The Effects of Volatile Organic Compounds (VOCs) on the Formation of Heterocyclic Amines (HAs) in Meat Patties, under Different Smoking Temperatures and Durations
Abstract
1. Introduction
2. Materials and Methods
2.1. Chemicals and Materials
2.2. Preparation of Meat Patties
2.3. Smoking of Meat Patties
2.4. Analysis of Conventional Physicochemical Properties of Smoked Pork Patties
2.5. Determination of the VOCs in Smoked Pork Patties
2.6. Sample Preparation for HAs
2.7. SPE Procedure
2.8. UPLC-MS/MS Analysis
2.9. Statistical Analysis
3. Results and Discussion
3.1. Conventional Physicochemical Properties of Smoked Meat Patties
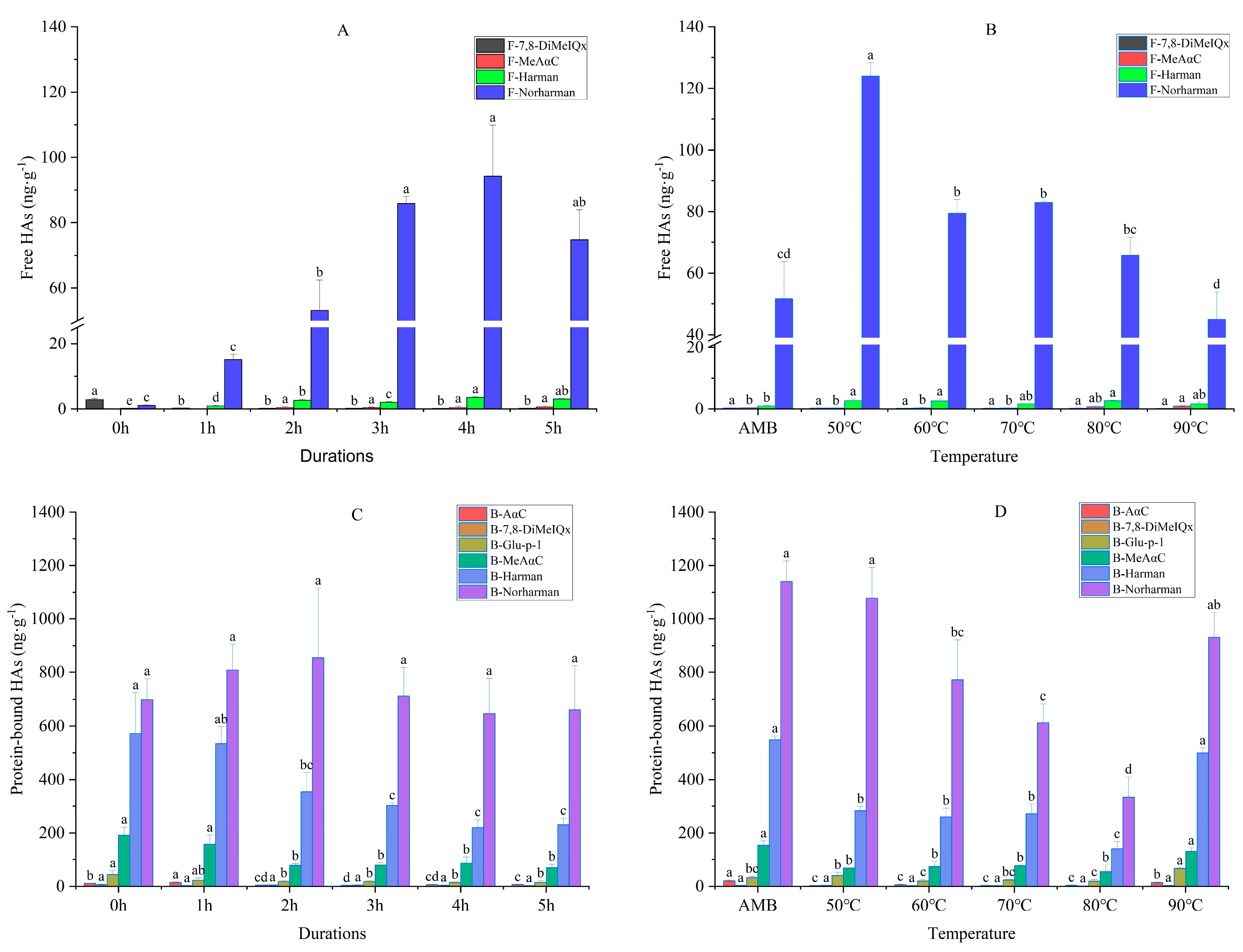
3.2. Effect of Smoking Duration and Temperature on the Formation of HAs
3.3. The VOCs of the Smoked Pork Patties
3.4. Correlation between VOCs and HAs in Meat Patties at Different Durations and Temperatures
3.5. PCA Analysis of HAs, VOCs and Other Indexes in Smoked Meat Patties at Different Smoking Durations and Temperatures
4. Conclusions
Supplementary Materials
Author Contributions
Funding
Institutional Review Board Statement
Informed Consent Statement
Data Availability Statement
Acknowledgments
Conflicts of Interest
References
- Zeng, W.; Wen, W.; Deng, Y.; Tian, Y.; Sun, H.; Sun, Q. Chinese ethnic meat products: Continuity and development. Meat Sci. 2016, 120, 37–46. [Google Scholar] [CrossRef] [PubMed]
- Zhou, B.; Luo, J.; Quan, W.; Lou, A.; Shen, Q. Antioxidant Activity and Sensory Quality of Bacon. Foods 2022, 11, 236. [Google Scholar] [CrossRef] [PubMed]
- Du, H.; Chen, Q.; Liu, Q.; Wang, Y.; Kong, B. Evaluation of flavor characteristics of bacon smoked with different woodchips by HS-SPME-GC-MS combined with an electronic tongue and electronic nose. Meat Sci. 2021, 182, 108626. [Google Scholar] [CrossRef] [PubMed]
- Xi, L.J.; Zhang, J.; Wu, R.X.; Wang, T.; Ding, W. Characterization of the Volatile Compounds of Zhenba Bacon at Different Process Stages Using GC-MS and GC-IMS. Foods 2021, 10, 2869. [Google Scholar] [CrossRef] [PubMed]
- Poljanec, I.; Radovcic, N.M.; Petricevic, S.; Karolyi, D.; Listes, E.; Medic, H. Proteolysis and protein oxidation throughout the smoked dry-cured ham process. Food Chem. 2021, 362, 130207. [Google Scholar] [CrossRef] [PubMed]
- Hur, S.J.; Yoon, Y.; Jo, C.; Jeong, J.Y.; Lee, K.T. Effect of Dietary Red Meat on Colorectal Cancer Risk—A Review. Compr. Rev. Food Sci. Food Saf. 2019, 18, 1812–1824. [Google Scholar] [CrossRef]
- Chen, L.; Liu, R.; Wu, M.; Yu, H.; Ge, Q.; Zhang, W. Nitrosamines and Polycyclic Aromatic Hydrocarbons in Smoke-Cured Bacon (Larou) of Artisanal and Industrial Origin. Foods 2021, 10, 2830. [Google Scholar] [CrossRef]
- Zhang, L.; Du, H.; Zhang, P.; Kong, B.; Liu, Q. Heterocyclic aromatic amine concentrations and quality characteristics of traditional smoked and roasted poultry products on the northern Chinese market. Food Chem. Toxicol. 2020, 135, 110931. [Google Scholar] [CrossRef]
- Zamora, R.; Hidalgo, F.J. Formation of heterocyclic aromatic amines with the structure of aminoimidazoazarenes in food products. Food Chem. 2020, 313, 126128. [Google Scholar] [CrossRef]
- IARC. Monographs on the Evaluation of Carcinogenic Risk to Humans; World Health Organization: Geneva, Switzerland; International Agency for Research on Cancer (IARC): Lyon, Frence, 1993; pp. 163–242. [Google Scholar]
- Gibis, M. Heterocyclic Aromatic Amines in Cooked Meat Products: Causes, Formation, Occurrence, and Risk Assessment. Compr. Rev. Food Sci. Food Saf. 2016, 15, 269–302. [Google Scholar] [CrossRef]
- Yang, D.; He, Z.; Gao, D.; Qin, F.; Deng, S.; Wang, P.; Xu, X.; Chen, J.; Zeng, M. Effects of smoking or baking procedures during sausage processing on the formation of heterocyclic amines measured using UPLC-MS/MS. Food Chem. 2019, 276, 195–201. [Google Scholar] [CrossRef] [PubMed]
- Oz, E. The impact of fat content and charcoal types on quality and the development of carcinogenic polycyclic aromatic hydrocarbons and heterocyclic aromatic amines formation of barbecued fish. Int. J. Food Sci. Technol. 2021, 56, 954–964. [Google Scholar] [CrossRef]
- Varlet, V.; Knockaert, C.; Prost, C.; Serot, T. Comparison of odor-active volatile compounds of fresh and smoked salmon. J. Agric. Food Chem. 2006, 54, 3391–3401. [Google Scholar] [CrossRef] [PubMed]
- Kelly, D.; Zerihun, A.; Singh, D.P.; von Eckstaedt, C.V.; Gibberd, M.; Grice, K.; Downey, M. Exposure of grapes to smoke of vegetation with varying lignin composition and accretion of lignin derived putative smoke taint compounds in wine. Food Chem. 2012, 135, 787–798. [Google Scholar] [CrossRef]
- Hidalgo, F.J.; Zamora, R. Carbonyl Chemistry and the Formation of Heterocyclic Aromatic Amines with the Structure of Aminoimidazoazaarene. J. Agric. Food Chem. 2021, 70, 79–86. [Google Scholar] [CrossRef]
- Zhang, L.; Chen, Q.; Liu, Q.; Xia, X.; Wang, Y.; Kong, B. Effect of different types of smoking materials on the flavor, heterocyclic aromatic amines, and sensory property of smoked chicken drumsticks. Food Chem. 2022, 367, 130680. [Google Scholar] [CrossRef]
- Chen, Y.; Xi, J.; Chen, Z.N.; Fu, Y. Effect of Different Roasting Conditions and Coreopsis Extract on the Heterocyclic Amine Formation in Roast Lamb Products. J. Food Prot. 2022, 85, 1107–1113. [Google Scholar] [CrossRef]
- Dolores Romero de Ávila, M.; Isabel Cambero, M.; Ordóñez, J.A.; de la Hoz, L.; Herrero, A.M. Rheological behaviour of commercial cooked meat products evaluated by tensile test and texture profile analysis (TPA). Meat Sci. 2014, 98, 310–315. [Google Scholar] [CrossRef]
- Rizzo, P.V.; Del Toro-Gipson, R.S.; Cadwallader, D.C.; Drake, M.A. Identification of aroma-active compounds in Cheddar cheese imparted by wood smoke. J. Dairy Sci. 2022, 105, 5622–5640. [Google Scholar] [CrossRef]
- Zeng, M.M.; He, Z.Y.; Zheng, Z.P.; Qin, F.; Tao, G.J.; Zhang, S.; Gao, Y.H.; Chen, J. Effect of Six Chinese Spices on Heterocyclic Amine Profiles in Roast Beef Patties by Ultra Performance Liquid Chromatography-Tandem Mass Spectrometry and Principal Component Analysis. J. Agric. Food Chem. 2014, 62, 9908–9915. [Google Scholar] [CrossRef]
- Chen, J.; He, Z.; Qin, F.; Chen, J.; Zeng, M. Formation of Free and Protein-Bound Heterocyclic Amines in Roast Beef Patties Assessed by UPLC-MS/MS. J. Agric. Food Chem. 2017, 65, 4493–4499. [Google Scholar] [CrossRef] [PubMed]
- Deng, P.; Xue, C.Y.; He, Z.Y.; Wang, Z.J.; Qin, F.; Oz, E.; Chen, J.; Sheikha, A.F.E.; Proestos, C.; Oz, F.; et al. Synergistic Inhibitory Effects of Selected Amino Acids on the Formation of 2-Amino-1-methyl-6-phenylimidazo 4,5-b pyridine (PhIP) in both Benzaldehyde- and Phenylacetaldehyde-Creatinine Model Systems. J. Agric. Food Chem. 2022, 70, 10858–10871. [Google Scholar] [CrossRef] [PubMed]
- Li, Y.; He, J.L.; Quan, W.; He, Z.Y.; Qin, F.; Tao, G.J.; Wang, Z.J.; Zeng, M.M.; Chen, J. Effects of polyphosphates and sodium chloride on heterocyclic amines in roasted beef patties as revealed by UPLC-MS/MS. Food Chem. 2020, 326, 127016. [Google Scholar] [CrossRef] [PubMed]
- Xi, J.; Chen, Y. Analysis of the relationship between heterocyclic amines and the oxidation and thermal decomposition of protein using the dry heated soy protein isolate system. Lwt-Food Sci. Technol. 2021, 148, 111738. [Google Scholar] [CrossRef]
- Sokamte Tegang, A.; Mbougueng, P.D.; Sachindra, N.M.; Douanla Nodem, N.F.; Tatsadjieu Ngoune, L. Characterization of volatile compounds of liquid smoke flavourings from some tropical hardwoods. Sci. Afr. 2020, 8, e00443. [Google Scholar] [CrossRef]
- Tokifuji, A.; Matsushima, Y.; Hachisuka, K.; Yoshioka, K. Texture, sensory and swallowing characteristics of high-pressure-heat-treated pork meat gel as a dysphagia diet. Meat Sci. 2013, 93, 843–848. [Google Scholar] [CrossRef]
- Tornberg, E. Effects of heat on meat proteins—Implications on structure and quality of meat products. Meat Sci. 2005, 70, 493–508. [Google Scholar] [CrossRef] [PubMed]
- Zhang, L.; Hu, Y.; Wang, Y.; Kong, B.; Chen, Q. Evaluation of the flavour properties of cooked chicken drumsticks as affected by sugar smoking times using an electronic nose, electronic tongue, and HS-SPME/GC-MS. Lwt Food Sci. Technol. 2021, 140, 110764. [Google Scholar] [CrossRef]
- Overvik, E.; Kleman, M.; Berg, I.; Gustafsson, J.A. Influence of creatine, amino acids and water on the formation of the mutagenic heterocyclic amines found in cooked meat. Carcinogenesis 1989, 10, 2293–2301. [Google Scholar] [CrossRef]
- Oz, F.; Seyyar, E. Formation of Heterocyclic Aromatic Amines and Migration Level of Bisphenol-A in Sous-Vide-Cooked Trout Fillets at Different Cooking Temperatures and Cooking Levels. J. Agric. Food Chem. 2016, 64, 3070–3082. [Google Scholar] [CrossRef]
- Chiu, C.P.; Chen, B.H. Stability of heterocyclic amines during heating. Food Chem. 2000, 68, 267–272. [Google Scholar] [CrossRef]
- Pan, H.; Wang, Z.; Guo, H.; Ni, N.; Zhang, D. Heterocyclic aromatic amines in meat products consumed in China. Food Sci. Biotechnol. 2014, 23, 2089–2095. [Google Scholar] [CrossRef]
- Xi, J.; Chen, Y. Effects of tetrahydro-curcumin on the formation of β-carboline heterocyclic amines in dry-heated soy protein isolate in the presence of glucose. LWT 2021, 152, 112362. [Google Scholar] [CrossRef]
- Wrońska, A.K.; Boguś, M.I. Harman and norharman, metabolites of the entomopathogenic fungus Conidiobolus coronatus (Entomophthorales), affect the serotonin levels and phagocytic activity of hemocytes, insect immunocompetent cells, in Galleria mellonella (Lepidoptera). Cell Biosci. 2019, 9, 29. [Google Scholar] [CrossRef] [PubMed]
- Wu, X.; Zhang, Z.; He, Z.; Wang, Z.; Qin, F.; Zeng, M.; Chen, J. Effect of Freeze-Thaw Cycles on the Oxidation of Protein and Fat and Its Relationship with the Formation of Heterocyclic Aromatic Amines and Advanced Glycation End Products in Raw Meat. Molecules 2021, 26, 1264. [Google Scholar] [CrossRef] [PubMed]
- Liu, W.; Yang, Z.; Shi, L.; Cui, Z.; Li, Y. Degradation of β-Carbolines Harman and Norharman in Edible Oils during Heating. Molecules 2021, 26, 7018. [Google Scholar] [CrossRef] [PubMed]
- Hou, C.; Wang, Z.; Wu, L.; Chai, J.; Song, X.; Wang, W.; Zhang, D. Effects of breeds on the formation of heterocyclic aromatic amines in smoked lamb. Int. J. Food Sci. Technol. 2017, 52, 2661–2669. [Google Scholar] [CrossRef]
- Du, H.; Liu, Q.; Chen, Q.; Xia, X.; Xu, M.; Kong, B. Effect of woodchip types on heterocyclic aromatic amine formation and quality characteristics of smoked bacon. Food Biosci. 2022, 47, 101709. [Google Scholar] [CrossRef]
- Diaodiao, Y.; Jing, J.; Zhigang, Z.; Zhiyong, H.; Fang, Q.; Jie, C.; Maomao, Z. Accumulation of heterocyclic amines across low-temperature sausage processing stages as revealed by UPLC-MS/MS. Food Res. Int. 2020, 137, 109668. [Google Scholar]
- Ziegenhagen, R.; Boczek, P.; Viell, B. Formation of the comutagenic beta-carboline norharman in a simple tryptophan-containing model system at low temperature (40 degrees C–80 degrees C). In Tryptophan, Serotonin and Melatonin: Basic Aspects and Applications; Huether, G., Kochen, W., Simat, T.J., Steinhart, H., Eds.; Advances in Experimental Medicine and Biology; Springer: Boston, MA, USA, 1999; Volume 467, pp. 693–696. [Google Scholar]
- Oberholster, A.; Wen, Y.; Dominguez Suarez, S.; Erdmann, J.; Cauduro Girardello, R.; Rumbaugh, A.; Neupane, B.; Brenneman, C.; Cantu, A.; Heymann, H. Investigation of Different Winemaking Protocols to Mitigate Smoke Taint Character in Wine. Molecules 2022, 27, 1732. [Google Scholar] [CrossRef]
- Herraiz, T.; Papavergou, E. Identification and Occurrence of Tryptamine- and Tryptophan-Derived Tetrahydro-β-carbolines in Commercial Sausages. J. Agric. Food Chem. 2004, 52, 2652–2658. [Google Scholar] [CrossRef] [PubMed]
- Dominguez, R.; Purrinos, L.; Perez-Santaescolastica, C.; Pateiro, M.; Barba, F.J.; Tomasevic, I.; Bastianello Campagnol, P.C.; Lorenzo, J.M. Characterization of Volatile Compounds of Dry-Cured Meat Products Using HS-SPME-GC/MS Technique. Food Anal. Methods 2019, 12, 1263–1284. [Google Scholar] [CrossRef]
- Kosowska, M.; Majcher, M.A.; Jelen, H.H.; Fortuna, T. Key Aroma Compounds in Smoked Cooked Loin. J. Agric. Food Chem. 2018, 66, 3683–3690. [Google Scholar] [CrossRef] [PubMed]
- Khan, I.A.; Luo, J.; Shi, H.; Zou, Y.; Khan, A.; Zhu, Z.; Xu, W.; Wang, D.; Huang, M. Mitigation of heterocyclic amines by phenolic compounds in allspice and perilla frutescens seed extract: The correlation between antioxidant capacities and mitigating activities. Food Chem. 2022, 368, 130845. [Google Scholar] [CrossRef] [PubMed]
- Cheng, K.-W.; Chen, F.; Wang, M. Inhibitory activities of dietary phenolic compounds on heterocyclic amine formation in both chemical model system and beef patties. Mol. Nutr. Food Res. 2007, 51, 969–976. [Google Scholar] [CrossRef] [PubMed]
- Kim, Y.-M.; Jae, J.; Myung, S.; Sung, B.H.; Dong, J.-I.; Park, Y.-K. Investigation into the lignin decomposition mechanism by analysis of the pyrolysis product of Pinus radiata. Bioresour. Technol. 2016, 219, 371–377. [Google Scholar] [CrossRef]
- Zeng, M.; Li, Y.; He, Z.; Qin, F.; Chen, J. Effect of phenolic compounds from spices consumed in China on heterocyclic amine profiles in roast beef patties by UPLC-MS/MS and multivariate analysis. Meat Sci. 2016, 116, 50–57. [Google Scholar] [CrossRef] [PubMed]
- Gibis, M.; Kruwinnus, M.; Weiss, J. Impact of different pan-frying conditions on the formation of heterocyclic aromatic amines and sensory quality in fried bacon. Food Chem. 2015, 168, 383–389. [Google Scholar] [CrossRef]





| Hardness (g) | Springiness (%) | Chewiness (g) | Resilience (%) | L* | a* | b* | aw | Water Processing Loss (g·100 g−1) | Water Content (g·100 g−1) | pH | ||
|---|---|---|---|---|---|---|---|---|---|---|---|---|
| Duration | 0 h | 863.21 ± 104.96 d | 0.63 ± 0.02 b | 357.23 ± 73.54 c | 0.23 ± 0.01 b | 69 ± 0.93 a | 6.7 ± 0.14 c | 21.25 ± 0.56 c | 0.97 ± 0 a | 29.84 ± 0.35 f | 66.13 ± 0.1 a | 5.82 ± 0.01 a |
| 1 h | 2425.06 ± 274.87 c | 0.74 ± 0.05 a | 1098.44 ± 127.31 bc | 0.25 ± 0.01 ab | 65.17 ± 0.38 b | 8.31 ± 1.15 c | 29.28 ± 1.16 ab | 0.97 ± 0 b | 32.97 ± 0.46 e | 63.75 ± 0.45 b | 5.66 ± 0.03 b | |
| 2 h | 3362.42 ± 469.36 bc | 0.71 ± 0.01 ab | 1474.3 ± 218.88 b | 0.22 ± 0.01 b | 55.74 ± 0.25 c | 11.39 ± 0.91 b | 28.23 ± 0.67 ab | 0.96 ± 0 b | 39.63 ± 0.45 d | 59.26 ± 0.32 c | 5.49 ± 0.01 c | |
| 3 h | 4607.45 ± 533.33 b | 0.72 ± 0.04 ab | 2022.51 ± 186.17 b | 0.22 ± 0.01 b | 50.42 ± 1.15 d | 13.11 ± 1.2 ab | 27.09 ± 0.86 b | 0.96 ± 0 c | 43.2 ± 0.73 c | 53.34 ± 0.6 d | 5.38 ± 0.01 d | |
| 4 h | 8719.97 ± 830.69 a | 0.78 ± 0.01 a | 4866.18 ± 645.94 a | 0.27 ± 0.01 a | 44.8 ± 1.15 e | 15.26 ± 0.71 a | 30.02 ± 1.24 a | 0.95 ± 0 d | 47.84 ± 0.64 b | 50.58 ± 0.53 e | 5.28 ± 0.03 e | |
| 5 h | 8689.31 ± 331.12 a | 0.79 ± 0.06 a | 4555.57 ± 509.58 a | 0.24 ± 0.02 ab | 31.04 ± 2.27 f | 14.35 ± 0.22 a | 23.55 ± 0.94 c | 0.92 ± 0 e | 57.31 ± 0.6 a | 44.84 ± 0.19 f | 5.23 ± 0.02 e | |
| Temperature | AMB | 1679.25 ± 106.28 c | 0.7 ± 0.02 b | 741.84 ± 100.64 b | 0.26 ± 0.02 a | 57.3 ± 0.34 a | 14.15 ± 0.7 c | 35.55 ± 1.17 a | 0.97 ± 0 a | 30.17 ± 0.24 e | 62.96 ± 0.23 a | 5.42 ± 0.02 a |
| 50 °C | 2588.34 ± 127.49 bc | 0.7 ± 0.05 b | 1172.55 ± 60.61 b | 0.24 ± 0.02 a | 54.41 ± 0.72 b | 16.21 ± 0.46 bc | 35.81 ± 1.97 a | 0.96 ± 0 b | 34.97 ± 0.75 d | 60.45 ± 0.51 b | 5.12 ± 0.01 c | |
| 60 °C | 2453.55 ± 183.92 bc | 0.75 ± 0.03 ab | 1215.88 ± 68.46 b | 0.26 ± 0 a | 51.63 ± 0.48 c | 16.17 ± 0.92 bc | 33.92 ± 0.89 ab | 0.96 ± 0 c | 37.24 ± 0.46 c | 56.84 ± 0.16 c | 5.03 ± 0.01 d | |
| 70 °C | 4163.07 ± 486.14 b | 0.69 ± 0.02 b | 1760.74 ± 205.96 b | 0.23 ± 0.02 a | 48.06 ± 1.87 d | 15.75 ± 0.38 c | 32.33 ± 0.76 b | 0.95 ± 0 d | 42.29 ± 0.62 b | 53.16 ± 0.22 d | 5.38 ± 0.01 b | |
| 80 °C | 8969.06 ± 1306.85 a | 0.8 ± 0.02 a | 5803.19 ± 798.57 a | 0.26 ± 0.01 a | 33.87 ± 0.93 e | 20.93 ± 2.04 a | 28.13 ± 0.82 c | 0.94 ± 0 e | 49.19 ± 1.33 a | 47.69 ± 0.27 e | 5.43 ± 0.02 a | |
| 90 °C | 10288.56 ± 791.83 a | 0.81 ± 0.04 a | 5602.76 ± 815.01 a | 0.27 ± 0 a | 27.77 ± 0.89 f | 18.82 ± 0.54 ab | 25.76 ± 0.95 c | 0.94 ± 0 e | 51.15 ± 0.5 a | 46.46 ± 0.57 f | 5.43 ± 0.02 a |
Publisher’s Note: MDPI stays neutral with regard to jurisdictional claims in published maps and institutional affiliations. |
© 2022 by the authors. Licensee MDPI, Basel, Switzerland. This article is an open access article distributed under the terms and conditions of the Creative Commons Attribution (CC BY) license (https://creativecommons.org/licenses/by/4.0/).
Share and Cite
Shen, X.; Chen, Y.; Omedi, J.O.; Oz, E.; Oz, F.; Xiao, C.; Zhou, Y.; Chen, J.; Zeng, M. The Effects of Volatile Organic Compounds (VOCs) on the Formation of Heterocyclic Amines (HAs) in Meat Patties, under Different Smoking Temperatures and Durations. Foods 2022, 11, 3687. https://doi.org/10.3390/foods11223687
Shen X, Chen Y, Omedi JO, Oz E, Oz F, Xiao C, Zhou Y, Chen J, Zeng M. The Effects of Volatile Organic Compounds (VOCs) on the Formation of Heterocyclic Amines (HAs) in Meat Patties, under Different Smoking Temperatures and Durations. Foods. 2022; 11(22):3687. https://doi.org/10.3390/foods11223687
Chicago/Turabian StyleShen, Xing, Yang Chen, Jacob Ojobi Omedi, Emel Oz, Fatih Oz, Chunwang Xiao, Yijun Zhou, Jie Chen, and Maomao Zeng. 2022. "The Effects of Volatile Organic Compounds (VOCs) on the Formation of Heterocyclic Amines (HAs) in Meat Patties, under Different Smoking Temperatures and Durations" Foods 11, no. 22: 3687. https://doi.org/10.3390/foods11223687
APA StyleShen, X., Chen, Y., Omedi, J. O., Oz, E., Oz, F., Xiao, C., Zhou, Y., Chen, J., & Zeng, M. (2022). The Effects of Volatile Organic Compounds (VOCs) on the Formation of Heterocyclic Amines (HAs) in Meat Patties, under Different Smoking Temperatures and Durations. Foods, 11(22), 3687. https://doi.org/10.3390/foods11223687

