Antioxidant Effect and Sensory Evaluation of Yogurt Supplemented with Hydroponic Ginseng Root Extract
Abstract
1. Introduction
2. Materials and Methods
2.1. Materials
2.2. Ginseng Extract Preparation
2.3. Yogurt Preparation
2.4. Physicochemical Properties
2.5. Antioxidant Activity
2.5.1. Sample Preparation
2.5.2. Radical Scavenging Activity
2.5.3. Reducing Power Assay
2.5.4. Ferric Reducing Antioxidant Power (FRAP) Assay
2.6. Sensory Analysis
2.7. Statistical Analysis
3. Results
3.1. Antioxidant Activity of Ethanol-Extracted Ginseng Extracts
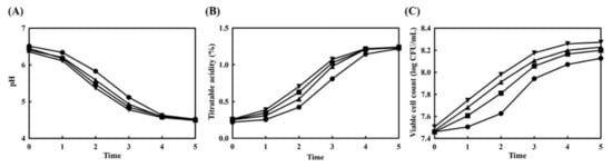
3.2. Physicochemical and Microbial Properties of Yogurt
3.3. Antioxidant Results of Ginseng Extract-Fortified Yogurts
3.4. Sensory Evaluation
4. Discussion
5. Conclusions
Author Contributions
Funding
Institutional Review Board Statement
Informed Consent Statement
Data Availability Statement
Conflicts of Interest
References
- Swensson, C.; Smedman, A.; Henriksson, M.; Lindmark-Månsson, H.; Edman, A.-K.M. Protein efficiency in intensive dairy production: A Swedish example. J. Sci. Food Agric. 2017, 97, 4890–4897. [Google Scholar] [CrossRef]
- Biller, J.D.; Takahashi, L.S. Oxidative stress and fish immune system: Phagocytosis and leukocyte respiratory burst activity. An. Acad. Bras. Ciências 2018, 90, 3403–3414. [Google Scholar] [CrossRef]
- Bury, S.; Cichoń, M.; Bauchinger, U.; Sadowska, E.T. High oxidative stress despite low energy metabolism and vice versa: Insights through temperature acclimation in an ectotherm. J. Therm. Biol. 2018, 78, 36–41. [Google Scholar] [CrossRef] [PubMed]
- Apel, K.; Hirt, H. Reactive oxygen species: Metabolism, oxidative stress, and signal transduction. Annu. Rev. Plant Biol. 2004, 55, 373–399. [Google Scholar] [CrossRef]
- Hilario, M.C.; Puga, C.D.; Ocana, A.N.; Romo, F.P.G. Antioxidant activity, bioactive polyphenols in Mexican goats’ milk cheeses on summer grazing. J. Dairy Res. 2010, 77, 20–26. [Google Scholar] [CrossRef]
- Branciari, R.; Ranucci, D.; Marinucci, M.T.; Codini, M.; Orru, M.; Ortenzi, R.; Forte, C.; Ceccarini, M.R.; Valiani, A. Evaluation of the antioxidant properties and oxidative stability of Pecorino cheese made from the raw milk of ewes fed Rosmarinus officinalis L. leaves. Int. J. Food Sci. Technol. 2015, 50, 558–565. [Google Scholar] [CrossRef]
- Park, H.; Lee, M.; Kim, K.-T.; Park, E.; Paik, H.-D. Antioxidant and antigenotoxic effect of dairy products supplemented with red ginseng extract. J. Dairy Sci. 2018, 101, 8702–8710. [Google Scholar] [CrossRef]
- Lee, N.-K.; Jeewanthi, R.; Park, E.-H.; Paik, H.-D. Short communication: Physicochemical and antioxidant properties of Cheddar-type cheese fortified with Inula britannica extract. J. Dairy Sci. 2016, 99, 83–88. [Google Scholar] [CrossRef] [PubMed]
- Jung, N.P.; Jin, S.H. Studies on the physiological and biochemical effects of Korean ginseng. J. Ginseng Res. 1996, 20, 431–471. [Google Scholar]
- Kim, Y.-J.; Joo, S.C.; Shi, J.; Hu, C.; Quan, S.; Hu, J.; Sukweenadhi, J.; Mohanan, P.; Yang, D.-C.; Zhang, D. Metabolic dynamics and physiological adaptation of Panax ginseng during development. Plant Cell Rep. 2017, 37, 393–410. [Google Scholar] [CrossRef] [PubMed]
- Doumbou, C.; Salove, M.H.; Crawford, D.; Beaulieu, C. Actinomycetes, promising tools to control plant diseases and to promote plant growth. Phytoprotection 2001, 82, 85–102. [Google Scholar] [CrossRef]
- Noh, H.H.; Lee, J.Y.; Park, H.K.; Jeong, H.R.; Lee, J.W.; Jin, M.J.; Choi, H.; Yun, S.S.; Kyung, K.S. Monitoring and Safety Assessment of Pesticide Residues in Ginseng (Panax ginseng C.A. Meyer) from Traditional Markets. Korean J. Pestic. Sci. 2016, 20, 23–29. [Google Scholar] [CrossRef]
- Ministry of Agriculture, Food and Rural Affairs, 2016 Ginseng Statistics Report. Available online: http://www.mafra.go.kr/bbs/mafra/131/190029/download.do (accessed on 7 September 2017).
- Kim, K.-T.; Hwang, J.E.; Eum, S.J.; Paik, H.-D. Physiochemical Analysis, Antioxidant Effects, and Sensory Characteristics of Quark Cheese Supplemented with Ginseng Extract. Food Sci. Anim. Resour. 2019, 39, 324–331. [Google Scholar] [CrossRef] [PubMed]
- Yu, H.-S.; Lee, N.-K.; Choi, A.-J.; Choe, J.-S.; Bae, C.H.; Paik, H.-D. Antagonistic and antioxidant effect of probiotic Weissella cibaria JW15. Food Sci. Biotechnol. 2019, 28, 851–855. [Google Scholar] [CrossRef]
- Jang, Y.; Koh, E. Antioxidant content and activity in leaves and petioles of six sweet potato (Ipomoea batatas L.) and antioxidant properties of blanched leaves. Food Sci. Biotechnol. 2019, 28, 337–345. [Google Scholar] [CrossRef]
- Eom, S.J.; Hwang, J.E.; Kim, K.-T.; Paik, H.-D. Increased antioxidative and nitric oxide scavenging activity of ginseng marc fermented by Pediococcus acidilactici KCCM11614P. Food Sci. Biotechnol. 2017, 27, 185–191. [Google Scholar] [CrossRef] [PubMed]
- Eom, S.J.; Hwang, J.E.; Kim, K.-T.; Paik, H.-D. Antibacterial Effects against Various Foodborne Pathogens and Sensory Properties of Yogurt Supplemented with Panax ginseng Marc Extract. Food Sci. Anim. Resour. 2017, 37, 787–791. [Google Scholar] [CrossRef]
- Ng, M.; Lawlor, J.; Chandra, S.; Chaya, C.; Hewson, L.; Hort, J. Using quantitative descriptive analysis and temporal dominance of sensations analysis as complementary methods for profiling commercial blackcurrant squashes. Food Qual. Prefer. 2012, 25, 121–134. [Google Scholar] [CrossRef]
- Hwang, J.E.; Suh, D.H.; Kim, K.-T.; Paik, H.-D. Comparative study on anti-oxidative and anti-inflammatory properties of hydroponic ginseng and soil-cultured ginseng. Food Sci. Biotechnol. 2018, 28, 215–224. [Google Scholar] [CrossRef]
- Lee, J.Y.; Yang, H.; Lee, T.K.; Lee, C.H.; Seo, J.W.; Kim, J.-E.; Kim, S.Y.; Park, J.H.Y.; Lee, K.W. A short-term, hydroponic-culture of ginseng results in a significant increase in the anti-oxidative activity and bioactive components. Food Sci. Biotechnol. 2020, 29, 1007–1012. [Google Scholar] [CrossRef]
- Ratan, Z.A.; Haidere, M.F.; Hong, Y.H.; Park, S.H.; Lee, J.-O.; Lee, J.; Cho, J.Y. Pharmacological potential of ginseng and its major component ginsenosides. J. Ginseng Res. 2020. [Google Scholar] [CrossRef]
- Choi, S.-Y.; Cho, C.-W.; Lee, Y.-M.; Kim, S.-S.; Lee, S.-H.; Kim, K.-T. Comparison of Ginsenoside and Phenolic Ingredient Contents in Hydroponically-cultivated Ginseng Leaves, Fruits, and Roots. J. Ginseng Res. 2012, 36, 425–429. [Google Scholar] [CrossRef]
- Jang, H.J.; Jung, J.; Yu, H.S.; Lee, N.-K.; Paik, H.-D. Evaluation of the Quality of Yogurt Using Ginseng Extract Powder and Probiotic Lactobacillus plantarum NK181. Food Sci. Anim. Resour. 2018, 38, 1160–1167. [Google Scholar] [CrossRef]
- Liu, H.; Lu, X.; Hu, Y.; Fan, X. Chemical constituents of Panax ginseng and Panax notoginseng explain why they differ in therapeutic efficacy. Pharmacol. Res. 2020, 161, 105263. [Google Scholar] [CrossRef] [PubMed]
- Citta, A.; Folda, A.; Scalcon, V.; Scutari, G.; Bindoli, A.; Bellamio, M.; Feller, E.; Rigobello, M.P. Oxidative changes in lipids, proteins, and antioxidants in yogurt during the shelf life. Food Sci. Nutr. 2017, 5, 1079–1087. [Google Scholar] [CrossRef] [PubMed]
- Dziuba, B.; Dziuba, M. Milk proteins-derived bioactive peptides in dairy products: Molecular, biological and methodological aspects. Acta Sci. Pol. Technol. Aliment. 2014, 13, 5–26. [Google Scholar] [CrossRef] [PubMed]
- Alenisan, M.A.; Alqattan, H.H.; Tolbah, L.S.; Shori, A.B. Antioxidant properties of dairy products fortified with natural additives: A review. J. Assoc. Arab. Univ. Basic Appl. Sci. 2017, 24, 101–106. [Google Scholar] [CrossRef]
- Hwang, J.E.; Kim, K.-T.; Paik, H.-D. Improved Antioxidant, Anti-inflammatory, and Anti-adipogenic Properties of Hydroponic Ginseng Fermented by Leuconostoc mesenteroides KCCM 12010P. Molecules 2019, 24, 3359. [Google Scholar] [CrossRef] [PubMed]
- Sohn, S.-H.; Kim, S.-K.; Kim, Y.-O.; Kim, H.-D.; Shin, Y.-S.; Yang, S.-O.; Kim, S.-Y.; Lee, S.-W. A comparison of antioxidant activity of Korean White and Red Ginsengs on H2O2-induced oxidative stress in HepG2 hepatoma cells. J. Ginseng Res. 2013, 37, 442–450. [Google Scholar] [CrossRef]
- Yang, Y.; Ren, C.; Zhang, Y.; Wu, X. Ginseng: An Nonnegligible Natural Remedy for Healthy Aging. Aging Dis. 2017, 8, 708–720. [Google Scholar] [CrossRef]
- Park, S.K.; Hyun, S.H.; In, G.; Park, C.-K.; Kwak, Y.-S.; Jang, Y.-J.; Kim, B.; Kim, J.-H.; Han, C.-K. The antioxidant activities of Korean Red Ginseng (Panax ginseng) and ginsenosides: A systemic review through in vivo and clinical trials. J. Ginseng Res. 2021, 45, 41–47. [Google Scholar] [CrossRef] [PubMed]
- Jeong, Y.-J.; Hwang, M.-J.; Hong, C.-O.; Yoo, D.-S.; Kim, J.S.; Kim, D.-Y.; Lee, K.-W. Anti-hyperglycemic and hypolipidemic effects of black ginseng extract containing increased Rh4, Rg5, and Rk1 content in muscle and liver of type 2 diabetic db/db mice. Food Sci. Biotechnol. 2020, 29, 1–12. [Google Scholar] [CrossRef] [PubMed]
- Choi, K.-H.; Min, J.-Y.; Ganesan, P.; Bae, I.-H.; Kwak, H.-S. Physicochemical and Sensory Properties of Red Ginseng Extracts or Red Ginseng Hydrolyzates-added Asiago Cheese during Ripening. Asian-Australasian J. Anim. Sci. 2015, 28, 120–126. [Google Scholar] [CrossRef] [PubMed]
- Tamamoto, L.C.; Schmidt, S.J.; Lee, S.-Y. Sensory Properties of Ginseng Solutions Modified by Masking Agents. J. Food Sci. 2010, 75, S341–S347. [Google Scholar] [CrossRef] [PubMed]



| Sample Type (1) | Nutritional Composition (%) | Light Value (2) | ||||||
|---|---|---|---|---|---|---|---|---|
| Fat | Protein | Lactose | Total Solid | Ash | L* | A* | B* | |
| C | 3.32 ± 0.15 | 4.15 ± 0.21 c | 7.28 ± 0.71 | 14.71 ± 0.27 c | 0.76 ± 0.02 b | 93.96 ± 0.26 a | −2.92 ± 0.06 d | 5.91 ± 0.23 d |
| SG | 3.45 ± 0.10 | 4.03 ± 0.21 c | 7.30 ± 0.14 | 15.72 ± 0.20 b | 0.77 ± 0.01 b | 92.82 ± 0.32 b | −2.67 ± 0.03 b | 8.62 ± 0.41 c |
| HG 0.5 | 3.43 ± 0.16 | 4.72 ± 0.15 b | 7.33 ± 0.19 | 15.42 ± 0.12 b | 0.84 ± 0.01 a | 92.48 ± 0.26 b | −2.82 ± 0.02 c | 9.07 ± 0.23 b |
| HG 1.0 | 3.50 ± 0.14 | 5.30 ± 0.38 a | 7.33 ± 0.10 | 16.39 ± 0.28 a | 0.87 ± 0.03 a | 90.99 ± 0.73 c | −2.30 ± 0.10 a | 11.11 ± 0.33 a |
| Items | Hydroponic Ginseng Extract Concentration Added | |||
|---|---|---|---|---|
| Control | 0.1% | 0.5% | 1.0% | |
| Color | 5.58 ± 2.89 b,(1) | 5.96 ± 1.40 a,b | 6.03 ± 0.89 a | 4.88 ± 0.95 c |
| Texture | 4.79 ± 1.17 a | 4.68 ± 1.27 a,b | 4.65 ± 1.23 a,b | 4.27 ± 1.19 b |
| Flavor | 5.04 ± 1.11 a | 4.93 ± 0.95 a,b | 4.92 ± 1.10 a,b | 4.50 ± 1.03 b |
| Taste | 5.38 ± 1.17 a | 5.04 ± 1.61 b | 4.96 ± 1.04 b | 3.88 ± 1.21 c |
| Overall acceptance | 5.54 ± 0.99 a | 4.15 ± 1.05 b | 5.04 ± 1.04 a | 3.54 ± 1.33 c |
Publisher’s Note: MDPI stays neutral with regard to jurisdictional claims in published maps and institutional affiliations. |
© 2021 by the authors. Licensee MDPI, Basel, Switzerland. This article is an open access article distributed under the terms and conditions of the Creative Commons Attribution (CC BY) license (http://creativecommons.org/licenses/by/4.0/).
Share and Cite
Lee, H.S.; Song, M.W.; Kim, K.-T.; Hong, W.-S.; Paik, H.-D. Antioxidant Effect and Sensory Evaluation of Yogurt Supplemented with Hydroponic Ginseng Root Extract. Foods 2021, 10, 639. https://doi.org/10.3390/foods10030639
Lee HS, Song MW, Kim K-T, Hong W-S, Paik H-D. Antioxidant Effect and Sensory Evaluation of Yogurt Supplemented with Hydroponic Ginseng Root Extract. Foods. 2021; 10(3):639. https://doi.org/10.3390/foods10030639
Chicago/Turabian StyleLee, Hyun Sook, Myung Wook Song, Kee-Tae Kim, Wan-Soo Hong, and Hyun-Dong Paik. 2021. "Antioxidant Effect and Sensory Evaluation of Yogurt Supplemented with Hydroponic Ginseng Root Extract" Foods 10, no. 3: 639. https://doi.org/10.3390/foods10030639
APA StyleLee, H. S., Song, M. W., Kim, K.-T., Hong, W.-S., & Paik, H.-D. (2021). Antioxidant Effect and Sensory Evaluation of Yogurt Supplemented with Hydroponic Ginseng Root Extract. Foods, 10(3), 639. https://doi.org/10.3390/foods10030639

