Toxigenic Potential of Mesophilic and Psychrotolerant Bacillus cereus Isolates from Chilled Tofu
Abstract
1. Introduction
2. Materials and Methods
2.1. Sample Preparation
2.2. Enumeration of Aerobic Bacteria, E. coli, Coliforms, and B. cereus
2.3. Bacterial DNA Extraction
2.4. Growth Properties
2.5. Detection of Enterotoxin and Emetic Toxin Genes
2.6. Antibiotic Susceptibility Testing
2.7. Quantification of Biofilm Formation
3. Results and Discussion
3.1. Microbial Contamination of Chilled Tofu
3.2. Growth Properties of B. cereus Isolates from Chilled Tofu
3.3. Toxigenic Potential of Psychrotolerant and Mesophilic B. cereus Isolates from Chilled Tofu
3.4. Antibiotic Susceptibility Test of Mesophilic and Psychrotolerant B. cereus Isolates from Chilled Tofu
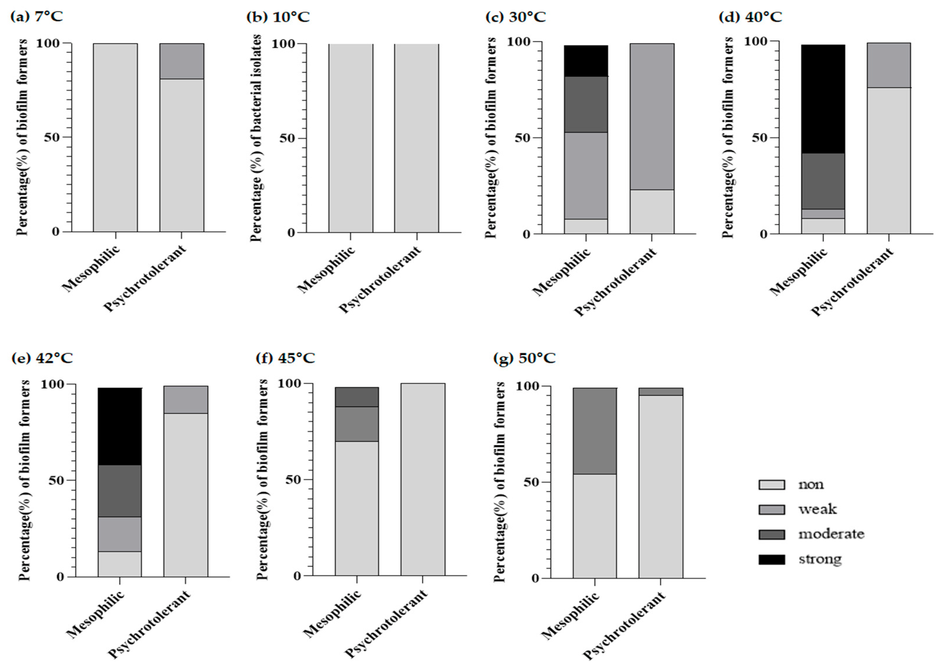
3.5. Biofilm-Forming Capacity at Different Temperatures of Mesophilic and Psychrotolerant B. cereus Isolates from Chilled Tofu
4. Conclusions
Author Contributions
Funding
Institutional Review Board Statement
Informed Consent Statement
Data Availability Statement
Conflicts of Interest
References
- Préstamo, G.; Fontecha, J. High pressure treatment on the tofu fatty acids and acylglycerols content. Innov. Food Sci. Emerg. Technol. 2007, 8, 188–191. [Google Scholar] [CrossRef]
- Shin, I.S.; Han, J.S.; Choi, K.D.; Chung, D.H.; Choi, G.P.; Ahn, J.H. Effect of isothiocyanates from horseradish (Armoracia rusticana) on the quality and shelf life of tofu. Food Control 2010, 21, 1081–1086. [Google Scholar] [CrossRef]
- Food Source Information. Golorado Integrated Food Safety Center of Excellence. A Food Production Wiki for Public Health Professionals Tofu. Available online: https://fsi.colostate.edu/tofu/ (accessed on 3 May 2022).
- Aulisio, C.C.; Stanfield, J.T.; Weagant, S.D.; Hill, W.E. Yersiniosis associated with tofu consumption: Serological, biochemical and pathogenicity studies of Yersinia enterocolitica isolates. J. Food Prot. 1983, 46, 226–230. [Google Scholar] [CrossRef]
- Lee, L.A.; Ostroff, S.M.; McGee, H.B.; Johnson, D.R.; Downes, F.P.; Cameron, D.N.; Bean, N.H.; Griffin, P.M. An outbreak of shigellosis at an outdoor music festival. Am. J. Epidemiol. 1991, 133, 608–615. [Google Scholar] [CrossRef] [PubMed]
- Ashraf, H.R.; White, M.; Klubek, B. Microbiological survey of tofu sold in a rural Illinois county. J. Food Prot. 1999, 62, 1050–1053. [Google Scholar] [CrossRef]
- Nout, M.; Bakshi, D.; Sarkar, P. Microbiological safety of kinema, a fermented soya bean food. Food Control 1998, 9, 357–362. [Google Scholar] [CrossRef]
- Ananchaipattana, C.; Hosotani, Y.; Kawasaki, S.; Pongswat, S.; Latiful, B.M.; Isobe, S.; Inatsu, Y. Bacterial contamination of soybean curd (tofu) sold in Thailand. Food Sci. Technol. Res. 2012, 18, 843–848. [Google Scholar] [CrossRef][Green Version]
- Lee, D.Y.; Kwon, K.H.; Chai, C.H.; Oh, S.W. Microbial contamination of tofu in Korea and growth characteristics of Bacillus cereus isolates in tofu. Lwt-Food Sci. Technol. 2017, 78, 63–69. [Google Scholar] [CrossRef]
- Stenfors Arnesen, L.P.; Fagerlund, A.; Granum, P.E. From soil to gut: Bacillus cereus and its food poisoning toxins. FEMS Microbiol. Rev. 2008, 32, 579–606. [Google Scholar] [CrossRef]
- Hwang, J.; Park, J. Characteristics of enterotoxin distribution, hemolysis, lecithinase, and starch hydrolysis of Bacillus cereus isolated from infant formulas and ready-to-eat foods. J. Dairy Sci. 2015, 98, 1652–1660. [Google Scholar] [CrossRef]
- Bonerba, E.; Di Pinto, A.; Novello, L.; Montemurro, F.; Terio, V.; Colao, V.; Ciccarese, G.; Tantillo, G. Detection of potentially enterotoxigenic food-related Bacillus cereus by PCR analysis. Int. J. Food Sci. Technol. 2010, 45, 1310–1315. [Google Scholar] [CrossRef]
- Lund, T.; Granum, P.E. Comparison of biological effect of the two different enterotoxin complexes isolated from three different strains of Bacillus cereus. Microbiology 1997, 143, 3329–3336. [Google Scholar] [CrossRef]
- Soares, C.M.; Kabuki, D.Y.; Kuaye, A.Y. Growth of enterotoxin producing Bacillus cereus in meat substrate at 10 °C and 30 °C. Braz. J. Microbiol. 2012, 43, 1401–1405. [Google Scholar] [CrossRef]
- Park, K.M.; Kim, H.J.; Jeong, M.; Koo, M. Enterotoxin genes, antibiotic susceptibility, and biofilm formation of low-temperature-tolerant Bacillus cereus isolated from lettuce in the cold chain. Foods 2020, 9, 249. [Google Scholar] [CrossRef]
- Gauvry, E.; Mathot, A.G.; Leguerinel, I.; Couvert, O.; Postollec, F.; Broussolle, V.; Coroller, L. Knowledge of the psysiology of spore-forming bacteria can explain the origin of spores in the food environment. Res. Microbiol. 2017, 168, 369–378. [Google Scholar] [CrossRef]
- Costerton, J.W.; Lewandowski, Z.; Caldwell, D.E.; Korber, D.R.; Lappin-Scott, H.M. Microbial Biofilms. Annu. Rev. Microbiol. 1995, 49, 711–745. [Google Scholar] [CrossRef] [PubMed]
- Sanchez, C.J.; Mende, K.B.; Miriam, L.A.; Kevin, S.R.; Desiree, R.W.; Joseph, C.M.; Clinton, K. Biofilm formation by clinical isolates and the implications in chronic infections. BMC Infect. Dis. 2013, 13, 47. [Google Scholar] [CrossRef]
- Jahan, M.; Holley, R.A. Incidence of virulence factors in Enterococci from raw and fermented meat and biofilm forming capacity at 25 °C and 37 °C. Int. J. Food Microbiol. 2014, 170, 65–69. [Google Scholar] [CrossRef]
- Stepanovic, S.; Cirkovic, I.; Ranin, L.; Svabić-Vlahović, M. Biofilm formation by Salmonella spp. and Listeria monocytogenes on plastic surface. Lett. Appl Microbiol. 2004, 38, 428–432. [Google Scholar] [CrossRef]
- Di Bonaventura, G.; Piccolomini, R.; Paludi, D.; D’Orio, V.; Vergara, A.; Conter, M.; Ianieri, A. Influence of temperature on biofilm formation by Listeria monocytogenes on various food-contact surfaces: Relationship with motility and cell surface hydrophobicity. J. Appl. Microbiol. 2008, 104, 1552–1561. [Google Scholar] [CrossRef]
- Van Campenhout, L.; Maes, P.; Claes, J. Modified atmosphere packaging of tofu: Headspace gas profiles and microflora during storage. J. Food Process. Preserv. 2013, 37, 46–56. [Google Scholar] [CrossRef]
- Ministry of Food and Drug Safety (MFDS). Korea Food Code. Available online: https://www.foodsafetykorea.go.kr/portal/safefoodlife/food/foodRvlv/foodRvlv.do (accessed on 3 May 2022).
- Choma, C.; Guinebretiere, M.H.; Carlin, F.; Schmitt, P.; Velge, P.; Granum, P.E.; Nguyen-The, C. Prevalence, characterization and growth of Bacillus cereus in commercial cooked chilled foods containing vegetables. J. Appl. Microbiol. 2000, 88, 617–625. [Google Scholar] [CrossRef]
- Park, K.M.; Jeong, M.; Park, K.J.; Koo, M. Prevalence, enterotoxin genes, and antibiotic resistance of Bacillus cereus isolated from raw vegetables in Korea. J. Food Prot. 2018, 81, 1590–1597. [Google Scholar] [CrossRef] [PubMed]
- Al-Khatib, M.S.; Khyami-Horani, H.; Badran, E.; Shehabi, A. Incidence and characterization of diarrheal enterotoxins of fecal Bacillus cereus isolates associated with diarrhea. Diagn. Microbiol. Infect. Dis. 2007, 59, 383–387. [Google Scholar] [CrossRef]
- Clinical and Laboratory Standards Institute (CLSI). Performance Standards for Antimicrobial Susceptibility Testing; Clinical and Laboratory Standards Institute: Tempe, AZ, USA, 2014. [Google Scholar]
- Singh, A.K.; Prakash, P.; Singh, R.; Nandy, N.; Firdaus, Z.; Bansal, M. Curcumin quantum dots mediated degradation of bacterial biofilms. Front. Microbiol. 2017, 8, 1517. [Google Scholar] [CrossRef]
- Ribeiro, T.T.B.C.; Costa, G.; Costa, M.D. Microbial contamination in industrial tofu. Ciencia Rural 2016, 47. [Google Scholar] [CrossRef]
- Tuitemwong, K.; Fung, D.C. Microbiological study of tofu. J. Food Prot. 1991, 54, 212–215. [Google Scholar] [CrossRef] [PubMed]
- Han, B.-Z.; Beumer, R.R.; Rombouts, F.M.; Nout, M.R. Microbiological safety and quality of commercial sufuea Chinese fermented soybean food. Food Control 2001, 12, 541–547. [Google Scholar] [CrossRef]
- Cai, S.; Worobo, R.W.; Snyder, A.B. Combined effect of storage condition, surface integrity, and length of shelf life on the growth of Listeria monocytogenes and spoilage microbiota on refrigerated ready-to-eat products. J. Food Prot. 2019, 82, 1423–1432. [Google Scholar] [CrossRef]
- Bartoszewicz, M.; Bideshi, D.K.; Kraszewska, A.; Modzelewska, E.; Swiecicka, I. Natural isolates of Bacillus thuringiensis display genetic and psychrotrophic properties characteristic of Bacillus weihenstephanensis. J. Appl. Microbiol. 2009, 106, 1967–1975. [Google Scholar] [CrossRef] [PubMed]
- Guoping, Z.; Dasheng, Z.; Lina, D.; Quanxin, C.; Zhiming, Y. Occurrence of psychrotrophic Bacillus cereus group strains in ice creams. Int. J. Food Microbiol. 2010, 137, 143–146. [Google Scholar]
- Kovac, J.; Miller, R.A.; Carroll, L.M.; Kent, D.J.; Jian, J.; Beno, S.M. Production of hemolysin BL by Bacillus cereus group isolates of dairy origin is associated with whole-genome phylogenetic clade. BMC Genom. 2016, 17, 581–596. [Google Scholar] [CrossRef]
- Miller, R.A.; Beno, S.M.; Kent, D.J.; Carroll, L.M.; Martin, N.H.; Boor, K.J. Bacillus wiedmannii sp. nov. is a new psychrotrophic and cytotoxic Bacillus cereus group species isolated from dairy foods and environments in the USA. Int. J. Syst. Evol. Microbiol. 2016, 66, 4744–4753. [Google Scholar] [CrossRef]
- Ngamwongsatit, P.; Buasri, W.; Pianariyanon, P.; Pulsrikan, C.; Ohba, M. Broad distribution of enterotoxin genes (hblCDA, nhe ABC, cytK, and entFM) among Bacillus thuringiensis and Bacillus cereus as shown by novel primers. Int. J. Food Microbiol. 2008, 121, 352–356. [Google Scholar] [CrossRef]
- Lee, N.; Kim, M.D.; Chang, H.J.; Choi, S.W.; Chun, H.S. Genetic diversity, antimicrobial resistance, toxin gene profiles, and toxin production ability of Bacillus cereus isolates from doenjang, a Korean fermented soybean paste. J. Food Saf. 2017, 37, e12363. [Google Scholar] [CrossRef]
- Guinebretière, M.H.; Broussolle, V.; Nguyen-The, C. Enterotoxigenic profiles of food-poisoning and food-borne Bacillus cereus strains. J. Clin. Microbiol. 2002, 40, 3053–3056. [Google Scholar] [CrossRef] [PubMed]
- Tewari, A.; Singh, S.P.; Singh, R. Incidence and enterotoxigenic profile of Bacillus cereus in meat and meat products of Uttarakhand, India. J. Food Sci. Technol. 2015, 52, 1796–1801. [Google Scholar] [CrossRef]
- Merzougui, S.; Cohen, N.; Grosset, N.; Gautier, M.; Lkhider, M. Enterotoxigenic profiles of psychrotrophic and mesophilic strains of the Bacillus cereus group isolated from food in Morocco. Int. J. Eng. Res. Appl. 2013, 3, 964–970. [Google Scholar]
- Campbell, E.; Korzheva, N.; Mustaev, A.; Murakami, K.; Nair, S.; Goldfarb, A.; Darst, S.A. Structural mechanism for rifampicin inhibition of bacterial RNA polymerase. Cell 2001, 104, 901–912. [Google Scholar] [CrossRef]
- Park, Y.B.; Kim, J.B.; Shin, S.W.; Kim, J.C.; Cho, S.H.; Lee, B.K. Prevalence, genetic diversity, and antibiotic susceptibility of Bacillus cereus strains isolated from rice and cereals collected in Korea. J. Food Prot. 2009, 72, 612–617. [Google Scholar] [CrossRef] [PubMed]
- Agwa, O.K.; Uzoigwe, C.I.; Wokoma, E.C. Incidence and antibiotic sensitivity of Bacillus cereus isolated from ready to eat foods sold in some markets in Portharcourt, Rivers State, Nigeria. Asian J. Microbiol. Biotechnol. Environ. Sci. 2012, 14, 13–18. [Google Scholar]
- Owusu-Kwarteng, J.; Wuni, A.; Akabanda, F.; Tano-Debrah, K.; Jespersen, L. Prevalence, virulence factor genes and antibiotic resistance of Bacillus cereus sensu lato isolated from dairy farms and traditional dairy products. BMC Microbiol. 2017, 17, 65. [Google Scholar] [CrossRef] [PubMed]
- Österblad, M.; Hadanen, A.; Manninen, R.; Leistevuo, T.; Peltonen, R.; Meurman, O. A between-species comparison of antimicrobial resistance in enterobacteria in fecal flora. J. Antimicrob. Chemother. 2000, 44, 1479–1484. [Google Scholar] [CrossRef] [PubMed][Green Version]
- Harimawan, A.; Devianto, H.; Kurniawan, I.C.; Utomo, J.C. Influence of incubation temperature on biofilm formation and corrosion of carbon steel by Serratia marcescens. AIP. Conf. Proc. 2017, 1805, 060004. [Google Scholar]
- Han, N.; Mizan, M.F.R.; Jahid, I.K.; Ha, S.D. Biofilm formation by Vibrio parahaemolyticus on food and food contact surfaces increases with rise in temperature. Food Control 2016, 70, 161–166. [Google Scholar] [CrossRef]
- Rode, T.M.; Langsrud, S.; Holck, A.; Møretrø, T. Different patterns of biofilm formation in Staphylococcus aureus under food-related stress conditions. Int. J. Food Microbiol. 2007, 116, 372–383. [Google Scholar] [CrossRef]
- Kilic, T.U.G.B.A.; Cihan, A.C. Biofilm formation of the facultative thermophile Bacillus pumilus D194A and affects of sanitation agents on its biofilms. Microbiology 2020, 89, 64–73. [Google Scholar] [CrossRef]
- Marín-Sanhueza, C.; Echeverría-Vega, A.; Gómez, A.; Cabrera-Barjas, G.; Romero, R.; Banerjee, A. Stress dependent biofilm formation and bioactive melanin pigment production by a thermophilic Bacillus species from chilean hot spring. Polymers 2022, 14, 680. [Google Scholar] [CrossRef]
- Mangwani, N.; Dash, H.R.; Chauhan, A.; Das, S. Bacterial quorum sensing: Functional features and potential applications in biotechnology. Microb. Physiol. 2012, 22, 215–227. [Google Scholar] [CrossRef] [PubMed]
- Chavant, P.; Martinie, B.; Meylheuc, T.; Bellon-Fontaine, M.N.; Hebraud, M. Listeria monocytogenes LO28: Surface physicochemical properties and ability to form biofilms at different temperatures and growth phases. Appl. Environ. Microbiol. 2002, 68, 728–737. [Google Scholar] [CrossRef]
- Christison, C.A.; Lindsay, D.; von Holy, A. Cleaning and handling implements as potential reservoirs for bacterial contamination of some ready-to-eat foods in retail delicatessen environments. J. Food Prot. 2007, 70, 2878–2883. [Google Scholar] [CrossRef] [PubMed]


| Target Gene | Primer | Sequence (5′-3′) | Melting Temp (°C) | Amplicon (bp) |
|---|---|---|---|---|
| hblA | hblA-F | GTG CAG ATG TTG ATG CCG AT | 55 | 319 |
| hblA-R | ATG CCA CTG CGT GGA CAT AT | |||
| hblC | hblC-F | AAT GGT CAT CGG AAC TCT AT | 55 | 749 |
| hblC-R | CTC GCT GTT CTG CTG TTA AT | |||
| hblD | hblD-F | AAT CAA GAG CTG TCA CGA AT | 55 | 429 |
| hblD-R | CAC CAA TTG ACC ATG CTA AT | |||
| nheA | nheA-F | GTT TTT ATT GCT TCA TCG GCT | 55 | 499 |
| nheA-R | CTA TCA GCA CTT ATG GCA G | |||
| nheB | nheB-F | CTA TCA GCA CTT ATG GCA G | 55 | 769 |
| nheB-R | ACT CCT AGC CGG TGT TCC | |||
| nheC | nheC-F | CGG TAG TGA TTG CTG GG | 55 | 581 |
| nheC-R | CAG CAT TCG TAC TTG CCA A | |||
| entFM | entFM-F | ATG AAA AAA GTA ATT TGC AGG | 55 | 1269 |
| entFM-R | TTA GTA TGC TTT TGT GTA ACC | |||
| cytK | cytK-F | GTA ACT TTC ATT GAT GAT CC | 44 | 505 |
| cytK-R | GAA TAC TAA ATA ATT GGT TTC C | |||
| ces | ces-F | TTGTTGGAATTGTCGCAGAG | 60 | 405 |
| ces-R | GTAAGCGAACCTGTCTGTAACAACA |
| Microorganism | No. (%) of Positive Samples | Population Range of Bacteria (log CFU/g) | |||||
|---|---|---|---|---|---|---|---|
| 0–1 | 1–2 | 2–3 | 3–4 | 4–5 | 5–6 | ||
| Total aerobic bacteria | 40/40 (100%) | 0 (0%) | 0 (0%) | 22 (55%) | 4 (10%) | 6 (15%) | 8 (20%) |
| Coliform | 12/40 (30%) | 28 (70%) | 2 (5%) | 4 (10%) | 0 (0%) | 2 (5%) | 4 (10%) |
| B. cereus | 6/40 (15%) | 34 (85%) | 0 (0%) | 3 (7.5%) | 2 (5%) | 1 (2.5%) | 0 (0%) |
| E. coli | 0/40 (0%) | 40 (100%) | 0 (0%) | 0 (0%) | 0 (0%) | 0 (0%) | 0 (0%) |
| Temperature for Growth (°C) | No. (%) of B. cereus Isolates |
|---|---|
| 5 | 0 (0.0%) |
| 7 | 21 (36.2%) |
| 10 | 38 (65.5%) |
| 12 | 58 (100%) |
| 40 | 58 (100%) |
| 42 | 58 (100%) |
| 45 | 58 (100%) |
| 47 | 37 (63.8%) |
| 50 | 0 (0.0%) |
| 52 | 0 (0.0%) |
| 55 | 0 (0.0%) |
| Toxin Gene | No. (%) of Toxigenic B. cereus Isolates | |
|---|---|---|
| Mesophilic Isolates (n = 37) | Psychrotolerant Isolates (n = 21) | |
| Frequency of toxin gene | ||
| nheA | 37 (100%) | 19 (90.5%) |
| nheB | 25 (67.6%) | 21 (100%) |
| nheC | 36 (97.3%) | 21 (100%) |
| nheABC | 25 (67.6%) | 19 (90.5%) |
| hblA | 1 (2.7%) | 9 (42.9%) |
| hblC | 7 (18.9%) | 19 (90.5%) |
| hblD | 6 (16.2%) | 21 (100%) |
| hblACD | 1 (2.7%) | 9 (42.9%) |
| entFM | 27 (73.0%) | 21 (100%) |
| cytK | 2 (5.4%) | 5 (23.8%) |
| ces | 0 (0.0%) | 0 (0.0%) |
| Profile of enterotoxin gene | ||
| NheABC + hblACD + cytK + entFM | 1 (2.7%) | 0 (0.0%) |
| nheABC + hblACD + entFM | 0 (0.0%) | 7 (33.3%) |
| nheABC + cytK + entFM | 1 (2.7%) | 5 (23.8%) |
| nheABC + entFM | 21 (56.8%) | 7 (33.3%) |
| hblACD + entFM | 0 (0.0%) | 2 (9.5%) |
| nheA + nheC | 8 (21.6%) | 0 (0.0%) |
| nheABC | 2 (5.4%) | 0 (0.0%) |
| entFM | 4 (10.8%) | 0 (0.0%) |
Publisher’s Note: MDPI stays neutral with regard to jurisdictional claims in published maps and institutional affiliations. |
© 2022 by the authors. Licensee MDPI, Basel, Switzerland. This article is an open access article distributed under the terms and conditions of the Creative Commons Attribution (CC BY) license (https://creativecommons.org/licenses/by/4.0/).
Share and Cite
Park, K.-M.; Kim, H.-J.; Park, K.-J.; Koo, M. Toxigenic Potential of Mesophilic and Psychrotolerant Bacillus cereus Isolates from Chilled Tofu. Foods 2022, 11, 1674. https://doi.org/10.3390/foods11121674
Park K-M, Kim H-J, Park K-J, Koo M. Toxigenic Potential of Mesophilic and Psychrotolerant Bacillus cereus Isolates from Chilled Tofu. Foods. 2022; 11(12):1674. https://doi.org/10.3390/foods11121674
Chicago/Turabian StylePark, Kyung-Min, Hyun-Jung Kim, Kee-Jai Park, and Minseon Koo. 2022. "Toxigenic Potential of Mesophilic and Psychrotolerant Bacillus cereus Isolates from Chilled Tofu" Foods 11, no. 12: 1674. https://doi.org/10.3390/foods11121674
APA StylePark, K.-M., Kim, H.-J., Park, K.-J., & Koo, M. (2022). Toxigenic Potential of Mesophilic and Psychrotolerant Bacillus cereus Isolates from Chilled Tofu. Foods, 11(12), 1674. https://doi.org/10.3390/foods11121674

