Effects of High Voltage Atmospheric Cold Plasma Treatment on the Number of Microorganisms and the Quality of Trachinotus ovatus during Refrigerator Storage
Abstract
:1. Introduction
2. Materials and Methods
2.1. Fish Sample Preparation
2.2. HVACP Treatment
2.3. Microbiological Analyses
- (a)
- The total bacteria count and psychrophilic bacteria were determined by Plate Count Agar (PAC) (Hopebio, Qingdao, China) incubated at 37 °C for 48 h and 4 °C for 10 d, respectively.
- (b)
- Pseudomonas spp., were analyzed by agar plates of Pseudomonas Agar Base with added CFC (Cetrimide, Fucidine, Cephalosporine) (Hopebio, Qingdao, China) and incubated at 25 °C for 48 h.
- (c)
- H2S-produing (Hydrogen sulfide-producing) bacteria were spread on iron agar plates (Hopebio, Qingdao, China) and incubated at 37 °C for 48 h.
- (d)
- Yeast was analyzed with Potato Dextrose Agar (PDA) plates (Hopebio, Qingdao, China) and incubated at 28 °C for 5 d.
- (e)
- Lactic acid bacteria were determined on Man Rogosa Sharpe agar (MRS Agar) (Hopebio, Qingdao, China) and incubated at 37 °C for 72 h.
2.4. Water Content
2.5. Surface Color Measurement
2.6. Texture Profile Analysis (TPA)
2.7. pH
2.8. Thiobarbituric Acid Reactive Substance (TBARS)
2.9. Total Volatile Basic Nitrogen (TVB-N)
2.10. Statistical Analysis
3. Results and Discussion
3.1. Microbial Analysis
3.2. Water Content
3.3. Color
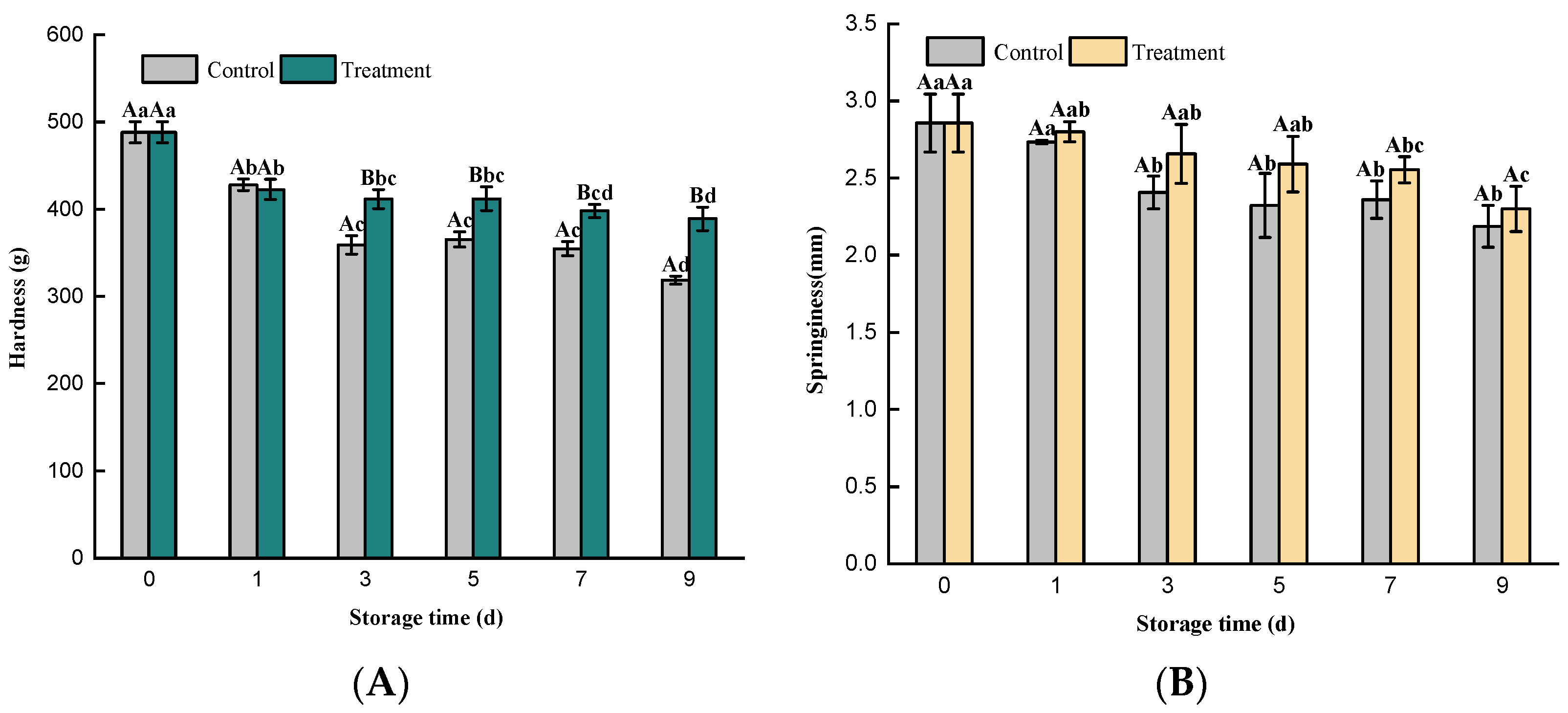
3.4. Textural
3.5. pH
3.6. TBARS
3.7. TVB-N
4. Conclusions
Author Contributions
Funding
Institutional Review Board Statement
Data Availability Statement
Acknowledgments
Conflicts of Interest
References
- Kou, H.; Xu, S.; Wang, A.-L. Effect of Replacing Canola Meal for Fish Meal on the Growth, Digestive Enzyme Activity, and Amino Acids, of Ovate Pompano, Trachinotus Ovatus. Isr. J. Aquac.-Bamidgeh 2015, 67, 1144. [Google Scholar]
- Venuste, M.; Zhang, X.; Shoemaker, C.F.; Karangwa, E.; Abbas, S.; Kamdem, P.E. Influence of Enzymatic Hydrolysis and Enzyme Type on the Nutritional and Antioxidant Properties of Pumpkin Meal Hydrolysates. Food Funct. 2013, 4, 811–820. [Google Scholar] [PubMed]
- Mejri, S.C.; Tremblay, R.; Audet, C.; Wills, P.S.; Riche, M. Essential Fatty Acid Requirements in Tropical and Cold-Water Marine Fish Larvae and Juveniles. Front. Mar. Sci. 2021, 8, 680003. [Google Scholar]
- Sun, X.; Guo, H.; Zhu, K.; Zhang, N.; Yu, W.; Wu, N.; Jiang, S.; Zhang, D. Feed Type Regulates the Fatty Acid Profiles of Golden Pompano Trachinotus Ovatus (Linnaeus 1758). J. Appl. Anim. Res. 2018, 46, 60–63. [Google Scholar]
- WU, Y.G. Deep ploughing deep-water, wind-resistant and wave-resistant cage culture Port of Fangcheng is committed to building a blue granary. Guide Fish. Get Rich 2022, 1, 4–6. [Google Scholar]
- Qiu, X.; Chen, S.; Liu, G.; Lin, H. Characterization of Farmed Ovate Pompano (Trachinotus ovatus Linnaeus) Freshness during Ice Storage by Monitoring the Changes of Volatile Profile. Food Sci. Technol. Res. 2014, 20, 79–84. [Google Scholar]
- Zhang, X.; Pan, C.; Chen, S.; Xue, Y.; Wang, Y.; Wu, Y. Effects of Modified Atmosphere Packaging with Different Gas Ratios on the Quality Changes of Golden Pompano (Trachinotus ovatus) Fillets during Superchilling Storage. Foods 2022, 11, 1943. [Google Scholar]
- Gao, M.; Feng, L.; Jiang, T.; Zhu, J.; Fu, L.; Yuan, D.; Li, J. The Use of Rosemary Extract in Combination with Nisin to Extend the Shelf Life of Pompano (Trachinotus ovatus) Fillet during Chilled Storage. Food Control 2014, 37, 1–8. [Google Scholar]
- Zhao, Y.; Patange, A.; Sun, D.; Tiwari, B. Plasma-activated Water: Physicochemical Properties, Microbial Inactivation Mechanisms, Factors Influencing Antimicrobial Effectiveness, and Applications in the Food Industry. Compr. Rev. Food Sci. Food Saf. 2020, 19, 3951–3979. [Google Scholar]
- Wang, Q.; Salvi, D. Evaluation of Plasma-Activated Water (PAW) as a Novel Disinfectant: Effectiveness on Escherichia Coli and Listeria Innocua, Physicochemical Properties, and Storage Stability. LWT 2021, 149, 111847. [Google Scholar]
- Gan, Z.; Feng, X.; Hou, Y.; Sun, A.; Wang, R. Cold Plasma Jet with Dielectric Barrier Configuration: Investigating Its Effect on the Cell Membrane of E. coli and S. cerevisiae and Its Impact on the Quality of Chokeberry Juice. LWT-Food Sci. Technol. 2021, 136, 110223. [Google Scholar]
- Yadav, B.; Spinelli, A.C.; Govindan, B.N.; Tsui, Y.Y.; McMullen, L.M.; Roopesh, M.S. Cold Plasma Treatment of Ready-to-Eat Ham: Influence of Process Conditions and Storage on Inactivation of Listeria Innocua. Food Res. Int. 2019, 123, 276–285. [Google Scholar] [PubMed]
- Olatunde, O.O.; Benjakul, S.; Vongkamjan, K. Microbial Diversity, Shelf-Life and Sensory Properties of Asian Sea Bass Slices with Combined Treatment of Liposomal Encapsulated Ethanolic Coconut Husk Extract and High Voltage Cold Plasma. LWT-Food Sci. Technol. 2020, 134, 110232. [Google Scholar]
- Roh, S.H.; Lee, S.Y.; Park, H.H.; Lee, E.S.; Min, S.C. Effects of the Treatment Parameters on the Efficacy of the Inactivation of Salmonella Contaminating Boiled Chicken Breast by In-Package Atmospheric Cold Plasma Treatment. Int. J. Food Microbiol. 2019, 293, 24–33. [Google Scholar] [PubMed]
- Mohamed, E.E.; Younis, E.R.; Mohamed, E.A. Impact of Atmospheric Cold Plasma (ACP) on Maintaining Bolti Fish (Tilapia Nilotica) Freshness and Quality Criteria during Cold Storing. J. Food Process. Preserv. 2021, 45, e15442. [Google Scholar]
- Albertos, I.; Martin-Diana, A.B.; Cullen, P.J.; Tiwari, B.K.; Ojha, S.K.; Bourke, P.; Alvarez, C.; Rico, D. Effects of Dielectric Barrier Discharge (DBD) Generated Plasma on Microbial Reduction and Quality Parameters of Fresh Mackerel (Scomber scombrus) Fillets. Innov. Food Sci. Emerg. Technol. 2017, 44, 117–122. [Google Scholar]
- Puligundla, P.; Choi, S.; Mok, C. Microbial Decontamination of Gwamegi (Semi-Dried Pacific Saury) Using Corona Discharge Plasma Jet, Including Physicochemical and Sensory Evaluation. J. Aquat. Food Prod. Technol. 2018, 27, 274–283. [Google Scholar]
- Zouelm, F.; Abhari, K.; Hosseini, H.; Khani, M. The Effects of Cold Plasma Application on Quality and Chemical Spoilage of Pacific White Shrimp (Litopenaeus vannamei) during Refrigerated Storage. J. Aquat. Food Prod. Technol. 2019, 28, 624–636. [Google Scholar]
- Perez-Andres, J.M.; de Alba, M.; Harrison, S.M.; Brunton, N.P.; Cullen, P.J.; Tiwari, B.K. Effects of Cold Atmospheric Plasma on Mackerel Lipid and Protein Oxidation during Storage. LWT-Food Sci. Technol. 2020, 118, 108697. [Google Scholar]
- Wang, J.; Fu, T.; Sang, X.; Liu, Y. Effects of High Voltage Atmospheric Cold Plasma Treatment on Microbial Diversity of Tilapia (Oreochromis mossambicus) Fillets Treated during Refrigeration. Int. J. Food Microbiol. 2022, 375, 109738. [Google Scholar]
- Wang, J.; Zhuang, H.; Hinton, A.; Zhang, J. Influence of In-Package Cold Plasma Treatment on Microbiological Shelf Life and Appearance of Fresh Chicken Breast Fillets. Food Microbiol. 2016, 60, 142–146. [Google Scholar]
- Fidalgo, L.G.; Simoes, M.M.Q.; Casal, S.; Lopes-da-Silva, J.A.; Delgadillo, I.; Saraiva, J.A. Enhanced Preservation of Vacuum-Packaged Atlantic Salmon by Hyperbaric Storage at Room Temperature versus Refrigeration. Sci. Rep. 2021, 11, 1668. [Google Scholar] [PubMed]
- Erol, N.D.; Erdem, O.A.; Yilmaz, S.T.; Kayalar, H.; Cakli, S. Effects of the BHA and Basil Essential Oil on Nutritional, Chemical, and Sensory Characteristics of Sunflower Oil and Sardine (Sardina pilchardus) Fillets during Repeated Deep-Frying. LWT-Food Sci. Technol. 2022, 163, 113557. [Google Scholar]
- Elhafez, M.A.; Yehia, N.; Amin, R.; Emam, W.; Hamouda, S.; El-Magd, M.A. Quality Enhancement of Frozen Nile Tilapia Fillets Using Rosemary and Thyme Oil. Arq. Bras. Med. Vet. E Zootec. 2020, 72, 1821–1829. [Google Scholar]
- Nasiru, M.M.; Frimpong, E.B.; Muhammad, U.; Qian, J.; Mustapha, A.T.; Yan, W.; Zhuang, H.; Zhang, J. Dielectric Barrier Discharge Cold Atmospheric Plasma: Influence of Processing Parameters on Microbial Inactivation in Meat and Meat Products. Compr. Rev. Food Sci. Food Saf. 2021, 20, 2626–2659. [Google Scholar]
- Ansari, A.; Parmar, K.; Shah, M. A Comprehensive Study on Decontamination of Food-Borne Microorganisms by Cold Plasma. Food Chem. Mol. Sci. 2022, 4, 100098. [Google Scholar]
- Olatunde, O.O.; Benjakul, S.; Vongkamjan, K. Dielectric Barrier Discharge High Voltage Cold Atmospheric Plasma: An Innovative Nonthermal Technology for Extending the Shelf-Life of Asian Sea Bass Slices. J. Food Sci. 2019, 84, 1871–1880. [Google Scholar]
- Li, P.; Chen, Z.; Tan, M.; Mei, J.; Xie, J. Evaluation of Weakly Acidic Electrolyzed Water and Modified Atmosphere Packaging on the Shelf Life and Quality of Farmed Puffer Fish (Takifugu obscurus) during Cold Storage. J. Food Saf. 2020, 40, e12773. [Google Scholar]
- Nayma, K.; Das, K.C.; Alice, E.J.; Mehbub, M.F.; Islam, M.T. Extension of Shelf-Life of Ready-to-Cook (RTC) Pangas Fish (Pangasianodon hypophthalmus) Curry by Modified Atmosphere Packaging at Chilled Storage. In World Seafood Congress 2019—Seafood Supply Chains of the Future: Innovation, Responsibility, Sustainability; Tarman, K., Ed.; IOP Publishing Ltd.: Bristol, UK, 2020; Volume 414, p. 012015. [Google Scholar]
- Yu, J.; Chen, G.; Zhang, Y.; Zheng, X.; Jiang, P.; Ji, H.; Li, S.; Chen, Y. Enhanced Hydration Properties and Antioxidant Activity of Peanut Protein by Covalently Binding with Sesbania Gum via Cold Plasma Treatment. Innov. Food Sci. Emerg. Technol. 2021, 68, 102632. [Google Scholar]
- Huang, Y.; Wang, H.; Liu, Q.; Zhou, J.; Gao, S.; Yu, J.; Zhang, X.; Wang, M. Comparing Impacts of Dielectric Barrier Discharge Plasma and Electron Beam Irradiation Processing on Characteristics of Tartary Buckwheat Whole Flour. Innov. Food Sci. Emerg. Technol. 2022, 7, 102986. [Google Scholar]
- Chaijan, M.; Chaijan, S.; Panya, A.; Nisoa, M.; Cheong, L.-Z.; Panpipat, W. High Hydrogen Peroxide Concentration-Low Exposure Time of Plasma-Activated Water (PAW): A Novel Approach for Shelf-Life Extension of Asian Sea Bass (Lates calcarifer) Steak. Innov. Food Sci. Emerg. Technol. 2021, 74, 102861. [Google Scholar]
- Ye, B.; Chen, J.; Ye, H.; Zhang, Y.; Yang, Q.; Yu, H.; Fu, L.; Wang, Y. Development of a Time-Temperature Indicator Based on Maillard Reaction for Visually Monitoring the Freshness of Mackerel. Food Chem. 2022, 373, 131448. [Google Scholar] [PubMed]
- Albertos, I.; Martin-Diana, A.B.; Cullen, P.J.; Tiwari, B.K.; Ojha, K.S.; Bourke, P.; Rico, D. Shelf-Life Extension of Herring (Clupea harengus) Using in-Package Atmospheric Plasma Technology. Innov. Food Sci. Emerg. Technol. 2019, 53, 85–91. [Google Scholar]
- Tang, X.; Xu, G.; Dai, H.; Xu, P.; Zhang, C.; Gu, R. Differences in Muscle Cellularity and Flesh Quality between Wild and Farmed Coilia Nasus (Engraulidae). J. Sci. Food Agric. 2012, 92, 1504–1510. [Google Scholar]
- Rodrigues, B.L.; da Costa, M.P.; da Silva Frasao, B.; da Silva, F.A.; Marsico, E.T.; da Silveira Alvares, T.; Conte-Junior, C.A. Instrumental Texture Parameters as Freshness Indicators in Five Farmed Brazilian Freshwater Fish Species. Food Anal. Methods 2017, 10, 3589–3599. [Google Scholar]
- Choi, M.-S.; Jeon, E.B.; Kim, J.Y.; Ha Choi, E.; Lim, J.S.; Choi, J.; Park, S.Y. Application of Dielectric Barrier Discharge Plasma for the Reduction of Non-Pathogenic Escherichia coli and E. coli O157:H7 and the Quality Stability of Fresh Oysters (Crassostrea gigas). LWT-Food Sci. Technol. 2022, 154, 112698. [Google Scholar]
- Li, J.; Huang, H.; Feng, W.; Guan, R.; Zhou, L.; Cheng, H.; Ye, X. Dynamic Changes in Biogenic Amine Content in the Traditional Brewing Process of Soy Sauce. J. Food Prot. 2019, 82, 1539–1545. [Google Scholar]
- Chaijan, M.; Chaijan, S.; Panya, A.; Nisoa, M.; Cheong, L.-Z.; Panpipat, W. Combined Effects of Prior Plasma-Activated Water Soaking and Whey Protein Isolate-Ginger Extract Coating on the Cold Storage Stability of Asian Sea Bass (Lates calcarifer) Steak. Food Control 2022, 135, 108787. [Google Scholar]
- Xu, G.; Tang, X.; Tang, S.; You, H.; Shi, H.; Gu, R. Combined Effect of Electrolyzed Oxidizing Water and Chitosan on the Microbiological, Physicochemical, and Sensory Attributes of American Shad (Alosa sapidissima) during Refrigerated Storage. Food Control 2014, 46, 397–402. [Google Scholar]
- Choi, M.-S.; Jeon, E.B.; Kim, J.Y.; Choi, E.H.; Lim, J.S.; Choi, J.; Park, S.Y. Impact of Non-Thermal Dielectric Barrier Discharge Plasma on Staphylococcus Aureus and Bacillus Cereus and Quality of Dried Blackmouth Angler (Lophiomus setigerus). J. Food Eng. 2020, 27, 109952. [Google Scholar]
- Pati, S.; Sarkar, T.; Sheikh, H.; Bharadwaj, K.K.; Mohapatra, P.K.; Chatterji, A.; Dash, B.P.; Edinur, H.A.; Nelson, B.R. Gamma-Irradiated Chitosan From Carcinoscorpius Rotundicauda (Latreille, 1802) Improves the Shelf Life of Refrigerated Aquatic Products. Front. Mar. Sci. 2021, 8, 664961. [Google Scholar]
- Wang, X.; Wang, Z.; Zhuang, H.; Nasiru, M.M.; Yuan, Y.; Zhang, J.; Yan, W. Changes in Color, Myoglobin, and Lipid Oxidation in Beef Patties Treated by Dielectric Barrier Discharge Cold Plasma during Storage. Meat Sci. 2021, 176, 108456. [Google Scholar] [PubMed]
- Kim, B.; Yun, H.; Jung, S.; Jung, Y.; Jung, H.; Choe, W.; Jo, C. Effect of Atmospheric Pressure Plasma on Inactivation of Pathogens Inoculated onto Bacon Using Two Different Gas Compositions. Food Microbiol. 2011, 28, 9–13. [Google Scholar]
- Bekhit, A.E.-D.A.; Holman, B.W.B.; Giteru, S.G.; Hopkins, D.L. Total Volatile Basic Nitrogen (TVB-N) and Its Role in Meat Spoilage: A Review. Trends Food Sci. Technol. 2021, 109, 280–302. [Google Scholar]
- Alkuraieef, A.N.; Alsuhaibani, A.M.; Alshawi, A.H.; Alfaris, N.A.; Aljabryn, D.H. Chemical and Microbiological Quality of Imported Chilled, Frozen, and Locally Cultured Fish in Saudi Arabian Markets. Food Sci. Technol. 2022, 42, e52520. [Google Scholar]
- Prabhakar, P.K.; Srivastav, P.P.; Pathak, S.S.; Das, K. Mathematical Modeling of Total Volatile Basic Nitrogen and Microbial Biomass in Stored Rohu (Labeo rohita) Fish. Front. Sustain. Food Syst. 2021, 5, 669473. [Google Scholar]









| Storage Time (d) | Group | L* | a* | b* |
|---|---|---|---|---|
| 0 | control | 56.50 ± 0.32 Aa | 1.77 ± 0.03 Aa | 6.03 ± 0.13 Aab |
| treatment | 56.50 ± 0.32 Aa | 1.77 ± 0.03 Aa | 6.03 ± 0.13 Aa | |
| 1 | control | 55.87 ± 0.09 Ab | 1.90 ± 0.06 Aa | 5.77 ± 0.12 Aa |
| treatment | 55.40 ± 0.4 Aa | 1.73 ± 0.05 Aa | 5.90 ± 0.11 Ab | |
| 3 | control | 55.53 ± 0.07 Ab | 1.93 ± 0.03 Aa | 6.07 ± 0.15 Aa |
| treatment | 54.70 ± 1.09 Aab | 1.83 ± 0.06 Aa | 6.27 ± 0.19 Aab | |
| 5 | control | 55.40 ± 0.08 Ab | 1.83 ± 0.08 Aa | 5.93 ± 0.19 Aa |
| treatment | 54.83 ± 0.35 Aab | 1.80 ± 0.05 Aa | 6.47 ± 0.18 Aa | |
| 7 | control | 55.30 ± 0.06 Ab | 1.90 ± 0.05 Aa | 5.90 ± 0.21 Aa |
| treatment | 53.40 ± 0.27 Bbc | 1.77 ± 0.07 Aa | 6.23 ± 0.18 Aab | |
| 9 | control | 55.70 ± 0.07 Ab | 1.87 ± 0.09 Aa | 5.73 ± 0.15 Aa |
| treatment | 52.70 ± 0.55 Bc | 1.73 ± 0.03 Aa | 6.37 ± 0.12 Bab |
Publisher’s Note: MDPI stays neutral with regard to jurisdictional claims in published maps and institutional affiliations. |
© 2022 by the authors. Licensee MDPI, Basel, Switzerland. This article is an open access article distributed under the terms and conditions of the Creative Commons Attribution (CC BY) license (https://creativecommons.org/licenses/by/4.0/).
Share and Cite
Cai, Z.; Wang, J.; Liu, C.; Chen, G.; Sang, X.; Zhang, J. Effects of High Voltage Atmospheric Cold Plasma Treatment on the Number of Microorganisms and the Quality of Trachinotus ovatus during Refrigerator Storage. Foods 2022, 11, 2706. https://doi.org/10.3390/foods11172706
Cai Z, Wang J, Liu C, Chen G, Sang X, Zhang J. Effects of High Voltage Atmospheric Cold Plasma Treatment on the Number of Microorganisms and the Quality of Trachinotus ovatus during Refrigerator Storage. Foods. 2022; 11(17):2706. https://doi.org/10.3390/foods11172706
Chicago/Turabian StyleCai, Zhicheng, Jiamei Wang, Chencheng Liu, Gu Chen, Xiaohan Sang, and Jianhao Zhang. 2022. "Effects of High Voltage Atmospheric Cold Plasma Treatment on the Number of Microorganisms and the Quality of Trachinotus ovatus during Refrigerator Storage" Foods 11, no. 17: 2706. https://doi.org/10.3390/foods11172706
APA StyleCai, Z., Wang, J., Liu, C., Chen, G., Sang, X., & Zhang, J. (2022). Effects of High Voltage Atmospheric Cold Plasma Treatment on the Number of Microorganisms and the Quality of Trachinotus ovatus during Refrigerator Storage. Foods, 11(17), 2706. https://doi.org/10.3390/foods11172706
