Comparison of the Effects of High Hydrostatic Pressure and Pasteurization on Quality of Milk during Storage
Abstract
:1. Introduction
2. Materials and Methods
2.1. Raw Materials and Chemicals
2.2. HHP, Pasteurization and Pasteurization-HHP Treatments of Milk
2.3. Storage Conditions
2.4. Microbial Analysis
2.5. Physicochemical Characteristics Analysis
2.6. Determination of Protein, Fat, Calcium, Ash and β-lactoglobulin (β-LG) Content
2.7. Quantification of Alkaline Phosphatase Activity
2.8. Quantification of Furosine
2.9. Viscosity Analysis
2.10. Particle Size Measurement
2.11. Sensory Evaluation
2.12. Statistical Analysis
3. Results and Discussion
3.1. Microbiological Analysis
3.2. Physicochemical Characteristics
3.2.1. pH
3.2.2. Turbidity
3.2.3. Color
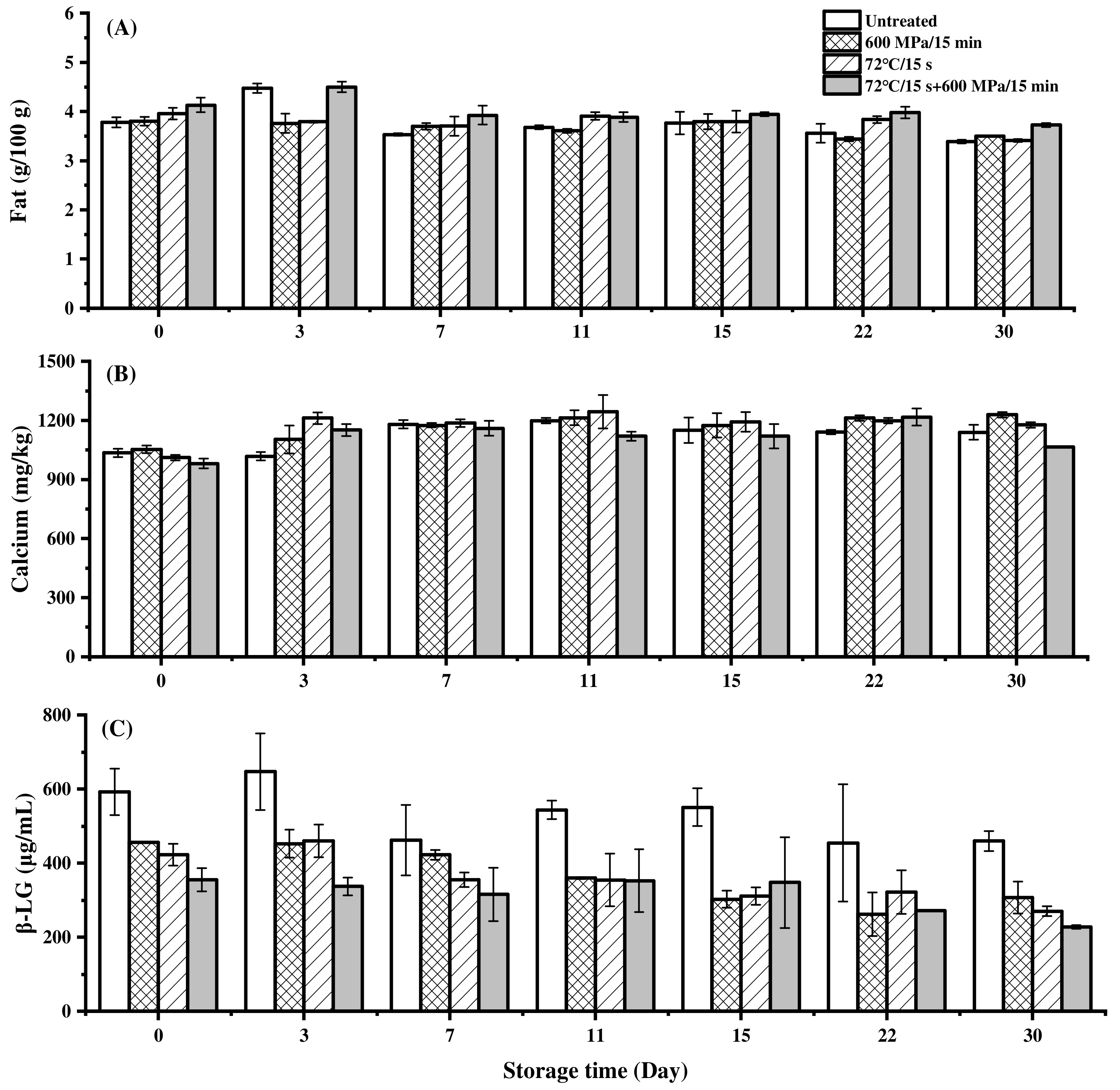
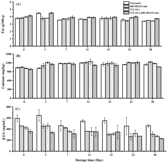
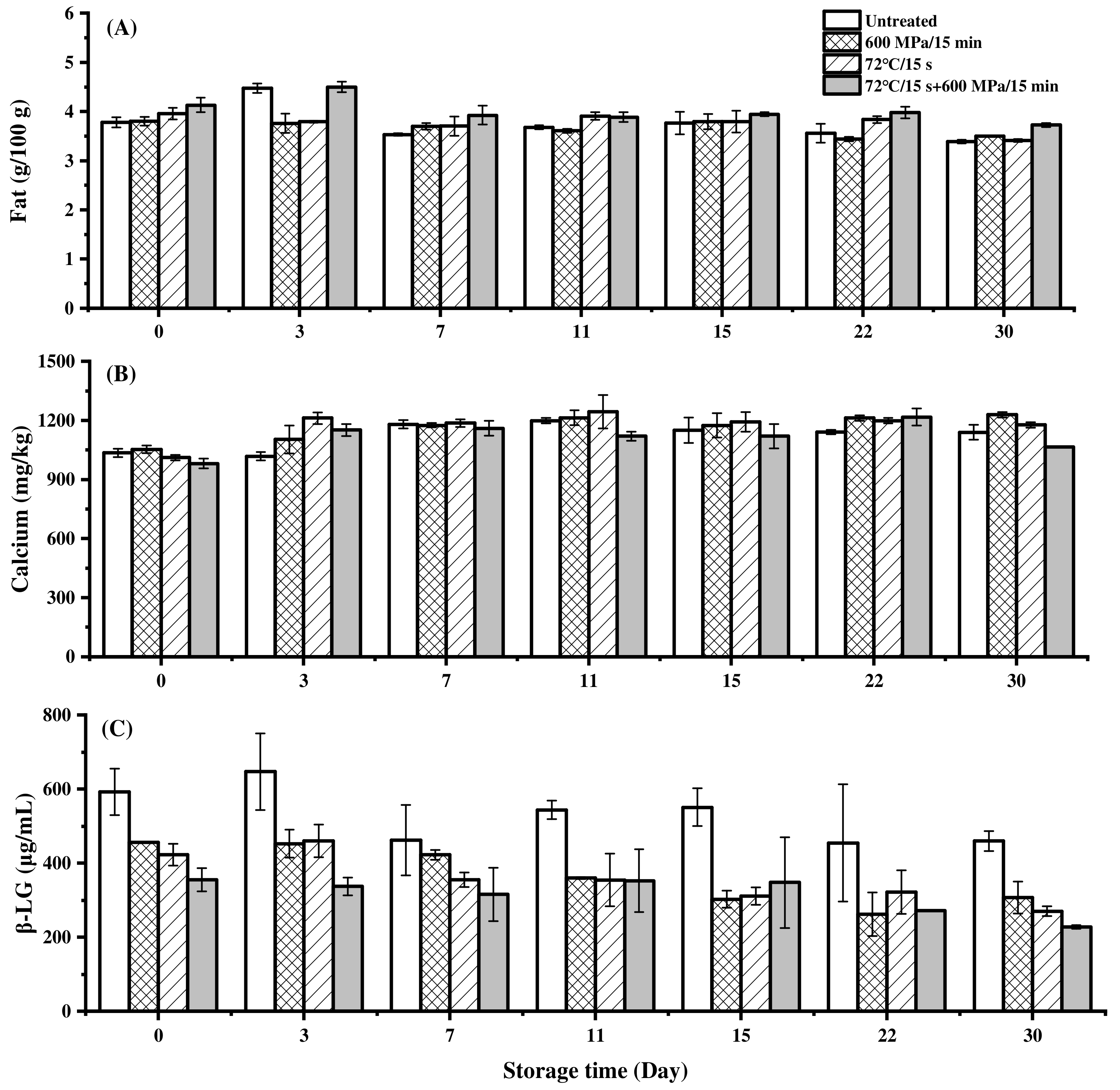
3.3. Nutrient Content
3.3.1. Fat
3.3.2. Calcium
3.3.3. β-LG
3.4. Alkaline Phosphatase Activity
3.5. Viscosity
3.6. Particle Size
3.7. Sensory Evaluation
3.8. Principal Component Analysis (PCA)
4. Conclusions
Supplementary Materials
Author Contributions
Funding
Data Availability Statement
Acknowledgments
Conflicts of Interest
References
- Sharabi, S.; Okun, Z.; Shpigelman, A. Changes in the shelf life stability of riboflavin, vitamin C and antioxidant properties of milk after (ultra) high pressure homogenization: Direct and indirect effects. Innov. Food Sci. Emerging Technol. 2018, 47, 161–169. [Google Scholar] [CrossRef]
- Zagorska, J.; Galoburda, R.; Raita, S.; Liepa, M. Inactivation and recovery of bacterial strains, individually and mixed, in milk after high pressure processing. Int. Dairy J. 2021, 123, 105147. [Google Scholar] [CrossRef]
- Stratakos, A.C.; Inguglia, E.S.; Linton, M.; Tollerton, J.; Murphy, L.; Corcionivoschi, N.; Koidis, A.; Tiwari, B.K. Effect of high pressure processing on the safety, shelf life and quality of raw milk. Innov. Food Sci. Emerg. Technol. 2019, 52, 325–333. [Google Scholar] [CrossRef]
- Tamime, A.Y. Milk Processing and Quality Management; John Wiley & Sons: Oxford, UK, 2009; pp. 169–198. [Google Scholar]
- Barba, F.J.; Koubaa, M.; Do Prado-Silva, L.; Orlien, V.; Sant Ana, A.D.S. Mild processing applied to the inactivation of the main foodborne bacterial pathogens: A review. Trends Food Sci. Technol. 2017, 66, 20–35. [Google Scholar] [CrossRef]
- Coolbear, T.; Janin, N.; Traill, R.; Shingleton, R. Heat-induced changes in the sensory properties of milk. Int. Dairy J. 2022, 126, 105199. [Google Scholar] [CrossRef]
- Wang, H.; Sun, Q.; Liu, L.; Zhang, S.; Liang, X.; Lu, J. Effect of processing temperature on salts and casein colloid in bovine milk. Food Sci. 2012, 33, 75–78. [Google Scholar]
- Coutinho, N.M.; Silveira, M.R.; Rocha, R.S.; Moraes, J.; Ferreira, M.V.S.; Pimentel, T.C.; Cruz, A.G. Cold plasma processing of milk and dairy products. Trends Food Sci. Technol. 2018, 74, 56–68. [Google Scholar] [CrossRef]
- Huang, H.; Wu, S.; Lu, J.; Shyu, Y.; Wang, C. Current status and future trends of high-pressure processing in food industry. Food Control. 2017, 72, 1–8. [Google Scholar] [CrossRef]
- Huang, H.; Lung, H.; Yang, B.B.; Wang, C. Responses of microorganisms to high hydrostatic pressure processing. Food Control. 2014, 40, 250–259. [Google Scholar] [CrossRef]
- Gänzle, M.; Liu, Y. Mechanisms of pressure-mediated cell death and injury in Escherichia coli: From fundamentals to food applications. Front. Microbiol. 2015, 6, 599. [Google Scholar] [CrossRef]
- Oey, I.; Lille, M.; Loey, A.V.; Hendrickx, M. Effect of high-pressure processing on colour, texture and flavour of fruit- and vegetable-based food products: A review. Trends Food Sci. Technol. 2008, 19, 320–328. [Google Scholar] [CrossRef]
- Pitino, M.A.; Unger, S.; Doyen, A.; Pouliot, Y.; Aufreiter, S.; Stone, D.; O’Connor, D.L. High hydrostatic pressure processing better preserves the nutrient and bioactive compound composition of human donor milk. J. Nutr. 2019, 149, 497–504. [Google Scholar] [CrossRef] [PubMed]
- Zhang, J.; Lee, N.A.; Duley, J.A.; Cowley, D.M.; Shaw, P.N.; Bansal, N. Comparing the effects of hydrostatic high-pressure processing vs holder pasteurisation on the microbial, biochemical and digestion properties of donor human milk. Food Chem. 2022, 373, 131545. [Google Scholar] [CrossRef]
- Martínez-Monteagudo, S.I.; Balasubramaniam, V.M. Fundamentals and Applications of High-Pressure Processing Technology; Springer: New York, NY, USA, 2016; pp. 3–17. [Google Scholar]
- Liepa, M.; Zagorska, J.; Galoburda, R.; Kostascuka, S. Effect of high-pressure processing on microbial quality of skimmed milk. Proc. Latv. Acad. Sci. Sect. B. 2018, 72, 118–122. [Google Scholar] [CrossRef]
- Syed, Q.A.; Hassan, A.; Sharif, S.; Ishaq, A.; Saeed, F.; Afzaal, M.; Anjum, F.M. Structural and functional properties of milk proteins as affected by heating, high pressure, gamma and ultraviolet irradiation: A review. Int. J. Food Prop. 2021, 24, 871–884. [Google Scholar] [CrossRef]
- Sergius-Ronot, M.; Pitino, M.A.; Suwal, S.; Shama, S.; Unger, S.; O’Connor, D.L.; Doyen, A. Impact of holder, high temperature short time and high hydrostatic pressure pasteurization methods on protein structure and aggregation in a human milk protein concentrate. Food Chem. 2022, 374, 131808. [Google Scholar] [CrossRef]
- Liu, G.; Carøe, C.; Qin, Z.; Munk, D.M.E.; Crafack, M.; Petersen, M.A.; Ahrné, L. Comparative study on quality of whole milk processed by high hydrostatic pressure or thermal pasteurization treatment. LWT-Food Sci. Technol. 2020, 127, 109370. [Google Scholar] [CrossRef]
- Wang, Y.; Liu, F.; Cao, X.; Chen, F.; Hu, X.; Liao, X. Comparison of high hydrostatic pressure and high temperature short time processing on quality of purple sweet potato nectar. Innov. Food Sci. Emerg. Technol. 2012, 16, 326–334. [Google Scholar] [CrossRef]
- GB5009.5-2016; National Food Safety Standard—Determination of Protein in Foods. Standard Press of China: Beijing, China, 2016.
- GB5009.6-2016; National Food Safety Standard—Determination of Fat in Foods. Standard Press of China: Beijing, China, 2016.
- GB5009.268-2016; National Food Safety Standard—Determination of Multiple Elements in Foods. Standard Press of China: Beijing, China, 2016.
- GB5009.4-2016; National Food Safety Standard—Determination of Ash in Foods. Standard Press of China: Beijing, China, 2016.
- Wazed, M.A.; Farid, M. Hypoallergenic and low-protein ready-to-feed (rtf) infant formula by high pressure pasteurization: A novel product. Foods 2019, 8, 408. [Google Scholar] [CrossRef]
- Liao, H.; Zhong, K.; Hu, X.; Liao, X. Effect of high pressure carbon dioxide on alkaline phosphatase activity and quality characteristics of raw bovine milk. Innov. Food Sci. Emerg. Technol. 2019, 52, 457–462. [Google Scholar] [CrossRef]
- Zhang, Y.; Yi, S.; Lu, J.; Pang, X.; Xu, X.; Lv, J.; Zhang, S. Effect of different heat treatments on the Maillard reaction products, volatile compounds and glycation level of milk. Int. Dairy J. 2021, 123, 105182. [Google Scholar] [CrossRef]
- Lwin, H.P.; Lee, J. Fruit quality and major metabolites in cold-stored ’wonhwang’ Asian pears are differentially affected by fruit size. J. Sci. Food Agric. 2020, 100, 5117–5125. [Google Scholar] [CrossRef] [PubMed]
- Hai-Hong, F.; Jian-Yong, Y.I.; Jin-Feng, B.I.; Jun, L.I. Effect of high hydrostatic pressure on qualities of prepared green asparagus spears. Sci. Technol. Food Ind. 2016, 37, 101–111. [Google Scholar] [CrossRef]
- Aertsen, A.; Vanoirbeek, K.; Spiegeleer, P.D.; Sermon, J.; Hauben, K.; Farewell, A.; Thomas Nystro, M.; Michiels, C.W. Heat shock protein-mediated resistance to high hydrostatic pressure in Escherichia coli. Appl. Environ. Microbiol. 2004, 70, 2660–2666. [Google Scholar] [CrossRef] [PubMed]
- Considine, K.M.; Kelly, A.L.; Fitzgerald, G.F.; Hill, C.; Sleator, R.D. High-pressure processing-effects on microbial food safetyand food quality. FEMS Microbiol. Lett. 2008, 281, 1–9. [Google Scholar] [CrossRef] [PubMed]
- Mota, M.J.; Lopes, R.P.; Delgadillo, I.; Saraiva, J.A. Microorganisms under high pressure-adaptation, growth and biotechnological potential. Biotechnol. Adv. 2013, 31, 1426–1434. [Google Scholar] [CrossRef]
- Kim, H.Y.; Kim, S.H.; Choi, M.J.; Min, S.G.; Kwak, H.S. The effect of high pressure-low temperature treatment on physicochemical properties in milk. J. Dairy. Sci. 2008, 91, 4176–4182. [Google Scholar] [CrossRef]
- Serna-Hernandez, S.O.; Escobedo-Avellaneda, Z.; García-García, R.; Rostro-Alanis, M.D.J.; Welti-Chanes, J. High hydrostatic pressure induced changes in the physicochemical and functional properties of milk and dairy products: A review. Foods 2021, 10, 1867. [Google Scholar] [CrossRef]
- Odriozola-Serrano, I.; Bendicho-Porta, S.; Martín-Belloso, O. Comparative study on shelf life of whole milk processed by high-intensity pulsed electric field or heat treatment. J. Dairy. Sci. 2006, 89, 905–911. [Google Scholar] [CrossRef]
- Mcauley, C.M.; Singh, T.K.; Haro-Maza, J.F.; Williams, R.; Buckow, R. Microbiological and physicochemical stability of raw, pasteurised or pulsed electric field-treated milk. Innov. Food Sci. Emerg. Technol. 2016, 38, 365–373. [Google Scholar] [CrossRef]
- Orlien, V.; Boserup, L.; Olsen, K. Casein micelle dissociation in skim milk during high-pressure treatment: Effects of pressure, pH, and temperature. J. Dairy. Sci. 2010, 93, 12–18. [Google Scholar] [CrossRef] [PubMed]
- Anema, S.G.; Lee, S.K.; Schrader, K.; Buchheim, W. Effect of pH on the turbidity of pressure-treated calcium caseinate suspensions and skim milk. Milchwissenschaft 1997, 52, 141–146. [Google Scholar]
- Pitkowski, A.; Nicolai, T.; Durand, D. Scattering and turbidity study of the dissociation of casein by calcium chelation. Biomacromolecules 2008, 9, 369–375. [Google Scholar] [CrossRef] [PubMed]
- Nassar, K.S.; Lu, J.; Pang, X.; Ragab, E.S.; Yue, Y.; Obaroakpo, U.J.; Lv, J. The functionality of micellar casein produced from retentate caprine milk treated by HP. J. Food Eng. 2021, 288, 110144. [Google Scholar] [CrossRef]
- Pan, K.; Zhong, Q. Improving clarity and stability of skim milk powder dispersions by dissociation of casein micelles at pH 11.0 and acidification with citric acid. J. Agric. Food Chem. 2013, 61, 9260–9268. [Google Scholar] [CrossRef] [PubMed]
- Huppertz, T.; Kelly, A.L.; Fox, P.F. Effects of high pressure on some constituents and properties of buffalo milk. Int. Dairy J. 2005, 72, 226–233. [Google Scholar] [CrossRef]
- Altuner, E.M.; Alpas, H.; Erdem, Y.K.; Bozoglu, F. Effect of high hydrostatic pressure on physicochemical and biochemical properties of milk. Eur. Food Res. Technol. 2006, 222, 392–396. [Google Scholar] [CrossRef]
- Gervilla, R.; Ferragut, V.; Guamis, B. High pressure inactivation of microorganisms inoculated into ovine milk of different fat contents. J. Dairy Sci. 2000, 83, 674–682. [Google Scholar] [CrossRef]
- O’sullivan, M.M.; Kelly, A.L.; Fox, P.F. Influence of transglutaminase treatment on some physico-chemical properties of milk. J. Dairy Res. 2002, 69, 433–442. [Google Scholar] [CrossRef]
- German, J.B.; Dillard, C.J. Composition, structure and absorption of milk lipids: A source of energy, fat-soluble nutrients and bioactive molecules. Crit. Rev. Food Sci. Nutr. 2006, 46, 57–92. [Google Scholar] [CrossRef]
- Lee, H.; Padhi, E.; Hasegawa, Y.; Larke, J.; Parenti, M.; Wang, A.; Slupsky, C. Compositional dynamics of the milk fat globule and its role in infant development. Front. Pediatr. 2018, 6, 313. [Google Scholar] [CrossRef] [PubMed]
- Mohan, M.S.; O’Callaghan, T.F.; Kelly, P.; Hogan, S.A. Milk fat: Opportunities, challenges and innovation. Crit. Rev. Food Sci. Nutr. 2021, 61, 2411–2443. [Google Scholar] [CrossRef] [PubMed]
- Soares, V.A.; Kus, M.; Peixoto, A.; Carrocci, J.S.; Salazar, R.; Filho, H. Determination of nutritional and toxic elements in pasteurized bovine milk from Vale do Paraiba region (Brazil). Food Control. 2010, 21, 45–49. [Google Scholar] [CrossRef]
- Nassar, K.S.; Zhang, S.; Lu, J.; Pang, X.; Ragab, E.S.; Yue, Y.; Lv, J. Combined effects of high-pressure treatment and storage temperature on the physicochemical properties of caprine milk. Int. Dairy J. 2019, 96, 66–72. [Google Scholar] [CrossRef]
- Munir, M.; Nadeem, M.; Qureshi, T.M.; Leong, T.S.H.; Gamlath, C.J.; Martin, G.J.O.; Ashokkumar, M. Effects of high pressure, microwave and ultrasound processing on proteins and enzyme activity in dairy systems—A review. Innov. Food Sci. Emerg. Technol. 2019, 57, 102192. [Google Scholar] [CrossRef]
- Funtenberger, S.; Dumay, E.; Cheftel, J.C. Pressure-induced aggregation of β-lactoglobulin in pH 7.0 buffers. LWT-Food Sci. Technol. 1995, 28, 410–418. [Google Scholar] [CrossRef]
- Bogahawaththa, D.; Buckow, R.; Chandrapala, J.; Vasiljevic, T. Comparison between thermal pasteurization and high pressure processing of bovine skim milk in relation to denaturation and immunogenicity of native milk proteins. Innov. Food Sci. Emerg. Technol. 2018, 47, 301–308. [Google Scholar] [CrossRef]
- Zhang, Z.; Hu, H.; Xu, X.; Pan, S.; Peng, B. Insights of pressure-induced unfolding of β-lactoglobulin as revealed by steered molecular dynamics. Adv. Theory Simul. 2019, 2, 1800199. [Google Scholar] [CrossRef]
- Davis, P.J.; Williams, S.C. Protein modification by thermal processing. Allergy 1998, 53, 102–105. [Google Scholar] [CrossRef]
- Broersen, K. Milk processing affects structure, bioavailability and immunogenicity of β-lactoglobulin. Foods 2020, 9, 874. [Google Scholar] [CrossRef]
- Zhang, L.; Zhou, R.; Zhang, J.; Zhou, P. Heat-induced denaturation and bioactivity changes of whey proteins. Int. Dairy J. 2021, 123, 105175. [Google Scholar] [CrossRef]
- Goyal, A.; Kaushik, R.; Sharma, V.; Upadhyay, N.; Sihag, M. High pressure processing and its impact on milk proteins: A review. J. Dairy Sci. Technol. 2013, 2, 2319–3409. [Google Scholar]
- Huppertz, T.; Fox, P.F.; Kelly, A.L. High pressure-induced denaturation of α-lactalbumin and β-lactoglobulin in bovine milk and whey: A possible mechanism. J. Dairy Res. 2004, 71, 489–495. [Google Scholar] [CrossRef]
- Stapelfeldt, H.; Petersen, P.H.; Kristiansen, K.R.; Qvist, K.B.; Skibsted, L.H. Effect of high hydrostatic pressure on the enzymic hydrolysis of beta-lactoglobulin B by trypsin, thermolysin and pepsin. J. Dairy Res. 1996, 63, 111–118. [Google Scholar] [CrossRef] [PubMed]
- Rademacher, B.; Hinrichs, J. Effects of high pressure treatment on indigenous enzymes in bovine milk: Reaction kinetics, inactivation and potential application. Int. Dairy J. 2006, 16, 655–661. [Google Scholar] [CrossRef]
- Ritota, M.; Di Costanzo, M.G.; Mattera, M.; Manzi, P. New trends for the evaluation of heat treatments of milk. J. Anal. Methods Chem. 2017, 2017, 1864832. [Google Scholar] [CrossRef]
- Pereda, J.; Ferragut, V.; Quevedo, J.M.; Guamis, B.; Trujillo, A.J. Effects of ultra-high pressure homogenization on microbial and physicochemical shelf life of milk. J. Dairy Sci. 2007, 90, 1081–1093. [Google Scholar] [CrossRef]
- Amador-Espejo, G.G.; Suarez-Berencia, A.; Juan, B.; Barcenas, M.E.; Trujillo, A.J. Effect of moderate inlet temperatures in ultra-high-pressure homogenization treatments on physicochemical and sensory characteristics of milk. J. Dairy Sci. 2014, 97, 659–671. [Google Scholar] [CrossRef]
- Camp, J.V.; Huyghebaert, A. A comparative rheological study of heat and high pressure induced whey protein gels. Food Chem. 1995, 54, 357–364. [Google Scholar] [CrossRef]
- Venir, E.; Marchesini, G.; Biasutti, M.; Innocente, N. Dynamic high pressure-induced gelation in milk protein model systems. J. Dairy Sci. 2010, 93, 483–494. [Google Scholar] [CrossRef]
- Ho, Q.T.; Murphy, K.M.; Drapala, K.P.; Fenelon, M.A.; O’Mahony, J.A.; Tobin, J.T.; Mccarthy, N.A. Modelling the changes in viscosity during thermal treatment of milk protein concentrate using kinetic data. J. Food Eng. 2019, 246, 179–191. [Google Scholar] [CrossRef]
- Fava, L.W.; Serpa, P.B.S.; Külkamp-Guerreiro, I.C.; Pinto, A.T. Evaluation of viscosity and particle size distribution of fresh, chilled and frozen milk of Lacaune ewes. Small Rumin. Res. 2013, 113, 247–250. [Google Scholar] [CrossRef]
- Ye, A.; Anema, S.G.; Singh, H. High-pressure–induced interactions between milk fat globule membrane proteins and skim milk proteins in whole milk. J. Dairy Sci. 2004, 87, 4013–4022. [Google Scholar] [CrossRef] [Green Version]
- Ye, A.; Singh, H.; Taylor, M.; Anema, S. Disruption of fat globules during concentration of whole milk in a pilot scale multiple-effect evaporator. Int. J. Dairy Technol. 2005, 58, 143–149. [Google Scholar] [CrossRef]
- Ren, Q.; Li, L.; Dudu, O.E.; Ma, Y. Thermal and structural changes of pasteurized milk fat globules during storage. Food Biosci. 2019, 28, 27–35. [Google Scholar] [CrossRef]
- Vazquez-Landaverde, P.A.; Torres, J.A.; Qian, M.C. Effect of high-pressure−moderate-temperature processing on the volatile profile of milk. J. Agric. Food Chem. 2006, 54, 9184–9192. [Google Scholar] [CrossRef]






| Processing Time (min) | TAB (lgCFU/mL) | Y&M (lgCFU/mL) | |
|---|---|---|---|
| Untreated | 4.19 ± 0.08 m | 1.82 ± 0.16 a | |
| 400 MPa | 2.5 | 3.84 ± 0.09 l | 0.09 ± 0.12 b |
| 5 | 3.38 ± 0.09 k | ND | |
| 7.5 | 2.90 ± 0.01 j | ND | |
| 10 | 2.85 ± 0.10 ij | ND | |
| 15 | 2.81 ± 0.09 ij | ND | |
| 500 MPa | 2.5 | 2.74 ± 0.05 hi | ND |
| 5 | 2.65 ± 0.07 gh | ND | |
| 7.5 | 2.57 ± 0.08 fg | ND | |
| 10 | 2.49 ± 0.01 ef | ND | |
| 15 | 2.41 ± 0.02 e | ND | |
| 600 MPa | 2.5 | 2.20 ± 0.04 d | ND |
| 5 | 1.99 ± 0.09 c | ND | |
| 7.5 | 1.41 ± 0.09 b | ND | |
| 10 | 1.31 ± 0.27 b | ND | |
| 15 | 1.12 ± 0.06 a | ND |
| Day | ||||||||
|---|---|---|---|---|---|---|---|---|
| 0 | 3 | 7 | 11 | 15 | 22 | 30 | ||
| pH | Untreated | 6.45 ± 0.15 Ac | - | - | - | - | - | - |
| 600 MPa/15 min | 6.45 ± 0.07 Ab | 6.36 ± 0.04 ab | 6.36 ± 0.04 ab | 6.26 ± 0.13 ab | 6.31 ± 0.11 ab | 6.25 ± 0.02 ab | 6.26 ± 0.07 ab | |
| 72 °C/15 s | 6.68 ± 0.01 Bd | 6.66 ± 0.01 d | 6.64 ± 0.01 cd | 6.66 ± 0.01 d | 6.59 ± 0.01 c | 6.43 ± 0.01 b | 6.18 ± 0.07 a | |
| 72 °C/15 s + 600MPa/15 min | 6.69 ± 0.01 Be | 6.64 ± 0.02 c | 6.65 ± 0.01 cd | 6.68 ± 0.02 de | 6.69 ± 0.01 e | 6.56 ± 0.01 b | 6.39 ± 0.01 a | |
| Turbidity (NTU) | Untreated | 384.10 ± 11.74 Bb | - | - | - | - | - | - |
| 600 MPa/15 min | 326.10 ± 18.67 Aab | 324.60 ± 15.70 ab | 305.40 ± 23.33 a | 309.23 ± 17.93 a | 356.00 ± 4.24 b | 328.75 ± 22.41 ab | 330.00 ± 2.12 ab | |
| 72 °C/15 s | 422.30 ± 43.70 Bab | 408.5 ± 52.18 ab | 388.70 ± 15.70 ab | 383.00 ± 5.09 ab | 448.70 ± 1.27 b | 400.80 ± 50.35 ab | 362.00 ± 2.55 a | |
| 72 °C/15 s + 600 MPa/15 min | 325.45 ± 45.75 Aab | 341.05 ± 4.17 ab | 297.00 ± 2.12 ab | 293.40 ± 7.21 ab | 335.95 ± 8.84 b | 327.9 ± 0.85 ab | 313.20 ± 0.42 a | |
| L* | Untreated | 82.76 ± 0.27 B | - | - | - | - | - | - |
| 600 MPa/15 min | 80.79 ± 0.39 Aab | 80.91 ± 0.65 b | 80.36 ± 0.68 ab | 80.53 ± 0.61 ab | 80.85 ± 0.93 ab | 79.90 ± 0.10 a | 80.24 ± 0.21 ab | |
| 72 °C/15 s | 82.64 ± 0.94 Bbc | 81.945 ± 0.57 ab | 82.80 ± 0.22 c | 83.22 ± 0.23 cd | 83.77 ± 0.16 d | 82.57 ± 0.34 bc | 81.43 ± 0.14 a | |
| 72 °C/15 s + 600 MPa/15 min | 81.26 ± 0.66 Abc | 80.98 ± 0.44 b | 81.64 ± 0.14 cd | 81.81 ± 0.24 cd | 82.17 ± 0.33 d | 80.84 ± 0.67 b | 80.04 ± 0.03 a | |
| a* | Untreated | −1.51 ± 0.06 B | - | - | - | - | - | - |
| 600 MPa/15 min | −1.71 ± 0.05 Abc | −1.62 ± 0.40 c | −1.88 ± 0.03 b | −2.13 ± 0.07 a | −1.69 ± 0.06 bc | −1.79 ± 0.04 bc | −1.19 ± 0.04 d | |
| 72 °C/15 s | −1.49 ± 0.06 Bb | −1.27 ± 0.05 c | −1.70 ± 0.14 a | −1.77 ± 0.06 a | −1.51 ± 0.05 b | −1.43 ± 0.06 b | −1.18 ± 0.036 c | |
| 72 °C/15 s + 600 MPa/15 min | −1.73 ± 0.05 Ab | −1.56 ± 0.07 c | −1.87 ± 0.11 a | −1.93 ± 0.04 a | −1.72 ± 0.043 b | −1.64 ± 0.03 bc | −1.31 ± 0.06 d | |
| b* | Untreated | 1.95 ± 0.17B | - | - | - | - | - | - |
| 600 MPa/15 min | 1.36 ± 0.31 Abc | 1.46 ± 0.32 bc | 1.48 ± 0.35 bc | 1.61 ± 0.25 c | 1.06 ± 0.36 ab | 0.71 ± 0.32 a | 3.08 ± 0.10 d | |
| 72 °C/15 s | 2.20 ± 0.16 Bbc | 2.32 ± 0.44 c | 1.27 ± 0.14 a | 1.86 ± 0.35 b | 2.18 ± 0.08 bc | 2.14 ± 0.14 bc | 3.11 ± 0.06 d | |
| 72 °C/15 s + 600 MPa/15 min | 1.46 ± 0.21 Aa | 1.65 ± 0.20 a | 1.68 ± 0.13 a | 1.59 ± 0.18 a | 1.45 ± 0.06 a | 1.49 ± 0.26 a | 3.16 ± 0.05 b | |
| ΔE | Untreated | 0 | - | - | - | - | - | - |
| 600 MPa/15 min | 4.24 | 3.66 | 6.1 | 5.47 | 4.45 | 9.79 | 7.72 | |
| 72 °C/15 s | 0.08 | 0.86 | 0.50 | 0.29 | 1.07 | 0.76 | 3.22 | |
| 72 °C/15 s + 600 MPa/15 min | 2.52 | 3.25 | 1.44 | 1.20 | 0.65 | 3.91 | 8.88 | |
| Day | Untreated | 600 MPa/15 min | 72 °C/15 s | 72 °C/15 s + 600 MPa/15 min | |
|---|---|---|---|---|---|
| D(4,3) (nm) | 0 | 4.98 ± 0.54 Bb | 4.82 ± 0.16 Bc | 0.84 ± 0.01 Aa | 0.87 ± 0.01 Aa |
| 3 | - | 3.75 ± 0.28 b | 0.85 ± 0.01 a | 0.87 ± 0.01 a | |
| 7 | - | 3.70 ± 0.06 b | 0.85 ± 0.05 a | 0.88 ± 0.01 ab | |
| 11 | - | 4.02 ± 0.17 b | 0.89 ± 0.01 b | 0.90 ± 0.01 b | |
| 15 | - | 2.17 ± 0.16 a | 0.94 ± 0.02 d | 0.99 ± 0.02 d | |
| 22 | - | 2.25 ± 0.49 a | 0.91 ± 0.01 c | 0.94 ± 0.01 c | |
| 30 | - | 2.12 ± 0.17 a | 1.02 ± 0.01 e | 1.07 ± 0.01 e | |
| D(3,2) (nm) | 0 | 3.71 ± 1.02 Ba | 3.52 ± 0.30 Bc | 0.81 ± 0.01 Aa | 0.83 ± 0.01 Aa |
| 3 | - | 2.71 ± 0.26 b | 0.82 ± 0.01 a | 0.83 ± 0.01 a | |
| 7 | - | 2.82 ± 0.11 b | 0.82 ± 0.04 a | 0.84 ± 0.06 ab | |
| 11 | - | 2.91 ± 0.22 b | 0.84 ± 0.01 b | 0.85 ± 0.01 bc | |
| 15 | - | 1.69 ± 0.09 a | 0.87 ± 0.01 c | 0.90 ± 0.01 d | |
| 22 | - | 1.87 ± 0.39 a | 0.85 ± 0.01 b | 0.86 ± 0.01 c | |
| 30 | - | 1.77 ± 0.12 a | 0.89 ± 0.01 c | 0.91 ± 0.01 d |
| Day | Untreated | 600 MPa/15 Min | 72°C/15 s | 72 °C/15 s + 600 MPa/15 min | |
|---|---|---|---|---|---|
| Taste | 0 | - | 20.57 ± 8.18 Ab | 33.43 ± 4.31 Bb | 35.43 ± 3.96 Bb |
| 3 | - | 19.60 ± 8.84 b | 32.93 ± 3.73 b | 34.27 ± 4.68 ab | |
| 7 | - | 17.86 ± 8.16 a | 31.87 ± 3.74 ab | 33.20 ± 4.57 ab | |
| 11 | - | 16.53 ± 6.06 a | 29.26 ± 4.77 a | 31.20 ± 5.21 a | |
| Color | 0 | 16.36 ± 1.91 Bb | 14.00 ± 2.21 Ab | 16.29 ± 2.27 Ba | 15.07 ± 1.86 ABa |
| 3 | 13.47 ± 2.53 ab | 16.13 ± 2.41 a | 15.00 ± 2.33 a | ||
| 7 | 13.78 ± 1.76 ab | 15.67 ± 2.77 a | 14.73 ± 1.87 a | ||
| 11 | 13.20 ± 2.42 a | 14.93 ± 2.96 a | 13.46 ± 2.45 a | ||
| Organizational status | 0 | 17.36 ± 2.13 Aa | 17.71 ± 2.05 Aa | 18.00 ± 1.41 Aa | 18.14 ± 1.70 Aa |
| 3 | 17.00 ± 2.78 a | 17.40 ± 1.86 a | 17.93 ± 1.62 a | ||
| 7 | 16.57 ± 2.21 a | 17.20 ± 1.74 a | 17.27 ± 1.33 a | ||
| 11 | 15.46 ± 2.38 a | 17.07 ± 1.62 a | 16.67 ± 2.02 a | ||
| Flavor | 0 | 11.86 ± 2.93 Ac | 14.42 ± 3.23 Ab | 15.71 ± 3.10 Aa | 16.21 ± 1.84 Aa |
| 3 | 14.53 ± 2.82 b | 15.20 ± 3.12 a | 15.87 ± 2.20 a | ||
| 7 | 13.71 ± 1.94 a | 14.93 ± 2.74 a | 15.60 ± 1.80 a | ||
| 11 | 13.33 ± 2.19 a | 14.93 ± 2.08 a | 15.27 ± 2.52 a | ||
| Total score | 0 | - | 66.71 ± 9.48 Ab | 83.43 ± 8.75 Bb | 84.86 ± 5.68 Bb |
| 3 | - | 64.60 ± 9.94 b | 81.67 ± 7.43 b | 83.01 ± 6.09 b | |
| 7 | - | 61.47 ± 9.62 b | 79.67 ± 7.09 ab | 80.80 ± 6.85 b | |
| 11 | - | 58.53 ± 5.69 a | 76.20 ± 7.01 a | 76.60 ± 7.42 a |
Publisher’s Note: MDPI stays neutral with regard to jurisdictional claims in published maps and institutional affiliations. |
© 2022 by the authors. Licensee MDPI, Basel, Switzerland. This article is an open access article distributed under the terms and conditions of the Creative Commons Attribution (CC BY) license (https://creativecommons.org/licenses/by/4.0/).
Share and Cite
Yu, T.; Zhang, X.; Feng, R.; Wang, C.; Wang, X.; Wang, Y. Comparison of the Effects of High Hydrostatic Pressure and Pasteurization on Quality of Milk during Storage. Foods 2022, 11, 2837. https://doi.org/10.3390/foods11182837
Yu T, Zhang X, Feng R, Wang C, Wang X, Wang Y. Comparison of the Effects of High Hydrostatic Pressure and Pasteurization on Quality of Milk during Storage. Foods. 2022; 11(18):2837. https://doi.org/10.3390/foods11182837
Chicago/Turabian StyleYu, Tongtong, Xiaojun Zhang, Ruoyi Feng, Caiyun Wang, Xiaoyu Wang, and Yongtao Wang. 2022. "Comparison of the Effects of High Hydrostatic Pressure and Pasteurization on Quality of Milk during Storage" Foods 11, no. 18: 2837. https://doi.org/10.3390/foods11182837
APA StyleYu, T., Zhang, X., Feng, R., Wang, C., Wang, X., & Wang, Y. (2022). Comparison of the Effects of High Hydrostatic Pressure and Pasteurization on Quality of Milk during Storage. Foods, 11(18), 2837. https://doi.org/10.3390/foods11182837

