A New Polysaccharide Carrier Isolated from Camelina Cake: Structural Characterization, Rheological Behavior, and Its Influence on Purple Corn Cob Extract’s Bioaccessibility
Abstract
:1. Introduction
2. Materials and Methods
2.1. Chemicals
2.2. Camelina Cake Polysaccharide (CCP) Extraction
2.3. Moradyn Cob Extract (MCE) Preparation
2.4. Preparation of MCE-CCP Ingredients
2.5. Mechanical Testing
2.6. CCP Average Molecular Mass Determination
2.7. Determination of Total Polyphenol Content in CCP-MCE Ingredients by RP-HPLC-WVD Analysis
2.8. In Vitro Digestion Procedure
2.9. Bioaccessibility Evaluation
2.10. CCP Bile Salts Binding Capacity
2.11. Statistical Analysis
3. Results and Discussion
3.1. CCP Molecular Parameters
3.2. CCP Rheological Properties
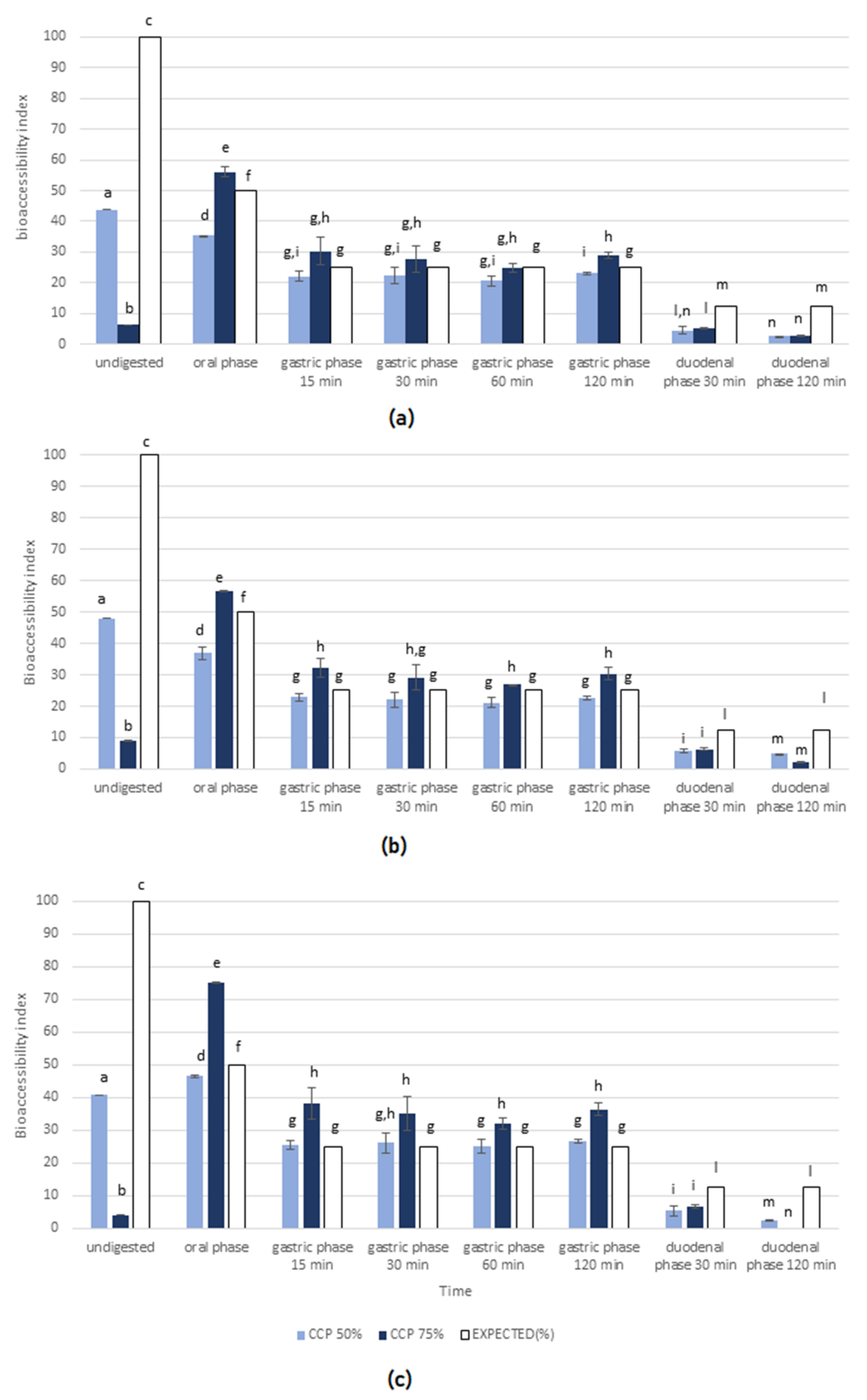
3.3. CCP Stabilizing Effect on Bioaccessibility of Encapsulated MCE Polyphenols
3.4. Bile Salts Binding Capacity of CCP
4. Conclusions
Author Contributions
Funding
Institutional Review Board Statement
Informed Consent Statement
Data Availability Statement
Conflicts of Interest
References
- Nayak, A.; Bhushan, B. An overview of the recent trends on the waste valorization techniques for food wastes. J. Environ. Manag. 2019, 233, 352–370. [Google Scholar] [CrossRef] [PubMed]
- Rao, P.; Rathod, V. Valorization of food and agricultural waste: A step towards greener future. Chem. Rec. 2018, 18, 1858–1871. [Google Scholar] [CrossRef] [PubMed]
- European Commission. A new Circular Economy Action Plan For a Cleaner and More Competitive Europe. Communication from the Commission to the European Parliament, the Council, the European Economic and Social Committee and the Committee of the Regions. 2020. Available online: https://eur-lex.europa.eu/legal-content/EN/TXT/?uri=COM:2020:98:FIN&WT.mc_id=Twitter (accessed on 29 April 2022).
- Imman, S.; Laosiripojana, N.; Champreda, V. Effects of liquid hot water pretreatment on enzymatic hydrolysis and physicochemical changes of corncobs. Appl. Biochem. Biotechnol. 2018, 184, 432–443. [Google Scholar] [CrossRef] [PubMed]
- Zhang, Q.; de Mejia, E.G.; Luna-Vital, D.; Tao, T.; Chandrasekaran, S.; Chatham, L.; Juvik, J.; Singh, V.; Kumar, D. Relationship of phenolic composition of selected purple maize (Zea mays L.) genotypes with their anti-inflammatory, anti-adipogenic and anti-diabetic potential. Food Chem. 2019, 289, 739–750. [Google Scholar] [CrossRef] [PubMed]
- Yang, Z.; Zhai, W. Identification and antioxidant activity of anthocyanins extracted from seed and cob of purple corn (Zea mays L.). Innov. Food Sci. Emerg. Technol. 2010, 11, 169–176. [Google Scholar] [CrossRef]
- Li, C.Y.; Kim, H.W.; Won, S.R.; Min, H.; Park, K.J.; Park, J.Y.; Ahn, M.S.; Rhee, H.I. Corn husk as a potential source of anthocyanins. J. Agric. Food Chem. 2008, 56, 11413–11416. [Google Scholar] [CrossRef]
- Ferron, L.; Colombo, R.; Mannucci, B.; Papetti, A. A new Italian purple corn variety (Moradyn) byproduct ex-tract: Antiglycative and hypoglycemic in vitro activities and preliminary bioaccessibility studies. Molecules 2020, 25, 1958. [Google Scholar] [CrossRef] [Green Version]
- Costantin, O.E.; Stănciuc, N.; Yan, Y.; Ghinea, I.O.; Ungureanu, C.; Cîrciumaru, A.; Wang, D.; Poklar Ulrihe, N.; Râpeanua, G. Polymers and protein-associated vesicles for the microencapsulation of anthocyanins from grape skins used for food applications. J. Sci. Food Agric. 2020, 101, 2676–2686. [Google Scholar] [CrossRef]
- Jafari, S.M.; Mahdavi-Khazaei, K.; Hemmati-Kakhki, A. Microencapsulation of saffron petal anthocyanins with cress seed gum compared with Arabic gum through freeze drying. Carbohydr. Polym. 2016, 140, 20–25. [Google Scholar] [CrossRef] [Green Version]
- Pieczykolan, E.; Kurek, M.A. Use of guar gum, gum arabic, pectin, beta-glucan and inulin for microencapsulation of anthocyanins from chokeberry. Int. J. Biol. Macromol. 2019, 129, 665–671. [Google Scholar] [CrossRef]
- Fathi, M.; Martin, A.; McClements, D.J. Nanoencapsulation of food ingredients using carbohydrate based delivery systems. Trends Food Sci. Technol. 2014, 39, 18–39. [Google Scholar] [CrossRef]
- Mahdavi, S.A.; Jafari, S.M.; Assadpoor, E.; Dehnad, D. Microencapsulation optimization of natural anthocyanins with maltodextrin, gum Arabic and gelatin. Int. J. Biol. Macromol. 2016, 85, 379–385. [Google Scholar] [CrossRef] [PubMed]
- Taheri, A.; Jafari, S.M. Gum-based nanocarriers for the protection and delivery of food bioactive compounds. Adv. Colloid Interface Sci. 2019, 269, 277–295. [Google Scholar] [CrossRef]
- Sarv, V.; Trass, O.; Diosady, L.L. Preparation and characterization of Camelina sativa protein isolates and mucilage. J. Am. Oil Chem. Soc. 2017, 94, 1279–1285. [Google Scholar] [CrossRef]
- Ding, H.H.; Cui, S.W.; Goff, H.D.; Wang, Q.; Chen, J.; Han, N.F. Soluble polysaccharides from flaxseed kernel as a new source of dietary fibers: Extraction and physicochemical characterization. Food Res. Int. 2014, 56, 166–173. [Google Scholar] [CrossRef]
- Ferron, L.; Milanese, C.; Colombo, R.; Pugliese, R.; Papetti, A. Selection, structural characterization and solid-state stability studies of an innovative alcohol insoluble polysaccharide fraction stabilizing purple corn cob extract. Antioxidants 2022, 11, 916. [Google Scholar] [CrossRef]
- Maric, M.; Grassino, A.N.; Zhu, Z.; Barba, F.J.; Brnčić, M.; Brnčić, S.R. An overview of the traditional and inno-vative approaches for pectin extraction from plant food wastes and by-products: Ultrasound-, microwaves-, and enzyme-assisted extraction. Trends Food Sci. Technol. 2018, 76, 28–37. [Google Scholar] [CrossRef]
- Naupane, S.; Bittkau, K.S.; Alban, S. Size distribution and chain conformation of six different fucoidans using size-exclusion chromatography with multiple detection. J. Chromatogr. A 2020, 1612, 460658–460669. [Google Scholar] [CrossRef]
- Minekus, M.; Alminger, M.; Alvito, P.I.S.; Bohn, T.; Bourlieu, C.; Carrière, F.; Boutrou, R.; Corredig, M.; Dupont, D.; Dufour, C.; et al. A standardised static in vitro digestion method suitable for food—An international consensus. Food Funct. 2014, 5, 1113–1124. [Google Scholar] [CrossRef] [Green Version]
- Lin, T.; O’Keefe, S.; Duncan, S.; Fernàndez-Fraguas, C. Retention of primary bile salts by dry beans (Phaseolus vulgaris L.) during in vitro digestion: Role of bean components and effect of food processing. Food Res. Int. 2020, 137, 109337–109351. [Google Scholar] [CrossRef]
- Pugliese, R.; Arnoldi, A.; Lammi, C. Nanostructure, Self-Assembly, mechanical properties, and antioxidant activity of a lupin-derived peptide hydrogel. Biomedicines 2021, 13, 294. [Google Scholar] [CrossRef] [PubMed]
- Norkaew, O.; Thitisut, P.; Mahatheeranont, S.; Pawin, B.; Sookwong, P.; Yodpitak, S.; Lungkaphin, A. Effect of wall materials on some physicochemical properties and release characteristics of encapsulated black rice anthocyanin microcapsules. Food Chem. 2019, 294, 493–502. [Google Scholar] [CrossRef] [PubMed]
- Ferron, L.; Milanese, C.; Colombo, R.; Papetti, A. Development of an accelerated stability model to estimate pur-ple corn cob extract powder (Moradyn) shelf-life. Foods 2021, 10, 1617. [Google Scholar] [CrossRef] [PubMed]
- Hamauzu, Y.; Suwannachot, J. Non-extractable polyphenols and in vitro bile acid-binding capacity of dried persimmon (Diospyros kaki) fruit. Food Chem. 2019, 293, 127–133. [Google Scholar] [CrossRef]
- Chouana, T.; Pierre, G.; Vial, C.; Gardarin, C.; Wadouachi, A.; Cailleuc, D.; Le Cerf, D.; Bouala, Z.; Ould El Hadja, M.D.; Michaud, P.; et al. Structural characterization and rheological properties of a galactomannan from Astragalus gombo Bunge seeds harvested in Algerian Sahara. Carbohydr. Polym. 2017, 175, 387–394. [Google Scholar] [CrossRef]
- Garcia-Lopera, R.; Codoner, A.; Bano, M.C.; Abad, C.; Campos, A. Size exclusion chromatographyc determination of polymer molar mass averages using a fractal calibration. J. Chromatogr. Sci. 2005, 43, 226–234. [Google Scholar] [CrossRef] [Green Version]
- Elboutachfaiti, R.; Delattre, C.; Quéro, A.; Roulard, R.; Duchêne, J.; Mesnard, F.; Petit, E. Fractionation and structural characterization of six purified rhamnogalacturonans type I from flaxseed mucilage. Food Hydrocholl. 2017, 62, 273–279. [Google Scholar] [CrossRef]
- Li, N.; Qi, G.; Sun, S.X.; Wang, D. Characterization of gum isolated from Camelina seed. Ind. Crops Prod. 2016, 83, 268–274. [Google Scholar] [CrossRef] [Green Version]
- Pugliese, R.; Bollati, C.; Gelain, F.; Arnoldi, A.; Lammi, C. A supramolecular approach to develop new soybean and lupin peptide nanogels with enhanced dipeptidyl peptidase IV (DPP-IV) inhibitory activity. J. Agric. Food Chem. 2019, 67, 3615–3623. [Google Scholar] [CrossRef]
- Pugliese, R.; Beltrami, B.; Regondi, S.; Lunetta, C. Polymeric biomaterials for 3D printing in medicine: An over-view. Ann. 3D Print. Med. 2021, 2, 100011–100021. [Google Scholar] [CrossRef]
- Bajaj, S.R.; Marathe, S.J.; Singhal, R.S. Co-encapsulation of vitamins B12 and D3 using spray drying: Wall material optimization, product characterization, and release kinetics. Food Chem. 2021, 335, 127642–127650. [Google Scholar] [CrossRef] [PubMed]
- Liu, K.; Kong, X.; Li, Q.; Zhang, H.; Zha, X. Stability and bioavailability of vitamin D3 encapsulated in composite gels of whey protein isolate and lotus root amylopectin. Carbohydr. Polym. 2020, 227, 115337–115346. [Google Scholar] [CrossRef] [PubMed]
- Fredes, C.; Osorio, M.J.; Parada, J.; Robert, P. Stability and bioaccessibility of anthocyanins from maqui (Aristotelia chilensis [Mol.] Stuntz) juice microparticles. LWT—Food Sci. Technol. 2018, 91, 549–556. [Google Scholar] [CrossRef]
- Moser, P.; Nicoletti Telis, V.R.; De Andrade Neves, N.; Garcìa-Romero, E.; Gòmez-Alonso, S.; Hermosìn-Gutiérrez, I. Storage stability of phenolic compounds in powdered BRS Violeta grape juice microencapsulated with protein and maltodextrin blends. Food Chem. 2017, 214, 308–318. [Google Scholar] [CrossRef]
- Xiong, J.; Hsuan Chan, Y.; Rathinasabapathy, T.; Gracea, M.H.; Komarnytskya, S.; Lila, M.A. Enhanced stability of berry pomace polyphenols delivered in protein polyphenol aggregate particles to an in vitro gastrointestinal digestion model. Food Chem. 2020, 331, 127279–127287. [Google Scholar] [CrossRef]
- Huang, Y.; Zhou, W. Microencapsulation of anthocyanins through two-step emulsification and release characteristics during in vitro digestion. Food Chem. 2019, 278, 357–363. [Google Scholar] [CrossRef]
- Guo, R.; Chang, X.; Guo, X.; Brennan, C.S.; Li, T.; Fu, X.; Liu, R.H. Phenolic compounds, antioxidant activity, antiproliferative activity and bioaccessibility of sea buckthorn (Hippophanaë rhamnoides L.) berries as affected by in vitro digestion. Food Funct. 2017, 8, 4229–4240. [Google Scholar] [CrossRef]
- Naumann, S.; Schweiggert-Weisz, U.; Bader-Mittermaier, S.; Haller, D.; Eisner, P. Differentiation of adsorptive and viscous effects of dietary fibers on bile acid release by means of In vitro digestion and dialysis. Int. J. Mol. Sci. 2018, 19, 2193. [Google Scholar] [CrossRef] [Green Version]
- Khalon, T.S.; Milczarek, R.R.; Chiu, M.M. In vitro bile acid binding of mustard greens, kale, broccoli, cabbage and green bell pepper improves with sautéing compared with raw or other methods of preparation. Food Sci. Nutr. 2012, 3, 951–958. [Google Scholar] [CrossRef] [Green Version]
- Gomez, M.K.; Singh, J.; Acharya, P.; Jayaprakasha, G.K.; Patil, S.B. Identification and quantification of phytochemicals, antioxidant activity, and bile acid-binding capacity of garnet stem dandelion (Taraxacum officinale). J. Food Sci. 2018, 83, 1569–1578. [Google Scholar] [CrossRef]



| Bioaccessibility Index (%) | |||||||
|---|---|---|---|---|---|---|---|
| Compound | Oral Phase | Gastric Phase (15′) | Gastric Phase (30′) | Gastric Phase (1 h) | Gastric Phase (2 h) | Duodenal Phase (30′) | Duodenal Phase (2 h) |
| Expected | 50 | 25 | 25 | 25 | 25 | 12.5 | 12.5 |
| Cyanidin-3-O-glucoside | 35.36 ± 0.06 | 22.18 ± 1.81 | 22.33 ± 2.59 | 20.59 ± 1.56 | 23.12 ± 0.48 | 4.58 ± 1.25 | 2.72 ± 0.01 |
| Perlagonidin-3-O-glucoside | 39.26 ± 2.11 | 24.35 ± 1.37 | 23.49 ± 2.54 | 22.53 ± 1.63 | 24.12 ± 0.78 | 6.08 ± 0.62 | 5.18 ± 0.03 |
| Peonidin-3-O-glucoside | 48.96 ± 0.48 | 26.94 ± 1.41 | 27.45 ± 3.18 | 26.31 ± 2.26 | 28.04 ± 0.67 | 5.53 ± 1.69 | 2.60 ± 0.26 |
| Ferulic acid derivative | 44.87 ± 1.95 | 21.36 ± 0.13 | 22.48 ± 1.79 | 25.38 ± 2.12 | 23.41 ± 2.29 | n.d. | n.d. |
| Myricetin-7-O-hexoside | 33.25 ± 2.85 | 21.05 ± 0.23 | 24.55 ± 0.64 | 23.28 ± 0.28 | 24.46 ± 3.94 | 12.14 ± 1.13 | n.d. |
| Isorhamnetin-3,7-di-O-hexoside | 41.82 ± 2.84 | 23.29 ± 0.01 | 23.37 ± 0.07 | 26.78 ± 1.25 | 24.22 ± 3.34 | 11.45 ± 1.99 | 3.66 ± 1.04 |
| Quercetin-7-O-p-cumaroylhexoside | 93.07 ± 1.95 | 70.28 ± 7.67 | 79.11 ± 0.91 | 90.27 ± 3.62 | 91.34 ± 10.61 | 33.49 ± 7.23 | 35.42 ± 4.88 |
| Quercetin-7-O-glucoside | 64.09 ± 0.66 | 36.02 ± 2.17 | 35.97 ± 1.12 | 39.46 ± 4.00 | 35.88 ± 1.15 | 13.80 ± 2.96 | 10.30 ± 1.86 |
| Kaempferol-7-O-(6″-O-malonyl)-hexoside | 62.69 ± 0.69 | 32.02 ± 3.80 | 34.40 ± 1.56 | 33.68 ± 1.56 | 33.74 ± 0.40 | 12.96 ± 3.55 | 10.48 ± 1.68 |
| Isorhamnetin-7-O-rutinoside | 59.98 ± 0.46 | 30.23 ± 0.17 | 31.81 ± 0.05 | 51.04 ± 10.65 | 39.32 ± 6.49 | 13.11 ± 2.75 | 14.63 ± 1.87 |
| Isorhamnetin-3-O-hexoside | 57.57 ± 1.47 | 25.80 ± 0.82 | 27.55 ± 1.00 | 27.86 ± 3.70 | 27.36 ± 1.53 | 11.63 ± 3.02 | 11.64 ± 3.02 |
| Luteolin-7-O-glucoside | 66.52 ± 1.56 | 21.48 ± 0.54 | 23.24 ± 0.19 | 27.02 ± 0.47 | 25.86 ± 2.72 | 10.20 ± 2.69 | 11.83 ± 1.76 |
| Kaempferol-3-O-hexosyl-7-O-glucuronilhexoside | 66.34 ± 1.85 | 36.71 ± 1.62 | 34.68 ± 0.74 | 35.85 ± 2.17 | 35.22 ± 2.57 | 20.18 ± 3.67 | 19.17 ± 3.45 |
| Bioaccessibility Index (%) | |||||||
|---|---|---|---|---|---|---|---|
| Compound | Oral Phase | Gastric Phase (15′) | Gastric Phase (30′) | Gastric Phase (1 h) | Gastric Phase (2 h) | Duodenal Phase (30′) | Duodenal Phase (2 h) |
| Expected | 50 | 25 | 25 | 25 | 25 | 12.5 | 12.5 |
| Cyanidin-3-O-glucoside | 56.09 ± 1.77 | 30.28 ± 4.40 | 27.75 ± 4.34 | 24.83 ± 1.49 | 28.83 ± 0.96 | 5.35 ± 0.08 | 2.78 ± 0.07 |
| Perlagonidin-3-O-glucoside | 56.77 ± 0.13 | 32.11 ± 3.10 | 29.19 ± 3.86 | 26.83 ± 0.03 | 30.33 ± 2.10 | 6.34 ± 0.53 | 2.24 ± 0.19 |
| Peonidin-3-O-glucoside | 75.24 ± 0.07 | 38.32 ± 4.80 | 35.03 ± 5.10 | 31.98 ± 1.65 | 36.37 ± 1.82 | 6.59 ± 0.75 | n.d. |
| Ferulic acid derivative | 63.59 ± 0.32 | 32.02 ± 2.67 | 24.14 ± 4.41 | 18.12 ± 1.02 | 20.06 ± 0.01 | n.d. | n.d. |
| Myricetin-7-O-hexoside | 46.49 ± 1.89 | 30.51 ± 1.30 | 30.76 ± 1.46 | 23.83 ± 1.04 | 24.51 ± 0.18 | 13.06 ± 0.33 | 2.14 ± 0.82 |
| Isorhamnetin-3,7-di-O-hexoside | 63.54 ± 1.54 | 29.06 ± 1.34 | 30.94 ± 6.35 | 23.87 ± 1.92 | 25.05 ± 1.28 | 16.27 ± 3.38 | 3.51 ± 0.31 |
| Quercetin-7-O-p-cumaroylhexoside | 89.89 ± 0.62 | 57.80 ± 4.00 | 60.58 ± 2.20 | 49.51 ± 0.29 | 53.40 ± 3.28 | 26.03 ± 5.83 | 23.50 ± 2.63 |
| Quercetin-7-O-glucoside | n.d. | 71.07 ± 2.74 | 66.77 ± 5.37 | 61.71 ± 0.43 | 67.24 ± 0.32 | 24.95 ± 1.86 | 7.06 ± 2.99 |
| Kaempferol-7-O-(6″-O-malonyl)-hexoside | 70.85 ± 1.43 | 39.86 ± 4.29 | 37.27 ± 8.36 | 30.89 ± 1.02 | 33.97 ± 1.40 | 13.27 ± 1.33 | 6.85 ± 1.72 |
| Isorhamnetin-7-O-rutinoside | 67.80 ± 1.94 | 45.17 ± 5.16 | 35.40 ± 0.35 | 32.84 ± 0.61 | 44.30 ± 9.83 | 26.23 ± 4.00 | 20.00 ± 2.97 |
| Isorhamnetin-3-O-hexoside | 64.63 ± 1.32 | 30.41 ± 3.53 | 27.60 ± 4.89 | 23.92 ± 1.05 | 26.81 ± 1.15 | 12.22 ± 0.90 | 10.51 ± 0.28 |
| Luteolin-7-O-glucoside | 55.98 ± 1.82 | 26.90 ± 2.16 | 29.86 ± 10.74 | 20.93 ± 1.70 | 25.72 ± 2.94 | 12.45 ± 1.52 | 10.62 ± 0.64 |
| Kaempferol-3-O-hexosyl-7-O-glucuronilhexoside | 81.84 ± 2.97 | 40.21 ± 3.39 | 31.82 ± 12.33 | 29.30 ± 2.68 | 33.13 ± 2.32 | 27.88 ± 2.57 | 24.96 ± 1.72 |
| Bile Acid Binding Activity (%) | |||||
|---|---|---|---|---|---|
| CCP (mg/mL) | NaTC | NaGC | NaTCDC | NaGCDC | BS Mixture |
| 0.50 | N.A. | N.A. | N.A. | N.A. | N.A. |
| 0.75 | N.A. | N.A. | N.A. | N.A. | N.A. |
| 2.50 | 38.21 ± 2.29 | 40.26 ± 2.25 | 41.27 ± 0.04 | 41.27 ± 2.13 | 39.88 ± 0.72 |
| 5.00 | 100.00 ± 0.13 | 100.00 ± 0.08 | 100.00 ± 0.01 | 100.00 ± 0.01 | 100.00 ± 2.97 |
| 10.00 | 100.00 ± 0.01 | 100.00 ± 0.07 | 100.00 ± 0.01 | 100.00 ± 0.01 | 100.00 ± 1.28 |
Publisher’s Note: MDPI stays neutral with regard to jurisdictional claims in published maps and institutional affiliations. |
© 2022 by the authors. Licensee MDPI, Basel, Switzerland. This article is an open access article distributed under the terms and conditions of the Creative Commons Attribution (CC BY) license (https://creativecommons.org/licenses/by/4.0/).
Share and Cite
Ferron, L.; Milanese, C.; Colombo, R.; Pugliese, R.; Papetti, A. A New Polysaccharide Carrier Isolated from Camelina Cake: Structural Characterization, Rheological Behavior, and Its Influence on Purple Corn Cob Extract’s Bioaccessibility. Foods 2022, 11, 1736. https://doi.org/10.3390/foods11121736
Ferron L, Milanese C, Colombo R, Pugliese R, Papetti A. A New Polysaccharide Carrier Isolated from Camelina Cake: Structural Characterization, Rheological Behavior, and Its Influence on Purple Corn Cob Extract’s Bioaccessibility. Foods. 2022; 11(12):1736. https://doi.org/10.3390/foods11121736
Chicago/Turabian StyleFerron, Lucia, Chiara Milanese, Raffaella Colombo, Raffaele Pugliese, and Adele Papetti. 2022. "A New Polysaccharide Carrier Isolated from Camelina Cake: Structural Characterization, Rheological Behavior, and Its Influence on Purple Corn Cob Extract’s Bioaccessibility" Foods 11, no. 12: 1736. https://doi.org/10.3390/foods11121736
APA StyleFerron, L., Milanese, C., Colombo, R., Pugliese, R., & Papetti, A. (2022). A New Polysaccharide Carrier Isolated from Camelina Cake: Structural Characterization, Rheological Behavior, and Its Influence on Purple Corn Cob Extract’s Bioaccessibility. Foods, 11(12), 1736. https://doi.org/10.3390/foods11121736

