Mixed-Strain Fermentation Conditions Screening of Polypeptides from Rapeseed Meal and the Microbial Diversity Analysis by High-Throughput Sequencing
Abstract
1. Introduction
2. Materials and Methods
2.1. Solid-State Fermentation of Rapeseed Meal
2.2. Single Factor Experiment for Mixed-Bacteria Fermentation of Rapeseed Meal
2.3. Optimization of Fermentation Conditions
2.4. Physicochemical Parameters
2.4.1. Determination of pH and Titratable Acidity Content in the Fermentation Broth
2.4.2. Determination of Glucosinolate Content
2.5. Determination of Microbial Diversity in Fermented Rapeseed Meal by High-Throughput Sequencing Technique
2.5.1. Sample Preparation
2.5.2. Microbial Diversity Analysis
2.6. Statistical Analysis
3. Results
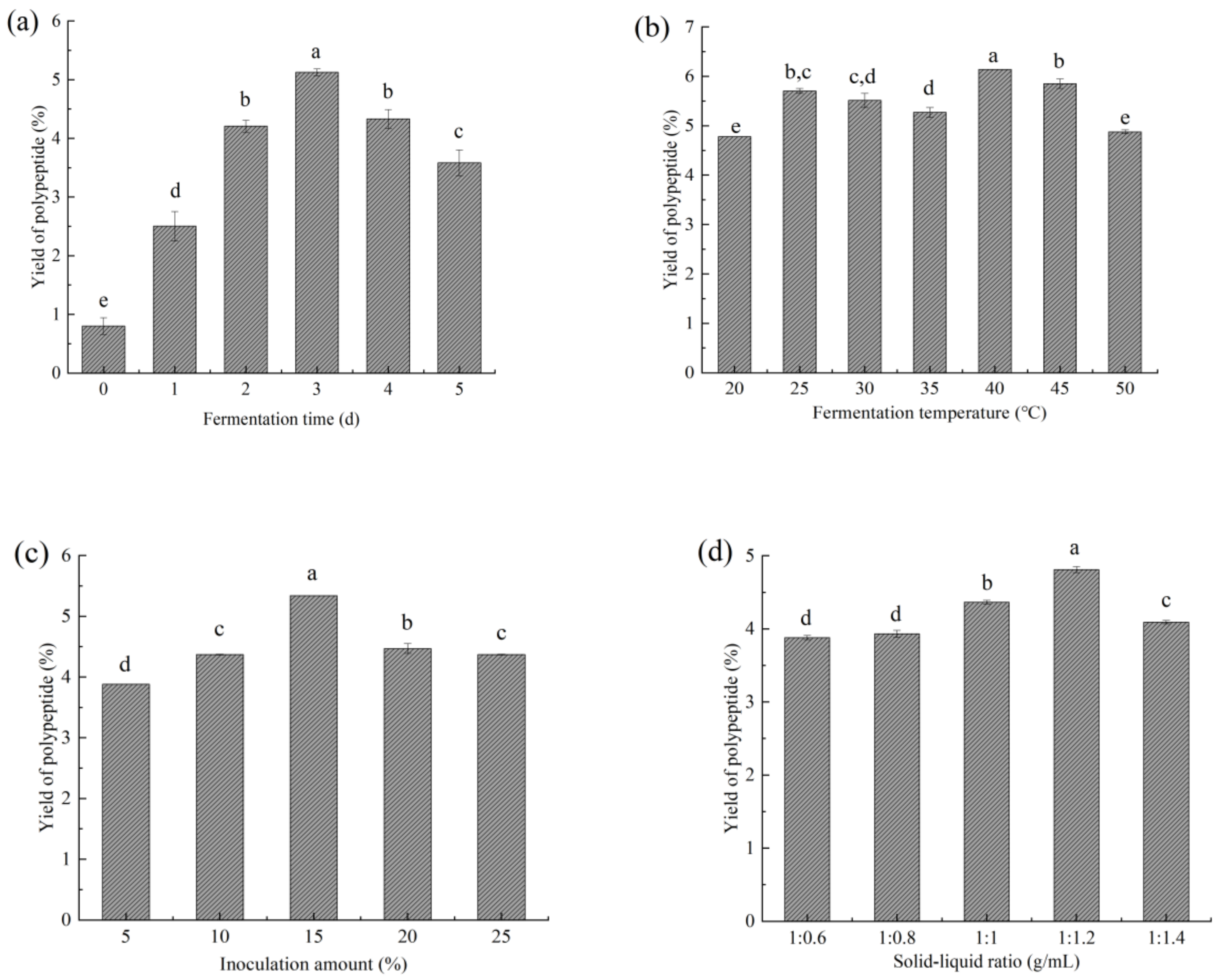
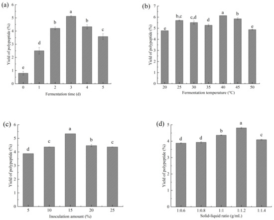
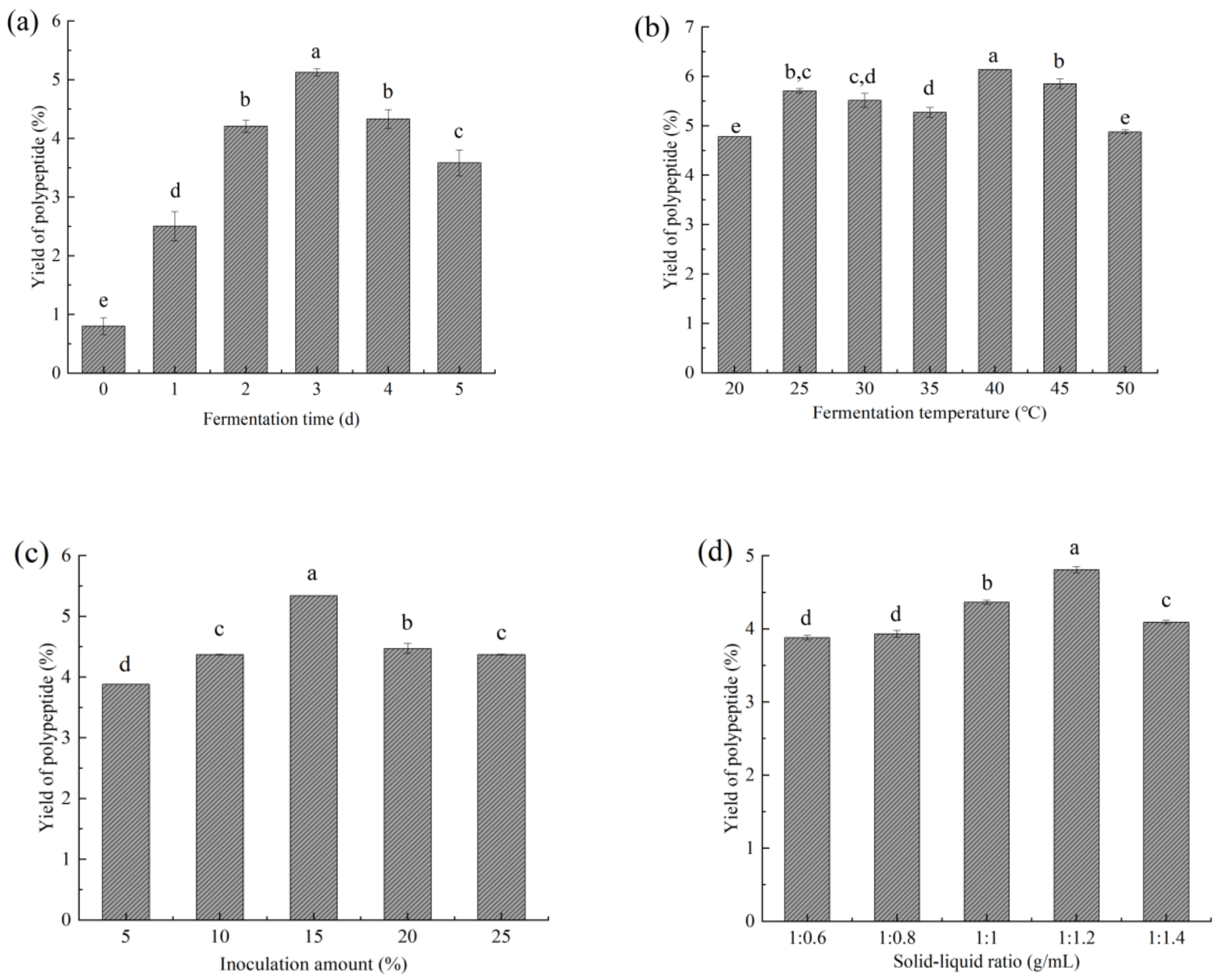
3.1. Effect of Single Factors on the Polypeptide Yield of Rapeseed Meal
3.1.1. Fermentation Time
3.1.2. Fermentation Temperature
3.1.3. Inoculation Amount
3.1.4. Solid–Liquid Ratio
3.2. Optimization of Polypeptide Yield from Fermented Rapeseed Meal
3.2.1. Model Fitting
3.2.2. Optimization of Fermentation Conditions and Model Verification
3.3. Physicochemical Parameters
3.4. Changes in Bacterial Diversity during Fermentation of Rapeseed Meal
3.5. Changes in Fungal Diversity during Rapeseed Meal Fermentation
4. Discussion
5. Conclusions
Author Contributions
Funding
Institutional Review Board Statement
Informed Consent Statement
Data Availability Statement
Conflicts of Interest
References
- Huang, W.; Xu, H.N.; Dai, C.H.; Ma, H.L.; He, R.H. Optimization of microbial solid-state fermentation conditions for polypeptide preparation from rapeseed meal. J. Chin. Cereals Oils Assoc. 2022, 1, 1–13. [Google Scholar]
- Baker, P.W.; Višnjevec, A.M.; Krienke, D.; Preskett, D.; Schwarzkopf, M.; Charlton, A. Pilot scale extraction of protein from cold and hot-pressed rapeseed cake: Preliminary studies on the effect of upstream mechanical processing. Food Bioprod. Process. 2022, 133, 132–139. [Google Scholar] [CrossRef]
- Olukomaiya, O.; Fernando, C.; Mereddy, R.; Li, X.; Sultanbawa, Y. Solid-state fermented plant protein sources in the diets of broiler chickens: A review. Anim. Nutr. 2019, 5, 319–330. [Google Scholar] [CrossRef]
- Tan, Q.; Wang, J.P.; Zeng, Q.F.; Ding, X.M.; Bai, S.P.; Peng, H.W.; Xuan, Y.; Zhang, K.Y. Effects of rapeseed meal on laying performance and egg quality in laying ducks. Poult. Sci. 2022, 101, 101678. [Google Scholar] [CrossRef] [PubMed]
- Konieczka, P.; Józefiak, D.; Kinsner, M.; Smulikowska, S. Effects of high-moisture corn preserved with organic acids combined with rapeseed meal and peas on performance and gut microbiota activity of broiler chickens. Anim. Feed. Sci. Technol. 2021, 280, 115063. [Google Scholar] [CrossRef]
- Nega, T. Review on nutritional limitations and opportunities of using rapeseed meal and other rape seed by products in animal feeding. J. Nutr. Health Food Eng. 2018, 8, 43–48. [Google Scholar] [CrossRef]
- Lee, J.W.; Kim, I.H.; Woyengo, T.A. Toxicity of canola-derived glucosinolate degradation products in pigs—A review. Animals 2020, 10, 2337. [Google Scholar] [CrossRef]
- Wang, W.J.; Yang, B.; Li, W.L.; Zhou, Q.; Liu, C.S.; Zheng, C. Effects of steam explosion pretreatment on the bioactive components and characteristics of rapeseed and rapeseed products. LWT 2021, 143, 111172. [Google Scholar] [CrossRef]
- Qian, J.F.; Yang, Q.H.; Sun, F.; He, M.Y.; Chen, Q.; Yun, Z.; Qin, L.Z. Cogeneration of biodiesel and nontoxic rapeseed meal from rapeseed through in-situ alkaline transesterification. Bioresour. Technol. 2013, 128, 8–13. [Google Scholar] [CrossRef]
- Xie, C.; Li, W.M.; Gao, R.G.; Yan, L.H.; Wang, P.; Gu, Z.X.; Yang, R.Q. Determination of glucosinolates in rapeseed meal and their degradation by myrosinase from rapeseed sprouts. Food Chem. 2022, 382, 132316. [Google Scholar] [CrossRef]
- Shi, C.Y.; He, J.; Yu, J.; Yu, B.; Mao, X.B.; Zheng, P.; Huang, Z.Q.; Chen, D.W. Physicochemical properties analysis and secretome of aspergillus niger in fermented rapeseed meal. PLoS ONE 2016, 11, e0153230. [Google Scholar] [CrossRef] [PubMed]
- Liu, H.J.; Zhong, X.; Huang, Y.; Qiao, C.C.; Shao, C.; Li, R.; Shen, Q.R. Production of free amino acid and short peptide fertilizer from rapeseed meal fermentation using Bacillus flexus NJNPD41 for promoting plant growth. Pedosphere 2018, 28, 261–268. [Google Scholar] [CrossRef]
- Tripathi, M.K.; Mishra, A.S. Glucosinolates in animal nutrition: A review. Anim. Feed. Sci. Technol. 2007, 132, 1–27. [Google Scholar] [CrossRef]
- Wang, M.; Xi, Z.; Wan, C.J.; Chen, W.C.; Wan, X.; Huang, F.H. Research progress on application of microbial fermentation in improving feed quality of rapeseed cake and meal. Chin. J. Oil Crop Sci. 2020, 42, 313–324. [Google Scholar]
- Larissa, M.; Sandra, C.P.; Adilson, J.S.; Cristiane, S.F. One-pot strategy for on-site enzyme production, biomass hydrolysis, and ethanol production using the whole solid-state fermentation medium of mixed filamentous fungi. Biotechnol. Prog. 2018, 34, 671–680. [Google Scholar]
- Leidy, D.d.A.R.; Odilon, G.P.; Karina, G.R.; Eliana, S.L.; Stefanie, A.S.; Thiago, F.B.; Rosinéa, A.d.P.; Mariele, C.N.A. Effects of lactic acid bacteria with bacteriocinogenic potential on the chemical composition and fermentation profile of forage peanut (Arachis pintoi) silage. Anim. Feed. Sci. Technol. 2022, 290, 115340. [Google Scholar]
- Chen, L.Y.; Bai, S.Q.; You, M.H.; Xiao, B.X.; Li, P.; Cai, Y.M. Effect of a low temperature tolerant lactic acid bacteria inoculant on the fermentation quality and bacterial community of oat round bale silage. Anim. Feed. Sci. Technol. 2020, 269, 114669. [Google Scholar] [CrossRef]
- Yusuf, H.A.; Piao, M.Y.; Ma, T.; Huo, R.Y.; Tu, Y. Enhancing the quality of total mixed ration containing cottonseed or rapeseed meal by optimization of fermentation conditions. Fermentation 2021, 7, 234. [Google Scholar] [CrossRef]
- Bao, J.; Zhang, X.; Zheng, J.H.; Ren, D.F.; Lu, J. Mixed fermentation of Spirulina platensis with Lactobacillus plantarum and Bacillus subtilis by random-centroid optimization. Food Chem. 2018, 264, 64–72. [Google Scholar] [CrossRef]
- Xia, A.N.; Liu, L.X.; Tang, X.J.; Lei, S.M.; Meng, X.S.; Liu, Y.G. Dynamics of microbial communities, physicochemical factors and flavor in rose jam during fermentation. LWT 2022, 155, 112920. [Google Scholar] [CrossRef]
- Wang, J.; Ishfaq, M.; Miao, Y.S.; Liu, Z.Y.; Hao, M.T.; Wang, C.Y.; Wang, J.Q.; Chen, X.P. Dietary administration of Bacillus subtilis KCl improves growth performance, immune response, heat stress tolerance, and disease resistance of broiler chickens. Poult. Sci. 2022, 101, 101693. [Google Scholar] [CrossRef] [PubMed]
- Magalhães, C.E.B.; Souza-Neto, M.S.; Astolfi-Filho, S.; Matos, I.T.S.R. Candida tropicalis able to produce yeast single cell protein using sugarcane bagasse hemicellulosic hydrolysate as carbon source. Biotechnol. Res. Innov. 2018, 2, 19–21. [Google Scholar] [CrossRef]
- Ding, C.W.; Zhou, Z.J.; Han, Y.; Wang, P.; Li, Y.L. Optimization of culture conditions of Pediococcus lactobacillus for pediococcus producing. Sci. Technol. Food Ind. 2007, 10, 66–69. [Google Scholar]
- Xu, X.X.; Wu, B.B.; Zhao, W.T.; Lao, F.; Chen, F.; Liao, X.J.; Wu, J.H. Shifts in autochthonous microbial diversity and volatile metabolites during the fermentation of chili pepper (Capsicum frutescens L.). Food Chem. 2021, 335, 127512. [Google Scholar] [CrossRef] [PubMed]
- Chen, Y.H.; Liu, X.W.; Huang, J.L.; Baloch, S.; Xu, X.; Pei, X.F. Microbial diversity and chemical analysis of Shuidouchi, traditional Chinese fermented soybean. Food Res. Int. 2019, 116, 1289–1297. [Google Scholar] [CrossRef]
- Cai, H.Y.; Zhang, T.; Zhang, Q.; Luo, J.; Cai, C.G.; Mao, J.W. Microbial diversity and chemical analysis of the starters used in traditional Chinese sweet rice wine. Food Microbiol. 2018, 73, 319–326. [Google Scholar] [CrossRef]
- Yu, S.F.; Song, J.; Hu, T.; Wang, J.; Liu, X.J.; Zheng, Y.; Shi, L.; Wan, S.P.; Wang, M. Unraveling the core functional bacteria and their succession throughout three fermentation stages of broad bean paste with chili. Food Sci. Hum. Wellness 2022, 11, 874–885. [Google Scholar] [CrossRef]
- Wang, Z.M. Correlation between Structural Shifts of Microbiota and Compositions of Flavors during the Stage of Acetic Acid Fermentation of Zhenjiang Aromatic Vinegar. Ph.D. Thesis, Jiangnan University, Wuxi, China, 2016. Volume 6. [Google Scholar]
- Yang, l.; Chen, Y.F.; Wang, L. Production of soybean meal by solid-state fermentation of multi-strains. Cereal Feed. Ind. 2016, 4, 44–47. [Google Scholar]
- Xiao, M.; Wang, Y.L. Fermented of double-low rapeseed meal by mixed solid culturing. J. Northwest A F Univ. 2015, 43, 1–8. [Google Scholar]
- GB/T 15038. Analytical Methods of Wine and Fruit Wine. China Standards Press: Beijing, China, 2008.
- Liu, X.X.; Yang, L. Determination of glucosinolates in rapeseed by spectrophotometry. Shaanxi J. Agric. Sci. 2002, 6, 5–7. [Google Scholar]
- Wara, P.S.S.; Adi, R.; Novi, A.; Rendi, F.H.; Wahyu, S.; Agung, I. Changes in nutritional and antinutritional aspects of soybean meals by mechanical and solid-state fermentation treatments with Bacillus subtilis and Aspergillus oryzae. Bioresour. Technol. Rep. 2022, 17, 100925. [Google Scholar]
- Wang, X.F. Study on Producing Rapeseed Peptide by Mixed Solid-State Fermentation. Master’s Thesis, Nanjing University of Finance and Economics, Nanjing, China, 2012; p. 11. [Google Scholar]
- Gao, D.Y.; Li, L.M.; Xu, F.Z.; Zhang, B.H.; Wu, S.H. Study on solid-state anaerobic fermentation of rapeseed meal with microorganism. Food Ferment. Ind. 2010, 36, 75–79. [Google Scholar]
- Hou, Y.Z. Thermoprotease-Producing Strain and Its Application in Solid-State Fermentation of Soybean Meal. Master’s Thesis, Jiangsu University, Zhenjiang, China, 2021. Volume 5. [Google Scholar]
- Ashok, P. Solid-state fermentation. Biochem. Eng. J. 2003, 13, 81–84. [Google Scholar]
- Zhang, Z.Y.; Wen, M.; Chang, Y.Q. Degradation of glucosinolates in rapeseed meal by Lactobacillus delbrueckii and Bacillus subtilis. Grain Oil Sci. Technol. 2020, 3, 70–76. [Google Scholar] [CrossRef]
- Grice, E.A.; Kong, H.H.; Conlan, S.; Deming, C.B.; Davis, J.; Young, A.C.; Program, N.C.S.; Bouffard, G.G.; Blakesley, R.W.; Murray, P.R.; et al. Topographical and temporal diversity of the human skin microbiome. Science 2009, 324, 1190–1192. [Google Scholar] [CrossRef]
- Hu, J.K.; Liu, Y.D.; Song, X.; Zhao, J.H.; He, Q.C. Volatile fatty acids production from Brassica chinensis waste and analysis of the associated microbial community. J. Environ. Chem. Eng. 2022, 10, 107599. [Google Scholar] [CrossRef]
- He, Z.; Chen, H.Y.; Wang, X.Y.; Lin, X.P.; Ji, C.F.; Li, S.J.; Liang, H.P. Effects of different temperatures on bacterial diversity and volatile flavor compounds during the fermentation of suancai, a traditional fermented vegetable food from northeastern China. LWT 2020, 118, 108773. [Google Scholar] [CrossRef]
- Li, X.R.; Ma, E.B.; Yan, L.Z.; Meng, H.; Du, X.W.; Zhang, S.W.; Quan, Z.X. Bacterial and fungal diversity in the traditional Chinese liquor fermentation process. Int. J. Food Microbiol. 2022, 146, 31–37. [Google Scholar] [CrossRef]
- Zuo, L.L.; Gao, Y.X.; Wang, Y.J.; Wang, S.R.; Fu, X. Separation and identification of lactic acid bacteria in traditionally fermented soybean paste. China Condiment 2020, 45, 117–120. [Google Scholar]
- Leroy, F.; Vuyst, L.D. Lactic acid bacteria as functional starter cultures for the food fermentation industry. Trends Food Sci. Technol. 2004, 15, 67–78. [Google Scholar] [CrossRef]
- Wu, J.R.; Tian, T.; Liu, Y.M.; Shi, Y.X.; Tao, D.B.; Wu, R.N.; Yue, X.Q. The dynamic changes of chemical components and microbiota during the natural fermentation process in Da-Jiang, a Chinese popular traditional fermented condiment. Food Res. Int. 2018, 112, 457–467. [Google Scholar] [CrossRef] [PubMed]
- Wei, R.T.; Ding, Y.T.; Chen, N.; Wang, L.; Gao, F.F.; Zhang, L.; Song, R.; Liu, Y.H.; Li, H.; Wang, H. Diversity and dynamics of microbial communities during spontaneous fermentation of Cabernet Sauvignon (Vitis vinifera L.) from different regions of China and their relationship with the volatile components in the wine. Food Res. Int. 2022, 156, 111372. [Google Scholar] [CrossRef] [PubMed]
- Qiu, S.; Wang, Y.; Cheng, Y.Q.; Liu, Y.; Yadav, M.P.; Yin, L.J. Reduction of biogenic amines in sufu by ethanol addition during ripening stage. Food Chem. 2018, 239, 1244–1252. [Google Scholar] [CrossRef] [PubMed]
- Cruz-O’Byrne, R.; Nelson, P.G.; Sonia, A.F. Microbial diversity associated with spontaneous coffee bean fermentation process and specialty coffee production in northern Colombia. Int. J. Food Microbiol. 2021, 354, 109282. [Google Scholar] [CrossRef]
- Xiang, M. Reasearch on the Fermentation of Mulberry Leaf Lactic Acid Bacteria and Its Quality Characteristics. Master’s Thesis, Southwest University, Chongqing, China, 2021. Volume 4. [Google Scholar]
- Schloss, P.D.; Hay, A.G.; Wilson, D.B.; Walker, L.P. Tracking temporal changes of bacterial community fingerprints during the initial stages of composting. FEMS Microbiol. Ecol. 2003, 46, 1–9. [Google Scholar] [CrossRef]
- Huang, W.Q.; Hu, X.; Zeng, J.R.; Tian, X.F.; Wu, Z.Q. Changing the nutrient composition and enhancing the hydrolytic enzyme activity of citrus pulp residue by cofermentation with Candida utilis and Bacillus subtilis. Process Biochem. 2021, 107, 83–90. [Google Scholar] [CrossRef]
- Palop, M.L.L.; Smiths, J.P.; Brink, B. Degradation of sinigrin by Lactobacillus agilis strain R16. Int. J. Food Microbiol. 1995, 26, 19–229. [Google Scholar] [CrossRef]
- Zhu, X.F.; Wang, L.Y.; Zhang, Z.Z.; Ding, L.R.; Hang, S.Q. Combination of fiber-degrading enzymatic hydrolysis and lactobacilli fermentation enhances utilization of fiber and protein in rapeseed meal as revealed in simulated pig digestion and fermentation in vitro. Anim. Feed. Sci. Technol. 2021, 278, 115001. [Google Scholar] [CrossRef]
- Hou, X.S. Breeding of Thermoprotease-Producing Strain and Its Application in the Preparation of Polypeptides from Rapeseed Meal by Solid-State Fermentation. Master’s Thesis, Jiangsu University, Zhenjiang, China, 2019. Volume 5. [Google Scholar]



| Independent Variables | Symbols | Coded Levels | ||
|---|---|---|---|---|
| −1 | 0 | 1 | ||
| Fermentation temperature (°C) | A | 35 | 40 | 45 |
| Solid–liquid ratio (g/mL) | B | 1:1 | 1:1.2 | 1:1.4 |
| Inoculation volume (%) | C | 10 | 15 | 20 |
| Fermentation time (d) | D | 3 | 4 | 5 |
| Run | A: (°C) | B: (g/mL) | C: (%) | D: (d) | PY: (%) | AY: (%) |
|---|---|---|---|---|---|---|
| 1 | −1 | 0 | 1 | 0 | 6.24 | 6.29 |
| 2 | 0 | 0 | 0 | 0 | 7.39 | 7.43 |
| 3 | 0 | 1 | 1 | 0 | 5.98 | 5.90 |
| 4 | 0 | 1 | 0 | −1 | 5.79 | 5.80 |
| 5 | 1 | 0 | 0 | −1 | 6.19 | 6.10 |
| 6 | −1 | 0 | 0 | 1 | 5.66 | 5.69 |
| 7 | 0 | −1 | −1 | 0 | 6.00 | 6.03 |
| 8 | 1 | 0 | 0 | 1 | 5.72 | 5.59 |
| 9 | 0 | 0 | −1 | −1 | 5.75 | 5.78 |
| 10 | 1 | 0 | −1 | 0 | 6.19 | 6.17 |
| 11 | −1 | 1 | 0 | 0 | 6.09 | 6.03 |
| 12 | 1 | 0 | 1 | 0 | 6.38 | 6.45 |
| 13 | 0 | 1 | 0 | 1 | 5.24 | 5.30 |
| 14 | 0 | 0 | 0 | 0 | 7.39 | 7.41 |
| 15 | 0 | 0 | −1 | 1 | 5.28 | 5.29 |
| 16 | 0 | −1 | 0 | 1 | 5.55 | 5.58 |
| 17 | 1 | −1 | 0 | 0 | 6.38 | 6.46 |
| 19 | 0 | 0 | 1 | −1 | 5.86 | 5.87 |
| 19 | −1 | 0 | −1 | 0 | 6.11 | 6.08 |
| 20 | −1 | 0 | 0 | −1 | 6.03 | 6.10 |
| 21 | 0 | 1 | −1 | 0 | 5.72 | 5.70 |
| 22 | −1 | −1 | 0 | 0 | 6.28 | 6.21 |
| 23 | 0 | −1 | 0 | −1 | 5.84 | 5.81 |
| 24 | 0 | −1 | 1 | 0 | 6.06 | 6.03 |
| 25 | 0 | 0 | 0 | 0 | 7.39 | 7.31 |
| 26 | 0 | 0 | 1 | 1 | 5.50 | 5.49 |
| 27 | 1 | 1 | 0 | 0 | 6.20 | 6.29 |
| 28 | 0 | 0 | 0 | 0 | 7.39 | 7.37 |
| 29 | 0 | 0 | 0 | 0 | 7.39 | 7.41 |
| Mean | R2 | Adj-R2 | Standard Deviations | Coefficient of Variation (%) |
|---|---|---|---|---|
| 12.340 | 0.993 | 0.985 | 0.156 | 1.260 |
| 0 h | 24 h | 48 h | 72 h | |
|---|---|---|---|---|
| pH | 5.315 ± 0.01 a | 5.29 ± 0 b | 5.235 ± 0.005 c | 5.145 ± 0.005 d |
| titratable acidity (g/kg) | 57.295 ± 0.105 a | 58.35 ± 0.03 b | 68.875 ± 0.025 c | 85.54 ± 0.32 d |
| Glucosinolate content (µmol/g) | 42.33 ± 0.11 a | 37.605 ± 0.605 b | 26.925 ± 0.455 c | 22.775 ± 0.275 d |
| Sample | OTUs | ACE | Chao1 | Simpson | Shannon | Coverage |
|---|---|---|---|---|---|---|
| RM | 496 | 508.53 | 522.25 | 0.99 | 8.04 | 99.97% |
| NI | 335 | 374.14 | 374.00 | 0.67 | 2.23 | 99.91% |
| C1 | 343 | 355.99 | 359.87 | 0.61 | 2.55 | 99.97% |
| C2 | 401 | 412.83 | 425.80 | 0.74 | 2.81 | 99.95% |
| C3 | 305 | 316.29 | 321.11 | 0.66 | 2.09 | 99.96% |
| Sample | OTUs | ACE | Chao1 | Simpson | Shannon | Coverage |
|---|---|---|---|---|---|---|
| RM | 60 | 63.29 | 63.75 | 0.68 | 2.48 | 99.99% |
| NI | 98 | 98.00 | 98.00 | 0.34 | 1.64 | 100.00% |
| C1 | 128 | 128.29 | 128.00 | 0.42 | 2.23 | 100.00% |
| C2 | 96 | 96.00 | 96.00 | 0.24 | 1.19 | 100.00% |
| C3 | 121 | 121.00 | 121.00 | 0.33 | 1.80 | 100.00% |
Publisher’s Note: MDPI stays neutral with regard to jurisdictional claims in published maps and institutional affiliations. |
© 2022 by the authors. Licensee MDPI, Basel, Switzerland. This article is an open access article distributed under the terms and conditions of the Creative Commons Attribution (CC BY) license (https://creativecommons.org/licenses/by/4.0/).
Share and Cite
Huang, W.; Xu, H.; Pan, J.; Dai, C.; Mintah, B.K.; Dabbour, M.; Zhou, R.; He, R.; Ma, H. Mixed-Strain Fermentation Conditions Screening of Polypeptides from Rapeseed Meal and the Microbial Diversity Analysis by High-Throughput Sequencing. Foods 2022, 11, 3285. https://doi.org/10.3390/foods11203285
Huang W, Xu H, Pan J, Dai C, Mintah BK, Dabbour M, Zhou R, He R, Ma H. Mixed-Strain Fermentation Conditions Screening of Polypeptides from Rapeseed Meal and the Microbial Diversity Analysis by High-Throughput Sequencing. Foods. 2022; 11(20):3285. https://doi.org/10.3390/foods11203285
Chicago/Turabian StyleHuang, Wei, Haining Xu, Jiayin Pan, Chunhua Dai, Benjamin Kumah Mintah, Mokhtar Dabbour, Rong Zhou, Ronghai He, and Haile Ma. 2022. "Mixed-Strain Fermentation Conditions Screening of Polypeptides from Rapeseed Meal and the Microbial Diversity Analysis by High-Throughput Sequencing" Foods 11, no. 20: 3285. https://doi.org/10.3390/foods11203285
APA StyleHuang, W., Xu, H., Pan, J., Dai, C., Mintah, B. K., Dabbour, M., Zhou, R., He, R., & Ma, H. (2022). Mixed-Strain Fermentation Conditions Screening of Polypeptides from Rapeseed Meal and the Microbial Diversity Analysis by High-Throughput Sequencing. Foods, 11(20), 3285. https://doi.org/10.3390/foods11203285

