Effect of Disclosed Information on Product Liking, Emotional Profile, and Purchase Intent: A Case of Chocolate Brownies Containing Edible-Cricket Protein
Abstract
:1. Introduction
2. Materials and Methods
2.1. Chocolate Brownies (CB) Preparation
2.2. Consumer Study
2.3. Questionnaire: Consumer Liking, Emotions, Consumption (CI) and Purchase Intent (PI)
2.4. Statistical Analysis
3. Results and Discussion
3.1. Significance of Main Effects in Product Liking
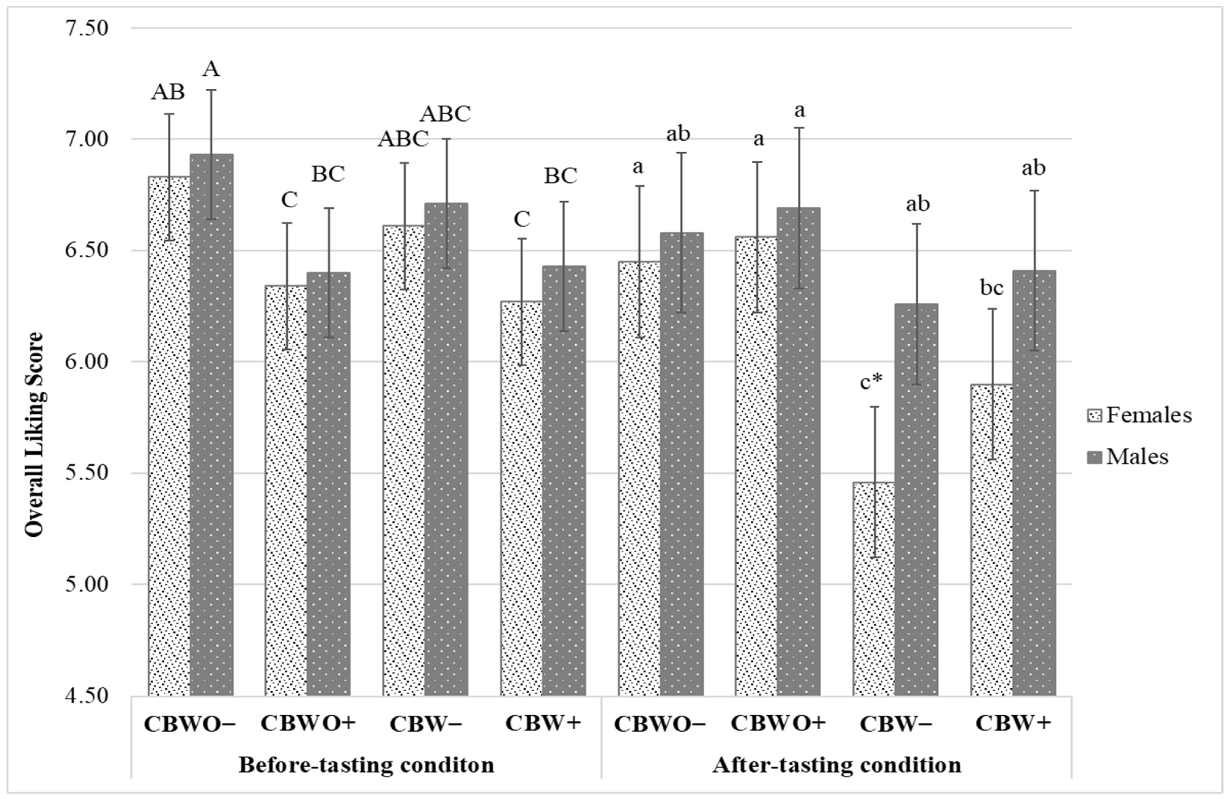
3.2. Effects of Formulation, Disclosed Information, and Gender on Expected and Actual Overall Liking
3.3. Effects of Formulation and Disclosed Information on Emotional Profiles before and after Tasting
3.3.1. Emotional Profiles of Males vs. Females before Tasting
3.3.2. Emotional Profiles of Males vs. Females after Tasting
3.3.3. Differences in Emotional Profiles by Gender between Tasting Conditions
3.4. Relationship between Product-Evoked Emotions and Liking
3.4.1. Effect of Before-Tasting Emotional Profiles on Expected OL by Gender
3.4.2. Effect of After-Tasting Emotional Profiles on Actual OL by Gender
3.5. Purchase Intent (PI) Predictive Importance of Socio-Demographic and Experimental Variables, Product-Evoked Emotions and Liking
4. Study Limitations
5. Conclusions and Future Studies
Author Contributions
Funding
Institutional Review Board Statement
Informed Consent Statement
Data Availability Statement
Acknowledgments
Conflicts of Interest
References
- Gurdian, C.; Reyes, V.; Kyereh, E.; Bonilla, F.; Galindo, C.; Chouljenko, A.; Solval, K.M.; Boeneke, C.; King, J.M.; Sathivel, S. Incorporating flaxseed (linum usitatissimum) oil into queso blanco at different stages of the cheese manufacturing process. J. Food Process. Preserv. 2017, 41, e13279. [Google Scholar] [CrossRef]
- Gurdian, C.; Chouljenko, A.; Solval, K.M.; Boeneke, C.; King, J.M.; Sathivel, S. Application of edible films containing oregano (Origanum vulgare) essential oil on Queso Blanco cheese prepared with flaxseed (Linum usitatissimum) Oil. J. Food Sci. 2017, 82, 1395–1401. [Google Scholar] [CrossRef] [PubMed]
- Ghosh, S.; Suri, D.; Uauy, R. Assessment of protein adequacy in developing countries: Quality matters. Br. J. Nutr. 2012, 108, S77–S87. [Google Scholar] [CrossRef] [PubMed] [Green Version]
- Wu, G.; Fanzo, J.; Miller, D.D.; Pingali, P.; Post, M.; Steiner, J.L.; Thalacker-Mercer, A.E. Production and supply of high-quality food protein for human consumption: Sustainability, challenges, and innovations. Ann. N. Y. Acad. Sci. 2014, 1321, 1–19. [Google Scholar] [CrossRef] [PubMed]
- Imathiu, S. Benefits and food safety concerns associated with consumption of edible insects. NFS J. 2020, 18, 1–11. [Google Scholar] [CrossRef]
- Melgar-Lalanne, G.; Hernández-Álvarez, A.J.; Salinas-Castro, A. Edible insects processing: Traditional and innovative technologies. Compr. Rev. Food Sci. Food Saf. 2019, 18, 1166–1191. [Google Scholar] [CrossRef] [Green Version]
- Montowska, M.; Kowalczewski, P.Ł.; Rybicka, I.; Fornal, E. Nutritional value, protein and peptide composition of edible cricket powders. Food Chem. 2019, 289, 130–138. [Google Scholar] [CrossRef]
- Gurdian, C.E.; Torrico, D.D.; Li, B.; Tuuri, G.; Prinyawiwatkul, W. Effect of Informed Conditions on Sensory Expectations and Actual Perceptions: A Case of Chocolate Brownies Containing Edible-Cricket Protein. Foods 2021, 10, 1480. [Google Scholar] [CrossRef]
- Murefu, T.; Macheka, L.; Musundire, R.; Manditsera, F. Safety of wild harvested and reared edible insects: A review. Food Control 2019, 101, 209–224. [Google Scholar] [CrossRef]
- Delicato, C.; Schouteten, J.J.; Dewettinck, K.; Gellynck, X.; Tzompa-Sosa, D.A. Consumers’ perception of bakery products with insect fat as partial butter replacement. Food Qual. Prefer. 2020, 79, 103755. [Google Scholar] [CrossRef]
- Ardoin, R.; Romero, R.; Marx, B.; Prinyawiwatkul, W. Exploring New and Modified Rejection-Type Thresholds Using Cricket Snack Crackers. Foods 2020, 9, 1352. [Google Scholar] [CrossRef]
- Ardoin, R.; Marx, B.D.; Boeneke, C.; Prinyawiwatkul, W. Effects of cricket powder on selected physical properties and US consumer perceptions of whole-wheat snack crackers. Int. J. Food Sci. Technol. 2021, in press. [Google Scholar] [CrossRef]
- Zielińska, E.; Pankiewicz, U.; Sujka, M. Nutritional, Physiochemical, and Biological Value of Muffins Enriched with Edible Insects Flour. Antioxidants 2021, 10, 1122. [Google Scholar] [CrossRef]
- Biró, B.; Sipos, M.A.; Kovács, A.; Badak-Kerti, K.; Pásztor-Huszár, K.; Gere, A. Cricket-Enriched Oat Biscuit: Technological Analysis and Sensory Evaluation. Foods 2020, 9, 1561. [Google Scholar] [CrossRef] [PubMed]
- Osimani, A.; Milanović, V.; Cardinali, F.; Roncolini, A.; Garofalo, C.; Clementi, F.; Pasquini, M.; Mozzon, M.; Foligni, R.; Raffaelli, N.; et al. Bread enriched with cricket powder (Acheta domesticus): A technological, microbiological and nutritional evaluation. Innov. Food Sci. Emerg. Technol. 2018, 48, 150–163. [Google Scholar] [CrossRef]
- Adámek, M.; Adámková, A.; Mlček, J.; Borkovcová, M.; Bednářová, M. Acceptability and sensory evaluation of energy bars and protein bars enriched with edible insect. Potr. Slovak J. Food Sci. 2018, 12, 431–437. [Google Scholar] [CrossRef] [Green Version]
- Hirunyophat, P.; Chalermchaiwat, P.; On-nom, N.; Prinyawiwatkul, W. Selected nutritional quality and physicochemical properties of silkworm pupae (frozen or powdered) from two species. Int. J. Food Sci. Technol. 2021, 56, 3578–3587. [Google Scholar] [CrossRef]
- Duda, A.; Adamczak, J.; Chełmińska, P.; Juszkiewicz, J.; Kowalczewski, P. Quality and Nutritional/Textural Properties of Durum Wheat Pasta Enriched with Cricket Powder. Foods 2019, 8, 46. [Google Scholar] [CrossRef] [Green Version]
- Megido, R.C.; Gierts, C.; Blecker, C.; Brostaux, Y.; Haubruge, É.; Alabi, T.; Francis, F. Consumer acceptance of insect-based alternative meat products in Western countries. Food Qual. Prefer. 2016, 52, 237–243. [Google Scholar] [CrossRef]
- Smarzyński, K.; Sarbak, P.; Musiał, S.; Jeżowski, P.; Piątek, M.; Kowalczewski, P.Ł. Nutritional analysis and evaluation of the consumer acceptance of pork pâté enriched with cricket powder—Preliminary study. Open Agric. 2019, 4, 159–163. [Google Scholar] [CrossRef]
- Ardoin, R.; Prinyawiwatkul, W. Consumer perceptions of insect consumption: A review of western research since 2015. Int. J. Food Sci. Technol. 2021, in press. [Google Scholar] [CrossRef]
- La Barbera, F.; Verneau, F.; Amato, M.; Grunert, K. Understanding Westerners’ disgust for the eating of insects: The role of food neophobia and implicit associations. Food Qual. Prefer. 2018, 64, 120–125. [Google Scholar] [CrossRef]
- Verneau, F.; La Barbera, F.; Kolle, S.; Amato, M.; Del Giudice, T.; Grunert, K. The effect of communication and implicit associations on consuming insects: An experiment in Denmark and Italy. Appetite 2016, 106, 30–36. [Google Scholar] [CrossRef]
- Barsics, F.; Megido, R.C.; Brostaux, Y.; Barsics, C.; Blecker, C.; Haubruge, E.; Francis, F. Could new information influence attitudes to foods supplemented with edible insects? Br. Food J. 2017, 119, 2027–2039. [Google Scholar] [CrossRef]
- Schäufele, I.; Albores, E.B.; Hamm, U. The role of species for the acceptance of edible insects: Evidence from a consumer survey. Br. Food J. 2019, 121, 2190–2204. [Google Scholar] [CrossRef]
- Orsi, L.; Voege, L.L.; Stranieri, S. Eating edible insects as sustainable food? Exploring the determinants of consumer acceptance in Germany. Food Res. Int. 2019, 125, 108573. [Google Scholar] [CrossRef]
- Sogari, G.; Bogueva, D.; Marinova, D. Australian consumers’ response to insects as food. Agriculture 2019, 9, 108. [Google Scholar] [CrossRef] [Green Version]
- Ardoin, R.; Prinyawiwatkul, W. Product appropriateness, willingness to try and perceived risks of foods containing insect protein powder: A survey of U.S. consumers. Int. J. Food Sci. Technol. 2020, 55, 3215–3226. [Google Scholar] [CrossRef]
- Petersen, M.; Olson, O.; Rao, S. University Student Perspectives of Entomophagy: Positive Attitudes Lead to Observability and Education Opportunities. J. Insect Sci. 2020, 20, 30. [Google Scholar] [CrossRef]
- Tan, H.S.G.; van den Berg, E.; Stieger, M. The influence of product preparation, familiarity and individual traits on the consumer acceptance of insects as food. Food Qual. Prefer. 2016, 52, 222–231. [Google Scholar] [CrossRef]
- Cunha, L.M.; Ribeiro, J.C. Sensory and consumer perspectives on edible insects. In Edible Insects in the Food Sector; Springer: Cham, Switzerland, 2019; pp. 57–71. [Google Scholar]
- Fischer, A.R.; Steenbekkers, L.B. All insects are equal, but some insects are more equal than others. Br. Food J. 2018, 120, 852–863. [Google Scholar] [CrossRef]
- Gutjar, S.; Dalenberg, J.R.; de Graaf, C.; de Wijk, R.A.; Palascha, A.; Renken, R.J.; Jager, G. What reported food-evoked emotions may add: A model to predict consumer food choice. Food Qual. Prefer. 2015, 45, 140–148. [Google Scholar] [CrossRef]
- Gurdian, C.E.; Torrico, D.D.; Li, B.; Prinyawiwatkul, W. Effect of serving plate types and color cues on liking and purchase intent of cheese-flavored tortilla chips. Foods 2021, 10, 886. [Google Scholar] [CrossRef]
- Granitto, P.M.; Gasperi, F.; Biasioli, F.; Trainotti, E.; Furlanello, C. Modern data mining tools in descriptive sensory analysis: A case study with a Random forest approach. Food Qual. Prefer. 2007, 18, 681–689. [Google Scholar] [CrossRef]
- Denuit, M.; Hainaut, D.; Trufin, J. Bagging Trees and Random Forests. In Effective Statistical Learning Methods for Actuaries II; Springer: Cham, Switzerland, 2020; pp. 107–130. [Google Scholar]
- Mora, M.; Romeo-Arroyo, E.; Torán-Pereg, P.; Chaya, C.; Vázquez-Araújo, L. Sustainable and health claims vs sensory properties: Consumers’ opinions and choices using a vegetable dip as example product. Food Res. Int. 2020, 109521. [Google Scholar] [CrossRef] [PubMed]
- Carabante, K.M.; Ardoin, R.; Scaglia, G.; Malekian, F.; Khachaturyan, M.; Janes, M.E.; Prinyawiwatkul, W. Consumer acceptance, emotional response, and purchase intent of rib-eye steaks from grass-fed steers, and effects of health benefit information on consumer perception. J. Food Sci. 2018, 83, 2560–2570. [Google Scholar] [CrossRef]
- Sukkwai, S.; Chonpracha, P.; Kijroongrojana, K.; Prinyawiwatkul, W. Influences of a natural colourant on colour and salty taste perception, liking, emotion and purchase intent: A case of mayonnaise-based dipping sauces. Int. J. Food Sci. Technol. 2017, 52, 2256–2264. [Google Scholar] [CrossRef]
- Samant, S.S.; Seo, H.-S. Quality perception and acceptability of chicken breast meat labeled with sustainability claims vary as a function of consumers’ label-understanding level. Food Qual. Prefer. 2016, 49, 151–160. [Google Scholar] [CrossRef]
- Addinsoft. XLSTAT Statistical and Data Analysis Solution. Available online: https://www.xlstat.com (accessed on 15 June 2021).
- Meyners, M.; Castura, J.C.; Carr, B.T. Existing and new approaches for the analysis of CATA data. Food Qual. Prefer. 2013, 30, 309–319. [Google Scholar] [CrossRef]
- Ares, G.; Dauber, C.; Fernández, E.; Giménez, A.; Varela, P. Penalty analysis based on CATA questions to identify drivers of liking and directions for product reformulation. Food Qual. Prefer. 2014, 32, 65–76. [Google Scholar] [CrossRef]
- Sheskin, D.J. Handbook of Parametric and Nonparametric Statistical Procedures, 5th ed.; CRC Press: Boca Raton, FL, USA, 2020. [Google Scholar]
- Breiman, L. Random forests. Mach. Learn. 2001, 45, 5–32. [Google Scholar] [CrossRef] [Green Version]
- Hartmann, C.; Shi, J.; Giusto, A.; Siegrist, M. The psychology of eating insects: A cross-cultural comparison between Germany and China. Food Qual. Prefer. 2015, 44, 148–156. [Google Scholar] [CrossRef]
- La Barbera, F.; Verneau, F.; Coppola, A. Entomophagy: A contribution to the understanding of consumer intention. Calitatea 2019, 20, 329–334. [Google Scholar]
- Mishyna, M.; Chen, J.; Benjamin, O. Sensory attributes of edible insects and insect-based foods–Future outlooks for enhancing consumer appeal. Trends Food Sci. Technol. 2020, 95, 141–148. [Google Scholar] [CrossRef]
- Lammers, P.; Ullmann, L.M.; Fiebelkorn, F. Acceptance of insects as food in Germany: Is it about sensation seeking, sustainability consciousness, or food disgust? Food Qual. Prefer. 2019, 77, 78–88. [Google Scholar] [CrossRef]
- Sogari, G.; Menozzi, D.; Mora, C. The food neophobia scale and young adults’ intention to eat insect products. Int. J. Consum. Stud. 2019, 43, 68–76. [Google Scholar] [CrossRef] [Green Version]
- Verbeke, W. Profiling consumers who are ready to adopt insects as a meat substitute in a Western society. Food Qual. Prefer. 2015, 39, 147–155. [Google Scholar] [CrossRef]
- Woolf, E.; Zhu, Y.; Emory, K.; Zhao, J.; Liu, C. Willingness to consume insect-containing foods: A survey in the United States. Lwt 2019, 102, 100–105. [Google Scholar] [CrossRef]
- Schardong, I.S.; Freiberg, J.A.; Santana, N.A.; Richards, N.S.P.d.S. Brazilian consumers’ perception of edible insects. Cienc. Rural 2019, 49, e20180960. [Google Scholar] [CrossRef]
- Hartmann, C.; Siegrist, M. Becoming an insectivore: Results of an experiment. Food Qual. Prefer. 2016, 51, 118–122. [Google Scholar] [CrossRef]
- Ammann, J.; Hartmann, C.; Siegrist, M. Does food disgust sensitivity influence eating behaviour? Experimental validation of the Food Disgust Scale. Food Qual. Prefer. 2018, 68, 411–414. [Google Scholar] [CrossRef]
- Mancini, S.; Sogari, G.; Menozzi, D.; Nuvoloni, R.; Torracca, B.; Moruzzo, R.; Paci, G. Factors predicting the intention of eating an insect-based product. Foods 2019, 8, 270. [Google Scholar] [CrossRef] [Green Version]
- Gross, S.; Waldrop, M.E.; Roosen, J. How does animal welfare taste? Combining sensory and choice experiments to evaluate willingness to pay for animal welfare pork. Food Qual. Prefer. 2021, 87, 104055. [Google Scholar] [CrossRef]
- Anderson, R.E. Consumer Dissatisfaction: The Effect of Disconfirmed Expectancy on Perceived Product Performance. J. Mark. Res. 1973, 10, 38–44. [Google Scholar] [CrossRef]
- Ruby, M.B.; Rozin, P.; Chan, C. Determinants of willingness to eat insects in the USA and India. J. Insects Food Feed 2015, 1, 215–225. [Google Scholar] [CrossRef]
- Everitt, M. Consumer-targeted sensory quality. In Global Issues in Food Science and Technology; Elsevier: Amsterdam, The Netherlands, 2009; pp. 117–128. [Google Scholar]
- Nestrud, M.A.; Meiselman, H.L.; King, S.C.; Lesher, L.L.; Cardello, A.V. Development of EsSense25, a shorter version of the EsSense Profile®. Food Qual. Prefer. 2016, 48, 107–117. [Google Scholar] [CrossRef]
- Mora, M.; Urdaneta, E.; Chaya, C. Emotional response to wine: Sensory properties, age and gender as drivers of consumers’ preferences. Food Qual. Prefer. 2018, 66, 19–28. [Google Scholar] [CrossRef]
- Norbury, A.; Husain, M. Sensation-seeking: Dopaminergic modulation and risk for psychopathology. Behav. Brain Res. 2015, 288, 79–93. [Google Scholar] [CrossRef]
- Gere, A.; Székely, G.; Kovács, S.; Kókai, Z.; Sipos, L. Readiness to adopt insects in Hungary: A case study. Food Qual. Prefer. 2017, 59, 81–86. [Google Scholar] [CrossRef]
- Tan, H.S.G.; Verbaan, Y.T.; Stieger, M. How will better products improve the sensory-liking and willingness to buy insect-based foods? Food Res. Int. 2017, 92, 95–105. [Google Scholar] [CrossRef]
- Dobermann, D.; Swift, J.; Field, L. Opportunities and hurdles of edible insects for food and feed. Nutr. Bull. 2017, 42, 293–308. [Google Scholar] [CrossRef] [Green Version]
- Belluco, S.; Halloran, A.; Ricci, A. New protein sources and food legislation: The case of edible insects and EU law. Food Secur. 2017, 9, 803–814. [Google Scholar] [CrossRef]
- Rumpold, B.A.; Langen, N. Consumer acceptance of edible insects in an organic waste-based bioeconomy. Curr. Opin. Green Sustain. Chem. 2020, 23, 80–84. [Google Scholar] [CrossRef]
- Woolf, E.; Maya, C.; Yoon, J.; Shertukde, S.; Toia, T.; Zhao, J.; Zhu, Y.; Peter, P.; Liu, C. Information and taste interventions for improving consumer acceptance of edible insects: A pilot study. J. Insects Food Feed 2020, 7, 129–139. [Google Scholar] [CrossRef]
- Köster, E.P.; Mojet, J. From mood to food and from food to mood: A psychological perspective on the measurement of food-related emotions in consumer research. Food Res. Int. 2015, 76, 180–191. [Google Scholar] [CrossRef]
- Schouteten, J.J.; De Steur, H.; De Pelsmaeker, S.; Lagast, S.; De Bourdeaudhuij, I.; Gellynck, X. Impact of health labels on flavor perception and emotional profiling: A consumer study on cheese. Nutrients 2015, 7, 10251–10268. [Google Scholar] [CrossRef] [Green Version]
- King, S.C.; Meiselman, H.L. Development of a method to measure consumer emotions associated with foods. Food Qual. Prefer. 2010, 21, 168–177. [Google Scholar] [CrossRef]
- Sogari, G.; Menozzi, D.; Hartmann, C.; Mora, C. How to Measure Consumers Acceptance Towards Edible Insects?—A Scoping Review About Methodological Approaches. In Edible Insects in the Food Sector: Methods, Current Applications and Perspectives; Sogari, G., Mora, C., Menozzi, D., Eds.; Springer International Publishing: Cham, Switzerland, 2019; pp. 27–44. [Google Scholar]
- Hamerman, E.J. Cooking and disgust sensitivity influence preference for attending insect-based food events. Appetite 2016, 96, 319–326. [Google Scholar] [CrossRef]
- Berger, S.; Christandl, F.; Bitterlin, D.; Wyss, A.M. The social insectivore: Peer and expert influence affect consumer evaluations of insects as food. Appetite 2019, 141, 104338. [Google Scholar] [CrossRef]
- Cardello, A.V.; Meiselman, H.L.; Schutz, H.G.; Craig, C.; Given, Z.; Lesher, L.L.; Eicher, S. Measuring emotional responses to foods and food names using questionnaires. Food Qual. Prefer. 2012, 24, 243–250. [Google Scholar] [CrossRef]
- Jiang, Y.; King, J.M.; Prinyawiwatkul, W. A review of measurement and relationships between food, eating behavior and emotion. Trends Food Sci. Technol. 2014, 36, 15–28. [Google Scholar] [CrossRef]
- Tuccillo, F.; Marino, M.G.; Torri, L. Italian consumers’ attitudes towards entomophagy: Influence of human factors and properties of insects and insect-based food. Food Res. Int. 2020, 137, 109619. [Google Scholar] [CrossRef] [PubMed]
- Ng, M.; Chaya, C.; Hort, J. Beyond liking: Comparing the measurement of emotional response using EsSense Profile and consumer defined check-all-that-apply methodologies. Food Qual. Prefer. 2013, 28, 193–205. [Google Scholar] [CrossRef]
- Gutjar, S.; de Graaf, C.; Kooijman, V.; de Wijk, R.A.; Nys, A.; Ter Horst, G.J.; Jager, G. The role of emotions in food choice and liking. Food Res. Int. 2015, 76, 216–223. [Google Scholar] [CrossRef]
- Spinelli, S.; Masi, C.; Dinnella, C.; Zoboli, G.P.; Monteleone, E. How does it make you feel? A new approach to measuring emotions in food product experience. Food Qual. Prefer. 2014, 37, 109–122. [Google Scholar] [CrossRef]
- Kim, J.-Y.; Prescott, J.; Kim, K.-O. Emotional responses to sweet foods according to sweet liker status. Food Qual. Prefer. 2017, 59, 1–7. [Google Scholar] [CrossRef]
- King, S.C.; Meiselman, H.L.; Carr, B.T. Measuring emotions associated with foods in consumer testing. Food Qual. Prefer. 2010, 21, 1114–1116. [Google Scholar] [CrossRef]
- Schouteten, J.J.; De Steur, H.; De Pelsmaeker, S.; Lagast, S.; Juvinal, J.G.; De Bourdeaudhuij, I.; Verbeke, W.; Gellynck, X. Emotional and sensory profiling of insect-, plant-and meat-based burgers under blind, expected and informed conditions. Food Qual. Prefer. 2016, 52, 27–31. [Google Scholar] [CrossRef]
- Berridge, K.C. ‘Liking’and ‘wanting’food rewards: Brain substrates and roles in eating disorders. Physiol. Behav. 2009, 97, 537–550. [Google Scholar] [CrossRef] [Green Version]
- Kim, J.; Almanza, B.; Ghiselli, R.; Sydnor, S. The effect of sensation seeking and emotional brand attachment on consumers’ intention to consume risky foods in restaurants. J. Foodserv. Bus. Res. 2017, 20, 336–349. [Google Scholar] [CrossRef]
- Lagast, S.; Gellynck, X.; Schouteten, J.J.; De Herdt, V.; De Steur, H. Consumers’ emotions elicited by food: A systematic review of explicit and implicit methods. Trends Food Sci. Technol. 2017, 69, 172–189. [Google Scholar] [CrossRef]
- Dalenberg, J.R.; Gutjar, S.; Ter Horst, G.J.; De Graaf, K.; Renken, R.J.; Jager, G. Evoked emotions predict food choice. PLoS ONE 2014, 9, e115388. [Google Scholar] [CrossRef]
- Kauppi, S.-M.; Pettersen, I.N.; Boks, C. Consumer acceptance of edible insects and design interventions as adoption strategy. Int. J. Food Des. 2019, 4, 39–62. [Google Scholar] [CrossRef]
- Wendin, K.; Nyberg, M. Factors influencing consumer perception and acceptability of insect-based foods. Curr. Opin. Food Sci. 2021, 40, 67–71. [Google Scholar] [CrossRef]
- Hunts, H.; Dunkel, F.; Thienes, M.; Carnegie, N. Gatekeepers in the food industry: Acceptability of edible insects. J. Insects Food Feed 2020, 6, 231–243. [Google Scholar] [CrossRef]









| Demographic Variables | Levels | n | % |
|---|---|---|---|
| Gender | Female | 112 | 53.33 |
| Male | 98 | 46.67 | |
| Age group | 18–22 | 93 | 44.29 |
| 23–29 | 84 | 40.00 | |
| 30–39 | 24 | 11.43 | |
| 40–49 | 5 | 2.38 | |
| 50–59 | 3 | 1.43 | |
| ≥60 | 1 | 0.48 | |
| Race | Asian | 37 | 17.62 |
| Black/African American | 27 | 12.86 | |
| Latino | 41 | 19.52 | |
| White/Caucasian | 100 | 47.62 | |
| Other | 5 | 2.38 | |
| Highest education level achieved | College degree | 56 | 26.67 |
| Graduate or professional degree | 74 | 35.24 | |
| High school or lower degree | 80 | 38.10 | |
| High-protein products consumption | Yes | 123 | 58.57 |
| No | 87 | 41.43 | |
| Previously tasted products with edible insects | Yes | 117 | 55.71 |
| No | 93 | 44.29 |
| Effects | Overall Liking § | |
|---|---|---|
| F Value | Pr > F | |
| Gender | 2.54 | 0.11 |
| Age | 1.43 | 0.22 |
| Race | 1.53 | 0.20 |
| Education | 1.32 | 0.27 |
| High protein consumption | 0.40 | 0.53 |
| Previous edible insect | 2.54 | 0.11 |
| Tasting condition | 17.95 | <0.01 |
| Formulation | 35.00 | <0.01 |
| Disclosed information | 3.07 | 0.08 |
| Tasting condition * Formulation | 15.58 | <0.01 |
| Tasting condition * Disclosed information | 29.10 | <0.01 |
| Formulation * Disclosed information | 2.84 | 0.09 |
| Gender * Formulation | 6.32 | 0.01 |
| Gender * Disclosed information | 0.35 | 0.55 |
| Tasting condition * Formulation * Disclosed information | 0.00 | 0.98 |
| Gender * Formulation * Disclosed information | 0.16 | 0.69 |
| Emotions | Females | Males | ||||||
|---|---|---|---|---|---|---|---|---|
| CBWO− | CBWO+ | CBW− | CBW+ | CBWO− | CBWO+ | CBW− | CBW+ | |
| Active | 13 A | 9 A | 10 A | 8 A | 10 a | 15 a | 7 a | 11 a |
| Adventurous | 11 B | 47 A | 10 B | 43 A | 7 b | 30 a | 11 b | 39 a |
| Aggressive | 3 A | 4 A | 4 A | 4 A | 2 a | 1 a | 1 a | 2 a |
| Bored | 8 B | 1 B | 20 A | 5 B | 8 a,b | 4 a,b | 11 a | 3 b |
| Calm | 31 A | 15 B | 25 A,B | 14 B | 27 a | 19 a,b | 28 a | 15 b |
| Disgusted | 0 B | 8 A | 1 A,B | 8 A | 2 a | 5 a | 4 a | 5 a |
| Enthusiastic | 20 A | 29 A | 18 A | 25 A | 14 a | 19 a | 16 a | 21 a |
| Free | 11 A | 7 A | 7 A | 8 A | 8 a | 13 a | 8 a | 10 a |
| Good | 47 A,B | 40 A,B | 51 A | 34 B | 50 a | 43 a,b | 41 a,b | 35 b |
| Good natured | 10 A | 12 A | 8 A | 11 A | 10 a | 16 a | 13 a | 12 a |
| Guilty | 4 A | 4 A | 5 A | 6 A | 5 a | 3 a | 5 a | 3 a |
| Happy | 32 A,B | 20 B,C | 34 A | 13 C | 27 a | 17 a | 20 a | 24 a |
| Interested | 46 B | 71 A | 39 B | 74 A | 45 a | 53 a | 40 a | 51 a |
| Joyful | 21 A | 13 A,B | 13 A,B | 9 B | 16 a | 12 a | 12 a | 8 a |
| Loving | 6 A | 4 A | 6 A | 6 A | 7 a | 4 a | 6 a | 4 a |
| Mild | 28 A | 23 A | 26 A | 23 A | 11 a | 12 a | 20 a | 12 a |
| Nostalgic | 7 A,B | 4 B | 11 A | 4 B | 6 a | 4 a | 5 a | 2 a |
| Pleasant | 27 A | 13 B | 31 A | 8 B | 21 a | 15 a | 27 a | 20 a |
| Safe | 29 A,B | 16 B,C | 33 A | 11 C | 18 a,b | 17 a,b | 23 a | 9 b |
| Satisfied | 23 A | 11 A,B | 21 A,B | 10 B | 15 a | 10 a | 13 a | 10 a |
| Tame | 11 A | 2 B | 9 A,B | 5 A,B | 6 a | 5 a | 7 a | 4 a |
| Understanding | 4 A | 13 A | 5 A | 10 A | 4 a | 9 a | 6 a | 9 a |
| Warm | 17 A | 6 B | 11 A,B | 5 B | 14 a | 4 b | 11 a,b | 6 a,b |
| Wild | 2 B | 12 A | 3 B | 12 A | 2 c | 11 a,b | 3 b,c | 13 a |
| Worried | 3 C | 13 A,B | 5 B,C | 15 A | 4 a,b | 5 a,b | 1 b | 8 a |
| Emotions | Females | Males | ||||||
|---|---|---|---|---|---|---|---|---|
| CBWO− | CBWO+ | CBW− | CBW+ | CBWO− | CBWO+ | CBW− | CBW+ | |
| Active | 9 A | 5 A | 9 A | 5 A | 6 a | 10 a | 6 a | 8 a |
| Adventurous | 7 B | 35 A | 9 B | 28 A | 6 b | 25 a | 8 b | 23 a |
| Aggressive | 2 A | 4 A | 2 A | 4 A | 1 a | 1 a | 0 a | 2 a |
| Bored | 18 A | 6 B | 17 A,B | 11 A,B | 11 a,b | 7 a,b | 15 a | 6 b |
| Calm | 25 A | 12 B | 18 A,B | 18 A,B | 30 a | 22 a,b | 20 a,b | 18 b |
| Disgusted | 4 A | 9 A | 13 A | 14 A | 3 a | 4 a | 7 a | 7 a |
| Enthusiastic | 8 A | 10 A | 10 A | 8 A | 8 a | 12 a | 10 a | 14 a |
| Free | 6 A,B | 4 A,B | 8 A | 1 B | 10 a | 11 a | 8 a | 10 a |
| Good | 53 A,B | 56 A | 39 B,C | 36 C | 44 a | 42 a | 44 a | 50 a |
| Good natured | 6 A | 11 A | 9 A | 6 A | 15 a | 20 a | 10 a | 16 a |
| Guilty | 5 A | 4 A | 4 A | 5 A | 3 a | 3 a | 3 a | 3 a |
| Happy | 38 A | 26 A,B | 29 A,B | 17 B | 35 a | 23 a | 27 a | 26 a |
| Interested | 28 B | 48 A | 25 B | 49 A | 21 a | 33 a | 24 a | 28 a |
| Joyful | 19 A | 18 A | 13 A | 9 A | 14 a | 15 a | 16 a | 16 a |
| Loving | 6 A | 8 A | 8 A | 3 A | 6 a | 5 a | 8 a | 5 a |
| Mild | 23 A | 28 A | 30 A | 23 A | 23 a | 14 a | 20 a | 17 a |
| Nostalgic | 13 A | 10 A,B | 8 A,B | 4 B | 8 a | 5 a | 6 a | 4 a |
| Pleasant | 31 A | 29 A | 21 A | 24 A | 31 a | 39 a | 30 a | 26 a |
| Safe | 25 A | 17 A | 13 A | 17 A | 15 a | 18 a | 18 a | 15 a |
| Satisfied | 37 A | 39 A | 26 A | 39 A | 36 a | 41 a | 31 a | 30 a |
| Tame | 11 A | 5 A | 11 A | 6 A | 10 a | 7 a | 14 a | 9 a |
| Understanding | 4 A,B | 5 A,B | 1 B | 10 A | 5 a | 9 a | 5 a | 10 a |
| Warm | 9 A | 6 A | 7 A | 9 A | 8 a | 8 a | 10 a | 6 a |
| Wild | 4 A | 5 A | 4 A | 2 A | 2 b | 11 a | 2 b | 11 a |
| Worried | 1 B | 6 A,B | 7 A,B | 8 A | 1 a | 3 a | 2 a | 3 a |
Publisher’s Note: MDPI stays neutral with regard to jurisdictional claims in published maps and institutional affiliations. |
© 2021 by the authors. Licensee MDPI, Basel, Switzerland. This article is an open access article distributed under the terms and conditions of the Creative Commons Attribution (CC BY) license (https://creativecommons.org/licenses/by/4.0/).
Share and Cite
Gurdian, C.E.; Torrico, D.D.; Li, B.; Tuuri, G.; Prinyawiwatkul, W. Effect of Disclosed Information on Product Liking, Emotional Profile, and Purchase Intent: A Case of Chocolate Brownies Containing Edible-Cricket Protein. Foods 2021, 10, 1769. https://doi.org/10.3390/foods10081769
Gurdian CE, Torrico DD, Li B, Tuuri G, Prinyawiwatkul W. Effect of Disclosed Information on Product Liking, Emotional Profile, and Purchase Intent: A Case of Chocolate Brownies Containing Edible-Cricket Protein. Foods. 2021; 10(8):1769. https://doi.org/10.3390/foods10081769
Chicago/Turabian StyleGurdian, Cristhiam E., Damir D. Torrico, Bin Li, Georgianna Tuuri, and Witoon Prinyawiwatkul. 2021. "Effect of Disclosed Information on Product Liking, Emotional Profile, and Purchase Intent: A Case of Chocolate Brownies Containing Edible-Cricket Protein" Foods 10, no. 8: 1769. https://doi.org/10.3390/foods10081769
APA StyleGurdian, C. E., Torrico, D. D., Li, B., Tuuri, G., & Prinyawiwatkul, W. (2021). Effect of Disclosed Information on Product Liking, Emotional Profile, and Purchase Intent: A Case of Chocolate Brownies Containing Edible-Cricket Protein. Foods, 10(8), 1769. https://doi.org/10.3390/foods10081769

