Study of the Evolution of Pigments from Freshly Pressed to ‘On-the-Shelf’ Extra-Virgin Olive Oils by Means of Near-UV Visible Spectroscopy
Abstract
:1. Introduction
2. Materials and Methods
2.1. Reagents and Samples
2.2. Instruments
2.3. Implementation of the Deconvolution Method
2.4. Data Analysis
3. Results and Discussion
3.1. Application of the Spectroscopic Method on Test Samples
3.1.1. Chlorophylls Diluted in Refined Oil
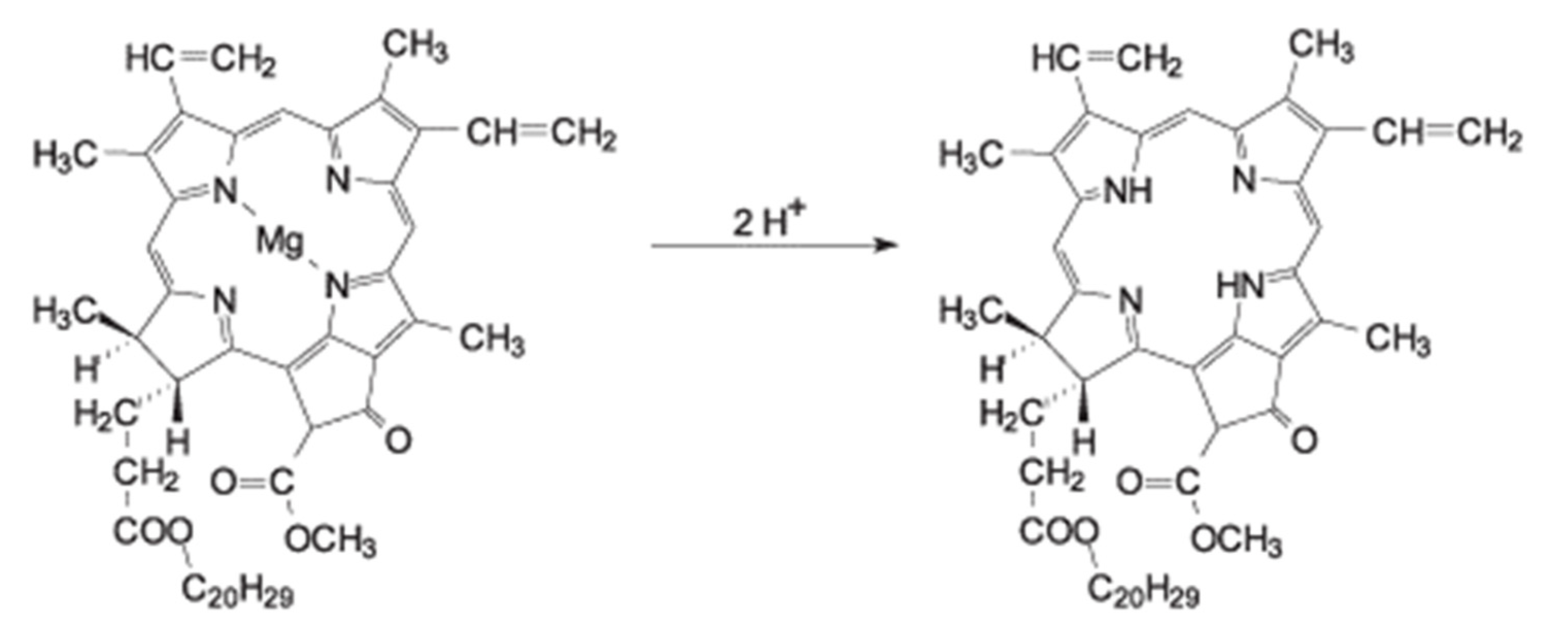
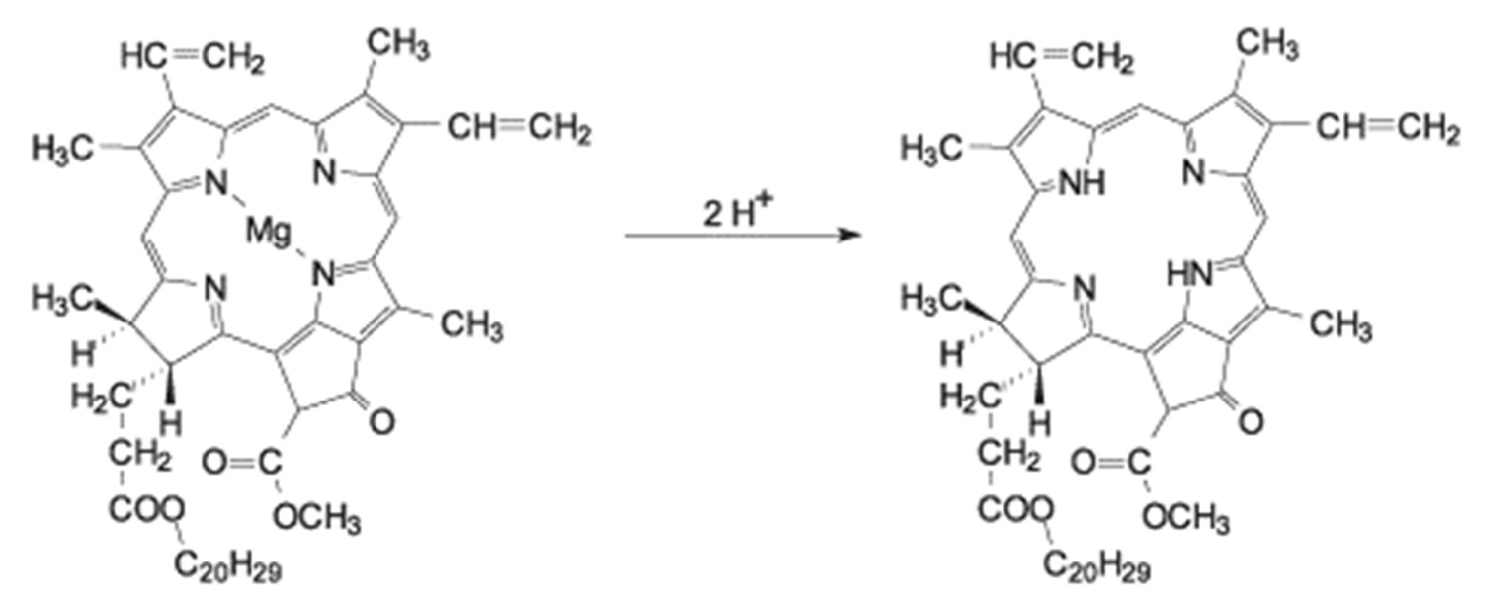
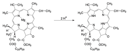
3.1.2. Degradation of Chlorophylls into Pheophytins
3.2. Application of the New Method on Real Extra-Virgin Olive Oil Samples
3.2.1. Spectral Analysis of Fresh and ‘On-the-Shelf’ EVOOs
3.2.2. Kinetic Study of Pigments in ‘On-the-Shelf’ and Fresh EVOOs
4. Conclusions
Supplementary Materials
Author Contributions
Funding
Institutional Review Board Statement
Informed Consent Statement
Data Availability Statement
Acknowledgments
Conflicts of Interest
References
- Conte, L.; Bendini, A.; Valli, E.; Lucci, P.; Moreta, S.; Maquet, A.; Lacoste, F.; Brereton, P.; García-González, P.L.; Moreda, W.; et al. Olive oil quality and authenticity: A review of current EU legislation, standards, relevant methods of analyses, their drawbacks and recommendations for the future. Trends Food Sci. Technol. 2020, 105, 483–493. [Google Scholar] [CrossRef]
- Istituto Zooprofilattico Sperimentale del Piemonte, Liguria e Val d’Aosta (IZSTO)—Frodi Alimentari. Available online: http://www.izsalimento.izsto.it/palimenti/index.php/laspesa/frodi-alimentari (accessed on 25 July 2021).
- Ministero della Salute—Polizia Sanitaria: Le Frodi Alimentari. 2011. Available online: http://www.salute.gov.it/resources/static/ministero/usmaf/Polizia_Sanitaria_aprile_2011/le_frodi_alimentari_tirro.pdf (accessed on 18 July 2021).
- Yan, J.; Erasmus, S.W.; Aguilera Toro, M.; Huang, H.; van Ruth, S.M. Food fraud: Assessing fraud vulnerability in the extra virgin olive oil supply chain. Food Control 2020, 111, 107081. [Google Scholar] [CrossRef]
- Siano, F.; Vasca, E. GC-FID Analysis to Evaluate the Possible Adulteration of Extra Virgin Olive Oil with Different Vegetable Oils. J. Chem. Educ. 2020, 97, 4108–4116. [Google Scholar] [CrossRef]
- Borghi, F.T.; Santos, P.C.; Santos, F.D.; Nascimento, M.H.C.; Correa, T.; Cesconetto, M.; Pires, A.A.; Ribeiro, A.V.F.N.; Lacerda, V., Jr.; Romao, W.; et al. Quantification and classification of vegetable oils in extra virgin olive oil samples using a portable near-infrared spectrometer associated with chemometrics. Microchem. J. 2020, 159, 105544. [Google Scholar] [CrossRef]
- Cavanna, D.; Hurkova, K.; Džuman, Z.; Serani, A.; Serani, M.; Dall’Asta, C.; Tomaniova, M.; Hajslova, J.; Suman, M. A Non-Targeted High-Resolution Mass Spectrometry Study for Extra Virgin Olive Oil Adulteration with Soft Refined Oils: Preliminary Findings from Two Different Laboratories. ACS Omega 2020, 5, 24169–24178. [Google Scholar] [CrossRef]
- Ancora, D.; Milavec, J.; Gradišek, A.; Cifelli, M.; Sepe, A.; Apih, T.; Zalar, B.; Domenici, V. Sensitivity of Proton NMR Relaxation and Proton NMR Diffusion Measurements to Olive Oil Adulterations with Vegetable Oils. J. Agric. Food Chem. 2021. [Google Scholar] [CrossRef]
- Ok, S. Detection of olive oil adulteration by low-field NMR relaxometry and UV-Vis spectroscopy upon mixing olive oil with various edible oils. Grasas Aceites 2017, 68, e173. [Google Scholar] [CrossRef] [Green Version]
- Boskou, D. Olive fruits, table olives, and olive oil bioactive constituents. In Olive and Olive Oil Bioactive Constituents, 1st ed.; Boskou, D., Ed.; AOCS Press: Urbana, IL, USA, 2015; pp. 1–30. [Google Scholar]
- Jimenez-Lopez, C.; Carpena, M.; Lourenço-Lopes, C.; Gallardo-Gomez, M.; Lorenzo, J.M.; Barba, F.J.; Prieto, M.A.; Simal-Gandara, J. Bioactive Compounds and Quality of Extra Virgin Olive Oil. Foods 2020, 9, 1014. [Google Scholar] [CrossRef]
- Lazzerini, C.; Cifelli, M.; Domenici, V. Pigments in Extra-Virgin Olive Oil: Authenticity and Quality. In Production of Olive Tree; Boskou, D., Clodoveo, M.L., Eds.; InTech: Rijeka, Croatia, 2016; Chapter 6; pp. 95–114. [Google Scholar]
- Del Giovine, L.; Fabietti, F. Copper chlorophyll in olive oils: Identifications and determination by LIF capillary electrophoresis. Food Control 2005, 16, 267–272. [Google Scholar] [CrossRef]
- Ferruzzi, M.G.; Schwartz, S.J. Thermal Degradation of Commercial Grade Sodium Copper Chlorophyllin. J. Agric. Food Chem. 2005, 53, 7098–7102. [Google Scholar] [CrossRef]
- Roca, M.; Gallardo-Guerrero, L.; Mínguez-Mosquera, M.I.; Gandul Rojas, B. Control of Olive Oil Adulteration with Copper−Chlorophyll Derivatives. J. Agric. Food Chem. 2010, 58, 51–56. [Google Scholar] [CrossRef]
- Scotter, M.J.; Castle, L.; Roberts, D. Method development and HPLC analysis of retail foods and beverages for copper chlorophyll (E141[i]) and chlorophyllin (E141[ii]) food colouring materials. Food Addit. Contam. 2005, 22, 1163–1175. [Google Scholar] [CrossRef]
- Goodwin, T.W. The Biochemistry of the Carotenoids, Volume II Animals; Springer: London, UK, 1984. [Google Scholar] [CrossRef]
- Mínguez-Mosquera, M.I.; Gandul-Rojas, B.; Garrido-Fernández, J.; Gallardo-Guerrero, L. Pigments Present in Virgin Olive Oil. J. Am. Oil Chem. Soc. 1990, 67, 192–196. [Google Scholar] [CrossRef]
- Gandul-Rojas, B.; Roca, M.; Gallardo-Guerrero, L. Chlorophylls and carotenoids in food products from olive tree. In Products from Olive Tree, 1st ed.; Boskou, D., Clodoveo, M.L., Eds.; InTech: Rijeka, Croatia, 2016; Chapter 5; pp. 67–98. [Google Scholar]
- Giuffrida, S.; Salvo, F.; Salvo, A.; La Pera, D.; Dugo, G. Pigments composition in monovarietal olive oils from various Sicilian olive varieties. Food Chem. 2007, 101, 833–837. [Google Scholar] [CrossRef]
- Giuffrida, D.; Salvo, F.; Salvo, A.; Cossignani, L.; Dugo, G. Pigments profile in monovarietal virgin olive oils from various Italian olive varieties. Food Chem. 2011, 124, 1119–1123. [Google Scholar] [CrossRef]
- Jaswir, I.; Noviendri, D.; Rewo, F.H.; Octavianti, F. Carotenoids: Source, medical properties and their application in food and nutraceutical industry. J. Med. Plants Res. 2011, 5, 7119–7131. [Google Scholar]
- Giuliani, L.; Cerretani, A.; Cichelli, A. Chlorophylls in Olive and in Olive Oil: Chemistry and Occurrences. Crit. Rev. Food Sci. Nutr. 2011, 51, 678–690. [Google Scholar] [CrossRef]
- Criado, M.N.; Romero, M.P.; Motilva, M.I. Effect of the technological and agronomical factors on pigment transfer during olive oil extraction. J. Agric. Food Chem. 2007, 55, 5681–5688. [Google Scholar] [CrossRef] [PubMed]
- Roca, M.; Minguez-Mosquera, M.I. Change in the natural ratio between chlorophylls and carotenoids in olive fruit during processing for virgin olive oil. J. Am. Oil Chem. Soc. 2001, 78, 133–138. [Google Scholar] [CrossRef]
- Aparicio, R.; Minquez-Mosquera, M.I.; Gandul-Rojas, B. Thermal degradation kinetics of chlorophyll pigments in virgin olive oils. 1. Compounds of series a. J. Agric. Food Chem. 2010, 58, 6200–6208. [Google Scholar] [CrossRef]
- Gandul-Rojas, B.; Roca, M.; Minguez-Mosquera, M.I. Use of Chlorophyll and Carotenoid Pigment Composition to Determine Authenticity of Virgin Olive oil. J. Am. Oil Chem. Soc. 2000, 77, 853–858. [Google Scholar] [CrossRef]
- Minguez-Mosquera, M.I.; Gandul-Rojas, B.; Gallardo-Guerrero, M.L. Rapid Method of Quantification of Chlorophylls and Carotenoids in Virgin Olive Oil by High-Performance Liquid Chromatography. J. Agric. Food Chem. 1992, 40, 60–63. [Google Scholar] [CrossRef]
- Mínguez-Mosquera, M.I.; Rejavo-Navarro, L.; Gandul-Rojas, B.; Sanchez-Gomez, A.H.; Garrido-Fernández, J. Color-Pigment Correlation in Virgin Olive Oil. J. Am. Oil Chem. Soc. 1991, 68, 332–336. [Google Scholar] [CrossRef]
- Rigane, G.; Ayadi, M.; Boukhris, M.; Sayadi, S.; Bouaziz, M. Characterization and phenolic profiles of two rare olive oils from southern Tunisia: Dhokar and Gemri-Dhokar cultivars. J. Sci. Food Agric. 2013, 93, 527–534. [Google Scholar] [CrossRef]
- Moyano, M.J.; Melendez-Martinez, A.J.; Alba, J.; Heredia, F.J. A comprehensive study on the colour of virgin olive oils and its relationship with their chlorophylls and carotenoids indexes (I): CIEXYZ non-uniform colour space. Food Res. Int. 2008, 41, 505–512. [Google Scholar] [CrossRef]
- Cayuela, J.A.; Yousfi, K.; Martinez, M.C.; Garcia, J.M. Rapid Determination of Olive Oil Chlorophylls and carotenoids by Using Visible Spectroscopy. J. Am. Oil Chem. Soc. 2014, 91, 1677–1684. [Google Scholar] [CrossRef] [Green Version]
- Aroca-Santos, R.; Cancila, J.C.; Pariente, E.S.; Torrecilla, J.S. Neural networks applied to characterize blends containing refined and extra-virgin olive oils. Talanta 2016, 161, 304–308. [Google Scholar] [CrossRef]
- Torrecilla, J.S.; Rojo, E.; Dominguez, C.J.; Rodriguez, F. A Novel Method to Quantify the Adulteration of Extra Virgin Olive Oil with Low-Grade Olive Oils by UV-Vis. J. Agric. Food Chem. 2010, 58, 1679–1684. [Google Scholar] [CrossRef]
- Ferreiro-Gonzalez, M.; Barbero, G.F.; Alvarez, J.A.; Ruiz, A.; Palma, M.; Ayuso, J. Authentication of virgin olive oil by a novel curve resolution approach combined with visible spectroscopy. Food Chem. 2017, 220, 331–336. [Google Scholar] [CrossRef]
- Carranco, N.; Farrés-Cebrián, M.; Saurina, J.; Núñez, O. Authentication and Quantitation of Fraud in Extra Virgin Olive Oils Based on HPLC-UV Fingerprinting and Multivariate Calibration. Foods 2018, 7, 44. [Google Scholar] [CrossRef] [Green Version]
- Kruzlicova, D.; Mocak, J.; Katsoyannos, E.; Lankmayr, E. Classification and characterization of olive oils by UV-vis absorption spectrometry and sensorial analysis. J. Food Nutr. Res. 2008, 47, 181–188. [Google Scholar]
- Calabrese, I.; Merli, M.; Liveri, M.L.T. Deconvolution procedure of the UV-vis spectra. A powerful tool for the estimation of the blinding of a model drug to specific solubilisation loci of bio-compatible aqueous surfactant-forming micelle. Spectrochim. Acta Part A 2015, 142, 150–158. [Google Scholar] [CrossRef] [Green Version]
- Gonçalves, T.R.; Rosa, L.N.; Gonçalves, R.P.; Torquato, A.S.; Março, P.H.; Marques Gomes, S.T.; Matsushita, M.; Valderrama, P. Monitoring the Oxidative Stability of Monovarietal Extra Virgin Olive Oils by UV–Vis Spectroscopy and MCR–ALS. Food Anal. Methods 2018, 11, 1936–1943. [Google Scholar] [CrossRef]
- Domenici, V.; Ancora, D.; Cifelli, M.; Serani, A.; Veracini, C.A.; Zandomeneghi, M. Extraction of Pigment Information from Near-UV Vis Absorption Spectra of Extra Virgin Olive Oils. J. Agric. Food Chem. 2014, 62, 9317–9325. [Google Scholar] [CrossRef]
- Ancora, D. UV-Vis and 1H-NMR Spectroscopic Methods Applied to the Study of Extra-Virgin Olive Oil Produced in Tuscany and Apulia. Master’s Thesis, University of Pisa, Pisa, Italy, 15 June 2014. [Google Scholar]
- Buti, F. Implementazione di un Nuovo Metodo per la Determinazione di Pigmenti in Oli di Origine Vegetale. Master’s Thesis, University of Pisa, Pisa, Italy, 2016. [Google Scholar]
- Lazzerini, C. Application of a New Spectrophotometric Method to Quantify Pigments in Extra-Virgin Olive Oils and Comparison with Chromatographic Techniques. Master’s Thesis, University of Pisa, Pisa, Italy, 16 July 2016. [Google Scholar]
- Jurinovich, S.; Domenici, V. A digital tool for the analysis of UV-vis spectra of olive oils and educational activities with high school students. J. Chem. Educ. 2021. under revision. [Google Scholar]
- Lazzerini, C.; Cifelli, M.; Domenici, V. Pigments’ content in Extra Virgin Olive Oils from different Mediterranean Countries produced in 2014. Food Sci. Technol. 2017, 84, 586–594. [Google Scholar]
- Lazzerini, C.; Buti, F.; Cifelli, M.; Zandomeneghi, M.; Domenici, V. Olio di oliva extravergine Toscano: Uno studio sul contenuto dei pigmenti e prospettive per un nuovo indice di qualità. In Codice Armonico. Sesto Congress di Scienze Naturali Ambiente Toscano, 6th ed.; Associazione Amici della Natura Rosignano, Ed.; Edizioni ETS: Pisa, Italy, 2016; pp. 155–165. [Google Scholar]
- Lazzerini, C.; Domenici, V. Pigments in Extra-Virgin Olive Oils Produced in Tuscany (Italy) in Different Years. Foods 2017, 6, 25. [Google Scholar] [CrossRef] [Green Version]
- Borello, E.; Domenici, V. Determination of Pigments in Virgin and Extra-Virgin Olive Oils: A Comparison between Two Near UV-Vis Spectroscopic Techniques. Foods 2019, 8, 18. [Google Scholar] [CrossRef] [Green Version]
- Borello, E.; Roncucci, D.; Lazzerini, C.; Cifelli, M.; Domenici, V. Dal colore al contenuto in pigmenti: Uno studio su campioni di olio di oliva extravergine ottenuti da olive di diverse cultivar in Toscana. In Settimo Congress di Scienze Naturali Ambiente Toscano, 7th ed.; Associazione Amici della Natura Rosignano, Ed.; Edizioni ETS: Pisa, Italy, 2018; pp. 258–267. [Google Scholar]
- Vicario, G.; Francini, A.; Domenici, V.; Cifelli, M.; Sebastiani, L. Near UV-Vis and NMR Spectroscopic Methods for Rapid Screening of Antioxidant Molecules in Extra-Virgin Olive Oil. Antioxidants 2020, 9, 1245. [Google Scholar] [CrossRef]
- Roncucci, D. Implementation of a Near UV-Vis Spectroscopic Method to Determine Pigments in Fresh Olive Oils. Bachelor’s Thesis, University of Pisa, Pisa, Italy, 2018. [Google Scholar]
- Borello, E. Quantification of Main Pigments in Fresh and Old Olive Oils by Means of a Mathematical Deconvolution of Their Near-UV-Vis Absorption Spectrum and a Kinetic Study. Master’s Thesis, University of Pisa, Pisa, Italy, 2018. [Google Scholar]
- Tura, D.; Failla, O.; Bassi, D.; Attilio, C.; Serraiocco, A. Regional and cultivar comparison of Italian single cultivar olive oils according to flavor profiling. Eur. J. Lipid Sci. Tech. 2013, 115, 196–210. [Google Scholar] [CrossRef]
- Caracuta, V. Olive growing in Puglia (southeastern Italy): A review of the evidence from the Mesolithic to the Middle Ages. Veg. Hist. Arch. Bot. 2020, 29, 595–620. [Google Scholar] [CrossRef]
- Agriturismo Santa Annunziata Presso San Vincenzo (Toscana). Available online: http://www.ssannunziata.it/oliveto-a-san-vincenzo/ (accessed on 16 June 2021).
- Jeffrey, F.S.W.; Humphrey, G.F. New spectrophotometric equations for determining chlorophylls a, b, c1 and c2 in higher plants, algae and natural phytoplankton. Biochem. Physiol. Pflanz. 1975, 167, 191–194. [Google Scholar] [CrossRef]
- Namsaraev, G.Z.B. Application of extinction coefficients for quantification of chlorophylls and bacteriochlorophylls. Microbiology 2009, 78, 794–797. [Google Scholar] [CrossRef]
- Gallardo-Guerrero, G.L.; Gandul-Rojas, B.; Roca, M.; Mínguez-Mosquera, M.I. Effect of storage on the original pigment profile of Spanish virgin olive oil. J. Am. Oil Chem. Soc. 2005, 82, 33. [Google Scholar] [CrossRef]
- Arparicio-Ruiz, R.; Minguez-Mosquera, M.I.; Gandul-Rojas, B. Thermal degradation kinetics of lutein, β-carotene, β-cryptoxanthin in virgin olive oil. J. Food Anal. 2011, 24, 811–820. [Google Scholar] [CrossRef]
- Arparicio-Ruiz, R.; Gandul-Rojas, B. Thermal degradation kinetics of neoxanthin, violaxanthin and antheraxanthin in virgin olive oil. J. Agric. Food Chem. 2012, 60, 5180–5191. [Google Scholar] [CrossRef] [Green Version]
Label | Cultivar | Geographic Origin | Year of Oil Production (Day/Month/Year) | Storage Temperature |
---|---|---|---|---|
A | Leccino, Frantoio | Italy, Tuscany | 28 October 2017 | 4 °C |
B | Frantoio, Leccino | Italy, Tuscany | 6 November 2017 | 4 °C |
C | Coratina, Ogliarola | Italy, Apulia | 15 November 2017 | 4 °C |
D | Blend 1 | Italy, Tuscany | 9 November 2017 | 4 °C |
E | Blend 1 | Italy, Tuscany | 23 October 2017 | 4 °C |
F | Blend 1 | Italy, Tuscany | 24 October 2017 | 4 °C |
G | Blend 2 | Italy, Apulia | 15 November 2017 | 4 °C |
T1 | Frantoio | Italy, Tuscany | 11 November 2016 | 22 °C |
T2 | Moraiolo | Italy, Tuscany | 9 November 2016 | 22 °C |
T3 | Leccino | Italy, Tuscany | 12 November 2016 | 22 °C |
T4 | Pendolino | Italy, Tuscany | 15 November 2016 | 22 °C |
Samples’ Label | Chlorophyll a | Chlorophyll b | R2 |
---|---|---|---|
CA_5 | 4.98 ± 0.02 ppm | 0 | 0.992 |
CB_5 | 0 | 4.97 ± 0.02 ppm | 0.997 |
CA_15 | 15.03 ± 0.03 ppm | 0 | 0.991 |
CB_15 | 0 | 14.96 ± 0.03 ppm | 0.992 |
CAB_5_5 | 4.96 ± 0.02 ppm | 4.98 ± 0.01 ppm | 0.993 |
CAB_15_15 | 14.97 ± 0.04 ppm | 15.02 ± 0.03 ppm | 0.994 |
Label | Chlorophyll a | Pheophytin a | β-Carotene | Lutein | Total Pigments | R2 |
---|---|---|---|---|---|---|
A | 7.8 ± 0.2 ppm | 7.5 ± 0.1 ppm | 7.1 ± 0.1 ppm | 3.0 ± 0.1 ppm | 25.4 ± 0.5 ppm | 0.995 |
B | 5.6 ± 0.2 ppm | 4.3 ± 0.2 ppm | 6.5 ± 0.1 ppm | 1.7 ± 0.1 ppm | 18.1 ± 0.6 ppm | 0.996 |
C | 9.8 ± 0.2 ppm | 6.0 ± 0.1 ppm | 3.3 ± 0.2 ppm | 10.4 ± 0.2 ppm | 29.5 ± 0.7 ppm | 0.997 |
D | 5.4 ± 0.2 ppm | 4.6 ± 0.2 ppm | 5.5 ± 0.1 ppm | 2.7 ± 0.1 ppm | 18.2 ± 0.6 ppm | 0.996 |
E | 6.1 ± 0.2 ppm | 2.9 ± 0.1 ppm | 4.4 ± 0.1 ppm | 3.4 ± 0.1 ppm | 16.8 ± 0.5 ppm | 0.995 |
F | 5.9 ± 0.1 ppm | 3.2 ± 0.1 ppm | 3.4 ± 0.1 ppm | 5.1 ± 0.1 ppm | 17.6 ± 0.4 ppm | 0.995 |
G | 6.9 ± 0.2 ppm | 4.2 ± 0.1 ppm | 3.5 ± 0.1 ppm | 7.4 ± 0.1 ppm | 22.0 ± 0.5 ppm | 0.996 |
Label | Pheophytin b | Pheophytin a | β-Carotene | Lutein | Total Pigments | R2 |
---|---|---|---|---|---|---|
T1 | 1.3 ± 0.5 ppm | 16.0 ± 0.3 ppm | 1.6 ± 0.1 ppm | 8.0 ± 0.1 ppm | 26 ± 1 ppm | 0.997 |
T2 | 2.5 ± 0.2 ppm | 30.1 ± 0.2 ppm | 3.2 ± 0.1 ppm | 10.3 ± 0.1 ppm | 46.1 ± 0.6 ppm | 0.998 |
T3 | 1.3 ± 0.2 ppm | 10.9 ± 0.1 ppm | 1.4 ± 0.2 ppm | 5.7 ± 0.2 ppm | 19.4 ± 0.7 ppm | 0.997 |
T4 | 0.7 ± 0.2 ppm | 9.5 ± 0.2 ppm | 1.5 ± 0.1 ppm | 6.5 ± 0.1 ppm | 18.2 ± 0.6 ppm | 0.998 |
[C]0 (ppm) | k (d−1) | |P0| (ppm/d) | |
---|---|---|---|
T1 sample (Frantoio) | 9.875 | 0.001 | 0.0099 |
T2 sample (Moraiolo) | 14.783 | 0.002 | 0.0296 |
T3 sample (Leccino) | 7.125 | 0.001 | 0.0071 |
T4 sample (Pendolino) | 7.897 | 0.001 | 0.0079 |
Sample A | Sample C | Sample D | Sample E | |
---|---|---|---|---|
[C_a]0 (ppm) | 14.4 | 11.4 | 6.8 | 9.0 |
k1 (days−1) | 0.01 | 0.004 | 0.009 | 0.008 |
[Ph_a]0 (ppm) | 1.2 | 4.5 | 2.0 | 0.0 |
k2 (days−1) | 0.001 | 0.0008 | 0.0011 | 0.0009 |
Publisher’s Note: MDPI stays neutral with regard to jurisdictional claims in published maps and institutional affiliations. |
© 2021 by the authors. Licensee MDPI, Basel, Switzerland. This article is an open access article distributed under the terms and conditions of the Creative Commons Attribution (CC BY) license (https://creativecommons.org/licenses/by/4.0/).
Share and Cite
Borello, E.; Roncucci, D.; Domenici, V. Study of the Evolution of Pigments from Freshly Pressed to ‘On-the-Shelf’ Extra-Virgin Olive Oils by Means of Near-UV Visible Spectroscopy. Foods 2021, 10, 1891. https://doi.org/10.3390/foods10081891
Borello E, Roncucci D, Domenici V. Study of the Evolution of Pigments from Freshly Pressed to ‘On-the-Shelf’ Extra-Virgin Olive Oils by Means of Near-UV Visible Spectroscopy. Foods. 2021; 10(8):1891. https://doi.org/10.3390/foods10081891
Chicago/Turabian StyleBorello, Eleonora, Daniele Roncucci, and Valentina Domenici. 2021. "Study of the Evolution of Pigments from Freshly Pressed to ‘On-the-Shelf’ Extra-Virgin Olive Oils by Means of Near-UV Visible Spectroscopy" Foods 10, no. 8: 1891. https://doi.org/10.3390/foods10081891
APA StyleBorello, E., Roncucci, D., & Domenici, V. (2021). Study of the Evolution of Pigments from Freshly Pressed to ‘On-the-Shelf’ Extra-Virgin Olive Oils by Means of Near-UV Visible Spectroscopy. Foods, 10(8), 1891. https://doi.org/10.3390/foods10081891