google Scholar] [CrossRef][Green Version]
- Sukhonthara, S.; Kaewka, K.; Theerakulkait, C. Inhibitory effect of rice bran extracts and its phenolic compounds on polyphenol oxidase activity and browning in potato and apple puree. Food Chem. 2016, 190, 922–927. [Google Scholar] [CrossRef]
- Hu, Y.H.; Chen, Q.X.; Cui, Y.; Gao, H.J.; Xu, L.; Yu, X.Y.; Wang, Y.; Yan, C.L.; Wang, Q. 4-Hydroxy cinnamic acid as mushroom preservation: Anti-tyrosinase activity kinetics and application. Int. J. Biol. Macromol. 2016, 86, 489–495. [Google Scholar] [CrossRef]
- Choi, S.W.; Lee, S.K.; Kim, E.O.; Oh, J.H.; Yoon, K.S.; Parris, N.; Hicks, K.B.; Moreau, R.A. Antioxidant and antimelanogenic activities of polyamine conjugates from corn bran and related hydroxycinnamic acids. J. Agric. Food Chem. 2007, 55, 3920–3925. [Google Scholar] [CrossRef]
- Narváez-Cuenca, C.E.; Vincken, J.P.; Gruppen, H. Quantitative fate of chlorogenic acid during enzymatic browning of potato juice. J. Agric. Food Chem. 2013, 61, 1563–1572. [Google Scholar] [CrossRef]
- Adams, J.B.; Brown, H.M. Discoloration in raw and processed fruits and vegetables. Crit. Rev. Food Sci. Nutr. 2007, 47, 319–333. [Google Scholar] [CrossRef] [PubMed]
- Pathare, P.B.; Opara, U.L.; Al-Said, F.A.J. Colour measurement and analysis in fresh and processed foods: A review. Food Bioprocess Technol. 2013, 6, 36–60. [Google Scholar] [CrossRef]
- Muñoz-Muñoz, J.L.; Berna, J.; Garcia-Molina, F.; Garcia-Ruiz, P.A.; Tudela, J.; Rodriguez-Lopez, J.N.; Garcia-Canovas, F. Unravelling the suicide inactivation of tyrosinase: A discrimination between mechanisms. J. Mol. Catal. B Enzym. 2012, 75, 11–19. [Google Scholar] [CrossRef]
- Liao, T.; Liu, J.; Sun, Y.; Zou, L.; Zhou, L.; Liu, C.; Terefe, N.S.; Liu, W. Differential inhibitory effects of organic acids on pear polyphenol oxidase in model systems and pear puree. LWT 2020, 118, 108704. [Google Scholar] [CrossRef]
- Dao, L.; Friedman, M. Chlorogenic acid content of fresh and processed potatoes determined by ultraviolet spectrophotometry. J. Agric. Food Chem. 1992, 40, 2152–2156. [Google Scholar] [CrossRef]
- Leszczyński, W. Potato tubers as a raw material for processing and nutrition. In Potato Science and Technology; Lisińska, G., Leszczyński, W., Eds.; Elsevier Applied Science Publishers Ltd.: London, UK; New York, NY, USA, 1989; pp. 11–128. [Google Scholar]
- Matheis, G.; Belitz, H.D. Studies on enzymatic browning of potatoes (Solanum tuberosum). III. Kinetics of potato phenoloxidase (EC 1.14.18.1 monophenol, dihydroxyphenylalanine: Oxygen-oxidoreductase). Z. Lebensm. Unters.-Forsch. 1977, 163, 191–195. [Google Scholar] [CrossRef]
- Ramsden, C.A.; Riley, P.A. Tyrosinase: The four oxidation states of the active site and their relevance to enzymatic activation, oxidation and inactivation. Bioorg. Med. Chem. 2014, 22, 2388–2395. [Google Scholar] [CrossRef]
- Stevens, L.H.; Davelaar, E.; Kolb, R.M.; Pennings, E.J.M.; Smit, N.P.M. Tyrosine and cysteine are substrates for blackspot synthesis in potato. Phytochemistry 1998, 49, 703–707. [Google Scholar] [CrossRef]
- Liu, B.; Zeng, J.; Chen, C.; Liu, Y.; Ma, H.; Mo, H.; Liang, G. Interaction of cinnamic acid derivatives with β-cyclodextrin in water: Experimental and molecular modeling studies. Food Chem. 2016, 194, 1156–1163. [Google Scholar] [CrossRef]
- Irwin, P.L.; Pfeffer, P.E.; Doner, L.W.; Sapers, G.M.; Brewster, J.D.; Nagahashi, G.; Hicks, K.B. Binding geometry, stoichiometry, and thermodynamics of cyclomalto-oligosaccharide (cyclodextrin) inclusion complex formation with chlorogenic acid, the major substrate of apple polyphenol oxidase. Carbohydr. Res. 1994, 256, 13–27. [Google Scholar] [CrossRef]
- Vaughan, P.F.T.; Butt, V.S. The action of o-dihydric phenols in the hydroxylation of p-coumaric acid by a phenolase from leaves of spinach beet (Beta vulgaris L.). Biochem. J. 1970, 119, 89–94. [Google Scholar] [CrossRef] [PubMed]








Publisher’s Note: MDPI stays neutral with regard to jurisdictional claims in published maps and institutional affiliations. |
© 2022 by the authors. Licensee MDPI, Basel, Switzerland. This article is an open access article distributed under the terms and conditions of the Creative Commons Attribution (CC BY) license (https://creativecommons.org/licenses/by/4.0/).
Share and Cite
Jiang, S.; Penner, M.H. The Effect of p-Coumaric Acid on Browning Inhibition in Potato Polyphenol Oxidase-Catalyzed Reaction Mixtures. Foods 2022, 11, 577. https://doi.org/10.3390/foods11040577
Jiang S, Penner MH. The Effect of p-Coumaric Acid on Browning Inhibition in Potato Polyphenol Oxidase-Catalyzed Reaction Mixtures. Foods. 2022; 11(4):577. https://doi.org/10.3390/foods11040577
Chicago/Turabian StyleJiang, Shu, and Michael H. Penner. 2022. "The Effect of p-Coumaric Acid on Browning Inhibition in Potato Polyphenol Oxidase-Catalyzed Reaction Mixtures" Foods 11, no. 4: 577. https://doi.org/10.3390/foods11040577
APA StyleJiang, S., & Penner, M. H. (2022). The Effect of p-Coumaric Acid on Browning Inhibition in Potato Polyphenol Oxidase-Catalyzed Reaction Mixtures. Foods, 11(4), 577. https://doi.org/10.3390/foods11040577

