Effect of Liquid Absorbent Pads and Packaging Parameters on Drip Loss and Quality of Chicken Breast Fillets
Abstract
1. Introduction
2. Materials and Methods
2.1. Sample Preparation and Storage Conditions
2.2. Packaging Materials
2.3. Packaging Methods and Experimental Design
2.4. Analyses
2.4.1. Headspace Gas Analyses and Drip Loss
2.4.2. Texture Analyses and Dry Matter Content
2.4.3. Microbiological Analyses
2.4.4. Sensory Analysis
2.4.5. Statistical Analyses
3. Results and Discussion
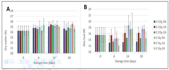
3.1. Effect of Liquid Absorbent Pads and Gas Composition
3.2. Effect of Liquid Absorbent Pads and G/P Ratio
4. Conclusions
Author Contributions
Funding
Informed Consent Statement
Data Availability Statement
Acknowledgments
Conflicts of Interest
Appendix A
| Chicken Breast Fillet (Experiment 1): G/P 1.8 | |||||||
|---|---|---|---|---|---|---|---|
| Factor/Effects | Drip Loss | Total Viable Counts | Lactic Acid Bacteria | Brochothrix thermosphacta | Enterobacteriaceae | Max Load | Dry Matter Content |
| Gas composition (G) | 1.8 *** | 1.7 *** | 0 | 45.4 *** | 5.2 *** | 7.2 ** | 0.6 |
| Storage time (T) | 3.0 *** | 95.7 *** | 95.4 *** | 42.0 *** | 58.0 *** | 13.2 ** | 6.4 |
| Liquid absorbent pads (A) | 88.7 *** | 0 | 0.3 ° | 0.3 | 0.6 | 6.6 * | 0.1 |
| G × T | 0.3 | - | 0.9 *** | 4.1 *** | 9.5 *** | 6.3 ° | - |
| G × A | 0.1 | - | 0.3 * | 0.8 * | 0.9 | 6.5 * | - |
| T × A | 2.0 *** | - | 0.4 ° | 1.5 ** | 2.2 | 1.2 | - |
| Residuals (Error) | 4.1 | 2.6 | 2.7 | 5.9 | 23.6 | 59.0 | 92.9 |
| R2 | 95.8 | 97.4 | 97.3 | 94.1 | 76.4 | 41.0 | 7.1 |
| Chicken Breast Fillet (Experiment 2): Gas Composition: 60% CO2/40% N2 | |||||||
| Drip Loss | Total Viable Counts | Lactic Acid Bacteria | Brochothrix thermosphacta | Enterobacteriaceae | |||
| Gas volume/product volume ratio (GP) | 16.7 *** | 0.1 ° | 0.1 * | 5.7 *** | 8.1 *** | ||
| Storage time (T) | 26.1 *** | 98.4 *** | 97.3 *** | 71.7 *** | 66.5 *** | ||
| Liquid absorbent pads (A) | 31.6 *** | 0 | 0.2 * | 1.1 ° | 2.5 * | ||
| GP × T | - | 0 | 0 | 6.7 *** | 0 | ||
| GP × A | - | 0.2 * | 0.5 *** | 0.4 | 3.5 ** | ||
| T × A | - | 0.2 ° | 0.9 *** | 2.8 * | 0.3 | ||
| Residuals (Error) | 25.6 | 1.1 | 1.0 | 11.7 | 19.1 | ||
| R2 | 74.1 | 98.9 | 99.0 | 88.4 | 80.9 | ||
| Chicken Breast Fillet (Experiment 1): G/P 1.8 | ||||||
|---|---|---|---|---|---|---|
| Gas Composition | Number of Liquid Absorbent Pads | 0 Days | 6 Days | 14 Days | 20 Days | |
| Drip loss | 60% CO2/40% N2 | 0 | - | 0.65 C | 0.37 C | 1.09 C |
| 1 | - | 2.42 B | 2.93 B | 3.60 AB | ||
| 2 | - | 3.76 A | 4.67 A | 4.61 A | ||
| 25% CO2/75% O2 | 0 | - | 0.48 C | 0.18 C | 0.35 C | |
| 1 | - | 2.05 B | 2.51 B | 2.72 B | ||
| 2 | - | 3.33 A | 4.41 A | 4.27 A | ||
| Dry matter Content | 60% CO2/40% N2 | c | 24.25 | 24.81 A | 25.05 A | 24.68 A |
| 1 | 24.25 | 24.80 A | 25.44 A | 24.32 A | ||
| 2 | 24.25 | 24.59 A | 25.28 A | 24.87 A | ||
| 25% CO2/75% O2 | 0 | 24.25 | 24.91 A | 25.20 A | 24.75 A | |
| 1 | 24.25 | 24.29 A | 25.37 A | 25.52 A | ||
| 2 | 24.25 | 25.32 A | 24.94 A | 24.63 A | ||
| Warner–Bratzler shear force (maximum load) | 60% CO2/40% N2 | 0 | 15.56 | 13.02 A | 13.17 A | 13.35 B |
| 1 | 15.56 | 15.46 A | 16.21 A | 16.27 AB | ||
| 2 | 15.56 | 13.35 A | 14.63 A | 14.53 AB | ||
| 25% CO2/75% O2 | 0 | 15.56 | 14.3 A | 18.74 A | 17.59 A | |
| 1 | 15.56 | 14.51 A | 17.44 A | 17.52 A | ||
| 2 | 15.56 | 12.02 A | 17.58 A | 14.47 AB | ||
| Chicken Breast Fillet (Experiment 2): Gas Composition: 60% CO2/40% N2 | ||||||
| Gas Volume/ Product Volume | Number of Liquid Absorbent Pads | 0 Days | 7 Days | 14 Days | 20 Days | |
| Drip loss | 1.8 | 0 | - | 1.81 BC | 3.20 BC | 3.63 BC |
| 1 | - | 3.64 A | 6.05 A | 5.12 AB | ||
| 2 | - | 3.54 AB | 5.17 AB | 5.95 A | ||
| 2.9 | 0 | - | 0.78 C | 2.22 C | 2.47 C | |
| 1 | - | 2.18 ABC | 3.42 BC | 3.84 BC | ||
| 2 | - | 2.84 AB | 3.51 BC | 5.04 AB | ||
| Flavor of Heat-Treated Chicken—14 Days of Storage | |||||||||
|---|---|---|---|---|---|---|---|---|---|
| Packaging Variable: Gas Composition | Number of Liquid Absorbent Pads | Sourness | Metallic | Cloying | Sulfurous | Fermented | Hardness | Tenderness | Juiciness |
| 60%CO2/40% N2 | 0 | 2.87 AB | 4.23 | 3.88 | 2.89 | 1.71 B | 3.59 B | 6.38 AB | 4.37 BC |
| 1 | 2.89 AB | 4.19 | 4.08 | 2.61 | 1.89 B | 3.16 B | 6.92 A | 5.40 A | |
| 2 | 3.26 A | 4.38 | 3.38 | 2.35 | 1.48 B | 3.50 B | 6.49 AB | 4.77 AB | |
| 25%CO2/75% O2 | 0 | 3.13 A | 3.79 | 3.67 | 2.73 | 2.43 AB | 3.75 AB | 6.04 BC | 4.49 ABC |
| 1 | 1.80 B | 3.56 | 4.55 | 3.25 | 3.37 A | 4.45 A | 5.35 C | 4.63 C | |
| 2 | 2.39 AB | 3.63 | 4.39 | 2.96 | 2.59 AB | 3.74 B | 5.84 BC | 4.48 ABC | |
| p-value | 0.0058 | 0.0556 | 0.1608 | 0.2917 | 0.0008 | 0.0001 | 0.0000 | 0.0001 | |
| Odor of Raw Chicken—14 Days of Storage | |||||||||
| Sourness | Metallic | Cloying | Sulfurous | Fermented | Chlorine | ||||
| 60% CO2/40% N2 | 0 | 2.58 A | 4.42 A | 3.66 B | 6.23 A | 2.36 B | 1.35 B | ||
| 1 | 2.87 A | 4.39 A | 3.37 B | 5.38 A | 2.14 B | 1.31 B | |||
| 2 | 2.40 A | 4.46 A | 3.94 B | 5.62 A | 2.87 B | 1.28 B | |||
| 25% CO2/75% O2 | 0 | 1.23 B | 2.26 B | 6.89 A | 2.07 B | 7.24 A | 3.41 A | ||
| 1 | 1.30 B | 2.28 B | 6.81 A | 2.07 B | 7.28 A | 3.48 A | |||
| 2 | 1.24 B | 2.42 B | 6.48 A | 1.97 B | 6.88 A | 3.62 A | |||
| p-value | 0.0000 | 0.0000 | 0.0000 | 0.0000 | 0.0000 | 0.0000 | |||
| Storage Time (Days) | Packaging Variable | Number of Liquid Absorbent Pads | Total Viable Counts | Lactic Acid Bacteria | Brochothrix thermosphacta | Enterobacteriaceae |
|---|---|---|---|---|---|---|
| Chicken Breast Fillet (Experiment 1): G/P 1.8 | ||||||
| Gas Composition | ||||||
| 0 | 2.64 ± 0.26 | 2.45 ± 0.36 | 2.0 ± 0.0 ** | 2.64 ± 0.13 ** | ||
| 6 | 60% CO2/40% N2 | 0 | 3.04 ± 0.28 B | 2.83 ± 0.39 B | 1.50 ± 0.39 ** C | 1.63 ± 0.41 ** A |
| 1 | 3.54 ± 0.19 AB | 2.73 ± 0.25 A | 1.42 ± 0.24 ** C | 1.42 ± 0.24 ** A | ||
| 2 | 3.52 ± 0.29 AB | 3.61 ± 0.32 A | 1.42 ± 0.24 C | 1.82 ± 0.46 A | ||
| 25% CO2/75% O2 | 0 | 3.83 ± 0.14 A | 3.87 ± 0.16 A | 3.48 ± 0.35 A | 1.99 ± 0.11 A | |
| 1 | 3.72 ± 0.17 A | 3.65 ± 0.21 A | 3.29 ± 0.40 AB | 1.82 ± 0.45 A | ||
| 2 | 3.56 ± 0.30 AB | 3.59 ± 0.41 A | 2.22 ± 1.07 ** BC | 1.68 ± 0.50 A | ||
| 14 | 60% CO2/40% N2 | 0 | 5.59 ± 0.09 AB | 5.78 ± 0.0 * A | 2.50 ± 0.81 B | 2.10 ± 0.98 BC |
| 0 (Bo) | 5.65 ± 0.38 AB | 5.70 ± 0.0 * AB | 2.44 ± 0.45B | 3.27 ± 0.16 AB | ||
| 1 | 5.71 ± 0.0 AB | 5.70 ± 0.0 * AB | 2.10 ± 0.0 B | 1.96 ± 0.0 BC | ||
| 1 (Bo) | 5.50 ± 0.41 B | 5.60 ± 0.0 ** AB | 1.68 ± 0.45B | 2.07 ± 0.75 BC | ||
| 2 | 5.55 ± 0.30 AB | 5.60 ± 0.0 * AB | 2.93 ± 0.59 B | 1.72 ± 0.68 BC | ||
| 2 (Bo) | 4.69 ± 0.40 C | 4.85 ± 0.32 C | 2.04 ± 1.11B | 1.0 ± 0.0 ** C | ||
| 25% CO2/75% O2 | 0 | 6.06 ± 0.15 AB | 5.60 ± 0.0 * AB | 5.45 ± 0.30 * A | 1.83 ± 0.81 BC | |
| 0 (Bo) | 6.23 ± 0.08 A | 5.78 ± 0.0 * A | 5.24 ± 0.19 A | 3.86 ± 0.32 A | ||
| 1 | 5.84 ± 0.30 AB | 5.46 ± 0.17 B | 5.70 ± 0.0 * A | 1.94 ± 0.66 BC | ||
| 1 (Bo) | 5.86 ± 0.20 AB | 5.78 ± 0.0 * A | 5.40 ± 0.15A | 2.57 ± 1.36ABC | ||
| 2 | 5.96 ± 0.32 AB | 5.63 ± 0.05 * AB | 5.61 ± 0.07 * A | 1.12 ± 0.24 C | ||
| 2 (Bo) | 5.56 ± 0.29 AB | 5.51 ± 0.06 * B | 5.13 ± 0.09A | 1.12 ± 0.34 ** C | ||
| 20 | 60% CO2/40% N2 | 0 | 6.94 ± 0.09 BC | 7.12 ± 0.14 AB | 4.08 ± 0.62 B | 4.27 ± 0.87 * A |
| 1 | 6.66 ± 0.33 C | 7.31 ± 0.43 A | 2.92 ± 0.59 C | 4.13 ± 0.12 A | ||
| 2 | 7.07 ± 0.18 ABC | 7.31 ± 0.25 A | 3.99 ± 0.72 BC | 4.02 ± 0.07 A | ||
| 25% CO2/75% O2 | 0 | 7.29 ± 0.22 AB | 6.66 ± 0.08 B | 6.86 ± 0.39 A | 2.28 ± 0.96 B | |
| 1 | 7.36 ± 0.21 AB | 6.80 ± 0.16 AB | 6.93 ± 0.15 A | 3.17 ± 0.46 AB | ||
| 2 | 7.53 ± 0.25 A | 7.22 ± 0.25 A | 7.40 ± 0.36 A | 2.91 ± 0.61 AB | ||
| Chicken Breast Fillet (Experiment 2): Gas Composition: 60% CO2/40% N2 | ||||||
| Storage Time (Days) | Packaging Variable | Number of Liquid Absorbent Pads | Total Viable Counts | Lactic Acid Bacteria | Brochothrix thermosphacta | Enterobacteriaceae |
| Gas/Product Volume Ratio | ||||||
| 0 | 3.30 ± 0.41 | 2.11 ± 0.31 | 1.55 ± 0.24 | 1.30 ± 0.0 | ||
| 7 | 1.8 | 0 | 3.48 ± 0.04 ABC | 3.65 ± 0.05 AB | 1.30 ± 0.0 ** A | 1.77 ± 0.38 A |
| 1 | 3.41 ± 0.12 BC | 3.41 ± 0.17 AB | 1.30 ± 0.0 ** A | 1.89 ± 0.68 ** A | ||
| 2 | 3.80 ± 0.29 A | 3.74 ± 0.28 A | 1.38 ± 0.15 A | 2.10 ± 0.43 A | ||
| 2.9 | 0 | 3.53 ± 0.09 ABC | 3.49 ± 0.08 AB | 1.45 ± 0.30 ** A | 1.30 ± 0.0 ** A | |
| 1 | 3.82 ± 0.16 AB | 3.68 ± 0.12 AB | 1.30 ± 0.0 ** A | 1.50 ± 0.24 ** A | ||
| 2 | 3.29 ± 0.12 C | 3.32 ± 0.13 B | 1.30 ± 0.0 ** A | 1.30 ± 0.0 ** A | ||
| 14 | 1.8 | 0 | 6.22 ± 0.1 B | 6.30 ± 0.0 * | 2.18 ± 0.67 C | 3.95 ± 0.13 A |
| 1 | 6.42 ± 0.10 A | 6.30 ± 0.0 * | 2.72 ± 0.57 BC | 3.94 ± 0.33 A | ||
| 2 | 6.43 ± 0.04 A | 6.30± 0.0 * | 2.30 ± 0.61 C | 3.75 ± 0.45 AB | ||
| 2.9 | 0 | 6.43 ± 0.02 A | 6.54± 0.0 * | 3.20 ± 1.12ABC | 2.45 ± 1.10 B | |
| 1 | 6.40 ± 0.01 A | 6.54± 0.0 * | 4.57 ± 0.66 A | 3.37 ± 0.59 AB | ||
| 2 | 6.00 ± 0.0 * C | 5.48± 0.0 | 4.02 ± 0.04 AB | 3.72 ± 0.35 AB | ||
| 20 | 1.8 | 0 | 7.34 ± 0.16 A | 7.29 ± 0.11 AB | 3.68 ± 0.29 A | 4.22 ± 0.34 A |
| 1 | 7.35 ± 0.15 A | 7.20 ± 0.10 AB | 3.09 ± 0.79 A | 4.03 ± 0.63 A | ||
| 2 | 7.40 ± 0.19 A | 7.38 ± 0.11 A | 4.34 ± 0.35 A | 3.71 ± 0.47 AB | ||
| 2.9 | 0 | 7.13 ± 0.16 A | 7.00 ± 0.11 B | 3.94 ± 0.48 A | 2.69 ± 0.81 B | |
| 1 | 7.20 ± 0.16 A | 7.27 ± 0.09 AB | 4.00 ± 0.0 ** A | 3.48 ± 0.68 AB | ||
| 2 | 7.53 ± 0.33 A | 7.41 ± 0.23 A | 4.36 ± 0.85 A | 4.11 ± 0.61 A | ||
References
- United Nations. Sustainable Development Goals, Transforming Our World: The 2030 Agenda for Sustainable Development. Available online: https://sustainabledevelopment.un.org/post2015/transformingourworld (accessed on 15 January 2021).
- Ellen MacArthur Foundation. The New Plastics Economy: Rethinking the Future of Plastics and Catalysing Action. Available online: https://www.ellenmacarthurfoundation.org/assets/downloads/publications/NPEC-Hybrid_English_22-11-17_Digital.pdf (accessed on 2 May 2021).
- Caldeira, C.P.; De Laurentiis, V.; Sala, S. Assessment of Food Waste Prevention Actions. Development of an Evaluation Framework to Assess the Performance of Food Waste Prevention Actions; EUR 29901 EN; JRC: Luxemburg, 2019. [Google Scholar]
- Lindh, H.; Williams, H.; Olsson, A.; Wikström, F. Elucidating the Indirect Contributions of Packaging to Sustainable Development: A Terminology of Packaging Functions and Features. Packag. Technol. Sci. 2016, 29, 225–246. [Google Scholar] [CrossRef]
- Svanes, E.; Vold, M.; Møller, H.; Pettersen, M.K.; Larsen, H.; Hanssen, O.J. Sustainable packaging design: A holistic methodology for packaging design. Packag. Technol. Sci. 2010, 23, 161–175. [Google Scholar] [CrossRef]
- Verghese, K.; Crossin, E.; Clune, S.; Lockrey, S.; Williams, H.; Rio, M.; Wikström, F. The greenhouse gas profile of a “Hungry Planet”; quantifying the impacts of the weekly food purchases including associated packaging and food waste of three families. In Proceedings of the 19th IAPRI World Conference, Melbourne, Australia, 15–18 June 2014. [Google Scholar]
- Wikström, F.; Verghese, K.; Auras, R.; Olsson, A.; Williams, H.; Wever, R.; Grönman, K.; Kvalvåg Pettersen, M.; Møller, H.; Soukka, R. Packaging Strategies That Save Food: A Research Agenda for 2030. J. Ind. Ecol. 2019, 23, 532–540. [Google Scholar] [CrossRef]
- Prestrud, K.; Stensgård, A.E.; Møller, H.; Johnsen, F.M. Emballasjeutviklingen i Norge 2017. Handlekurv og Indikator; Report OR.16.18; Østfoldresearch: Fredrikstad, Norway, 2018. [Google Scholar]
- Listrat, A.; Lebret, B.; Louveau, I.; Astruc, T.; Bonnet, M.; Lefaucheur, L.; Picard, B.; Bugeon, J. How Muscle Structure and Composition Influence Meat and Flesh Quality. Sci. World J. 2016, 2016, 3182746. [Google Scholar] [CrossRef]
- Pearce, K.L.; Rosenvold, K.; Andersen, H.J.; Hopkins, D.L. Water distribution and mobility in meat during the conversion of muscle to meat and ageing and the impacts on fresh meat quality attributes—A review. Meat Sci. 2011, 89, 111–124. [Google Scholar] [CrossRef] [PubMed]
- Hughes, J.M.; Oiseth, S.K.; Purslow, P.P.; Warner, R.D. A structural approach to understanding the interactions between colour, water-holding capacity and tenderness. Meat Sci. 2014, 98, 520–532. [Google Scholar] [CrossRef] [PubMed]
- Orkusz, A. Effects of packaging conditions on some functional and sensory attributes of goose meat. Poult. Sci. 2018, 97, 2988–2993. [Google Scholar] [CrossRef]
- McMillin, K.W. Where is MAP Going? A review and future potential of modified atmosphere packaging for meat. Meat Sci. 2008, 80, 43–65. [Google Scholar] [CrossRef]
- Cheng, Q.; Sun, D.W. Factors affecting the water holding capacity of red meat products: A review of recent research advances. Crit. Rev. Food Sci. Nutr. 2008, 48, 137–159. [Google Scholar] [CrossRef]
- Payne, S.R.; Durham, C.J.; Scott, S.M.; Devine, C.E. The effects of non-vacuum packaging systems on drip loss from chilled beef. Meat Sci. 1998, 49, 277–287. [Google Scholar] [CrossRef]
- Jin, S.-K.; Kim, I.-S.; Song, Y.-M.; Kim, D.-H.; Lee, C.-Y.; Hur, I.-C.; Park, J.; Kang, S.-N.; Hur, S.-J. Effect of Packaging Methods on Quality Characteristics of Low-Grade Beef during Aging at 16C. J. Food Process. Preserv. 2013, 37, 1111–1118. [Google Scholar] [CrossRef]
- Stella, S.; Bernardi, C.; Tirloni, E. Influence of skin packaging on raw beef quality: A review. J. Food Qual. 2018, 2018, 7464578. [Google Scholar] [CrossRef]
- Droval, A.A.; Benassi, V.T.; Rossa, A.; Prudencio, S.H.; Paião, F.G.; Shimokomaki, M. Consumer attitudes and preferences regarding pale, soft, and exudative broiler breast meat. J. Appl. Poult. Res 2012, 21, 502–507. [Google Scholar] [CrossRef]
- European Commission regulation (EC) No 450/2009 of 29 May 2009 on Active and Intelligent Materials and Articles Intended to Come into Contact with Food. Available online: https://eur-lex.europa.eu/LexUriServ/LexUriServ.do?uri=OJ:L:2009:135:0003:0011:EN:PDF (accessed on 2 May 2021).
- Renerre, M. Factors involved in the discoloration of beef meat. Int. J. Food Sci. Technol. 1990, 25, 613–630. [Google Scholar] [CrossRef]
- Dalgaard, P.; Gram, L.; Huss, H.H. Spoilage and shelf-life of cod fillets packed in vacuum or modified atmospheres. Int. J. Food Microbiol. 1993, 19, 283–294. [Google Scholar] [CrossRef]
- Randell, K.; Hattula, T.; SkyttÄ, E.; Sivertsvik, M.; Bergslien, H.; Ahvenainen, R. Quality of filleted salmon in various retail packages. J. Food Qual. 1999, 22, 483–497. [Google Scholar] [CrossRef]
- Jakobsen, M.; Bertelsen, G. The use of CO2 in packaging of fresh red meats and its effect on chemical quality changes in the meat: A review. J. Muscle Foods 2002, 13, 143–168. [Google Scholar] [CrossRef]
- Pettersen, M.K.; Hansen, A.Å.; Mielnik, M. Effect of Different Packaging Methods on Quality and Shelf Life of Fresh Reindeer Meat. Packag. Technol. Sci. 2014, 27, 987–997. [Google Scholar] [CrossRef]
- Holck, A.L.; Pettersen, M.K.; Moen, M.H.; Sørheim, O. Prolonged shelf life and reduced drip loss of chicken filets by the use of carbon dioxide emitters and modified atmosphere packaging. J. Food Prot. 2014, 77, 1133–1141. [Google Scholar] [CrossRef]
- Rotabakk, B.T.; Birkeland, S.; Jeksrud, W.K.; Sivertsvik, M. Effect of Modified Atmosphere Packaging and Soluble Gas Stabilization on the Shelf Life of Skinless Chicken Breast Fillets. J. Food Sci. 2006, 71, S124–S131. [Google Scholar] [CrossRef]
- Lawless, H.T.; Heymann, H. Sensory Evaluation of Food—Principles and Practices; Springer: Berlin, Germany, 2010. [Google Scholar]
- International Organization for Standardization. ISO 13229 Sensory Analysis—General Guidance for Establishing a Sensory Profile; International Organization for Standardization: Geneva, Switzerland, 2016. [Google Scholar]
- International Organization for Standardization. ISO 8589 Sensory Analysis—General Guidance for the Design of Test Rooms; International Organization for Standardization: Geneva, Switzerland, 2007. [Google Scholar]
- International Organization for Standardization. ISO 8586 Sensory Analysis—General Guidance for Selection, Training and Monitoring of Selected Sensory Assessors and Expert Assessors; International Organization for Standardization: Geneva, Switzerland, 2012. [Google Scholar]
- RCore Team. R: A Language and Environment for Statistical Computing; R Foundation for Statistical Computing: Vienna, Austria, 2019. [Google Scholar]
- Liland, K.H. mxml: Mixed Model ANOVA and Statistics for Education; Package Version 1.2.4. Available online: https://mran.microsoft.com/snapshot/2020-04-17/web/packages/mixlm/index.html (accessed on 2 May 2021).
- Geesink, G.; Robertson, J.; Ball, A. The effect of retail packaging method on objective and consumer assessment of beef quality traits. Meat Sci. 2015, 104, 85–89. [Google Scholar] [CrossRef]
- Rossaint, S.; Klausmann, S.; Kreyenschmidt, J. Effect of high-oxygen and oxygen-free modified atmosphere packaging on the spoilage process of poultry breast fillets. Poult. Sci. 2015, 94, 96–103. [Google Scholar] [CrossRef]
- Fu, Q.-Q.; Liu, R.; Zhang, W.-G.; Li, Y.-P.; Wang, J.; Zhou, G.-H. Effects of Different Packaging Systems on Beef Tenderness Through Protein Modifications. Food Bioprocess Technol. 2015, 8, 580–588. [Google Scholar] [CrossRef]
- Moczkowska, M.; Półtorak, A.; Montowska, M.; Pospiech, E.; Wierzbicka, A. The effect of the packaging system and storage time on myofibrillar protein degradation and oxidation process in relation to beef tenderness. Meat Sci. 2017, 130, 7–15. [Google Scholar] [CrossRef] [PubMed]
- Lagerstedt, Å.; Lundström, K.; Lindahl, G. Influence of vacuum or high-oxygen modified atmosphere packaging on quality of beef M. longissimus dorsi steaks after different ageing times. Meat Sci. 2011, 87, 101–106. [Google Scholar] [CrossRef] [PubMed]
- Zakrys-Waliwander, P.I.; O’Sullivan, M.G.; O’Neill, E.E.; Kerry, J.P. The effects of high oxygen modified atmosphere packaging on protein oxidation of bovine M. longissimus dorsi muscle during chilled storage. Food Chem. 2012, 131, 527–532. [Google Scholar] [CrossRef]
- Lund, M.N.; Lametsch, R.; Hviid, M.S.; Jensen, O.N.; Skibsted, L.H. High-oxygen packaging atmosphere influences protein oxidation and tenderness of porcine longissimus dorsi during chill storage. Meat Sci. 2007, 77, 295–303. [Google Scholar] [CrossRef]
- Herbert, U.; Kreyenschmidt, J. Comparison of Oxygen- and Nitrogen-Enriched Atmospheres on the Growth of Listeria Monocytogenes Inoculated on Poultry Breast Fillets. J. Food Saf. 2015, 35, 533–543. [Google Scholar] [CrossRef]
- Pettersen, M.K.; Nissen, H.; Eie, T.; Nilsson, A. Effect of packaging materials and storage conditions on bacterial growth, off-odour, pH and colour in chicken breast fillets. Packag. Technol. Sci. 2004, 17, 165–174. [Google Scholar] [CrossRef]
- Löwenadler, J.; Rönner, U. Determination of dissolved carbon dioxide by coulometric titration in modified atmosphere systems. Lett. Appl. Microbiol. 1994, 18, 285–288. [Google Scholar] [CrossRef]
- Killeffer, D.H. Carbon dioxide preservation of meat and fish. Ind. Eng. Chem. 1930, 22, 140–143. [Google Scholar] [CrossRef]
- Stansby, M.E.; Griffiths, F.P. Carbon dioxide in handling fresh fish—Haddock. Ind. Eng. Chem. 1935, 27, 1452–1458. [Google Scholar] [CrossRef]




Publisher’s Note: MDPI stays neutral with regard to jurisdictional claims in published maps and institutional affiliations. |
© 2021 by the authors. Licensee MDPI, Basel, Switzerland. This article is an open access article distributed under the terms and conditions of the Creative Commons Attribution (CC BY) license (https://creativecommons.org/licenses/by/4.0/).
Share and Cite
Pettersen, M.K.; Nilsen-Nygaard, J.; Hansen, A.Å.; Carlehög, M.; Liland, K.H. Effect of Liquid Absorbent Pads and Packaging Parameters on Drip Loss and Quality of Chicken Breast Fillets. Foods 2021, 10, 1340. https://doi.org/10.3390/foods10061340
Pettersen MK, Nilsen-Nygaard J, Hansen AÅ, Carlehög M, Liland KH. Effect of Liquid Absorbent Pads and Packaging Parameters on Drip Loss and Quality of Chicken Breast Fillets. Foods. 2021; 10(6):1340. https://doi.org/10.3390/foods10061340
Chicago/Turabian StylePettersen, Marit Kvalvåg, Julie Nilsen-Nygaard, Anlaug Ådland Hansen, Mats Carlehög, and Kristian Hovde Liland. 2021. "Effect of Liquid Absorbent Pads and Packaging Parameters on Drip Loss and Quality of Chicken Breast Fillets" Foods 10, no. 6: 1340. https://doi.org/10.3390/foods10061340
APA StylePettersen, M. K., Nilsen-Nygaard, J., Hansen, A. Å., Carlehög, M., & Liland, K. H. (2021). Effect of Liquid Absorbent Pads and Packaging Parameters on Drip Loss and Quality of Chicken Breast Fillets. Foods, 10(6), 1340. https://doi.org/10.3390/foods10061340
