Differences in Anthocyanin Accumulation Profiles between Teinturier and Non-Teinturier Cultivars during Ripening
Abstract
1. Introduction
2. Materials and Methods
2.1. Chemicals
2.2. Plants and Fruit Samples
2.3. Determination of Basic Physicochemical Parameters
2.4. Extractions of Polyphenols
2.5. Analysis of Phenolics in Grape Skin
2.6. Extractions and Determination of Individual Anthocyanins
2.7. Quantitative Real-Time PCR
2.8. Statistical Analysis
3. Results and Discussion
3.1. Subsection
3.1.1. Reducing Sugar, Titratable Acidity, and pH
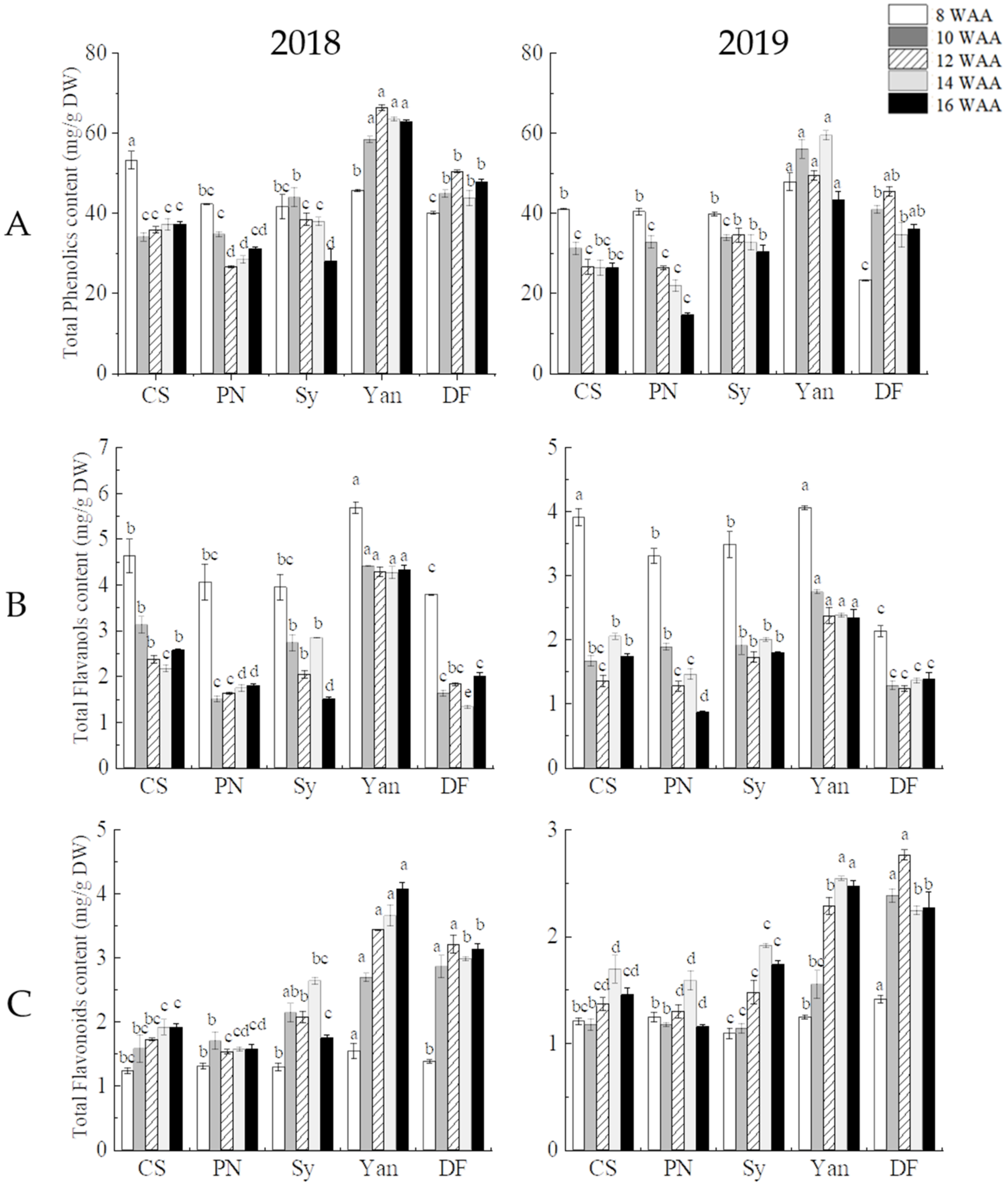
3.1.2. Total Phenolics, Total Flavanols, and Total Flavonoids
3.1.3. Characteristics of Anthocyanins in Grape Skin
- Characteristics of anthocyanin compositions in skins
- 2.
- Characteristics of anthocyanin types in skins
- 3.
- Characteristics of anthocyanin modification in skins
- 4.
- Principal component analysis (PCA) of different cultivars
3.1.4. Gene Relative Expression Related to Anthocyanin Biosynthesis, Modification, and Transport
3.1.5. Cluster Analysis of Anthocyanin Accumulation and Gene Expression
4. Conclusions
Supplementary Materials
Author Contributions
Funding
Institutional Review Board Statement
Informed Consent Statement
Data Availability Statement
Conflicts of Interest
Abbreviations
| TA | titratable acid. |
| RS | reducing sugar. |
| HPLC | high-performance liquid chromatography. |
| WAA | weeks after anthesis. |
| TP | total phenolics. |
| TFA | total flavanols. |
| TFO | total flavonoids. |
| TA | total anthocyanins. |
| Mv | malvidin−3−glucoside. |
| Mv−ac | malvidin−3−glu acetate. |
| Pt | petunidin−3−glucoside. |
| Pn−ac | peonidin−3−glu acetate. |
| t−Mv−co | trans-malvidin−3−glu coumarate. |
References
- Shen, J.Z.; Zhang, D.Y.; Zhou, L.; Zhang, X.Z.; Liao, J.R.; Duan, Y.; Wen, B.; Ma, Y.C.; Wang, Y.H.; Fang, W.P.; et al. Transcriptomic and metabolomic profiling of Camellia sinensis L. cv. ’Suchazao’ exposed to temperature stresses reveals modification in protein synthesis and photosynthetic and anthocyanin biosynthetic pathways. Tree Physiol. 2019, 39, 1583–1599. [Google Scholar] [CrossRef]
- Yang, J.F.; Li, B.B.; Shi, W.J.; Gong, Z.Z.; Chen, L.; Hou, Z.X. Transcriptional activation of anthocyanin biosynthesis in developing fruit of blueberries (Vaccinium corymbosum L.) by preharvest and postharvest UV irradiation. J. Agric. Food Chem. 2018, 66, 10931–10942. [Google Scholar] [CrossRef] [PubMed]
- González-Villagra, J.; Kurepin, L.V.; Reyes-Díaz, M.M. Evaluating the involvement and interaction of abscisic acid and miRNA156 in the induction of anthocyanin biosynthesis in drought-stressed plants. Planta 2017, 246, 299–312. [Google Scholar] [CrossRef]
- Lorenc-Kukuła, K.; Jafra, S.; Oszmiański, J.; Szopa, J. Ectopic expression of anthocyanin 5-O-glucosyltransferase in potato tuber causes increased resistance to bacteria. J. Agric. Food Chem. 2005, 53, 272–281. [Google Scholar] [CrossRef]
- Boss, P.K.; Davies, C.; Robinson, S.P. Expression of anthocyanin biosynthesis pathway genes in red and white grapes. Plant Mol. Biol. 1996, 32, 565–569. [Google Scholar] [CrossRef]
- Kobayashi, S.; Ishimaru, M.; Ding, C.; Yakushiji, H.; Goto, N. Comparison of UDP-glucose: Flavonoid 3-O-glucosyltransferase (UFGT) gene sequences between white grapes (Vitis vinifera) and their sports with red skin. Plant Sci. 2001, 160, 543–550. [Google Scholar] [CrossRef]
- Hugueney, P.; Provenzano, S.; Verrieès, C.; Ferrandino, A.; Meudec, E.; Batelli, G.; Merdinoglu, D.; Cheynier, V.; Schubert, A.; Ageorges, A. A novel cation-dependent O-methyltransferase involved in anthocyanin methylation in grapevine. Plant Physiol. 2009, 150, 2057–2070. [Google Scholar] [CrossRef] [PubMed]
- Roldan, M.V.G.; Outchkourov, N.; van Houwelingen, A.; Lammers, M.; de la Fuente, I.R.; Ziklo, N.; Aharoni, A.; Hall, R.D.; Beekwilder, J. An O-methyltransferase modifies accumulation of methylated anthocyanins in seedlings of tomato. Plant J. 2014, 80, 695–708. [Google Scholar] [CrossRef]
- Winkel, B.S.J. Metabolic channeling in plants. Annu. Rev. Plant. Biol. 2004, 55, 85–107. [Google Scholar] [CrossRef]
- Pérez-Díaz, R.; Madrid-Espinoza, J.; Salinas-Cornejo, J.; González-Villanueva, E.; Ruiz-Lara, S. Differential roles for VviGST1, VviGST3, and VviGST4 in proanthocyanidin and anthocyanin transport in Vitis vinifera. Front. Plant Sci. 2016, 7, 13. [Google Scholar] [CrossRef] [PubMed]
- Gomez, C.; Conejero, G.; Torregrosa, L.; Cheynier, V.; Terrier, N.; Ageorges, A. In vivo grapevine anthocyanin transport involves vesicle-mediated trafficking and the contribution of anthoMATE transporters and GST. Plant J. 2011, 67, 960–970. [Google Scholar] [CrossRef] [PubMed]
- Gomez, C.; Terrier, N.; Torregrosa, L.; Vialet, S.; Fournier-Level, A.; Verrieès, C.; Souquet, J.-M.; Mazauric, J.-P.; Klein, M.; Cheynier, V.; et al. Grapevine MATE-type proteins act as vacuolar H+-dependent acylated anthocyanin transporters. Plant. Physiol. 2009, 150, 402–415. [Google Scholar] [CrossRef] [PubMed]
- M’Mbone, M.E.; Cheng, W.; Xu, L.; Wang, Y.; Karanja, B.K.; Zhu, X.; Cao, Y.; Liu, L. Identification and transcript analysis of MATE genes involved in anthocyanin transport in radish (Raphanus sativus L.). Sci. Hortic. 2018, 238, 195–203. [Google Scholar] [CrossRef]
- Marrs, K.A.; Alfenito, M.R.; Lloyd, A.M.; Walbot, V. A glutathione-s-transferase involved in vacuolar transfer encoded by the maize gene Bronze-2. Nature 1995, 375, 397–400. [Google Scholar] [CrossRef]
- Arozarena, I.; Ayestarán, B.; Cantalejo, M.; Navarro, M.; Vera, M.; Abril, I.; Casp, A. Anthocyanin composition of Tempranillo, Garnacha and Cabernet Sauvignon grapes from high- and low-quality vineyards over two years. Eur. Food Res. Technol. 2002, 214, 303–309. [Google Scholar] [CrossRef]
- Zhao, T.; Wu, J.; Meng, J.; Shi, P.; Fang, Y.; Zhang, Z.; Sun, X. Harvesting at the right time: Maturity and its effects on the aromatic characteristics of Cabernet Sauvignon wine. Molecules 2019, 24, 16. [Google Scholar] [CrossRef]
- Samoticha, J.; Jara-Palacios, M.J.; Hernández-Hierro, J.M.; Heredia, F.J.; Wojdyło, A. Phenolic compounds and antioxidant activity of twelve grape cultivars measured by chemical and electrochemical methods. Eur. Food Res. Technol. 2018, 244, 1933–1943. [Google Scholar] [CrossRef]
- Jin, Z.-M.; He, J.-J.; Bi, H.-Q.; Cui, X.-Y.; Duan, C.-Q. Phenolic compound profiles in berry skins from nine red wine grape cultivars in Northwest China. Molecules 2009, 14, 4922–4935. [Google Scholar] [CrossRef]
- Xie, S.; Qiao, X.; Chen, H.; Nan, H.; Zhang, Z.-W. Coordinated regulation of grape berry flesh color by transcriptional activators and repressors. J. Agric. Food Chem. 2019, 67, 11815–11824. [Google Scholar] [CrossRef]
- Xie, S.; Song, C.; Wang, X.; Liu, M.; Zhang, Z.; Xi, Z. Tissue-specific expression analysis of anthocyanin biosynthetic genes in white- and red-fleshed grape cultivars. Molecules 2015, 20, 22767–22780. [Google Scholar] [CrossRef]
- Jayaprakasha, G.; Singh, R.; Sakariah, K. Antioxidant activity of grape seed (Vitis vinifera) extracts on peroxidation models in vitro. Food Chem. 2001, 73, 285–290. [Google Scholar] [CrossRef]
- Peinado, J.; de Lerma, N.L.; Moreno, J.; Peinado, R. Antioxidant activity of different phenolics fractions isolated in must from Pedro Ximenez grapes at different stages of the off-vine drying process. Food Chem. 2009, 114, 1050–1055. [Google Scholar] [CrossRef]
- Li, Y.G.; Tanner, G.; Larkin, P. The DMACA-HCl protocol and the threshold pro-anthocyanidin content for bloat safety in forage legumes. J. Sci. Food Agric. 1996, 70, 89–101. [Google Scholar] [CrossRef]
- Meng, J.-F.; Fang, Y.-L.; Qin, M.-Y.; Zhuang, X.-F.; Zhang, Z.-W. Varietal differences among the phenolic profiles and antioxidant properties of four cultivars of spine grape (Vitis davidii Foex) in Chongyi county (China). Food Chem. 2012, 134, 2049–2056. [Google Scholar] [CrossRef]
- Downey, M.O.; Rochfort, S. Simultaneous separation by reversed-phase high-performance liquid chromatography and mass spectral identification of anthocyanins and flavonols in Shiraz grape skin. J. Chromatogr. A 2008, 1201, 43–47. [Google Scholar] [CrossRef] [PubMed]
- Garcia-Beneytez, E.; Cabello, F.; Revilla, E. Analysis of grape and wine anthocyanins by HPLC-MS. J. Agric. Food Chem. 2003, 51, 5622–5629. [Google Scholar] [CrossRef]
- Boido, E.; Garciamarino, M.; Dellacassa, E.; Carrau, F.; Rivasgonzalo, J.C.; Escribano-Bailón, M. Characterisation and evolution of grape polyphenol profiles of Vitis vinifera L. cv. Tannat during ripening and vinification. Aust. J. Grape Wine Res. 2011, 17, 383–393. [Google Scholar] [CrossRef]
- Guan, L.; Dai, Z.; Wu, B.-H.; Wu, J.; Merlin, I.; Hilbert, G.; Renaud, C.; Gomès, E.; Edwards, E.; Li, S.-H.; et al. Anthocyanin biosynthesis is differentially regulated by light in the skin and flesh of white-fleshed and teinturier grape berries. Planta 2016, 243, 23–41. [Google Scholar] [CrossRef]
- Song, K.J.; Echeverria, E.; Lee, H.S. Distribution of sugars and related enzymes in the stem and blossom halves of ’Valencia’ oranges. J. Am. Soc. Hortic. Sci. 1998, 123, 416–420. [Google Scholar] [CrossRef]
- Hubbard, N.L.; Pharr, D.M.; Huber, S.C. Sucrose phosphate synthase and other sucrose metabolizing enzymes in fruits of various species. Physiologia Plantarum 1991. [Google Scholar] [CrossRef]
- Schultz, H.R. Global climate change, sustainability, and some challenges for grape and wine production. J. Wine Eco. 2016, 11, 181–200. [Google Scholar] [CrossRef]
- Niculescu, V.-C.; Paun, N.; Ionete, R.-E. The evolution of polyphenols from grapes to wines. In Grapes and Wines—Advances in Production, Processing, Analysis and Valorization; IntechOpen: London, UK, 2018. [Google Scholar]
- Jaakola, L.; Hohtola, A. Effect of latitude on flavonoid biosynthesis in plants. Plant Cell Environ. 2010, 33, 1239–1247. [Google Scholar] [CrossRef]
- Tian, L.; Pang, Y.; Dixon, R.A. Biosynthesis and genetic engineering of proanthocyanidins and (iso)flavonoids. Phytochem. Rev. 2008, 7, 445–465. [Google Scholar] [CrossRef]
- Zhu, L.; Zhang, Y.; Zhang, W.; Lu, J. Effects of exogenous abscisic acid on phenolic characteristics of red Vitis vinifera grapes and wines. Food Sci. Biotechnol. 2016, 25, 361–370. [Google Scholar] [CrossRef]
- Garaguso, I.; Nardini, M. Polyphenols content, phenolics profile and antioxidant activity of organic red wines produced without sulfur dioxide/sulfites addition in comparison to conventional red wines. Food Chem. 2015, 179, 336–342. [Google Scholar] [CrossRef] [PubMed]
- Rowan, D.D.; Cao, M.; Lin-Wang, K.; Cooney, J.M.; Jensen, D.J.; Austin, P.T.; Hunt, M.B.; Norling, C.; Hellens, R.P.; Schaffer, R.J.; et al. Environmental regulation of leaf colour in red 35S:PAP1 Arabidopsis thaliana. New Phytol. 2009, 182, 102–115. [Google Scholar] [CrossRef] [PubMed]
- Yamane, T.; Jeong, S.T.; Goto-Yamamoto, N.; Koshita, Y.; Kobayashi, S. Effects of temperature on anthocyanin biosynthesis in grape berry skins. Am. J. Enol. Vitic. 2006, 57, 54–59. [Google Scholar]
- Lin-Wang, K.; Micheletti, D.; Palmer, J.; Volz, R.; Lozano, L.; Espley, R.; Hellens, R.P.; Chagnè, D.; Rowan, D.D.; Troggio, M.; et al. High temperature reduces apple fruit colour via modulation of the anthocyanin regulatory complex. Plant Cell Environ. 2011, 34, 1176–1190. [Google Scholar] [CrossRef]
- Liu, Y.; Tikunov, Y.; Schouten, R.E.; Marcelis, L.F.M.; Visser, R.G.F.; Bovy, A. Anthocyanin biosynthesis and degradation mechanisms in solanaceous vegetables: A review. Front. Chem. 2018, 6, 17. [Google Scholar] [CrossRef] [PubMed]
- Movahed, N.; Pastore, C.; Cellini, A.; Allegro, G.; Valentini, G.; Zenoni, S.; Cavallini, E.; D’Incà, E.; Tornielli, G.B.; Filippetti, I. The grapevine VviPrx31 peroxidase as a candidate gene involved in anthocyanin degradation in ripening berries under high temperature. J. Plant Res. 2016, 129, 513–526. [Google Scholar] [CrossRef]
- Dimitrovska, M.; Bocevska, M.; Dimitrovski, D.; Murkovic, M. Anthocyanin composition of Vranec, Cabernet Sauvignon, Merlot and Pinot Noir grapes as indicator of their varietal differentiation. Eur. Food Res. Technol. 2011, 232, 591–600. [Google Scholar] [CrossRef]
- Zhao, Q.; Duan, C.-Q.; Wang, J. Anthocyanins profile of grape berries of Vitis amurensis, its hybrids and their wines. Int. J. Mol. Sci. 2010, 11, 2212–2228. [Google Scholar] [CrossRef] [PubMed]
- Guan, L.; Li, J.-H.; Fan, P.-G.; Chen, S.; Fang, J.-B.; Li, S.-H.; Wu, B.-H. Anthocyanin accumulation in various organs of a teinturier cultivar (Vitis vinifera L.) during the growing season. Am. J. Enol. Vitic. 2012, 63, 177–184. [Google Scholar] [CrossRef]
- Castillo-Munoz, N.; Fernandez-Gonzalez, M.; Gomez-Alonso, S.; Garcia-Romero, E.; Hermosin-Gutierrez, I. Red-color related phenolic composition of Garnacha Tintorera (Vitis vinifera L.) grapes and red wines. J. Agric. Food Chem. 2009, 57, 7883–7891. [Google Scholar] [CrossRef] [PubMed]
- Mattivi, F.; Guzzon, R.; Vrhovsek, U.; Stefanini, A.M.; Velasco, R. Metabolite profiling of grape: Flavonols and anthocyanins. J. Agric. Food Chem. 2006, 54, 7692–7702. [Google Scholar] [CrossRef] [PubMed]
- Wiering, H.; de Vlaming, P. Glycosylation and Methylation Patterns of Anthocyanins in Petunia hybrida. iI. The Genes Mf1 and Mf2; FAO: Quebec, QC, Canada, 1977. [Google Scholar]
- Nakayama, T.; Suzuki, H.; Nishino, T. Anthocyanin acyltransferases: Specificities, mechanism, phylogenetics, and applications. J. Mol. Catal. B Enzym. 2003, 23, 117–132. [Google Scholar] [CrossRef]
- Cheng, J.; Wei, G.; Zhou, H.; Gu, C.; Vimolmangkang, S.; Liao, L.; Han, Y. Unraveling the mechanism underlying the glycosylation and methylation of anthocyanins in peach. Plant Physiol. 2014, 166, 1044–1058. [Google Scholar] [CrossRef]
- Yonekura-Sakakibara, K.; Nakayama, T.; Yamazaki, M.; Saito, K. Modification and Stabilization of Anthocyanins. Anthocyanins: Biosynthesis, Functions, and Applications; Springer: Berlin/Heidelberg, Germany, 2009; pp. 169–190. [Google Scholar]
- Kim, B.G.; Sung, S.H.; Chong, Y.; Lim, Y.; Ahn, J.H. Plant flavonoid O-methyltransferases: Substrate specificity and application. J. Plant Biol. 2010, 53, 321–329. [Google Scholar] [CrossRef]
- Duan, B.; Song, C.; Zhao, Y.; Jiang, Y.; Shi, P.; Meng, J.; Zhang, Z. Dynamic changes in anthocyanin biosynthesis regulation of Cabernet Sauvignon (Vitis vinifera L.) grown during the rainy season under rain-shelter cultivation. Food Chem. 2019, 283, 404–413. [Google Scholar] [CrossRef]







| Period (WAA) | Cabernet Sauvignon | Pinot Noir | Syrah | Yan73 | Dunkelfelder | |||||||||||
|---|---|---|---|---|---|---|---|---|---|---|---|---|---|---|---|---|
| RS | TA | pH | RS | TA | pH | RS | TA | pH | RS | TA | pH | RS | TA | pH | ||
| 2018 | 8 | 35.02 ± 9.90 dC | 24.21 ± 1.90 aA | 2.55 ± 0.03 dB | 54.02 ± 2.83 dB | 21.22 ± 0.05 aB | 2.72 ± 0.05 dA | 69.03 ± 1.41 dA | 20.94 ± 0.00 aBC | 2.69 ± 0.02 eA | 57.03 ± 0.82eB | 25.50 ± 0.17 aA | 2.42 ± 0.00 dC | 38.04 ± 1.05 cC | 23.48 ± 1.12 aAB | 2.51 ± 0.05 dB |
| 10 | 139.56 ± 0.71 cD | 19.00 ± 0.71 bA | 2.87 ± 0.03 cC | 192.08 ± 2.83 cA | 11.41 ± 0.05 bC | 3.28 ± 0.00 cB | 159.07 ± 4.24 cC | 14.14 ± 0.10 bBC | 3.04 ± 0.03 dBC | 160.07 ± 0.82dC | 16.40 ± 0.00 bB | 2.78 ± 0.00 cC | 174.08 ± 2.83 bB | 9.84 ± 0.00 bD | 3.70 ± 0.03 cA | |
| 12 | 176.08 ± 2.83 bD | 12.54 ± 1.83 cA | 3.84 ± 0.00 aB | 185.08 ± 1.41 cC | 8.40 ± 0.10 cC | 3.96 ± 0.04 aA | 224.10 ± 2.83 bA | 10.00 ± 0.05 cB | 3.76 ± 0.02 cBC | 178.08 ± 1.63cD | 9.64 ± 0.03 cB | 3.53 ± 0.05 aC | 210.59 ± 3.54 aB | 7.84 ± 0.13 cCD | 3.96 ± 0.01 aA | |
| 14 | 220.10 ± 2.83 aB | 8.70 ± 0.83 dA | 3.60 ± 0.03 bC | 206.09 ± 11.32 bC | 8.10 ± 0.14 cAB | 3.82 ± 0.04 bB | 240.61 ± 2.12 aA | 8.22 ± 0.05 dA | 4.08 ± 0.03 aA | 228.10 ± 0.00aAB | 7.92 ± 0.08 dAB | 3.42 ± 0.02 bD | 210.59 ± 2.12 aBC | 6.02 ± 0.13 dC | 3.86 ± 0.03 bB | |
| 16 | 223.10 ± 0.00aC | 7.46 ± 0.00 eA | 3.72 ± 0.03 bB | 255.11 ± 1.41 aA | 6.74 ± 0.09 dB | 3.89 ± 0.02 aA | 241.61 ± 0.71 aB | 6.56 ± 0.09 eB | 3.83 ± 0.03 bA | 211.59 ± 2.04bD | 6.56 ± 0.05 eB | 3.83 ± 0.02 bA | 216.10 ± 2.83 aD | 5.70 ± 0.05 dC | 3.85 ± 0.03 bA | |
| 2019 | 8 | 16.47 ± 5.04 dD | 29.79 ± 0.42 aA | 2.58 ± 0.02 dC | 46.02 ± 1.00 eA | 25.88 ± 2.58 bC | 2.71 ± 0.01 cB | 32.01 ± 14.74 eB | 26.71 ± 0.33 aBC | 2.58 ± 0.01 cC | 19.51 ± 0.00eCD | 30.32 ± 0.27 aA | 2.52 ± 0.01 dC | 22.68 ± 4.04 cC | 27.36 ± 0.18 aB | 2.89 ± 0.03 cA |
| 10 | 119.65 ± 3.47 cA | 25.06 ± 0.06 bA | 3.37 ± 0.01 cC | 98.71 ± 4.17 dB | 23.37 ± 0.20 aB | 3.60 ± 0.01 bB | 77.37 ± 2.52 dD | 23.26 ± 0.47 aB | 3.33 ± 0.02 bC | 74.13 ± 2.65dD | 22.51 ± 0.29 bB | 3.24 ± 0.03 cCD | 83.37 ± 0.58 bC | 25.96 ± 0.05 bA | 3.83 ± 0.01 bA | |
| 12 | 177.74 ± 2.52 bA | 12.18 ± 0.38 cB | 3.34 ± 0.01 cB | 136.06 ± 2.65 cD | 7.84 ± 0.05 cD | 3.71 ± 0.01 bA | 142.40 ± 4.04 cCD | 11.42 ± 0.13 bC | 3.36 ± 0.01 bB | 150.00 ± 3.22cC | 14.90 ± 0.05 cA | 3.26 ± 0.01 cC | 167.02 ± 2.00 aB | 10.82 ± 0.18 dC | 3.76 ± 0.01 bA | |
| 14 | 226.30 ± 2.00 aA | 9.98 ± 0.29 dB | 4.04 ± 0.02 bB | 172.74 ± 4.62 bD | 6.24 ± 0.09 dC | 4.41 ± 0.01 aA | 151.73 ± 0.58 bE | 9.78 ± 0.05 cB | 4.18 ± 0.02 aB | 184.25 ± 1.53bC | 11.56 ± 0.09 dA | 3.89 ± 0.01 bC | 211.13 ± 0.58 B | 7.24 ± 0.05 cC | 4.09 ± 0.02 aB | |
| 16 | 230.26 ± 5.13 aB | 6.88 ± 0.04 eA | 4.36 ± 0.02 aAB | 240.42 ± 1.53 aA | 5.62 ± 0.05 dB | 4.62 ± 0.01 aA | 237.42 ± 0.58 aA | 5.76 ± 0.09 dB | 4.13 ± 0.02 aB | 202.02 ± 1.16aD | 5.86 ± 0.05 dB | 4.06 ± 0.01 aC | 219.36 ± 2.31 aC | 5.23 ± 0.00 dC | 4.19 ± 0.01 aB | |
| Cultivars | Period (WAA) | Methylation | Acetylation | Caffeination | Coumarylation | Acylation | |||||
|---|---|---|---|---|---|---|---|---|---|---|---|
| Content (mg/kg) | Proportion (%) | Content (mg/kg) | Proportion | Content (mg/kg) | Proportion | Content (mg/kg) | Proportion | Content (mg/kg) | Proportion | ||
| Cabernet Sauvignon | 8 | 255.91 ± 6.24 | 87.25 | 93.31 ± 2.56 | 31.81 | nd | 0 | 15.57 ± 0.07 | 5.31 | 108.88 ± 3.15 | 37.12 |
| 12 | 11,085.23 ± 269.37 | 88.61 | 4164.79 ± 110.78 | 33.29 | 116.76 ± 2.55 | 0.93 | 1397.69 ± 9.22 | 11.17 | 5679.23 ± 119.83 | 45.40 | |
| 16 | 15,261.50 ± 74.78 | 88.44 | 5415.56 ± 102.35 | 31.38 | nd | 0 | 2062.32 ± 6.39 | 11.95 | 7477.89 ± 164.51 | 43.33 | |
| Pinot Noir | 8 | 271.83 ± 1.71 | 95.04 | nd | 0 | nd | 0 | nd | 0 | nd | 0 |
| 12 | 6553.20 ± 43.25 | 97.83 | nd | 0 | nd | 0 | nd | 0 | nd | 0 | |
| 16 | 7934.72 ± 44.43 | 92.57 | nd | 0 | nd | 0 | nd | 0 | nd | 0 | |
| Syrah | 8 | 29.03 ± 0.46 | 89.47 | 3.96 ± 0.09 | 12.20 | nd | 0 | 5.28 ± 0.14 | 16.28 | 9.24 ± 0.13 | 28.48 |
| 12 | 780.58 ± 19.05 | 90.90 | 194.19 ± 2.89 | 22.61 | 18.81 ± 0.35 | 2.19 | 269.26 ± 6.06 | 31.36 | 482.26 ± 8.05 | 56.16 | |
| 16 | 1003.43 ± 22.08 | 91.73 | 235.23 ± 2.82 | 21.50 | 11.63 ± 0.11 | 1.06 | 332.50 ± 8.38 | 30.39 | 579.36 ± 11.76 | 52.96 | |
| Yan 73 | 8 | 1470.63 ± 12.50 | 89.87 | 287.72 ± 7.80 | 17.58 | nd | 0 | 102.33 ± 1.32 | 6.25 | 390.05 ± 3.55 | 23.84 |
| 12 | 47,396.15 ± 1346.05 | 82.09 | 12,522.05 ± 40.07 | 21.69 | nd | 0 | 5045.41 ± 101.41 | 8.74 | 17,567.46 ± 176.00 | 30.43 | |
| 16 | 81,143.90 ± 1420.02 | 81.69 | 19,201.10 ± 499.23 | 19.33 | 279.13 ± 2.82 | 0.28 | 7232.52118.61 | 7.28 | 26,712.75 ± 323.22 | 26.89 | |
| Dunkelfelder | 8 | 1280.15 ± 4.99 | 86.57 | 359.76 ± 1.26 | 24.33 | 16.39 ± 0.31 | 1.11 | 328.11 ± 6.20 | 22.19 | 704.26 ± 19.44 | 47.62 |
| 12 | 38,467.77 ± 411.61 | 87.01 | 6506.72 ± 35.14 | 14.72 | 276.10 ± 4.50 | 0.62 | 6573.00 ± 137.38 | 14.87 | 13,355.82 ± 280.47 | 30.21 | |
| 16 | 60,868.71 ± 499.12 | 84.40 | 9498.26 ± 210.86 | 13.17 | 367.66 ± 4.01 | 0.51 | 8279.74 ± 248.39 | 11.48 | 18,145.66 ± 68.95 | 25.16 | |
Publisher’s Note: MDPI stays neutral with regard to jurisdictional claims in published maps and institutional affiliations. |
© 2021 by the authors. Licensee MDPI, Basel, Switzerland. This article is an open access article distributed under the terms and conditions of the Creative Commons Attribution (CC BY) license (https://creativecommons.org/licenses/by/4.0/).
Share and Cite
Tian, M.-B.; Yuan, L.; Zheng, M.-Y.; Xi, Z.-M. Differences in Anthocyanin Accumulation Profiles between Teinturier and Non-Teinturier Cultivars during Ripening. Foods 2021, 10, 1073. https://doi.org/10.3390/foods10051073
Tian M-B, Yuan L, Zheng M-Y, Xi Z-M. Differences in Anthocyanin Accumulation Profiles between Teinturier and Non-Teinturier Cultivars during Ripening. Foods. 2021; 10(5):1073. https://doi.org/10.3390/foods10051073
Chicago/Turabian StyleTian, Meng-Bo, Lin Yuan, Ming-Yuan Zheng, and Zhu-Mei Xi. 2021. "Differences in Anthocyanin Accumulation Profiles between Teinturier and Non-Teinturier Cultivars during Ripening" Foods 10, no. 5: 1073. https://doi.org/10.3390/foods10051073
APA StyleTian, M.-B., Yuan, L., Zheng, M.-Y., & Xi, Z.-M. (2021). Differences in Anthocyanin Accumulation Profiles between Teinturier and Non-Teinturier Cultivars during Ripening. Foods, 10(5), 1073. https://doi.org/10.3390/foods10051073
