A Rational Approach for the Production of Highly Soluble and Functional Sunflower Protein Hydrolysates
Abstract
1. Introduction
2. Materials and Methods
2.1. Materials and Chemicals
2.2. Production of Sunflower Protein Isolate (SPI)
2.3. Enzymatic Proteolysis of Sunflower Protein Isolate
2.4. Study of the Hydrolysis Reaction Stop
2.5. Analytical Methods
2.5.1. Kjeldahl Method
2.5.2. Hydrolysate Characterization by Size-Exclusion Chromatography
2.5.3. Techno-Functional Properties
Solubility
Foaming Capacity and Foaming Stability
Emulsifying Capacity and Emulsion Stability
2.6. Statistical Analysis
3. Results
3.1. Solubility and Functional Properties of Sunflower Protein Isolate
3.2. Enzymatic Proteolysis of Sunflower Protein Isolate
3.2.1. Protease and Reaction Stop Conditions Selection
3.2.2. Elucidation of Sunflower Protein Isolate Proteolysis Mechanism with Alcalase and Prolyve
3.2.3. Rational Choice of Operating Conditions and Degree of Hydrolysis (DH)
3.3. SPI Hydrolysate Properties
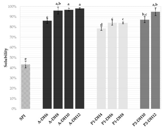
3.3.1. Solubility
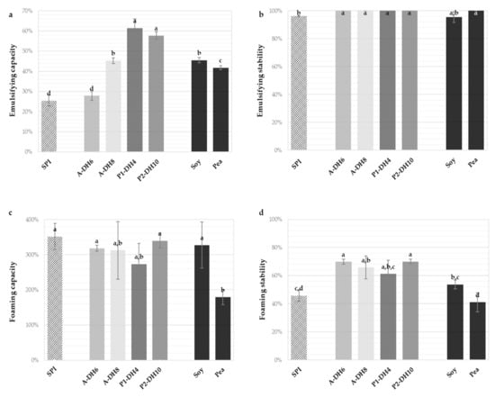
3.3.2. Techno-Functional Properties
3.3.3. Characterization of hydrolysis parameters of hydrolysates
4. Conclusions
Supplementary Materials
Author Contributions
Funding
Institutional Review Board Statement
Informed Consent Statement
Data Availability Statement
Acknowledgments
Conflicts of Interest
References
- González-Pérez, S.; Vereijken, J.M. Sunflower proteins: Overview of their physicochemical, structural and functional properties. J. Sci. Food Agric. 2007, 87, 2173–2191. [Google Scholar] [CrossRef]
- Gueguen, J.; Walrand, S.; Bourgeois, O. Les protéines végétales: Contexte et potentiels en alimentation humaine. Cah. Nutr. Diet. 2016, 51, 177–185. [Google Scholar] [CrossRef]
- Wildermuth, S.R.; Young, E.E.; Were, L.M. Chlorogenic acid oxidation and its reaction with sunflower proteins to form green-colored complexes. Compr. Rev. Food Sci. Food Saf. 2016, 15, 829–843. [Google Scholar] [CrossRef] [PubMed]
- World Health Organization; United Nations University. Protein and Amino Acid Requirements in Human Nutrition; World Health Organization: Geneva, Switzerland, 2007; Volume 935. [Google Scholar]
- Pickardt, C.; Eisner, P.; Kammerer, D.R.; Carle, R. Pilot plant preparation of light-coloured protein isolates from de-oiled sunflower (Helianthus annuus L.) press cake by mild-acidic protein extraction and polyphenol adsorption. Food Hydrocoll. 2015, 44, 208–219. [Google Scholar] [CrossRef]
- González-Pérez, S.; Vereijken, J.M.; Merck, K.B.; van Koningsveld, G.A.; Gruppen, H.; Voragen, A.G. Conformational states of sunflower (Helianthus annuus) helianthinin: Effect of heat and pH. J. Agric. Food Chem. 2004, 52, 6770–6778. [Google Scholar] [CrossRef] [PubMed]
- Pickardt, C.; Neidhart, S.; Griesbach, C.; Dube, M.; Knauf, U.; Kammerer, D.R.; Carle, R. Optimisation of mild-acidic protein extraction from defatted sunflower (Helianthus annuus L.) meal. Food Hydrocoll. 2009, 23, 1966–1973. [Google Scholar] [CrossRef]
- Ivanova, P.; Chalova, V.; Koleva, L.; Pishtiyski, I.; Perifanova-Nemska, M. Optimization of protein extraction from sunflower meal produced in Bulgaria. Bulg. J. Agric. Sci. 2012, 18, 153–160. [Google Scholar]
- Aider, M.; Barbana, C. Canola proteins: Composition, extraction, functional properties, bioactivity, applications as a food ingredient and allergenicity–a practical and critical review. Trends Food Sci. Technol. 2011, 22, 21–39. [Google Scholar] [CrossRef]
- Albe-Slabi, S.A.; Mathe, C.; Basselin, M.; Framboisier, X.; Ndiaye, M.; Galet, O.; Kapel, R. Multi-objective optimization of solid/liquid extraction of total sunflower proteins from cold press meal. Food Chem. 2020, 317, 126423. [Google Scholar] [CrossRef]
- Chobert, J.M.; Briand, L.; Guéguen, J.; Popineau, Y.; Larré, C.; Haertlé, T. Recent advances in enzymatic modifications of food proteins for improving their functional properties. Food Nahr. 1996, 40, 177–182. [Google Scholar] [CrossRef]
- Adler-Nissen, J. Enzymic hydrolysis of proteins for increased solubility. J. Agric. Food Chem. 1976, 24, 1090–1093. [Google Scholar] [CrossRef]
- Beaubier, S.; Framboisier, X.; Ioannou, I.; Galet, O.; Kapel, R. Simultaneous quantification of the degree of hydrolysis, protein conversion rate and mean molar weight of peptides released in the course of enzymatic proteolysis. J. Chromatogr. B 2019, 1105, 1–9. [Google Scholar] [CrossRef]
- Adler-Nissen, J. Enzymic Hydrolysis of Food Proteins; Elsevier Applied Science Publishers: London, UK, 1986. [Google Scholar]
- Panyam, D.; Kilara, A. Enhancing the functionality of food proteins by enzymatic modification. Trends Food Sci. Technol. 1996, 7, 120–125. [Google Scholar] [CrossRef]
- Vioque, J.; Sánchez-Vioque, R.; Clemente, A.; Pedroche, J.; Millán, F. Partially hydrolyzed rapeseed protein isolates with improved functional properties. J. Am. Oil Chem. Soc. 2000, 77, 447–450. [Google Scholar] [CrossRef]
- Moure, A.; Sineiro, J.; Domínguez, H.; Parajó, J.C. Functionality of oilseed protein products: A review. Food Res. Int. 2006, 39, 945–963. [Google Scholar] [CrossRef]
- Mahmoud, M.I. Physicochemical and functional properties of protein hydrolysates in nutritional products. Food Technol. 1994, 48, 89–95. [Google Scholar]
- Karayannidou, A.; Makri, E.; Papalamprou, E.; Doxastakis, G.; Vaintraub, I.; Lapteva, N.; Articov, G. Limited proteolysis as a tool for the improvement of the functionality of sunflower (Helianthus annus L.) protein isolates produced by seeds or industrial by-products (solvent cake). Food Chem. 2007, 104, 1728–1733. [Google Scholar] [CrossRef]
- Leni, G.; Soetemans, L.; Caligiani, A.; Sforza, S.; Bastiaens, L. Degree of hydrolysis affects the techno-functional properties of lesser mealworm protein hydrolysates. Foods 2020, 9, 381. [Google Scholar] [CrossRef]
- Linderstrom-Lang, K. The initial phases of the enzymatic degradation of proteins. Bull. Soc. Chim. Biol. 1953, 35, 100–116. [Google Scholar]
- AOAC. Method 991.20. Protein (crude) in animal feed. In Official Methods of Analysis of the Association of Official Analytical Chemists, 19th ed.; Association of Official Analytical Chemists: Washington, DC, USA, 1995. [Google Scholar]
- Bodin, A.; Framboisier, X.; Alonso, D.; Marc, I.; Kapel, R. Size-exclusion HPLC as a sensitive and calibrationless method for complex peptide mixtures quantification. J. Chromatogr. B 2015, 1006, 71–79. [Google Scholar] [CrossRef]
- Chabanon, G.; Chevalot, I.; Framboisier, X.; Chenu, S.; Marc, I. Hydrolysis of rapeseed protein isolates: Kinetics, characterization and functional properties of hydrolysates. Process. Biochem. 2007, 42, 1419–1428. [Google Scholar] [CrossRef]
- Walters, M.E.; Esfandi, R.; Tsopmo, A. Potential of food hydrolyzed proteins and peptides to chelate iron or calcium and enhance their absorption. Foods 2018, 7, 172. [Google Scholar] [CrossRef]
- Vorobèv, M.M.; Paskonova, E.A.; Vitt, S.V.; Belikov, V.M. Kinetic description of proteolysis Part 2. Substrate regulation of peptide bond demasking and hydrolysis. Liquid chromatography of hydrolyzates. Food Nahr. 1986, 30, 995–1001. [Google Scholar] [CrossRef]
- Butre, C.I.; Sforza, S.; Wierenga, P.A.; Gruppen, H. Determination of the influence of the pH of hydrolysis on enzyme selectivity of Bacillus licheniformis protease towards whey protein isolate. Int. Dairy J. 2015, 44, 44–53. [Google Scholar] [CrossRef]
- Conde, J.M.; del Mar Yust Escobar, M.; Pedroche Jiménez, J.J.; Rodríguez, F.M.; Rodríguez Patino, J.M. Effect of enzymatic treatment of extracted sunflower proteins on solubility, amino acid composition, and surface activity. J. Agric. Food Chem. 2005, 53, 8038–8045. [Google Scholar] [CrossRef]
- Ren, J.; Song, C.; Wang, P.; Li, S.; Kopparapu, N.; Zheng, X. Modification of structural and functional properties of sunflower 11S globulin hydrolysates. Czech. J. Food Sci. 2015, 33, 474–479. [Google Scholar] [CrossRef]
- Villanueva, A.; Vioque, J.; Sánchez-Vioque, R.; Clemente, A.; Pedroche, J.; Bautista, J.; Millán, F. Peptide characteristics of sunflower protein hydrolysates. J. Am. Oil Chem. Soc. 1999, 76, 1455–1460. [Google Scholar] [CrossRef]
- Zhao, G.; Liu, Y.; Zhao, M.; Ren, J.; Yang, B. Enzymatic hydrolysis and their effects on conformational and functional properties of peanut protein isolate. Food Chem. 2011, 127, 1438–1443. [Google Scholar] [CrossRef]
- Avramenko, N.A.; Low, N.H.; Nickerson, M.T. The effects of limited enzymatic hydrolysis on the physicochemical and emulsifying properties of a lentil protein isolate. Food Res. Int. 2013, 51, 162–169. [Google Scholar] [CrossRef]
- Molina Ortiz, S.E.; Cristina An, M. Analysis of products, mechanisms of reaction, and some functional properties of soy protein hydrolysates. J. Am. Oil Chem. Soc. 2000, 77, 1293–1301. [Google Scholar] [CrossRef]
- Pedroche, J.; Yust, M.M.; Lqari, H.; Girón-Calle, J.; Alaiz, M.; Vioque, J.; Millán, F. Brassica carinata protein isolates: Chemical composition, protein characterization and improvement of functional properties by protein hydrolysis. Food Chem. 2004, 88, 337–346. [Google Scholar] [CrossRef]
- Pérez, S.G.; Vereijken, J.M.; Van Koningsveld, G.A.; Gruppen, H.; Voragen, A.G. Physicochemical properties of 2S albumins and the corresponding protein isolate from sunflower (Helianthus annuus). J. Food Sci. 2005, 70, C98–C103. [Google Scholar] [CrossRef]
- Beaubier, S.; Framboisier, X.; Fournier, F.; Galet, O.; Kapel, R. A new approach for modelling and optimizing batch enzymatic proteolysis. Chem. Eng. J. 2021, 405, 126871. [Google Scholar] [CrossRef]





| Enzyme | pH | E/S Ratio (g Enzyme/g Substrate) | T (°C) | ||||
|---|---|---|---|---|---|---|---|
| Alcalase (2.4 L) | 7 | 8 | 9 | 1/10 | 1/50 | 1/100 | 50 |
| Prolyve (PAC 30 L) | 2.5 | 3 | 4 | ||||
Publisher’s Note: MDPI stays neutral with regard to jurisdictional claims in published maps and institutional affiliations. |
© 2021 by the authors. Licensee MDPI, Basel, Switzerland. This article is an open access article distributed under the terms and conditions of the Creative Commons Attribution (CC BY) license (http://creativecommons.org/licenses/by/4.0/).
Share and Cite
Beaubier, S.; Albe-Slabi, S.; Aymes, A.; Bianeis, M.; Galet, O.; Kapel, R. A Rational Approach for the Production of Highly Soluble and Functional Sunflower Protein Hydrolysates. Foods 2021, 10, 664. https://doi.org/10.3390/foods10030664
Beaubier S, Albe-Slabi S, Aymes A, Bianeis M, Galet O, Kapel R. A Rational Approach for the Production of Highly Soluble and Functional Sunflower Protein Hydrolysates. Foods. 2021; 10(3):664. https://doi.org/10.3390/foods10030664
Chicago/Turabian StyleBeaubier, Sophie, Sara Albe-Slabi, Arnaud Aymes, Marine Bianeis, Olivier Galet, and Romain Kapel. 2021. "A Rational Approach for the Production of Highly Soluble and Functional Sunflower Protein Hydrolysates" Foods 10, no. 3: 664. https://doi.org/10.3390/foods10030664
APA StyleBeaubier, S., Albe-Slabi, S., Aymes, A., Bianeis, M., Galet, O., & Kapel, R. (2021). A Rational Approach for the Production of Highly Soluble and Functional Sunflower Protein Hydrolysates. Foods, 10(3), 664. https://doi.org/10.3390/foods10030664

