Prediction of Apple Slices Drying Kinetic during Infrared-Assisted-Hot Air Drying by Deep Neural Networks
Abstract
1. Introduction
2. Materials and Methods
2.1. Materials
2.2. Integrated Infrared and Hot Air Drying
2.3. Color Measurement
2.4. Measurement of Vitamin C
2.5. Measurement of Total Phenol Content (TPC) and Total Flavonoid Content (TFC)
2.6. Drying Kinetic
2.7. Deep Neural Networks
2.7.1. Structure of Deep Neural Network
2.7.2. Modeling of Kinetic Curve Prediction
- (1)
- Raw data on the apple drying time, the weight of apple slices at different times, drying temperature, drying air velocity, and infrared radiation distance, were collected.
- (2)
- The collated dry raw data were randomly selected as training samples and test samples in a certain proportion, and all sample data were normalized according to Equation (6).where and represent the upper and lower limits of the normalized range, respectively; represents the original data; represents the minimum value of the sample data; represents the maximum value of the sample data; and represents the normalized data.
- (3)
- The DNN parameters were set and the normalized drying data were inputted.
- (4)
- Training was started until a stopping condition was achieved.
3. Results and Discussions
3.1. Effects of Different Drying Conditions on Drying Kinetic
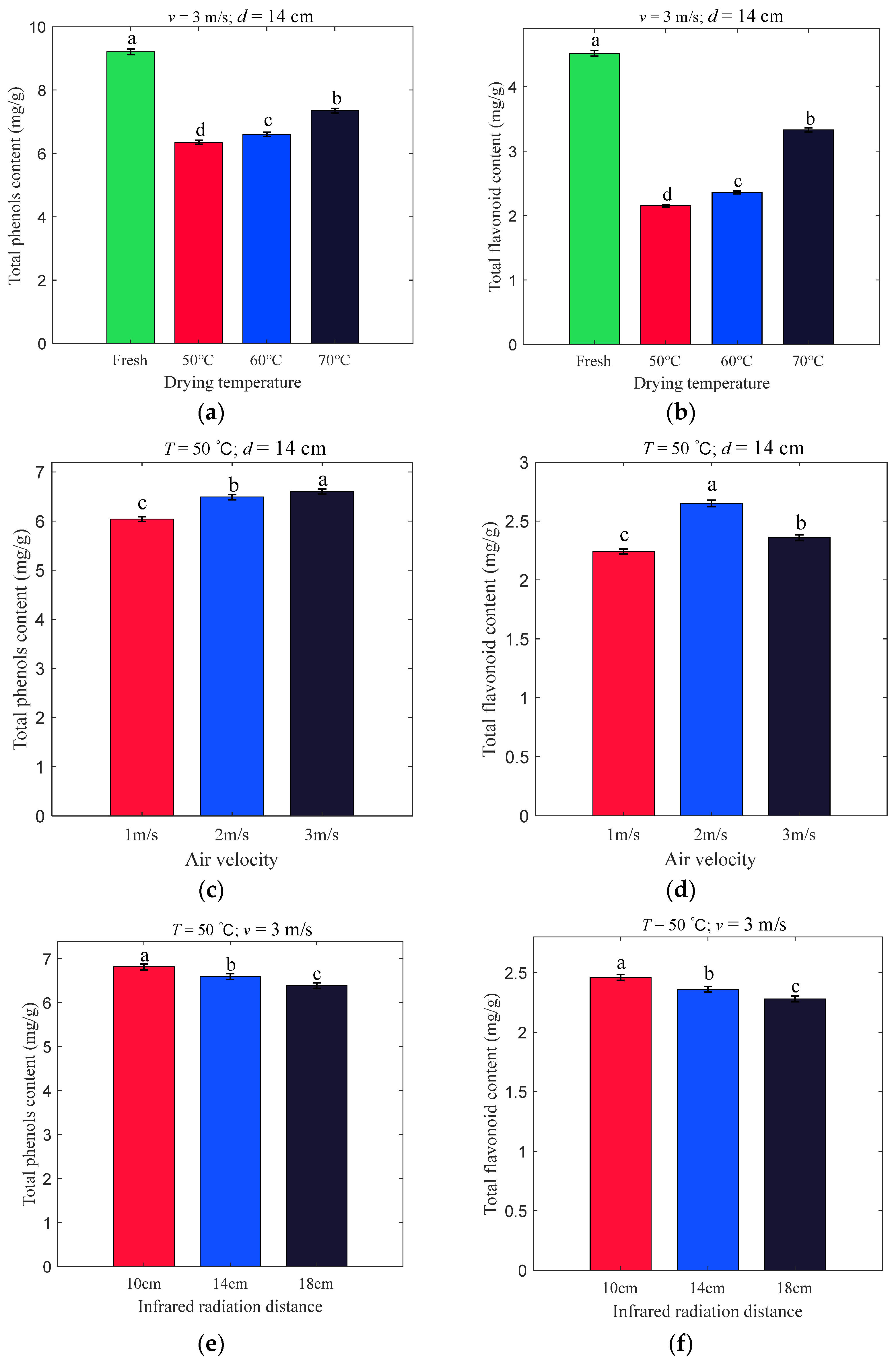
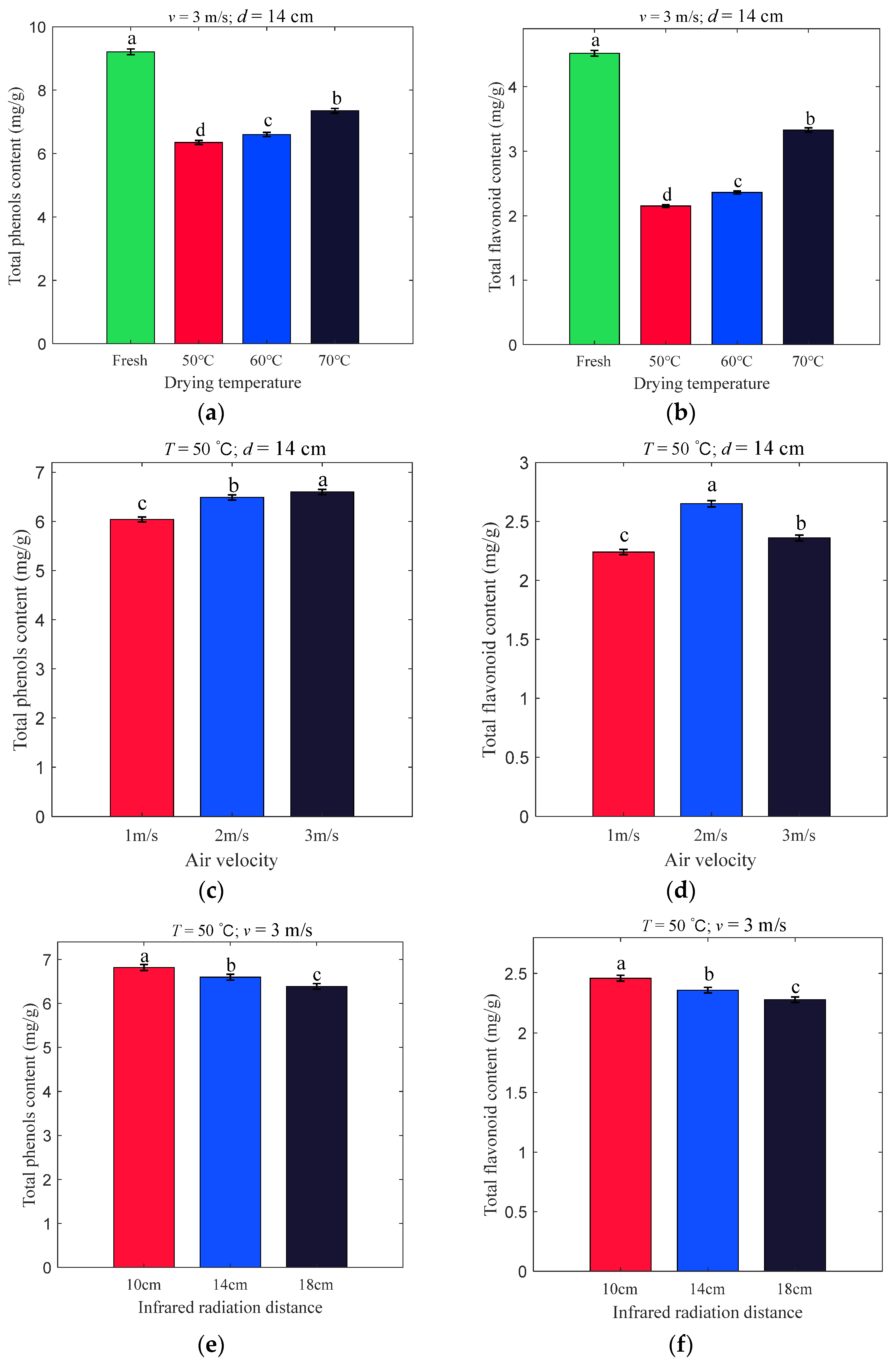
3.2. Effects of Different Drying Conditions on TPC and TFC
3.3. Effects of Different Drying Conditions on Vitamin C
3.4. Effects of Different Drying Conditions on Color
3.5. Model Results and Analysis
4. Conclusions
- (1)
- The drying temperature, air velocity, and infrared radiation distance remarkably affected the drying rate of apple slices. The drying time of apple slices decreased with an increase in temperature and air velocity, and prolonged with an increase in infrared radiation distance.
- (2)
- The drying temperature and air velocity had remarkable effects on the TPC, TFC, VCC, and color of the dried apple slices, while the infrared radiation distance had a significant effect on TPC and TFC. The TPC, TFC, and VCC decreased with increasing drying temperature. With increasing air velocity, TPC and VCC increased, and TFC increased at first and then decreased. An increase in infrared radiation distance decreased TPC and TFC but had no remarkable effect on VCC and color.
- (3)
- A DNN prediction model for the MR and DBMC of apple slices was established based on the drying data of apple slices. The R value of the DNN was 1, and the R2 values of the MR and DBMC were 0.9975 and 1, respectively. Comparing the prediction results of the DNN model with those obtained by the SVR and MLP models, the R2 and MAE of the DNN model are better than those of the SVR and MLP, indicating that the DNN model has stable robustness.
Author Contributions
Funding
Data Availability Statement
Conflicts of Interest
References
- China Fruit Marketing Association. Available online: https://www.china-fruit.com.cn/map/index.html (accessed on 23 July 2022).
- Persic, M.; Mikulic-Petkovsek, M.; Slatnar, A.; Veberic, R. Chemical composition of apple fruit, juice and pomace and the correlation between phenolic content, enzymatic activity and browning. LWT 2017, 82, 23–31. [Google Scholar] [CrossRef]
- Hou, H.; Chen, Q.; Bi, J.; Wu, X.; Jin, X.; Li, X.; Qiao, Y.; Lyu, Y. Understanding appearance quality improvement of jujube slices during heat pump drying via water state and glass transition. J. Food Eng. 2020, 272, 109874. [Google Scholar] [CrossRef]
- Tu, S.-H.; Chen, L.-C.; Ho, Y.-S. An apple a day to prevent cancer formation: Reducing cancer risk with flavonoids. J. Food Drug Anal. 2017, 25, 119–124. [Google Scholar] [CrossRef]
- Argenta, L.C.; Amarante, C.V.T.D.; Betinelli, K.S.; Brancher, T.L.; Nesi, C.N.; Vieira, M.J. Comparison of fruit attributes of ‘Fuji’ apple strains at harvest and after storage. Sci. Hortic. 2020, 272, 109585. [Google Scholar] [CrossRef]
- Llavata, B.; Picinelli, A.; Simal, S.; Cárcel, J. Cider apple pomace as a source of nutrients: Evaluation of the polyphenolic profile, antioxidant and fiber properties after drying process at different temperatures. Food Chem. X 2022, 15, 100403. [Google Scholar] [CrossRef]
- Deng, L.-Z.; Yang, X.-H.; Mujumdar, A.S.; Zhao, J.-H.; Wang, D.; Zhang, Q.; Wang, J.; Gao, Z.-J.; Xiao, H.-W. Red pepper (Capsicum annuum L.) drying: Effects of different drying methods on drying kinetics, physicochemical properties, antioxidant capacity, and microstructure. Dry. Technol. 2018, 36, 893–907. [Google Scholar] [CrossRef]
- Onwude, D.I.; Hashim, N.; Abdan, K.; Janius, R.; Chen, G. The effectiveness of combined infrared and hot-air drying strategies for sweet potato. J. Food Eng. 2019, 241, 75–87. [Google Scholar] [CrossRef]
- Jeevarathinam, G.; Pandiselvam, R.; Pandiarajan, T.; Preetha, P.; Balakrishnan, M.; Thirupathi, V.; Kothakota, A. Infrared assisted hot air dryer for turmeric slices:Effect on drying rate and quality parameters. LWT 2021, 144, 111258. [Google Scholar] [CrossRef]
- Taşeri, L.; Aktaş, M.; Şevik, S.; Gülcü, M.; Seçkin, G.U.; Aktekeli, B. Determination of drying kinetics and quality parameters of grape pomace dried with a heat pump dryer. Food Chem. 2018, 260, 152–159. [Google Scholar] [CrossRef]
- Li, X.; Zhang, Y.; Zhang, Y.; Liu, Y.; Gao, Z.; Zhu, G.; Xie, Y.; Mowafy, S. Relative humidity control during shiitake mushroom (Lentinus edodes) hot air drying based on appearance quality. J. Food Eng. 2022, 315, 110814. [Google Scholar] [CrossRef]
- Zhang, Y.; Zhu, G.; Li, X.; Zhao, Y.; Lei, D.; Ding, G.; Ambrose, K.; Liu, Y. Combined medium- and short-wave infrared and hot air impingement drying of sponge gourd (Luffa cylindrical) slices. J. Food Eng. 2020, 284, 110043. [Google Scholar] [CrossRef]
- Jiang, Q.; Zhang, M.; Mujumdar, A.S. UV induced conversion during drying of ergosterol to vitamin D in various mushrooms: Effect of different drying conditions. Trends Food Sci. Technol. 2020, 105, 200–210. [Google Scholar] [CrossRef] [PubMed]
- Chen, J.; Zhang, M.; Xu, B.; Sun, J.; Mujumdar, A.S. Artificial intelligence assisted technologies for controlling the drying of fruits and vegetables using physical fields: A review. Trends Food Sci. Technol. 2020, 105, 251–260. [Google Scholar] [CrossRef]
- Chasiotis, V.; Tzempelikos, D.; Filios, A.; Moustris, K. Artificial neural network modelling of moisture content evolution for convective drying of cylindrical quince slices. Comput. Electron. Agric. 2020, 172, 105074. [Google Scholar] [CrossRef]
- Sun, Q.; Zhang, M.; Mujumdar, A.S. Recent developments of artificial intelligence in drying of fresh food: A review. Crit. Rev. Food Sci. Nutr. 2019, 59, 2258–2275. [Google Scholar] [CrossRef]
- Sun, Y.; Zhang, M.; Ju, R.; Mujumdar, A. Novel nondestructive NMR method aided by artificial neural network for monitoring the flavor changes of garlic by drying. Dry. Technol. 2021, 39, 1184–1195. [Google Scholar] [CrossRef]
- Khan, I.H.; Sablani, S.S.; Joardder, M.U.H.; Karim, M.A. Application of machine learning-based approach in food drying: Opportunities and challenges. Dry. Technol. 2022, 40, 1051–1067. [Google Scholar] [CrossRef]
- Liu, Z.-L.; Wei, Z.-Y.; Vidyarthi, S.K.; Pan, Z.; Zielinska, M.; Deng, L.-Z.; Wang, Q.-H.; Wei, Q.; Xiao, H.-W. Pulsed vacuum drying of kiwifruit slices and drying process optimization based on artificial neural network. Dry. Technol. 2020, 39, 405–417. [Google Scholar] [CrossRef]
- Bora, G.C.; Pathak, R.; Ahmadi, M.; Mistry, P. Image processing analysis to track colour changes on apple and correlate to moisture content in drying stages. Food Qual. Saf. 2018, 2, 105–110. [Google Scholar] [CrossRef]
- Liu, Z.-L.; Bai, J.-W.; Yang, W.-X.; Wang, J.; Deng, L.-Z.; Yu, X.-L.; Zheng, Z.-A.; Gao, Z.-J.; Xiao, H.-W. Effect of high-humidity hot air impingement blanching (HHAIB) and drying parameters on drying characteristics and quality of broccoli florets. Dry. Technol. 2019, 37, 1251–1264. [Google Scholar] [CrossRef]
- Voca, N.; Pezo, L.; Peter, A.; Suput, D.; Loncar, B.; Kricka, T. Modelling of corn kernel pre-treatment, drying and processing for ethanol production using artificial neural networks. Ind. Crop. Prod. 2021, 162, 113293. [Google Scholar] [CrossRef]
- Khaki, S.; Wang, L. Crop Yield Prediction Using Deep Neural Networks. Front. Plant Sci. 2019, 10, 621. [Google Scholar] [CrossRef] [PubMed]
- Sadr, H.; Pedram, M.M.; Teshnehlab, M. Multi-View Deep Network: A Deep Model Based on Learning Features From Heterogeneous Neural Networks for Sentiment Analysis. IEEE Access 2020, 8, 86984–86997. [Google Scholar] [CrossRef]
- Chang, A.; Zheng, X.; Xiao, H.; Yao, X.; Liu, D.; Li, X.; Li, Y. Short- and Medium-Wave Infrared Drying of Cantaloupe (Cucumis melon L.) Slices: Drying Kinetics and Process Parameter Optimization. Processes 2022, 10, 114. [Google Scholar] [CrossRef]
- Fernando, A.J.; Amaratunga, S. Application of far-infrared radiation for sun-dried chili pepper (Capsicum annum L.): Drying characteristics and color during roasting. J. Sci. Food Agric. 2022, 102, 3781–3787. [Google Scholar] [CrossRef] [PubMed]
- da Cunha, R.M.C.; Brandão, S.C.R.; de Medeiros, R.A.B.; Júnior, E.V.D.S.; da Silva, J.H.F.; Azoubel, P.M. Effect of ethanol pretreatment on melon convective drying. Food Chem. 2020, 333, 127502. [Google Scholar] [CrossRef]
- Su, D.; Lv, W.; Wang, Y.; Wang, L.; Li, D. Influence of microwave hot-air flow rolling dry-blanching on microstructure, water migration and quality of pleurotus eryngii during hot-air drying. Food Control 2020, 114, 107228. [Google Scholar] [CrossRef]
- Ivanović, S.; Avramović, N.; Dojčinović, B.; Trifunović, S.; Novaković, M.; Tešević, V.; Mandić, B. Chemical Composition, Total Phenols and Flavonoids Contents and Antioxidant Activity as Nutritive Potential of Roasted Hazelnut Skins (Corylus avellana L.). Foods 2020, 9, 430. [Google Scholar] [CrossRef]
- Naseer, S.; Saleem, Y.; Khalid, S.; Bashir, M.K.; Han, J.; Iqbal, M.M.; Han, K. Enhanced Network Anomaly Detection Based on Deep Neural Networks. IEEE Access 2018, 6, 48231–48246. [Google Scholar] [CrossRef]
- Sekhon, J.; Fleming, C. Towards Improved Testing For Deep Learning. In Proceedings of the 2019 IEEE/ACM 41st International Conference on Software Engineering: New Ideas and Emerging Results (ICSE-NIER), Montreal, QC, Canada, 25–31 May 2019; pp. 85–88. [Google Scholar] [CrossRef]
- Rattanavorragant, R.; Jewajinda, Y. A Hyper-parameter Optimization for Deep Neural Network using an Island-based Genetic Algorithm. In Proceedings of the 2019 16th International Conference on Electrical Engineering/Electronics, Computer, Telecommunications and Information Technology, Pattaya, Thailand, 10–13 July 2019; pp. 73–76. [Google Scholar] [CrossRef]
- Ling, Y.; Li, Q.; Zheng, H.; Omran, M.; Gao, L.; Li, K.; Chen, G. Drying kinetics and microstructure evolution of nano-zirconia under microwave pretreatment. Ceram. Int. 2021, 47, 22530–22539. [Google Scholar] [CrossRef]
- Kosasih, E.A.; Zikri, A.; Dzaky, M.I. Effects of drying temperature, airflow, and cut segment on drying rate and activation energy of elephant cassava. Case Stud. Therm. Eng. 2020, 19, 100633. [Google Scholar] [CrossRef]
- Ye, L.; El-Mesery, H.S.; Ashfaq, M.M.; Shi, Y.; Zicheng, H.; Alshaer, W. Analysis of energy and specific energy requirements in various drying process of mint leaves. Case Stud. Therm. Eng. 2021, 26, 101113. [Google Scholar] [CrossRef]
- Osae, R.; Essilfie, G.; Alolga, R.N.; Bonah, E.; Ma, H.; Zhou, C. Drying of ginger slices—Evaluation of quality attributes, energy consumption, and kinetics study. J. Food Process Eng. 2020, 43, e13348. [Google Scholar] [CrossRef]
- Kaveh, M.; Abbaspour-Gilandeh, Y.; Nowacka, M. Comparison of different drying techniques and their carbon emissions in green peas. Chem. Eng. Process. Process Intensif. 2021, 160, 108274. [Google Scholar] [CrossRef]
- Xu, H.; Wu, M.; Wang, Y.; Wei, W.; Sun, D.; Li, D.; Zheng, Z.; Gao, F. Effect of Combined Infrared and Hot Air Drying Strategies on the Quality of Chrysanthemum (Chrysanthemum morifolium Ramat.) Cakes: Drying Behavior, Aroma Profiles and Phenolic Compounds. Foods 2022, 11, 2240. [Google Scholar] [CrossRef]
- An, K.; Zhao, D.; Wang, Z.; Wu, J.; Xu, Y.; Xiao, G. Comparison of different drying methods on Chinese ginger (Zingiber officinale Roscoe): Changes in volatiles, chemical profile, antioxidant properties, and microstructure. Food Chem. 2016, 197, 1292–1300. [Google Scholar] [CrossRef]
- Das, B.K.; Kumar, A.; Sreekumar, S.N.; Ponraj, K.; Gadave, K.; Kumar, S.; Achary, V.M.M.; Ray, P.; Reddy, M.K.; Arockiasamy, A. Comparative kinetic analysis of ascorbate (Vitamin-C) recycling dehydroascorbate reductases from plants and humans. Biochem. Biophys. Res. Commun. 2021, 591, 110–117. [Google Scholar] [CrossRef]
- Wang, J.; Xiao, H.-W.; Ye, J.-H.; Wang, J.; Raghavan, V. Ultrasound Pretreatment to Enhance Drying Kinetics of Kiwifruit (Actinidia deliciosa) Slices: Pros and Cons. Food Bioprocess Technol. 2019, 12, 865–876. [Google Scholar] [CrossRef]
- Bai, J.-W.; Gao, Z.-J.; Xiao, H.-W.; Wang, X.-T.; Zhang, Q. Polyphenol oxidase inactivation and vitamin C degradation kinetics of Fuji apple quarters by high humidity air impingement blanching. Int. J. Food Sci. Technol. 2013, 48, 1135–1141. [Google Scholar] [CrossRef]
- Kidoń, M.; Grabowska, J. Bioactive compounds, antioxidant activity, and sensory qualities of red-fleshed apples dried by different methods. LWT 2021, 136, 110302. [Google Scholar] [CrossRef]
- Nooshkam, M.; Varidi, M.; Bashash, M. The Maillard reaction products as food-born antioxidant and antibrowning agents in model and real food systems. Food Chem. 2019, 275, 644–660. [Google Scholar] [CrossRef] [PubMed]
- Yao, L.; Fan, L.; Duan, Z. Effect of different pretreatments followed by hot-air and far-infrared drying on the bioactive compounds, physicochemical property and microstructure of mango slices. Food Chem. 2020, 305, 125477. [Google Scholar] [CrossRef] [PubMed]
- Geng, Z.; Huang, X.; Wang, J.; Xiao, H.; Yang, X.; Zhu, L.; Qi, X.; Zhang, Q.; Hu, B. Pulsed Vacuum Drying of Pepper (Capsicum annuum L.): Effect of High-Humidity Hot Air Impingement Blanching Pretreatment on Drying Kinetics and Quality Attributes. Foods 2022, 11, 318. [Google Scholar] [CrossRef] [PubMed]
- Baeghbali, V.; Niakousari, M.; Ngadi, M.O.; Eskandari, M.H. Combined ultrasound and infrared assisted conductive hydro-drying of apple slices. Dry. Technol. 2019, 37, 1793–1805. [Google Scholar] [CrossRef]








| Number | Drying Temperature (°C) | Air Velocity (m/s) | Infrared Radiation Distance (cm) |
|---|---|---|---|
| 1 | 50 | 1 | 10 |
| 2 | 50 | 1 | 14 |
| 3 | 50 | 1 | 18 |
| 4 | 50 | 2 | 10 |
| 5 | 50 | 2 | 14 |
| … | … | … | … |
| 9 | 50 | 3 | 18 |
| 10 | 60 | 1 | 10 |
| … | … | … | … |
| 18 | 60 | 3 | 18 |
| 19 | 70 | 1 | 10 |
| … | … | … | … |
| 27 | 70 | 3 | 18 |
| Parameter | Fresh | Drying Temperature (d = 14 cm, v = 3 m/s) | Air Velocity (T = 60 °C, d = 14 cm) | Infrared Radiation Distance (T = 60 °C, v = 3 m/s) | ||||||
|---|---|---|---|---|---|---|---|---|---|---|
| 50 °C | 60 °C | 70 °C | 1 m/s | 2 m/s | 3 m/s | 10 cm | 14 cm | 18 cm | ||
![]() | ![]() | ![]() | ![]() | ![]() | ![]() | ![]() | ![]() | ![]() | ![]() | |
| 72.07 ± 0.45 d | 85.45 ± 0.29 b | 86.48 ± 0.26 a | 83.61 ± 0.23 c | 85.58 ± 0.07 c | 87.23 ± 0.25 a | 86.48 ± 0.26 b | 85.82 ± 1.00 a | 86.48 ± 0.26 a | 86.56 ± 0.64 a | |
| −2.96 ± 0.59 c | 0.99 ± 0.21 a | 0.04 ± 0.43 b | 1.74 ± 0.18 a | 1.06 ± 0.12 a | 0.24 ± 0.20 b | 0.04 ± 0.43 b | 0.80 ± 0.41 a | 0.04 ± 0.43 a | −0.15 ± 0.59 a | |
| 23.57 ± 1.22 c | 28.31 ± 1.05 b | 30.37 ± 0.63 a | 28.38 ± 1.13 a,b | 30.68 ± 1.00 a | 29.77 ± 1.05 a | 30.37 ± 0.63 a | 28.53 ± 0.88 a | 30.37 ± 0.63 a | 30.02 ± 1.29 a | |
| - | 14.76 ± 0.60 b | 16.23 ± 0.25 a | 13.39 ± 0.52 c | 15.80 ± 0.48 b | 16.72 ± 0.28 a | 16.23 ± 0.25 ab | 15.13 ± 0.76 b | 16.23 ± 0.25 a | 16.16 ± 0.07 a | |
| Methods | MR | DBMC | ||
|---|---|---|---|---|
| R2 | MAE | R2 | MAE | |
| DNN | 0.9975 | 0.0011 | 1.0000 | 0.000127 |
| MLP | 0.9960 | 0.0050 | 0.9958 | 0.005600 |
| SVR | 0.9533 | 0.0077 | 0.8990 | 0.087600 |
Publisher’s Note: MDPI stays neutral with regard to jurisdictional claims in published maps and institutional affiliations. |
© 2022 by the authors. Licensee MDPI, Basel, Switzerland. This article is an open access article distributed under the terms and conditions of the Creative Commons Attribution (CC BY) license (https://creativecommons.org/licenses/by/4.0/).
Share and Cite
Huang, X.; Li, Y.; Zhou, X.; Wang, J.; Zhang, Q.; Yang, X.; Zhu, L.; Geng, Z. Prediction of Apple Slices Drying Kinetic during Infrared-Assisted-Hot Air Drying by Deep Neural Networks. Foods 2022, 11, 3486. https://doi.org/10.3390/foods11213486
Huang X, Li Y, Zhou X, Wang J, Zhang Q, Yang X, Zhu L, Geng Z. Prediction of Apple Slices Drying Kinetic during Infrared-Assisted-Hot Air Drying by Deep Neural Networks. Foods. 2022; 11(21):3486. https://doi.org/10.3390/foods11213486
Chicago/Turabian StyleHuang, Xiao, Yongbin Li, Xiang Zhou, Jun Wang, Qian Zhang, Xuhai Yang, Lichun Zhu, and Zhihua Geng. 2022. "Prediction of Apple Slices Drying Kinetic during Infrared-Assisted-Hot Air Drying by Deep Neural Networks" Foods 11, no. 21: 3486. https://doi.org/10.3390/foods11213486
APA StyleHuang, X., Li, Y., Zhou, X., Wang, J., Zhang, Q., Yang, X., Zhu, L., & Geng, Z. (2022). Prediction of Apple Slices Drying Kinetic during Infrared-Assisted-Hot Air Drying by Deep Neural Networks. Foods, 11(21), 3486. https://doi.org/10.3390/foods11213486











