Effect of Gelled Emulsions Elaborated with Soybean Oil, Maca (Lepidium meyenni) Flour, and Chincho (Tagetes elliptica Sm.) Essential Oil upon Animal Fat Substitution in Beef Burgers
Abstract
:1. Introduction
2. Materials and Methods
2.1. Food Materials
2.2. Preparation of Oil in Water Gelled Emulsions GEs
2.3. Formulation and Processing of Burgers Containing Gelled Emulsions GEs
2.4. Proximate Composition
2.5. Lipid Profile and Health Indices
2.5.1. Fatty Acid Profile
2.5.2. Health Indices
2.6. Physicochemical Analysis
2.6.1. Color Parameters, pH, and Water Activity
2.6.2. Texture Profile Analysis
2.7. Cooking Properties
2.8. Oxidative Stability
2.9. Statistical Analysis
3. Results and Discussion
3.1. Proximate Composition of Burgers
3.2. Lipid Profile and Health Indices
3.2.1. Fatty Acid Profile
3.2.2. Health Indices
3.3. Physico-Chemical Analysis
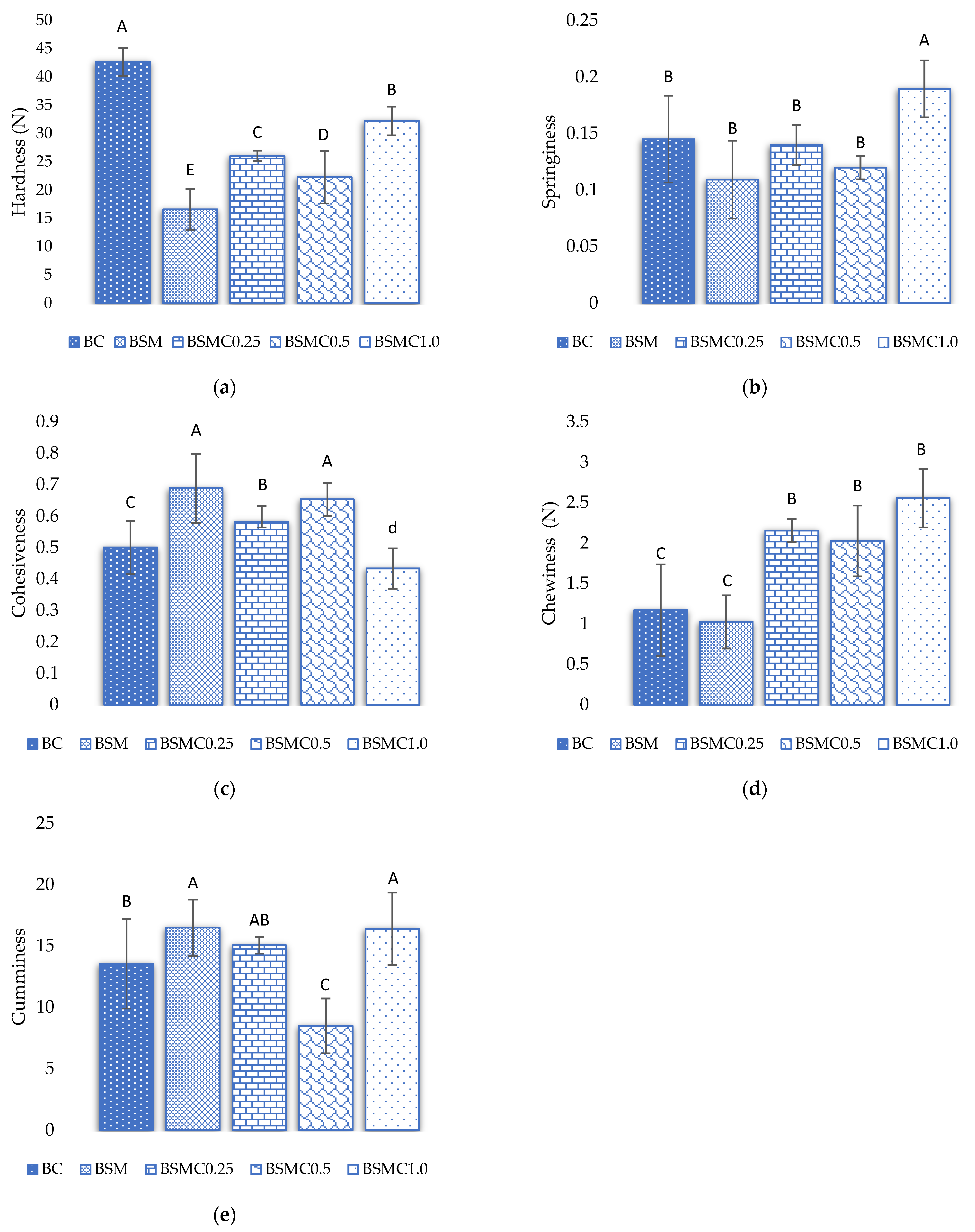
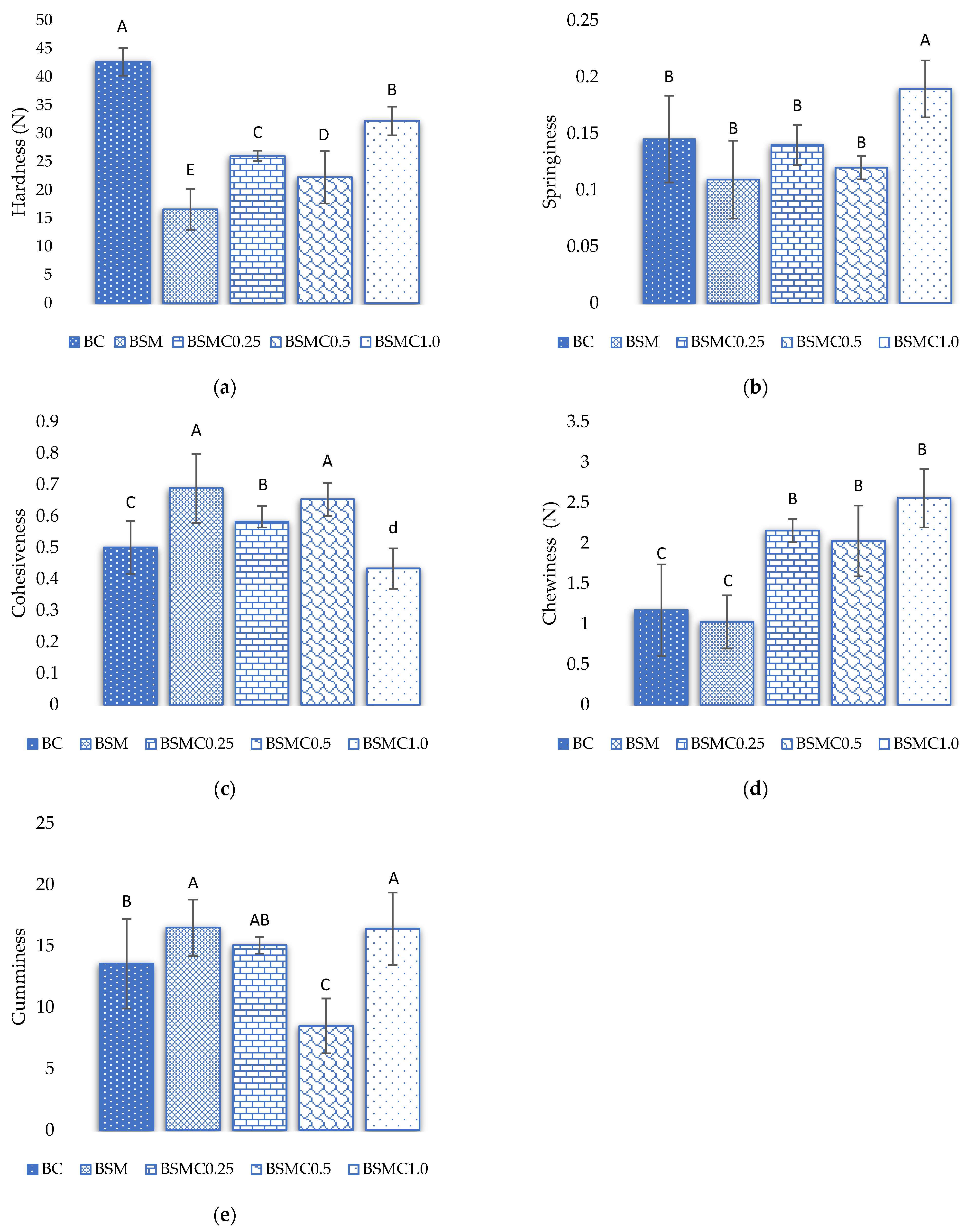
3.4. Texture Profile and Cooking Properties
3.5. Oxidative Stability
4. Conclusions
Author Contributions
Funding
Institutional Review Board Statement
Informed Consent Statement
Data Availability Statement
Acknowledgments
Conflicts of Interest
References
- Vahmani, P.; Ponnampalam, E.N.; Kraft, J.; Mapiye, C.; Bermingham, E.N.; Watkins, P.J.; Proctor, S.D.; Dugan, M.E.R. Bioactivity and health effects of ruminant meat lipids. Invited Review. Meat Sci. 2020, 165, 108114. [Google Scholar] [CrossRef] [PubMed]
- Niforou, A.; Magriplis, E.; Klinaki, E.; Niforou, K.; Naska, A. On account of trans fatty acids and cardiovascular disease risk—there is still a need to upgrade the knowledge and educate consumers. Nut. Met Card. Dis. 2022, 32, 1811–1818. [Google Scholar] [CrossRef] [PubMed]
- Kumar, Y. Development of low-fat/reduced-fat processed meat products using fat replacers and analogues. Food Rev. Int. 2019, 37, 296–312. [Google Scholar] [CrossRef]
- Sogari, G.; Li, J.; Wang, Q.; Lefebvre, M.; Huang, S.; Mora, C.; Gómez, M.I. Toward a reduced meat diet: University North American students’ acceptance of a blended meat-mushroom burger. Meat Sci. 2022, 187, 108745. [Google Scholar] [CrossRef]
- Rabadán, A.; Álvarez-Ortí, M.; Martínez, E.; Pardo-Giménez, A.; Zied, D.C.; Pardo, J.E. Effect of replacing traditional ingredients for oils and flours from nuts and seeds on the characteristics and consumer preferences of lamb meat burgers. LWT-Food Sci. Technol. 2021, 136, 110307. [Google Scholar] [CrossRef]
- Panda, C.; Varadharaj, S.; Voruganti, V.S. PUFA, genotypes and risk for cardiovascular disease. Prostaglandins Leukot. Essent. Fatty Acids. 2022, 176, 102377. [Google Scholar] [CrossRef] [PubMed]
- Djuricic, I.; Calder, P.C. Beneficial outcomes of omega-6 and omega-3 polyunsaturated fatty acids on human health: An update for 2021. Nutrients 2021, 13, 2421. [Google Scholar] [CrossRef]
- Herrero, A.M.; Ruiz-Capillas, C. Novel lipid materials based on gelling procedures as fat analogues in the development of healthier meat products. Cur. Op. Food Sci. 2021, 39, 1–6. [Google Scholar] [CrossRef]
- Botella-Martínez, C.; Gea-Quesada, A.; Sayas-Barberá, E.; Pérez-Álvarez, J.A.; Fernández-López, J.; Viuda-Martos, M. Improving the lipid profile of beef burgers added with chia oil (Salvia hispanica L.) or hemp oil (Cannabis sativa L.) gelled emulsions as partial animal fat replacers. LWT-Food Sci. Technol. 2022, 161, 113416. [Google Scholar] [CrossRef]
- Essa, R.Y.; Elsebaie, E.M. New fat replacement agent comprised of gelatin and soluble dietary fibers derived from date seed powder in beef burger preparation. LWT-Food Sci. Technol. 2022, 156, 113051. [Google Scholar] [CrossRef]
- Barros, J.C.; Munekata, P.E.S.; de Carvalho, F.A.L.; Domínguez, R.; Trindade, M.A.; Pateiro, M.; Lorenzo, J.M. Healthy beef burgers: Effect of animal fat replacement by algal and wheat germ oil emulsions. Meat Sci. 2021, 173, 108396. [Google Scholar] [CrossRef] [PubMed]
- Ren, Y.; Huang, L.; Zhang, Y.; Li, H.; Zhao, D.; Cao, J.; Liu, X. application of emulsion gels as fat substitutes in meat prod-ucts. Foods 2022, 11, 1950. [Google Scholar] [CrossRef] [PubMed]
- Chang, L.; Koo, C. Development of low-fat sausages using basil seed gum (Ocimum bacilicum L.) and gelatin as a fat replacer. Inter. J. Food Sci. Technol. 2017, 52, 733–740. [Google Scholar] [CrossRef]
- Yun-Sang, C.; Kwaon-Sik, P.; Hyun-Wook, K.; Ko-Eun, H.; Dong-Heon, S.; Min-Sung, C.; Soo-Yeon, L.; Hyun-Dong, P.; Cheon-Jei, K. Quality characteristics of reduced-fat frankfurters with pork fat replaced by sunflower seed oils and dietary fiber extracted from makgeolli lees. Meat Sci. 2013, 93, 652–658. [Google Scholar] [CrossRef]
- Carvalho, F.; Fonseca, L.; Diogenes, V.; Costa, S.; Leonardo Zambotti, L.; Colepicolo, P.; Ferraz, C.; Ribeiro, P. Combination of a multiplatform metabolite profiling approach and chemometrics as a powerful strategy to identify bioactive metabolites in Lepidium meyenii (Peruvian maca). Food Chem. 2021, 364, 130453. [Google Scholar] [CrossRef]
- Zhang, L.; Li, G.; Wang, S.; Yao, W.; Zhu, F. Physicochemical properties of maca starch. Food Chem. 2017, 218, 56–63. [Google Scholar] [CrossRef]
- Wang, S.; Zhu, F. Chemical composition and health effects of maca (Lepidium meyenii). Food Chem. 2019, 288, 422–443. [Google Scholar] [CrossRef]
- Fisk, I.D.; Gray, D.A. Soybean (Glycine max) oil bodies and their associated phytochemicals. J. Food Sci. 2011, 76, 1349–1354. [Google Scholar] [CrossRef] [Green Version]
- Olagunju, I.; Adelakun, S.; Olawoyin, S. The effect of rice bran extract on the quality indices, physicochemical properties and oxidative stability of soybean oil blended with various oils. Meas. Food 2022, 6, 100032. [Google Scholar] [CrossRef]
- Domínguez, R.; Pateiro, M.; Gagaoua, M.; Barba, F.; Zhang, W.; Lorenzo, J. A Comprehensive review on lipid oxidation in meat and meat products. Antioxidants 2019, 8, 429. [Google Scholar] [CrossRef] [Green Version]
- Fusaro, I.; Cavallini, D.; Giammarco, M.; Serio, A.; Mammi, L.M.E.; De Matos Vettori, J.; Lanzoni, L.; Formigoni, A.; Vignola, G. Effect of diet and essential oils on the fatty acid composition, oxidative stability and microbiological profile of marchigiana burgers. Antioxidants 2022, 11, 827. [Google Scholar] [CrossRef] [PubMed]
- Walia, S.; Kumar, R. Wild marigold (Tagetes minuta L.) an important industrial aromatic crop: Liquid gold from the Himalaya. J. Essent. Oil Res. 2020, 32, 373–393. [Google Scholar] [CrossRef]
- De Oliveira, D.; Abib, P.; Giacomini, R.; Lenardão, E.; Schiedeck, G.; Wilhelm, E.; Luchese, C.; Savegnago, L.; Jacob, R. Antioxidant and antifungal activities of the flowers’ essential oil of Tagetes minuta, (Z)-tagetone and thiotagetone. J. Essent. Oil Res. 2018, 31, 160–169. [Google Scholar] [CrossRef]
- Singh, P.; Krishna, A.; Kumar, V.; Krishna, S.; Singh, K.; Gupta, M.; Singh, S. Química y biología de cultivos industriales Tagetes Species: Una revisión. J. Essent. Oil Res. 2015, 28, 1–14. [Google Scholar] [CrossRef]
- Loockerman, D.; Turner, B.; Jansen, R. phylogenetic relationships within the Tageteae (Asteraceae) based on nuclear. ribosomal its and chloroplast ndhf gene sequences. Sys. Bot. 2003, 28, 191–207. [Google Scholar] [CrossRef]
- Gonzales, M.; Baldeón, S.; Beltrán, H.; Julian, V.; Bourdy, G. Hot and cold: Medicinal plant uses in Quechua speaking communities in the high Andes (Callejón de Huaylas, Ancash, Perú). J. Ethnopharmacol. 2014, 155, 1093–1117. [Google Scholar] [CrossRef]
- Salehi, B.; Valussi, M.; Morais-Braga, M.; Carneiro, J.; Leal, A.; Coutinho, H.; Vitalini, S.; Kręgiel, D.; Antolak, H.; Sharifi-Rad, M.; et al. Tagetes spp. Essential oils and other extracts: Chemical characterization and biological activity. Molecules 2018, 23, 2847. [Google Scholar] [CrossRef] [Green Version]
- Botella-Martinez, C.; Lucas-González, R.; Lorenzo, J.M.; Santos, E.M.; Rosmini, M.; Sepúlveda, N.; Teixeira, A.; Sayas-Barberá, E.; Pérez-Alvarez, J.A.; Fernandez-Lopez, J.; et al. Cocoa coproducts-based and walnut oil gelled emulsion as animal fat replacer and healthy bioactive source in beef burgers. Foods 2021, 10, 2706. [Google Scholar] [CrossRef]
- AOAC. 2000 AOAC Official Methods of Analysis of AOAC International, 17th ed.; International, A., Ed.; AOAC International: Gaithersburg, MD, USA, 2000; Volume 1. [Google Scholar]
- Folch, J.; Lees, M.; Stanley, G.S. A simple method for the isolation and purification of total lipides from animal tissues. J. Biol. Chem. 1957, 226, 497–509. [Google Scholar] [CrossRef]
- Golay, P.A.; Moulin, J. Determination of labeled fatty acids content in milk products, infant formula, and adult/pediatric nutritional formula by capillary gas chromatography: Collaborative study, Final Action 2012.13. J. AOAC Int. 2016, 99, 210–222. [Google Scholar] [CrossRef] [Green Version]
- Pellegrini, M.; Lucas-Gonzales, R.; Ricci, A.; Fontecha, J.; Fernández-López, J.; Pérez-Álvarez, J.A.; Viuda-Martos, M. Chemical, fatty acid, polyphenolic profile, techno-functional and antioxidant properties of flours obtained from quinoa (Chenopodium quinoa Willd) seeds. Ind. Crop Prod. 2018, 111, 38–46. [Google Scholar] [CrossRef]
- Ulbricht, T.L.V.; Southgate, D.A.T. Coronary heart disease: Seven dietary factors. Lancet 1991, 338, 985–992. [Google Scholar] [CrossRef]
- AMSA. Meat Color Measurement Guidelines; Association AMS: Champaign, IL, USA, 2012. [Google Scholar]
- Sánchez, E.; Fuentes, E.; Navarro, C.; Sayas, E.; Sendra, E.; Fernández, J.; Pérez, J.A. Effects of tuna pâté thickness and background on CIEL*a*b* color parameters and reflectance spectra. Food Control. 2011, 22, 1226–1232. [Google Scholar] [CrossRef]
- Cassens, R.G.; Demeyer, D.; Eilelemboom, G.; Honikel, K.O.; Johansson, G.T.; Nielsen, T.; Renerre, M.; RIichardson, I.; Sakata, R. Recommendations of reference methods for assessment of meat colour. In Proceedings of the 41st International Congress of Meat Science and Technology, San Antonio, TX, USA, 20–25 August 1995. [Google Scholar]
- Claus, J.R. Methods for the objective measurement of meat product texture. In Proceedings of the 48th Reciprocal Meat Conference, San Antonio, TX, USA, 20–25 August 1995; pp. 96–101. [Google Scholar]
- Rosmini, M.R.; Perlo, F.; Perez-Alvarez, J.A.; Pagan-Moreno, M.J.; Gago-Gago, M.A.; Lopez-Santoveña, F.; Aranda-Catala, V. TBA test by extractive method applied to pate. Meat Sci. 1996, 42, 103–110. [Google Scholar] [CrossRef]
- Lucas-Gonzalez, R.; Roldán, A.; Sayas-Barberá, E.; Fernández-López, J.; Pérez-Alvarez, J.A.; Viuda-Martos, M. Assessment of emulsion gels formulated with chestnut (Castanea sativa M.) flour and chia (Salvia hispanica L) oil as partial fat replacers in pork burger formulation. J. Sci. Food Agric. 2020, 100, 1265–1273. [Google Scholar] [CrossRef]
- Foggiaro, D.; Domínguez, R.; Pateiro, M.; Cittadini, A.; Munekata, P.E.S.; Campagnol, P.C.B.; Fraqueza, M.J.; De Palo, P.; Lorenzo, J.M. Use of healthy emulsion hydrogels to improve the quality of pork burgers. Foods 2022, 11, 596. [Google Scholar] [CrossRef]
- De Carvalho, F.A.L.; Munekata, P.E.S.; Pateiro, M.; Campagnol, P.C.B.; Domínguez, R.; Trindade, M.A.; Lorenzo, J.M. Effect of replacing backfat with vegetable oils during the shelf-life of cooked lamb sausages. LWT-Food Sci. Technol. 2020, 122, 109052. [Google Scholar] [CrossRef]
- Heck, R.; Saldaña, R.; Lorenzo, J.; Pereira, L.; Bittencourt, M.; Cichoski, A.; Ragagnin, C.; Wagner, R.; Bastianello, P. Hydrogelled emulsion from chia and linseed oils: A promising strategy to produce low-fat burgers with a healthier lipid profile. Meat Sci. 2019, 156, 174–182. [Google Scholar] [CrossRef]
- Selani, M.M.; Shirado, G.A.N.; Margiotta, G.B.; Rasera, M.L.; Marabesi, A.C.; Piedade, S.M.S.; Contreras-Castillo, C.J.; Canniatti-Brazaca, S.G. Pineapple by-product and canola oil as partial fat replacers in low-fat beef burger: Effects on oxidative stability, cholesterol content and fatty acid profile. Meat Sci. 2016, 115, 9–15. [Google Scholar] [CrossRef]
- Szpicer, A.; Onopiuk, A.; Półtorak, A.; Wierzbicka, A. Influence of tallow replacement by oat β-glucan and canola oil on the fatty acid and volatile compound profiles of low-fat beef burgers. CYTA-J. Food 2019, 17, 926–936. [Google Scholar] [CrossRef] [Green Version]
- European Parliament. Regulation 1924/2006 of the European Parliament and of the 535 council of 20 December 2006 on nutrition and health claims made on foods. Off. 536 J. Eur. Union 2006, L12, 3–8. [Google Scholar]
- Wood, J.G.; Rogina, B.; Lavu, S.; Ilowitz, K.; Helfand, S.L.; Tatar, M.; Sinclair, D. Sirtuin activators mimic caloric restriction and delay ageing in metazoans. Nature 2004, 430, 686–689. [Google Scholar] [CrossRef] [PubMed]
- Ouraji, H.; Shabanpur, B.; Kenari, A.A.; Shabani, A.; Nezami, S.; Sudagar, M.; Faghani, S. Total lipid, fatty acid composition and lipid oxidation of Indian white shrimp (Fenneropenaeus indicus) fed diets containing different lipid sources. J. Sci. Food Agric. 2009, 89, 993–997. [Google Scholar] [CrossRef]
- Martínez, J.A.; Melgosa, M.; Pérez, M.M.; Hita, E.; Negueruela, A.I. Note. Visual and Instrumental Color Evaluation in Red Wines. Food Sci. Technol. Int. 2001, 7, 439–444. [Google Scholar] [CrossRef]
- Albergamo, A.; Vadalà, R.; Metro, D.; Nava, V.; Bartolomeo, G.; Rando, R.; Macrì, A.; Messina, L.; Gualtieri, R.; Colombo, N.; et al. Physicochemical, nutritional, microbiological, and sensory qualities of chicken burgers reformulated with Mediterranean plant ingredients and health-promoting compounds. Foods 2021, 10, 2129. [Google Scholar] [CrossRef]
- França, F.; Harada-Padermo, S.; Frasceto, R.; Saldaña, E.; Lorenzo, J.; Ferreira de Souza, T.; Selani, M. Umami ingredient from shiitake (Lentinula edodes) by-products as a flavor enhancer in low-salt beef burgers: Effects on physicochemical and technological properties. LWT-Food Sci. Technol. 2022, 154, 112724. [Google Scholar] [CrossRef]
- López, J.; Fernández, J.; Pérez, J.A.; Viuda, M. Quality characteristics of pork burger added with albedo-fiber powder obtained from yellow passion fruit (Passiflora edulis var. flavicarpa) co-products. Meat Sci. 2014, 97, 270–276. [Google Scholar] [CrossRef]
- Hughes, J.M.; Oiseth, S.K.; Purslow, P.P.; Warner, R.D. A structural approach to understanding the interactions between colour, water-holding capacity and tenderness. Meat Sci. 2014, 98, 520–532. [Google Scholar] [CrossRef]
- Tatiyaborworntham, N.; Oz, F.; Richards, M.; Wu, H. Paradoxical effects of lipolysis on the lipid oxidation in meat and meat products. Food Chem. X 2022, 14, 100317. [Google Scholar] [CrossRef]
- Greene, B.E.; Cumuze, T.H. Relationship between TBA numbers and inexperienced panelists’ assessments of oxidized flavor in cooked beef. J. Food Sci. 1982, 47, 52–54. [Google Scholar] [CrossRef]
- Taherian, A.; Britten, M.; Sabik, H.; Fustier, P. Ability of whey protein isolate and/or fish gelatin to inhibit physical separation and lipid oxidation in fish oil-in-water beverage emulsion. Food Hydrocol. 2011, 25, 868–878. [Google Scholar] [CrossRef]
- Jonušaite, K.; Venskutonis, P.R.; Martínez, G.B.; Taboada, A.; Nieto, G.; López, A.; Marín, F. Antioxidant and antimicrobial effect of plant essential oils and Sambucus nigra extract in salmon burgers. Foods 2021, 10, 776. [Google Scholar] [CrossRef] [PubMed]
- Poyato, C.; Astiasarán, I.; Barriuso, B.; Ansorena, D. A new polyunsaturated gelled emulsion as replacer of pork back-fat in burger patties: Effect on lipid composition, oxidative stability and sensory acceptability. LWT-Food Sci. Technol. 2015, 62, 1069–1075. [Google Scholar] [CrossRef] [Green Version]


| Formulations (%) | |||||
|---|---|---|---|---|---|
| Samples * | Water | Instant Gel | Maca Flour | Soy Bean Oil | Chincho Essential Oil |
| GE1 | 40 | 5 | 15 | 40 | 0 |
| GE2 | 40 | 5 | 15 | 39.75 | 0.25 |
| GE3 | 40 | 5 | 15 | 39.5 | 0.5 |
| GE4 | 40 | 5 | 15 | 39 | 1 |
| Treatment * (%) | |||||
|---|---|---|---|---|---|
| BC | BSM | BSMC0.25 | BSMC0.5 | BSMC1.0 | |
| Beef meat | 80 | 80 | 80 | 80 | 80 |
| Pork backfat | 20 | 10 | 10 | 10 | 10 |
| GE1 | 0 | 10 | 0 | 0 | 0 |
| GE2 | 0 | 0 | 10 | 0 | 0 |
| GE3 | 0 | 0 | 0 | 10 | 0 |
| GE4 | 0 | 0 | 0 | 0 | 10 |
| Water | 5 | 5 | 5 | 5 | 5 |
| Salt | 1.5 | 1.5 | 1.5 | 1.5 | 1.5 |
| Onion powder | 0.3 | 0.3 | 0.3 | 0.3 | 0.3 |
| Garlic powder | 0.3 | 0.3 | 0.3 | 0.3 | 0.3 |
| Black pepper | 0.2 | 0.2 | 0.2 | 0.2 | 0.2 |
| Dehydrated parsley | 0.5 | 0.5 | 0.5 | 0.5 | 0.5 |
| Treatments * | |||||
|---|---|---|---|---|---|
| Raw | |||||
| BC | BSM | BSMC0.25 | BSMC0.5 | BSMC1.0 | |
| Moisture | 63.03 ± 0.61 a | 65.96 ± 0.39 b | 66.01 ± 0.18 b | 66.09 ± 0.44 b | 65.80 ± 0.40 b |
| Protein | 19.67 ± 0.58 b | 18.17 ± 0.00 a | 18.26 ± 0.12 a | 17.91 ± 0.47 a | 18.14 ± 0.09 a |
| Fat | 12.26 ± 0.05 c | 7.16 ± 0.15 a | 8.36 ± 0.20 b | 7.90 ± 0.62 a,b | 7.67 ± 0.19 a,b |
| Ash | 2.35 ± 0.07 a | 2.46 ± 0.09 a | 2.33 ± 0.03 a | 2.36 ± 0.07 a | 2.25 ± 0.07 a |
| Cooked | |||||
| Moisture | 53.69 ± 0.39 a | 55.56 ± 0.15 b,c | 56.79 ± 0.27 c | 55.13 ± 0.84 a,b,c | 54.56 ± 1.02 a,b |
| Protein | 27.52 ± 0.03 c | 25.16 ± 0.45 b | 24.42 ± 0.10 a | 24.64 ± 0.07 a,b | 25.10 ± 0.16 b |
| Fat | 12.97 ± 0.17 b | 12.05 ± 0.27 a | 12.18 ± 0.32 a,b | 12.76 ± 0.05 a,b | 12.06 ± 0.49 a |
| Ash | 2.94 ± 0.05 b | 3.00 ± 0.02 b | 2.81 ± 0.12 a,b | 2.87 ± 0.05 a,b | 2.74 ± 0.09 a |
| Fatty Acid (g/100 g of Fat) | Raw | ||||
|---|---|---|---|---|---|
| Treatment | |||||
| * BC | BSM | BSMC0.25 | BSMC0.5 | BSMC1.0 | |
| C10:0 | 0.07 ± 0.00 c | 0.06 ± 0.00 b | 0.05 ± 0.00 a,b | 0.05 ± 0.01 a | 0.05 ± 0.01 a,b |
| C12:0 | 0.08 ± 0.00 c | 0.06 ± 0.00 b | 0.06 ± 0.00 a,b | 0.06 ± 0.0 a | 0.06 ± 0.00 a,b |
| C14:0 | 1.5 ± 0.04 b | 1.17 ± 0.09 a | 1.13 ± 0.03 a | 1.14 ± 0.11 a | 1.14 ± 0.01 a |
| C14:1 (n-5) | 0.04 ± 0.03 a | 0.05 ± 0.02 a | 0.10 ± 0.12 a | 0.08 ± 0.11 a | 0.06 ± 0.01 a |
| C15:0 | 0.08 ± 0.01 a | 0.06 ± 0.03 a | 0.08 ± 0.00 a | 0.09 ± 0.01 a | 0.08 ± 0.00 a |
| C16:0 | 23.88 ± 0.00 b | 20.52 ± 0.48 a | 19.95 ± 0.27 a | 19.86 ± 0.80 a | 19.93 ± 0.12 a |
| C16:1 (n-7) | 2.38 ± 0.06 b | 1.88 ± 0.10 a | 1.76 ± 0.03 a | 1.75 ± 0.11 a | 1.80 ± 0.02 a |
| C17:0 | 0.42 ± 0.02 b | 0.34 ± 0.01 a | 0.34 ± 0.00 a | 0.36 ± 0.03 a | 0.35 ± 0.01 a |
| C17:1 (n-7) | 0.41 ± 0.00 c | 0.32 ± 0.01 a,b | 0.31 ± 0.01 a | 0.33 ± 0.02 a,b | 0.33 ± 0.01 b |
| C18:0 | 11.42 ± 0.13 b | 9.49 ± 0.36 a | 9.13 ± 0.24 a | 9.31 ± 0.52 a | 9.20 ± 0.19 a |
| C18:1 (n-9)Cis | 48.68 ± 0.20 d | 43.12 ± 0.01 c | 41.80 ± 0.16 a | 41.42 ± 0.58 a | 42.46 ± 0.41 b |
| C18:1 (n-9)Trans | 2.58 ± 0.07 d | 2.29 ± 0.03 c | 2.21 ± 0.02 a,b | 2.15 ± 0.02 a | 2.25 ± 0.03 b,c |
| C18:2 (n-6) | 6.20 ± 0.10 a | 16.95 ± 0.89 b | 19.63 ± 0.29 c | 19.96 ± 1.85 c | 18.61 ± 0.09 b,c |
| C18:3 (n-3) | 0.32 ± 0.00 a | 1.60 ± 0.07 b | 1.92 ± 0.01 c | 1.95 ± 0.19 c | 1.79 ± 0.01 c |
| C18:3 (n-6) | 0.17 ± 0.00 a | 0.23 ± 0.00 b | 0.24 ± 0.01 c | 0.25 ± 0.01 c | 0.24 ± 0.00 c |
| C20:0 | 1.19 ± 0.01 d | 0.90 ± 0.02 c | 0.80 ± 0.02 a | 0.79 ± 0.00 a | 0.86 ± 0.02 b |
| C20:1 | 0.34 ± 0.00 b | 0.23 ± 0.02 a | 0.21 ± 0.03 a | 0.22 ± 0.00 a | 0.24 ± 0.02 a |
| C20:3 (n-8) | 0.15 ± 0.12 a | 0.34 ± 0.03 b | 0.18 ± 0.03 a | 0.18 ± 0.10 a | 0.37 ± 0.04 b |
| C20:3 (n-11) | 0.04 ± 0.03 a,b | 0.18 ± 0.08 c | 0.04 ± 0.01 a,b | 0.02 ± 0.02 a | 0.14 ± 0.09 b,c |
| C24:1 | 0.05 ± 0.05 a | 0.18 ± 0.03 b | 0.09 ± 0.09 a,b | 0.04 ± 0.04 a | 0.05 ± 0.04 a |
| ΣSFA | 38.65 ± 0.19 b | 32.60 ± 0.95 a | 31.53 ± 0.51 a | 31.65 ± 1.48 a | 31.67 ± 0.30 a |
| ΣMUFA | 54.42 ± 0.29 d | 47.89 ± 0.12 c | 46.40 ± 0.03 a,b | 45.95 ± 0.73 a | 47.14 ± 0.48 b,c |
| ΣPUFA | 6.88 ± 0.05 a | 19.31 ± 1.01 b | 22.01 ± 0.34 c | 22.36 ± 2.17 c | 21.14 ± 0.22 b,c |
| Σn-3 | 0.32 ± 0.00 s | 1.60 ± 0.07 b | 1.92 ± 0.01 c | 1.95 ± 0.19 c | 1.79 ± 0.01 c |
| Σn-6 | 6.37 ± 0.10 a | 17.18 ± 0.89 b | 19.88 ± 0.29 c | 20.21 ± 1.86 c | 18.85 ± 0.10 b,c |
| Fatty Acid (g/100 g of Fat) | Cooked | ||||
|---|---|---|---|---|---|
| Treatment * | |||||
| BC | BSM | BSMC0.25 | BSMC0.5 | BSMC1.0 | |
| C10:0 | 0.08 ± 0.01 b | 0.05 ± 0.00 a | 0.05 ± 0.00 a | 0.05 ± 0.00 a | 0.05 ± 0.00 a |
| C12:0 | 0.08 ± 0.00 b | 0.05 ± 0.00 a | 0.05 ± 0.00 a | 0.05 ± 0.00 a | 0.06 ± 0.00 a |
| C14:0 | 1.48 ± 0.02 d | 1.01 ± 0.01 a | 1.07 ± 0.00 b | 1.12 ± 0.00 c | 1.13 ± 0.02 c |
| C14:1 (n-5) | 0.06 ± 0.01 a | 0.08 ± 0.02 a | 0.08 ± 0.00 a | 0.08 ± 0.01 a | 0.08 ± 0.01 a |
| C15:0 | 0.09 ± 0.00 b | 0.04 ± 0.04 a | 0.09 ± 0.00 b | 0.09 ± 0.00 b | 0.09 ± 0.00 b |
| C16:0 | 23.68 ± 0.03 c | 19.20 ± 0.10 a | 19.42 ± 0.03 a | 19.70 ± 0.13 b | 19.70 ± 0.24 b |
| C16:1 (n-7) | 2.41 ± 0.02 c | 1.68 ± 0.00 a | 1.69 ± 0.00 a | 1.75 ± 0.03 b | 1.76 ± 0.03 b |
| C17:0 | 0.43 ± 0.00 d | 0.33 ± 0.00 a | 0.34 ± 0.00 b | 0.36 ± 0.01 c | 0.36 ± 0.00 c |
| C17:1 (n-7) | 0.42 ± 0.00 d | 0.31 ± 0.00 b | 0.30 ± 0.00 a | 0.33 ± 0.00 c | 0.33 ± 0.00 c |
| C18:0 | 11.86 ± 0.08 c | 9.03 ± 0.02 a | 9.25 ± 0.03 a,b | 9.36 ± 0.13 b | 9.35 ± 0.23 b |
| C18:1 (n-9)Cis | 47.92 ± 0.02 b | 40.70 ± 0.15 a | 40.44 ± 0.02 a | 41.00 ± 0.50 a | 40.97 ± 0.46 a |
| C18:1 (n-9)Trans | 2.57 ± 0.08 b | 2.18 ± 0.03 a | 2.14 ± 0.02 a | 2.17 ± 0.01 a | 2.13 ± 0.06 a |
| C18:2 (n-6) | 6.46 ± 0.04 a | 21.50 ± 0.06 c | 21.48 ± 0.15 c | 20.37 ± 0.75 b | 20.33 ± 0.88 b |
| C18:3 (n-3) | 0.30 ± 0.01 a | 2.05 ± 0.02 c | 2.06 ± 0.02 c | 1.91 ± 0.07 b | 1.92 ± 0.11 b |
| C18:3 (n-6) | 0.17 ± 0.00 a | 0.26 ± 0.00 c | 0.26 ± 0.00 c | 0.24 ± 0.01 b | 0.25 ± 0.00 b |
| C20:0 | 1.14 ± 0.02 c | 0.76 ± 0.00 b | 0.71 ± 0.00 a | 0.75 ± 0.03 b | 0.76 ± 0.02 b |
| C20:1 | 0.33 ± 0.01 b | 0.21 ± 0.05 a,b | 0.14 ± 0.15 a | 0.14 ± 0.11 a | 0.20 ± 0.01 a,b |
| C20:3 (n-8) | 0.37 ± 0.01 a | 0.42 ± 0.00 b | 0.36 ± 0.01 a | 0.44 ± 0.01 b | 0.45 ± 0.03 b |
| C20:3 (n-11) | 0.08 ± 0.04 b | 0.03 ± 0.00 a | 0.02 ± 0.00 a | 0.03 ± 0.01 a | 0.02 ± 0.00 a |
| C24:1 | 0.06 ± 0.02 a | 0.11 ± 0.10 a | 0.07 ± 0.01 a | 0.07 ± 0.07 a | 0.07 ± 0.07 a |
| ΣSFA | 38.84 ± 0.04 d | 30.48 ± 0.08 a | 30.97 ± 0.00 b | 31.48 ± 0.27 c | 31.49 ± 0.47 c |
| ΣMUFA | 53.71 ± 0.04 b | 45.15 ± 0.10 a | 44.78 ± 0.18 a | 45.46 ± 0.63 a | 45.47 ± 0.55 a |
| ΣPUFA | 7.39 ± 0.10 a | 24.26 ± 0.08 c | 24.17 ± 0.17 c | 22.99 ± 0.83 b | 22.97 ± 0.96 b |
| Σn-3 | 0.30 ± 0.01 a | 2.05 ± 0.02 c | 2.06 ± 0.02 c | 1.91 ± 0.07 b | 1.92 ± 0.11 b |
| Σn-6 | 6.63 ± 0.04 a | 21.76 ± 0.06 c | 21.73 ± 0.15 c | 20.61 ± 0.75 b | 20.58 ± 0.88 b |
| Indices | Formulation * | ||||
|---|---|---|---|---|---|
| BC | BSM | BSMC0.25 | BSMC0.5 | BSMC1.0 | |
| n-6/n-3 | 21.83 ± 0.32 b | 10.63 ± 0.06 a | 10.53 ± 0.01 a | 10.79 ± 0.01 a | 10.73 ± 0.15 a |
| PUFA/SFA | 0.19 ± 0.00 a | 0.80 ± 0.00 c | 0.78 ± 0.01 c | 0.73 ± 0.03 b | 0.73 ± 0.04 b |
| AI | 0.49 ± 0.00 d | 0.34 ± 0.00 a | 0.35 ± 0.00 b | 0.36 ± 0.00 c | 0.36 ± 0.00 c |
| TI | 1.19 ± 0.00 c | 0.74 ± 0.00 a | 0.75 ± 0.00 a | 0.78 ± 0.01 b | 0.78 ± 0.02 b |
| h/H | 2,29 ± 0.01 b | 2.98 ± 0.12 a | 3.13 ± 0.06 a | 3.14 ± 0.21 a | 3.12 ± 0.03 a |
| Treatments * | |||||
|---|---|---|---|---|---|
| Raw | |||||
| BC | BSM | BSMC0.25 | BSMC0.5 | BSMC1.0 | |
| L* | 44.35 ± 0.99 a | 48.52 ± 2.11 b | 49.28 ± 1.89 b | 49.82 ± 2.64 b | 48.22 ± 2.32 b |
| a* | 7.62 ± 1.33 a | 6.82 ± 1.12 a | 6.21 ± 0.68 a | 6.20 ± 1.24 a | 6.56 ± 1.28 a |
| b* | 13.31 ± 1.44 a | 14.18 ± 0.75 a,b | 15.58 ± 1.09 c | 14.82 ± 1.14 b,c | 15.34 ± 1.17 b,c |
| C* | 15.41 ± 1.36 a | 15.77 ± 0.90 a,b | 16.79 ± 1.06 b | 16.11 ± 1.17 a,b | 16.74 ± 0.97 b |
| H* | 60.13 ± 5.34 a | 64.37 ± 3.64 a,b | 68.22 ± 2.48 b | 67.32 ± 4.35 b | 66.79 ± 4.90 b |
| ΔE* | - | 4.98 ± 2.10 a | 6.09 ± 1.18 a | 6.68 ± 3.10 a | 5.18 ± 1.97 a |
| pH | 5.71 ± 0.01 c | 5.68 ± 0.01 c | 5.62 ± 0.01 b | 5.53 ± 0.05 a | 5.62 ± 0.00 b |
| aw | 0.89 ± 0.0 a | 0.89 ± 0.0 a | 0.89 ± 0.0 a | 0.89 ± 0.0 a | 0.89 ± 0.0 a |
| Cooked | |||||
| BC | BSM | BSMC0.25 | BSMC0.5 | BSMC1.0 | |
| L* | 41.46 ± 5.04 a | 43.12 ± 6.00 a | 40.74 ± 4.59 a | 42.41 ± 4.44 a | 41.54 ± 4.08 a |
| a* | 4.32 ± 1.28 a | 5.60 ± 1.21 b | 6.31 ± 1.13 b | 5.61 ± 1.14 b | 6.51 ± 0.96 b |
| b* | 8.32 ± 3.82 a | 12.62 ± 2.15 b | 12.6 ± 2.13 b | 11.71 ± 2.54 b | 13.02 ± 1.97 b |
| C* | 9.73 ± 3.03 a | 13.93 ± 1.59 b | 14.20 ± 1.73 b | 13.12 ± 2.08 b | 14.63 ± 1.65 b |
| H | 60.12 ± 15.43 a | 65.36 ± 8.52 a | 62.86 ± 6.91 a | 63.42 ± 8.70 a | 63.03 ± 5.69 a |
| ΔE* | - | 8.40 ± 5.50 a | 8.57 ± 4.54 a | 7.62 ± 3.28 a | 8.03 ± 4.20 a |
| pH | 5.95 ± 0.03 b | 5.87 ± 0.02 a | 5.83 ± 0.03 a | 5.83 ± 0.02 a | 5.86 ± 0.04 a |
| aw | - | - | - | - | - |
| Treatments * | |||||
|---|---|---|---|---|---|
| Technological Parameters (%) | BC | BSM | BSMC0.25 | BSMC0.5 | BSMC1.0 |
| Cooking loss | 28.97 ± 2.5 b | 26.47 ± 0.63 a,b | 23.39 ± 2.22 a | 27.05 ± 1.41 a,b | 27.46 ± 0.84 b |
| Shrinkage | 24.68 ± 2.62 b | 20.63 ± 2.64 a,b | 18.64 ± 1.35 a | 19.84 ± 3.09 a,b | 22.09 ± 3.52 b |
| Thickness increase | 30.30 ± 3.09 b,c | 15.96 ± 2.37 a | 48.14 ± 3.20 d | 42.81 ± 2.31 c,d | 31.66 ± 2.35 b |
Publisher’s Note: MDPI stays neutral with regard to jurisdictional claims in published maps and institutional affiliations. |
© 2022 by the authors. Licensee MDPI, Basel, Switzerland. This article is an open access article distributed under the terms and conditions of the Creative Commons Attribution (CC BY) license (https://creativecommons.org/licenses/by/4.0/).
Share and Cite
Cerrón-Mercado, F.; Botella-Martínez, C.M.; Salvá-Ruíz, B.K.; Fernández-López, J.; Pérez-Alvarez, J.A.; Viuda-Martos, M. Effect of Gelled Emulsions Elaborated with Soybean Oil, Maca (Lepidium meyenni) Flour, and Chincho (Tagetes elliptica Sm.) Essential Oil upon Animal Fat Substitution in Beef Burgers. Foods 2022, 11, 2198. https://doi.org/10.3390/foods11152198
Cerrón-Mercado F, Botella-Martínez CM, Salvá-Ruíz BK, Fernández-López J, Pérez-Alvarez JA, Viuda-Martos M. Effect of Gelled Emulsions Elaborated with Soybean Oil, Maca (Lepidium meyenni) Flour, and Chincho (Tagetes elliptica Sm.) Essential Oil upon Animal Fat Substitution in Beef Burgers. Foods. 2022; 11(15):2198. https://doi.org/10.3390/foods11152198
Chicago/Turabian StyleCerrón-Mercado, Francis, Carmen M. Botella-Martínez, Bettit K. Salvá-Ruíz, Juana Fernández-López, Jose A. Pérez-Alvarez, and Manuel Viuda-Martos. 2022. "Effect of Gelled Emulsions Elaborated with Soybean Oil, Maca (Lepidium meyenni) Flour, and Chincho (Tagetes elliptica Sm.) Essential Oil upon Animal Fat Substitution in Beef Burgers" Foods 11, no. 15: 2198. https://doi.org/10.3390/foods11152198
APA StyleCerrón-Mercado, F., Botella-Martínez, C. M., Salvá-Ruíz, B. K., Fernández-López, J., Pérez-Alvarez, J. A., & Viuda-Martos, M. (2022). Effect of Gelled Emulsions Elaborated with Soybean Oil, Maca (Lepidium meyenni) Flour, and Chincho (Tagetes elliptica Sm.) Essential Oil upon Animal Fat Substitution in Beef Burgers. Foods, 11(15), 2198. https://doi.org/10.3390/foods11152198

