Pumpkin Skin Polysaccharide–Zn(II) Complex: Preparation, Characterization, and Suppression of Inflammation in Zebrafish
Abstract
:1. Introduction
2. Materials and Methods
2.1. Materials
2.2. Extraction of PSP and Preparation of PSP−Zn
2.3. Structural Characterization of PSP and PSP−Zn
2.3.1. Determination of Molecular Weight
2.3.2. Monosaccharide Composition Analysis
2.3.3. Circular Dichroism (CD) Analysis
2.3.4. Fourier Transform Infrared (FT-IR) and Ultraviolet–Visible (UV-Vis) Analysis
2.3.5. Morphological Analysis
2.3.6. Particle Size, Polydispersity Index (PDI), and Zeta Potential
2.3.7. X-ray Diffraction (XRD)
2.3.8. Thermogravimetric Analysis (TGA)
2.4. Stability Evaluation
2.5. Anti-inflammatory Activity of PSP and PSP−Zn
2.5.1. Zebrafish Maintenance
2.5.2. Effects of PSP and PSP−Zn on Macrophages and Inflammatory Factors in Zebrafish
2.5.3. RNA Extraction and Real-time Quantitative Polymerase Chain Reaction (qPCR)
2.6. Statistical Analysis
3. Results
3.1. Structural Characterization of PSP−Zn
3.1.1. Molecular Weight (Mw) and Monosaccharide Composition
3.1.2. Circular Dichroism (CD) Analysis
3.1.3. Fourier Transform Infrared (FT-IR) Spectrum Analysis
3.1.4. Ultraviolet–Visible (UV-Vis) Spectrum Analysis
3.1.5. X-ray Diffraction (XRD) Analysis
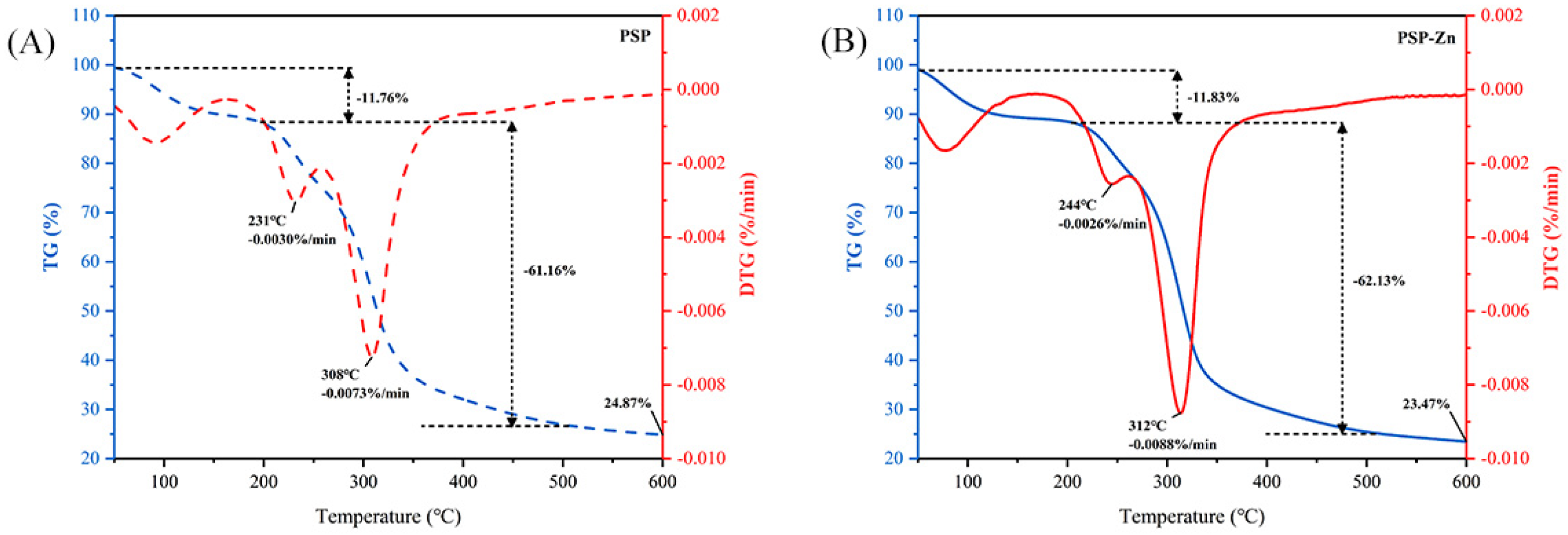
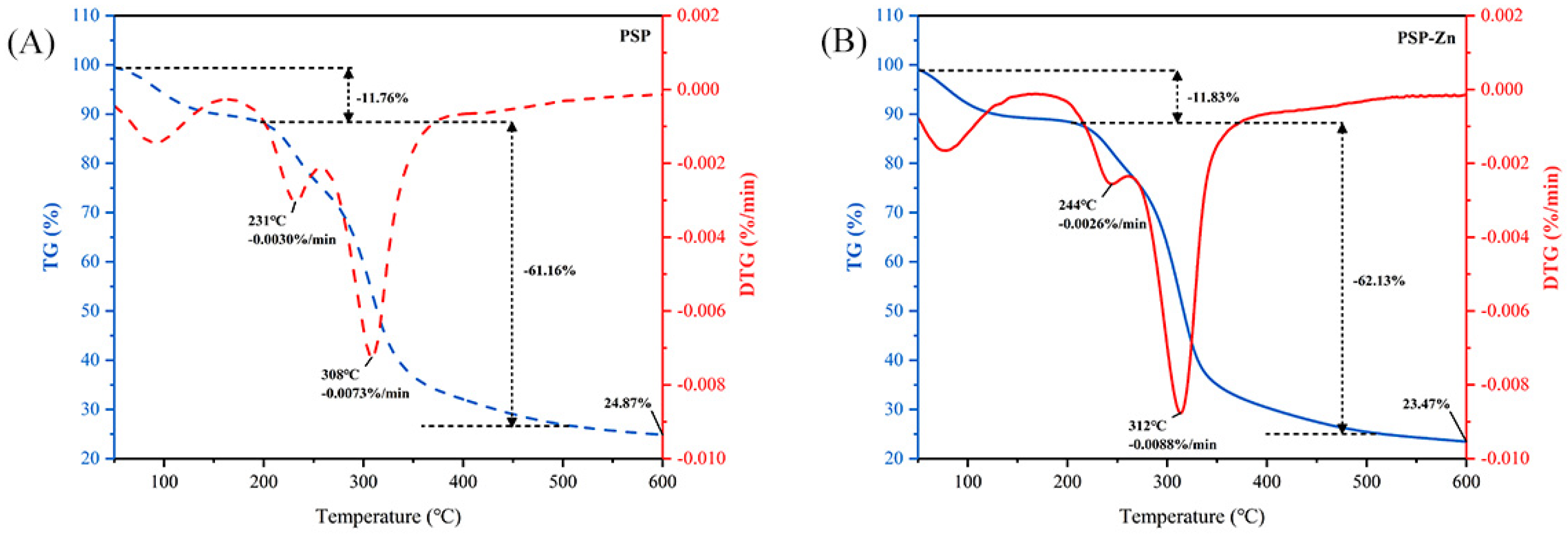
3.1.6. Thermogravimetric Analysis (TGA)
3.1.7. Morphological Analysis
3.1.8. Particle Size Analysis
3.2. Stability Evaluation
3.3. Anti-inflammatory Activity
3.3.1. Effects of PSP and PSP−Zn on the Movement of Inflammatory Cells in Zebrafish
3.3.2. Effects of PSP and PSP−Zn on the Expression of Inflammatory Factors in Zebrafish
4. Conclusions
Author Contributions
Funding
Institutional Review Board Statement
Informed Consent Statement
Data Availability Statement
Conflicts of Interest
References
- Kambe, T.; Tsuji, T.; Hashimoto, A.; Itsumura, N. The Physiological, Biochemical, and Molecular Roles of Zinc Transporters in Zinc Homeostasis and Metabolism. Physiol. Rev. 2015, 95, 749–784. [Google Scholar] [CrossRef] [PubMed]
- Wang, L.; Li, X. Preparation, physicochemical property and in vitro antioxidant activity of zinc-Hohenbuehelia serotina polysaccharides complex. Int. J. Biol. Macromol. 2018, 121, 862–869. [Google Scholar] [CrossRef]
- Dong, J.; Li, H.; Min, W. Preparation, characterization and bioactivities of Athelia rolfsii exopolysaccharide-zinc complex (AEPS-zinc). Int. J. Biol. Macromol. 2018, 113, 20–28. [Google Scholar] [CrossRef]
- Liu, M.; Yue, X.; Dai, Z.; Ma, Y.; Xing, L.; Zha, Z.; Liu, S.; Li, Y. Novel Thrombo-Resistant Coating Based on Iron−Polysaccharide Complex Multilayers. ACS Appl. Mater. Interfaces 2008, 1, 113–123. [Google Scholar] [CrossRef] [PubMed]
- Li, M.; Wen, J.; Huang, X.; Nie, Q.; Wu, X.; Ma, W.; Nie, S.; Xie, M. Interaction between polysaccharides and toll-like receptor 4: Primary structural role, immune balance perspective, and 3D interaction model hypothesis. Food Chem. 2021, 374, 131586. [Google Scholar] [CrossRef]
- Yan, L.; Xiong, C.; Xu, P.; Zhu, J.; Yang, Z.; Ren, H.; Luo, Q. Structural characterization and in vitro antitumor activity of A polysaccharide from Artemisia annua L. (Huang Huahao). Carbohydr. Polym. 2019, 213, 361–369. [Google Scholar] [CrossRef] [PubMed]
- Wang, Z.; Zhao, X.; Liu, X.; Lu, W.; Jia, S.; Hong, T.; Li, R.; Zhang, H.; Peng, L.; Zhan, X. Anti-diabetic activity evaluation of a polysaccharide extracted from Gynostemma pentaphyllum. Int. J. Biol. Macromol. 2018, 126, 209–214. [Google Scholar] [CrossRef]
- Wang, Y.; Zhang, N.; Kan, J.; Zhang, X.; Wu, X.; Sun, R.; Tang, S.; Liu, J.; Qian, C.; Jin, C. Structural characterization of water-soluble polysaccharide from Arctium lappa and its effects on colitis mice. Carbohydr. Polym. 2019, 213, 89–99. [Google Scholar] [CrossRef]
- Wu, D.-T.; He, Y.; Fu, M.-X.; Gan, R.-Y.; Hu, Y.-C.; Peng, L.-X.; Zhao, G.; Zou, L. Structural characteristics and biological activities of a pectic-polysaccharide from okra affected by ultrasound assisted metal-free Fenton reaction. Food Hydrocoll. 2021, 122, 107085. [Google Scholar] [CrossRef]
- Zhang, Y.; Khan, M.; Yuan, T.; Zhang, Y.; Liu, X.; Du, Z.; Zhao, Y. Preparation and characterization of D. opposita Thunb polysaccharide-zinc inclusion complex and evaluation of anti-diabetic activities. Int. J. Biol. Macromol. 2018, 121, 1029–1036. [Google Scholar] [CrossRef]
- Li, F.; Zhao, J.; Wei, Y.; Jiao, X.; Li, Q. Holistic review of polysaccharides isolated from pumpkin: Preparation methods, structures and bioactivities. Int. J. Biol. Macromol. 2021, 193, 541–552. [Google Scholar] [CrossRef] [PubMed]
- Wang, S.; Lu, A.; Zhang, L.; Shen, M.; Xu, T.; Zhan, W.; Jin, H.; Zhang, Y.; Wang, W. Extraction and purification of pumpkin polysaccharides and their hypoglycemic effect. Int. J. Biol. Macromol. 2017, 98, 182–187. [Google Scholar] [CrossRef] [PubMed]
- Wang, L.; Liu, F.; Li, T.; Liu, D.; Xu, Y.; Yang, Y. Enzyme Assisted Extraction, Purification and Structure Analysis of the Poly-saccharides from Naked Pumpkin Seeds. Appl. Sci. 2018, 8, 1866. [Google Scholar] [CrossRef]
- Li, F.; Wei, Y.; Liang, L.; Huang, L.; Yu, G.; Li, Q. A novel low-molecular-mass pumpkin polysaccharide: Structural characterization, antioxidant activity, and hypoglycemic potential. Carbohydr. Polym. 2020, 251, 117090. [Google Scholar] [CrossRef]
- Wu, H.; Zhu, J.; Diao, W.; Wang, C. Ultrasound-assisted enzymatic extraction and antioxidant activity of polysaccharides from pumpkin (Cucurbita moschata). Carbohydr. Polym. 2014, 113, 314–324. [Google Scholar] [CrossRef]
- Lin, F.-J.; Li, H.; Wu, D.-T.; Zhuang, Q.-G.; Li, H.-B.; Geng, F.; Gan, R.-Y. Recent development in zebrafish model for bioactivity and safety evaluation of natural products. Crit. Rev. Food Sci. Nutr. 2021, 1–29. [Google Scholar] [CrossRef]
- Novoa, B.; Figueras, A. Zebrafish: Model for the Study of Inflammation and the Innate Immune Response to Infectious Diseases. In Current Topics in Innate Immunity II; Lambris, J.D., Hajishengallis, G., Eds.; Springer New York: New York, NY, USA, 2012; pp. 253–275. [Google Scholar]
- Li, X.; Li, C.; Zhu, Y.; Shi, Y.; Zhang, X.; Zhang, S.; Wang, L.; Lin, H.-W.; Hou, H.; Hsiao, C.-D.; et al. Lipid Fingerprinting of Different Material Sources by UPLC-Q-Exactive Orbitrap/MS Approach and Their Zebrafish-Based Activities Comparison. J. Agric. Food Chem. 2020, 68, 2007–2015. [Google Scholar] [CrossRef]
- Zhang, W.; Liu, X.; Piao, L. Chlorogenic acid-enriched extract of Ilex kudingcha C.J. Tseng tea inhibits neutrophil recruitment in injured zebrafish by promoting reverse migration via the focal adhesion pathway. J. Food Biochem. 2020, 44, 13279. [Google Scholar] [CrossRef]
- Jing, Y.; Cui, X.; Chen, Z.; Huang, L.; Song, L.; Liu, T.; Lv, W.; Yu, R. Elucidation and biological activities of a new polysaccharide from cultured Cordyceps militaris. Carbohydr. Polym. 2014, 102, 288–296. [Google Scholar] [CrossRef]
- Kintner, P.K.; VAN Buren, J.P. Carbohydrate Interference and Its Correction in Pectin Analysis Using the m-Hydroxydiphenyl Method. J. Food Sci. 1982, 47, 756–759. [Google Scholar] [CrossRef]
- Zhang, M.; Zhao, H.; Shen, Y.; Wang, Y.; Zhao, Z.; Zhang, Y. Preparation, characterization and antioxidant activity evaluation in vitro of Fritillaria ussuriensis polysaccharide-zinc complex. Int. J. Biol. Macromol. 2020, 146, 462–474. [Google Scholar] [CrossRef] [PubMed]
- Gyurcsik, B.; Nagy, L. Carbohydrates as ligands: Coordination equilibria and structure of the metal complexes. Co-ord. Chem. Rev. 2000, 203, 81–149. [Google Scholar] [CrossRef]
- Cheng, L.; Wang, Y.; He, X.; Wei, X. Preparation, structural characterization and bioactivities of Se-containing polysaccharide: A review. Int. J. Biol. Macromol. 2018, 120, 82–92. [Google Scholar] [CrossRef] [PubMed]
- Teng, M.-J.; Wei, Y.-S.; Hu, T.-G.; Zhang, Y.; Feng, K.; Zong, M.-H.; Wu, H. Citric acid cross-linked zein microcapsule as an efficient intestine-specific oral delivery system for lipophilic bioactive compound. J. Food Eng. 2020, 281, 109993. [Google Scholar] [CrossRef]
- Zhang, C.; Huang, M.; Hong, R.; Chen, H. Preparation of a Momordica charantia L. polysaccharide-chromium (III) complex and its anti-hyperglycemic activity in mice with streptozotocin-induced diabetes. Int. J. Biol. Macromol. 2018, 122, 619–627. [Google Scholar] [CrossRef]
- Wang, P.-P.; Huang, Q.; Chen, C.; You, L.-J.; Liu, R.H.; Luo, Z.-G.; Zhao, M.-M.; Fu, X. The chemical structure and biological activities of a novel polysaccharide obtained from Fructus Mori and its zinc derivative. J. Funct. Foods 2019, 54, 64–73. [Google Scholar] [CrossRef]
- Wu, D.-T.; An, L.-Y.; Liu, W.; Hu, Y.-C.; Wang, S.-P.; Zou, L. In vitro fecal fermentation properties of polysaccharides from Tremella fuciformis and related modulation effects on gut microbiota. Food Res. Int. 2022, 156, 111185. [Google Scholar] [CrossRef]
- Chi, Y.; Li, Y.; Zhang, G.; Gao, Y.; Ye, H.; Gao, J.; Wang, P. Effect of extraction techniques on properties of polysaccharides from Enteromorpha prolifera and their applicability in iron chelation. Carbohydr. Polym. 2018, 181, 616–623. [Google Scholar] [CrossRef]
- Ou, C.; Chen, S.; Liu, Y.; Shao, J.; Li, S.; Fu, T.; Fan, W.; Zheng, H.; Lu, Q.; Bi, X. Study on the thermal degradation kinetics and pyrolysis characteristics of chitosan-Zn complex. J. Anal. Appl. Pyrolysis 2016, 122, 268–276. [Google Scholar] [CrossRef]
- Luo, Z.; Zou, J.; Chen, H.; Cheng, W.; Fu, X.; Xiao, Z. Synthesis and characterization of amylose–zinc inclusion complexes. Carbohydr. Polym. 2016, 137, 314–320. [Google Scholar] [CrossRef]
- Feng, B.-H.; Peng, L.-F. Synthesis and characterization of carboxymethyl chitosan carrying ricinoleic functions as an emulsifier for azadirachtin. Carbohydr. Polym. 2012, 88, 576–582. [Google Scholar] [CrossRef]
- Lei, D.; Liu, J.; Ye, F.; Chen, F.; Zhao, G. Synthesis, characterization and aqueous self-assembly of octenylsuccinic corn dextrin ester with high molecular weight. Food Hydrocoll. 2014, 41, 250–256. [Google Scholar] [CrossRef]
- Wang, H.; Wei, W.; Zhang, S.-Y.; Shen, Y.-X.; Yue, L.; Wang, N.-P.; Xu, S.-Y. Melatonin-selenium nanoparticles inhibit oxidative stress and protect against hepatic injury induced by Bacillus Calmette-Guérin/lipopolysaccharide in mice. J. Pineal Res. 2005, 39, 156–163. [Google Scholar] [CrossRef]
- Ye, M.-J.; Xu, Q.-L.; Tang, H.-Y.; Jiang, W.-Y.; Su, D.-X.; He, S.; Zeng, Q.-Z.; Yuan, Y. Development and stability of novel selenium colloidal particles complex with peanut meal peptides. LWT 2020, 126, 109280. [Google Scholar] [CrossRef]
- Gao, X.; Li, X.; Mu, J.; Ho, C.-T.; Su, J.; Zhang, Y.; Lin, X.; Chen, Z.; Li, B.; Xie, Y. Preparation, physicochemical characterization, and anti-proliferation of selenium nanoparticles stabilized by Polyporus umbellatus polysaccharide. Int. J. Biol. Macromol. 2020, 152, 605–615. [Google Scholar] [CrossRef] [PubMed]
- Tang, H.-Y.; Huang, Q.; Wang, Y.-L.; Yang, X.-Q.; Su, D.-X.; He, S.; Tan, J.-C.; Zeng, Q.-Z.; Yuan, Y. Development, structure characterization and stability of food grade selenium nanoparticles stabilized by tilapia polypeptides. J. Food Eng. 2019, 275, 109878. [Google Scholar] [CrossRef]
- Qiu, W.-Y.; Wang, Y.-Y.; Wang, M.; Yan, J.-K. Construction, stability, and enhanced antioxidant activity of pectin-decorated selenium nanoparticles. Colloids Surf. B Biointerfaces 2018, 170, 692–700. [Google Scholar] [CrossRef]
- Mosser, D.M.; Edwards, J.P. Exploring the full spectrum of macrophage activation. Nat. Rev. Immunol. 2008, 8, 958–969. [Google Scholar] [CrossRef]
- Sanmarco, L.M.; Ponce, N.E.; Visconti, L.M.; Eberhardt, N.; Theumer, M.G.; Minguez, R.; Aoki, M.P. IL-6 promotes M2 macrophage polarization by modulating purinergic signaling and regulates the lethal release of nitric oxide during Trypanosoma cruzi infection. Biochim. Et Biophys. Acta (BBA) Mol. Basis Dis. 2017, 1863, 857–869. [Google Scholar] [CrossRef]
- Feng, Y.; Jiang, S.; Wang, Z.; Li, S.; Liu, Z.; Zeng, M. Oyster hydrolysate-zinc complex ameliorates carrageenan-induced rat prostatitis via an anti-inflammatory mechanism and reduced oxidative stress. J. Funct. Foods 2020, 72, 104066. [Google Scholar] [CrossRef]
- Zhao, L.; Li, M.; Sun, K.; Su, S.; Geng, T.; Sun, H. Hippophae rhamnoides polysaccharides protect IPEC-J2 cells from LPS-induced inflammation, apoptosis and barrier dysfunction in vitro via inhibiting TLR4/NF-κB signaling pathway. Int. J. Biol. Macromol. 2019, 155, 1202–1215. [Google Scholar] [CrossRef] [PubMed]
- Haase, H. Chapter 21—Zinc Signals and Immune Function. In Molecular, Genetic, and Nutritional Aspects of Major and Trace Minerals; Collins, J.F., Ed.; Academic Press: Boston, MA, USA, 2017; pp. 261–271. [Google Scholar]
- Li, Y.; Li, X.; Chu, Q.; Jia, R.; Chen, W.; Wang, Y.; Yu, X.; Zheng, X. Russula alutacea Fr. polysaccharide ameliorates inflammation in both RAW264.7 and zebrafish (Danio rerio) larvae. Int. J. Biol. Macromol. 2019, 145, 740–749. [Google Scholar] [CrossRef] [PubMed]







| Name | Primer Orientation | Forward and Reverse Primer Sequences (5′-3′) |
|---|---|---|
| β-actin | Forward | CTCCGGTATGTGCAAAGC |
| Reverse | CCATCACTCCCTGATGTCT | |
| IL-6 | Forward | ACGACATCAAACACAGCACC |
| Reverse | TCGATCATCACGCTGGAGAA | |
| NF-κB2 | Forward | ACAAGACGCAAGGAGCCCAG- |
| Reverse | AACTGTCTCTTGCACAAAGGGCTCA | |
| nos2b | Forward | ACTTTCGGCTGCTTTTCTTCT |
| Reverse | GGACCTTTTCCCTCCTGTGTA | |
| iNOS | Forward | GGAGATGCAAGGTCAGCTTC |
| Reverse | GGCAAAGCTCAGTGACTTCC |
| Parameters | PSP | PSP−Zn Complex | |
|---|---|---|---|
| Molecular weight (Da) | 3.034 × 106 | 3.222 × 106 | |
| Polydispersity coefficient | 4.02 | 4.2 | |
| Monosaccharide composition (%) | Rhamnose | 2.17 | 1.96 |
| Arabinose | 3.63 | 3.01 | |
| Galactose | 7.38 | 6.81 | |
| Glucose | 75.04 | 81.54 | |
| Galacturonic acid | 11.78 | 6.68 |
Publisher’s Note: MDPI stays neutral with regard to jurisdictional claims in published maps and institutional affiliations. |
© 2022 by the authors. Licensee MDPI, Basel, Switzerland. This article is an open access article distributed under the terms and conditions of the Creative Commons Attribution (CC BY) license (https://creativecommons.org/licenses/by/4.0/).
Share and Cite
Dong, S.; Zhang, B.; Ma, Y.; Chang, H.; Zheng, Z.; Zhao, X. Pumpkin Skin Polysaccharide–Zn(II) Complex: Preparation, Characterization, and Suppression of Inflammation in Zebrafish. Foods 2022, 11, 2610. https://doi.org/10.3390/foods11172610
Dong S, Zhang B, Ma Y, Chang H, Zheng Z, Zhao X. Pumpkin Skin Polysaccharide–Zn(II) Complex: Preparation, Characterization, and Suppression of Inflammation in Zebrafish. Foods. 2022; 11(17):2610. https://doi.org/10.3390/foods11172610
Chicago/Turabian StyleDong, Shujun, Bin Zhang, Yue Ma, Hong Chang, Zhenjia Zheng, and Xiaoyan Zhao. 2022. "Pumpkin Skin Polysaccharide–Zn(II) Complex: Preparation, Characterization, and Suppression of Inflammation in Zebrafish" Foods 11, no. 17: 2610. https://doi.org/10.3390/foods11172610
APA StyleDong, S., Zhang, B., Ma, Y., Chang, H., Zheng, Z., & Zhao, X. (2022). Pumpkin Skin Polysaccharide–Zn(II) Complex: Preparation, Characterization, and Suppression of Inflammation in Zebrafish. Foods, 11(17), 2610. https://doi.org/10.3390/foods11172610
