Nutritional Quality, Techno-Functional Characteristics, and Safety of Biomass Powder and Protein Isolate Produced from Penicillium maximae
Abstract
1. Introduction
2. Materials and Methods
2.1. Origin of the Fungus
2.2. Cultivation of the Fungus and Production of Biomass Powder and Crude Extract
2.3. Production of the Protein Isolate
2.4. Proximal Composition
2.5. Techno-Functional Characterization
2.5.1. Water Hydration and Oil Holding Capacity
2.5.2. Foaming Capacity and Stability
2.5.3. Emulsion Stability (ES)
2.6. Safety Assays
2.6.1. Negative Geotaxis
2.6.2. Toxicity and Oxidative Stress
2.7. Statistical Analysis
3. Results
3.1. Nutritional Composition
3.2. Techno-Functional Characteristics
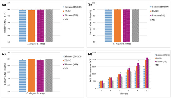
3.3. Safety Assays
4. Discussion
5. Conclusions
Author Contributions
Funding
Institutional Review Board Statement
Informed Consent Statement
Data Availability Statement
Acknowledgments
Conflicts of Interest
References
- United Nations. Transforming Our World: The 2030 Agenda for Sustainable Development. Available online: https://sdgs.un.org/2030agenda (accessed on 13 June 2022).
- Souza Filho, P.F.; Nair, R.B.; Andersson, D.; Lennartsson, P.R.; Taherzadeh, M.J. Vegan-mycoprotein concentrate from pea-processing industry byproduct using edible filamentous fungi. Fungal Biol. Biotechnol. 2018, 5, 5. [Google Scholar] [CrossRef] [PubMed]
- Molfetta, M.; Morais, E.G.; Barreira, L.; Bruno, G.L.; Porcelli, F.; Dugat-Bony, E.; Bonnarme, P.; Minervini, F. Protein sources alternative to meat: State of the art and involvement of fermentation. Foods 2022, 11, 2065. [Google Scholar] [CrossRef] [PubMed]
- Moura, M.A.F.; Paschoal, F.N.; Takahashi, J.A. Penicillium sclerotiorum biomass as a potential food product. Chem. Eng. Trans. 2018, 64, 13–18. [Google Scholar] [CrossRef]
- Takahashi, J.A.; Barbosa, B.V.R.; Martins, B.A.; Guirlanda, C.P.; Moura, M.A.F. Use of the versatility of fungal metabolism to meet modern demands for healthy aging, functional foods, and sustainability. J. Fungi 2020, 6, 223. [Google Scholar] [CrossRef]
- Ahmad, M.I.; Farooq, S.; Alhamoud, Y.; Li, C.; Zhang, H. A review on mycoprotein: History, nutritional composition, production methods, and health benefits. Trends Food Sci. Technol. 2022, 121, 14–29. [Google Scholar] [CrossRef]
- Gamarra-Castillo, O.; Echeverry-Montaña, N.; Marbello-Santrich, A.; Hernández-Carrión, M.; Restrepo, S. Meat substitute development from fungal protein (Aspergillus oryzae). Foods 2022, 11, 2940. [Google Scholar] [CrossRef]
- Rousta, N.; Hellwig, C.; Wainaina, S.; Lukitawesa, L.; Agnihotri, S.; Rousta, K.; Taherzadeh, M.J. Filamentous fungus Aspergillus oryzae for food: From submerged cultivation to fungal burgers and their sensory evaluation—A pilot study. Foods 2021, 10, 2774. [Google Scholar] [CrossRef]
- Yin, G.; Jurick, W.M., II; Zhao, G.; Bennett, J.W. New names for three Penicillium strains based on updated barcoding and phylogenetic analyses. ASM 2021, 10, e00466-21. [Google Scholar] [CrossRef]
- Gomes, D.C.; Takahashi, J.A. Sequential fungal fermentation-biotransformation process to produce a red pigment from sclerotiorin. Food Chem. 2016, 210, 355–361. [Google Scholar] [CrossRef]
- Knob, A.; Carmona, E.C. Xylanase production by Penicillium sclerotiorum and its characterization. World Appl. Sci. J. 2008, 4, 277–283. [Google Scholar]
- Wang, Z.P.; Wang, G.Y.; Khan, I.; Chi, Z.M. High-level production of calcium malate from glucose by Penicillium sclerotiorum K302. Bioresour. Technol. 2013, 143, 674–677. [Google Scholar] [CrossRef] [PubMed]
- Wiebe, M.G. QuornTM myco-protein-overview of a successful fungal product. Mycologist 2004, 18, 17–20. [Google Scholar] [CrossRef]
- Ahangi, Z.; Shojaosadati, S.A.; Nikoopour, H. Study of mycoprotein production using Fusarium oxysporum PTCC 5115 and reduction of its RNA content. Pak. J. Nutr. 2008, 7, 240–243. [Google Scholar] [CrossRef]
- Moura, M.A.F.; Perera, S.P.; Ren, Y.; Takahashi, J.A.; Ai, Y.; Nickerson, M.T. Functional characteristics and protein quality of selected commercially obtained brown and yellow canary seed flours and prepared isolates. Cereal. Chem. 2020, 97, 783–794. [Google Scholar] [CrossRef]
- AOAC Official Methods of Analysis. Cereal Foods, methods 925.10, 923.03, 960.52, 920.39C, 985.29. In AOAC International, 19th ed.; Association of Official Analytical Chemists: Gaitherburg, MD, USA, 2012. [Google Scholar]
- Garcia, W.J.; Blessin, C.W.; Inglett, G.E. Heavy metals in whole kernel dent corn determined by atomic absorption. Cereal. Chem. 1974, 51, 788. [Google Scholar]
- Blight, E.G.; Dyer, W.J. A rapid method of total lipid extraction and purification. Can. J. Biochem. Physiol. 1959, 37, 911–917. [Google Scholar] [CrossRef]
- Sudati, J.H.; Vieira, F.A.; Pavin, S.S.; Dias, G.R.M.; Seeger, R.L.; Golombieski, R.; Athayde, M.L.; Soares, F.A.; Rocha, J.B.T.; Barbosa, N.V. Valeriana officinalis attenuates the rotenone-induced toxicity in Drosophila melanogaster. Neurotoxicology 2013, 37, 118–126. [Google Scholar] [CrossRef]
- Muhammed, M.; Coleman, J.J.; Mylonakis, E. Caenorhabditis elegans: A nematode infection model for pathogenic fungi. In Host-Fungus Interactions, 1st ed.; Brand, A.C., MacCallum, D.M., Eds.; Humana: Totowa, NJ, USA, 2012; pp. 447–454. [Google Scholar] [CrossRef]
- Kamiloglu, S.; Sari, G.; Ozdal, T.; Capanoglu, E. Guidelines for cell viability assays. Food Front. 2020, 1, 332–349. [Google Scholar] [CrossRef]
- Yoon, D.S.; Lee, M.H.; Cha, D.S. Measurement of intracellular ROS in Caenorhabditis elegans using 2′, 7′-dichlorodihydrofluorescein diacetate. Bio. Protoc. 2018, 8, e2774. [Google Scholar] [CrossRef]
- Finnigan, T.; Needham, L.; Abbott, C. Mycoprotein: A healthy new protein with a low environmental impact. In Sustainable Protein Sources; Nadathur, S.R., Wanasundara, J.P.D., Scanlin, L., Eds.; Academic Press: Amsterdam, The Netherlands, 2017; pp. 305–325. [Google Scholar] [CrossRef]
- Institute of Medicine. Dietary Reference Intakes: The Essential Guide to Nutrient Requirements; Otten, J.J., Hellwig, J.P., Meyers, L.D., Eds.; The National Academies Press: Washington, DC, USA, 2006; pp. 328–339, 402–413. [Google Scholar] [CrossRef]
- Quorn. Micronutrient Profile. Mycoprotein Factsheet for Healthcare Professionals. Available online: https://www.quornnutrition.com/importance-of-micronutrients (accessed on 13 April 2022).
- Foegeding, E.A.; Davis, J.P. Food protein functionality: A comprehensive approach. Food Hydrocoll. 2011, 25, 1853–1864. [Google Scholar] [CrossRef]
- Stone, A.K.; Nosworthy, M.G.; Chiremba, C.; House, J.D.; Nickerson, M.T. A comparative study of the functionality and protein quality of a variety of legume and cereal flours. Cereal. Chem. 2019, 96, 1159–1169. [Google Scholar] [CrossRef]
- Li, J.; Guasch-Ferré, M.; Li, Y.; Hu, F.B. Dietary intake and biomarkers of linoleic acid and mortality: Systematic review and meta-analysis of prospective cohort studies. Am. J. Clin. Nutr. 2020, 112, 150–167. [Google Scholar] [CrossRef] [PubMed]
- Cardoso, B.R.; Duarte, G.B.S.; Reis, B.Z.; Cozzolino, S.M.F. Brazil nuts: Nutritional composition, health benefits and safety aspects. Food Res. Int. 2017, 100, 9–18. [Google Scholar] [CrossRef] [PubMed]
- Cherta-Murillo, A.; Lett, A.M.; Frampton, J.; Chambers, E.S.; Finnigan, T.J.A.; Frost, G.S. Effects of mycoprotein on glycaemic control and energy intake in humans: A systematic review. Br. J. Nutr. 2020, 123, 1321–1332. [Google Scholar] [CrossRef] [PubMed]
- Mert, I.D. The applications of microfluidization in cereals and cereal-based products: An overview. Crit. Rev. Food Sci. Nutr. 2020, 60, 1007–1024. [Google Scholar] [CrossRef] [PubMed]
- Lam, A.C.Y.; Karaca, A.C.; Tyler, R.T.; Nickerson, M.T. Pea protein isolates: Structure, extraction, and functionality. Food Rev. Int. 2018, 34, 126–147. [Google Scholar] [CrossRef]
- Harper, W.J.; Hewitt, S.A.; Huffman, L.M. Model food systems and protein functionality. In Milk Proteins, 3rd ed.; Boland, M., Singh, H., Eds.; Academic Press: Cambridge, MA, USA, 2020; pp. 573–598. [Google Scholar] [CrossRef]
- Bao, Z.J.; Zhao, Y.; Wang, X.Y.; Chi, Y.J. Effects of degree of hydrolysis (DH) on the functional properties of egg yolk hydrolysate with alcalase. J. Food Sci. Technol. 2017, 54, 669–678. [Google Scholar] [CrossRef]
- Koç, M.; Koç, B.; Susyal, G.; Yilmazer, M.S.; Ertekin, F.K.; Bagdatlioglu, N. Functional and physicochemical properties of whole egg powder: Effect of spray drying conditions. J. Food Sci. Technol. 2011, 48, 141–149. [Google Scholar] [CrossRef]
- Punia, S.; Sandhu, K.S.; Siroha, A.K. Difference in protein content of wheat (Triticum aestivum L.): Effect on functional, pasting, color and antioxidant properties. J. Saudi. Soc. Agric. Sci. 2019, 18, 378–384. [Google Scholar] [CrossRef]
- Sandhu, K.S.; Godara, P.; Kaur, M.; Punia, S. Effect of toasting on physical, functional and antioxidant properties of flour from oat (Avena sativa L.) cultivars. J. Saudi. Soc. Agric. Sci. 2017, 16, 197–203. [Google Scholar] [CrossRef]
- Wierenga, P.A.; Gruppen, H. New views on foams from protein solutions. Curr. Opin. Colloid Interfac. Sci. 2010, 15, 365–373. [Google Scholar] [CrossRef]
- Marinova, K.G.; Basheva, E.S.; Nenova, B.; Temelska, M.; Mirarefi, A.Y.; Campbell, B.; Ivanov, I.B. Physico-chemical factors controlling the foamability and foam stability of milk proteins: Sodium caseinate and whey proteins concentrates. Food Hydrocoll. 2009, 23, 1864–1876. [Google Scholar] [CrossRef]
- Bilen, J.; Bonini, N.M. Drosophila as a model for human neurodegenerative disease. Annu. Rev. Genet. 2005, 39, 153–171. [Google Scholar] [CrossRef]
- De Freitas Couto, S.; Araujo, S.M.; Bortolotto, V.C.; Poetini, M.R.; Pinheiro, F.C.; Musachio, E.A.S.; Meichtry, L.B.; Sacramento, M.; Alves, D.; Novo, D.R.; et al. 7-chloro-4-(phenylselanyl) quinoline prevents dopamine depletion in a Drosophila melanogaster model of Parkinson’s-like disease. J. Trac. Elem. Med. Biol. 2019, 54, 232–243. [Google Scholar] [CrossRef]
- Casu, M.A.; Mocci, I.; Isola, R.; Pisanu, A.; Boi, L.; Mulas, G.; Greig, N.H.; Setzu, M.D.; Carta, A.R. Neuroprotection by the immunomodulatory drug pomalidomide in the Drosophila LRRK2WD40 genetic model of Parkinson’s disease. Front. Aging Neurosci. 2020, 12, 31. [Google Scholar] [CrossRef] [PubMed]
- Zhang, X.; Lu, L.; Liu, S.; Ye, W.; Wu, J.; Zhang, X. Acetylcholinesterase deficiency decreases apoptosis in dopaminergic neurons in the neurotoxin model of Parkinson’s disease. Int. J. Biochem. Cell Biol. 2013, 45, 265–272. [Google Scholar] [CrossRef] [PubMed]
- Hunt, P.R.; Camacho, J.A.; Sprando, R.L. Caenorhabditis elegans for predictive toxicology. Curr. Opin. Toxicol. 2020, 23, 23–28. [Google Scholar] [CrossRef]
- Markaki, M.; Tavernarakis, N. Caenorhabditis elegans as a model system for human diseases. Curr. Opin. Biotechnol. 2020, 63, 118–125. [Google Scholar] [CrossRef]



| P. maximae Powder | Quorn [Reference] | |
|---|---|---|
| Moisture (%) | 10.7 ± 0.4 | 0 [23] |
| Ash (d.b.%) | 3.8 ± 0.3 | 3.4 [23] |
| Protein (d.b.%) | 34.8 ± 0.1 | 45.0 [23] |
| Lipids (d.b.%) | 3.09 ± 0.03 | 13.0 [23] |
| Total fiber (d.b.%) | 37.3 ± 0.4 | 26.3 [23] |
| Insoluble fiber (d.b.%) | 36.2 ± 0.4 | 23.1 [23] |
| Soluble fiber (d.b.%) | 1.1 ± 0.4 | 3.2 [23] |
| Mg (d.b. mg/100 g) | 73.6 ± 17.9 | 49.0 [25] |
| Ca (d.b. mg/100 g) | 32.4 ± 8.5 | 48.0 [25] |
| Zn (d.b. mg/100 g) | 3.8 ± 0.9 | 7.6 [25] |
| Fe (d.b. mg/100 g) | 3.3 ± 0.9 | 0.4 [25] |
| Cu (d.b. mg/100 g) | 0.3 ± 0.1 | n.f. |
| Mn (d.b. mg/100 g) | 0.06 ± 0.02 | 4.9 [25] |
| Myristic acid (C14:0; %) | 0.4 ± 0.1 | n.f. |
| Palmitic acid (C16:0; %) | 15.2 ± 0.5 | 10.0 [23] |
| Palmitoleic acid (C16:1; %) | 1.3 ± 0.1 | n.f. |
| Margaric acid (C17:0; %) | 0.9 ± 0.1 | n.f. |
| Margaroleic acid (C17:1; %) | 0.7 ± 0.1 | n.f. |
| Stearic acid (C18:0; %) | 5.5 ± 0.6 | 1.5 [23] |
| Oleic acid (C18:1; %) | 38.6 ± 0.4 | 10.8 [23] |
| Linoleic acid (C18:2; %) | 34.1 ± 1.1 | 33.1 [23] |
| Linolenic acid (C18:3n3; %) | 1.0 ± 0.1 | 6.9 [23] |
| Functional Attributes | Biomass Powder | Protein Isolate |
|---|---|---|
| Water hydration capacity (g/g) | 8.3 ± 0.2 a | 8.5 ± 0.3 a |
| Oil holding capacity (g/g) | 6.9 ± 0.2 b | 16.3 ± 0.4 a |
| Foaming capacity (%) | No foam | 120 ± 7 |
| Foaming stability (%) | No foam | 91 ± 3 |
| Emulsion stability (%) | 100 ± 0 a | 100 ± 0 a |
Publisher’s Note: MDPI stays neutral with regard to jurisdictional claims in published maps and institutional affiliations. |
© 2022 by the authors. Licensee MDPI, Basel, Switzerland. This article is an open access article distributed under the terms and conditions of the Creative Commons Attribution (CC BY) license (https://creativecommons.org/licenses/by/4.0/).
Share and Cite
Moura, M.A.F.; Alves, V.S.; Takahashi, J.A. Nutritional Quality, Techno-Functional Characteristics, and Safety of Biomass Powder and Protein Isolate Produced from Penicillium maximae. Foods 2022, 11, 3621. https://doi.org/10.3390/foods11223621
Moura MAF, Alves VS, Takahashi JA. Nutritional Quality, Techno-Functional Characteristics, and Safety of Biomass Powder and Protein Isolate Produced from Penicillium maximae. Foods. 2022; 11(22):3621. https://doi.org/10.3390/foods11223621
Chicago/Turabian StyleMoura, Marília A. F., Viviane S. Alves, and Jacqueline A. Takahashi. 2022. "Nutritional Quality, Techno-Functional Characteristics, and Safety of Biomass Powder and Protein Isolate Produced from Penicillium maximae" Foods 11, no. 22: 3621. https://doi.org/10.3390/foods11223621
APA StyleMoura, M. A. F., Alves, V. S., & Takahashi, J. A. (2022). Nutritional Quality, Techno-Functional Characteristics, and Safety of Biomass Powder and Protein Isolate Produced from Penicillium maximae. Foods, 11(22), 3621. https://doi.org/10.3390/foods11223621

