Alternative Methods for Measuring the Susceptibility of White Wines to Pinking Alteration: Derivative Spectroscopy and CIEL*a*b* Colour Analysis
Abstract
1. Introduction
2. Material and Methods
2.1. Wine Sample Selection
2.2. Measurament of the Pinking Susceptibility of White Wines
2.3. Accelerated Pinking Test
2.4. Quantification of the Pinking Susceptibility
2.5. Derivative Spectroscopy
2.6. CIELab Colour Measurement
2.7. Determination of the Colour Threshold for Pinking Perception
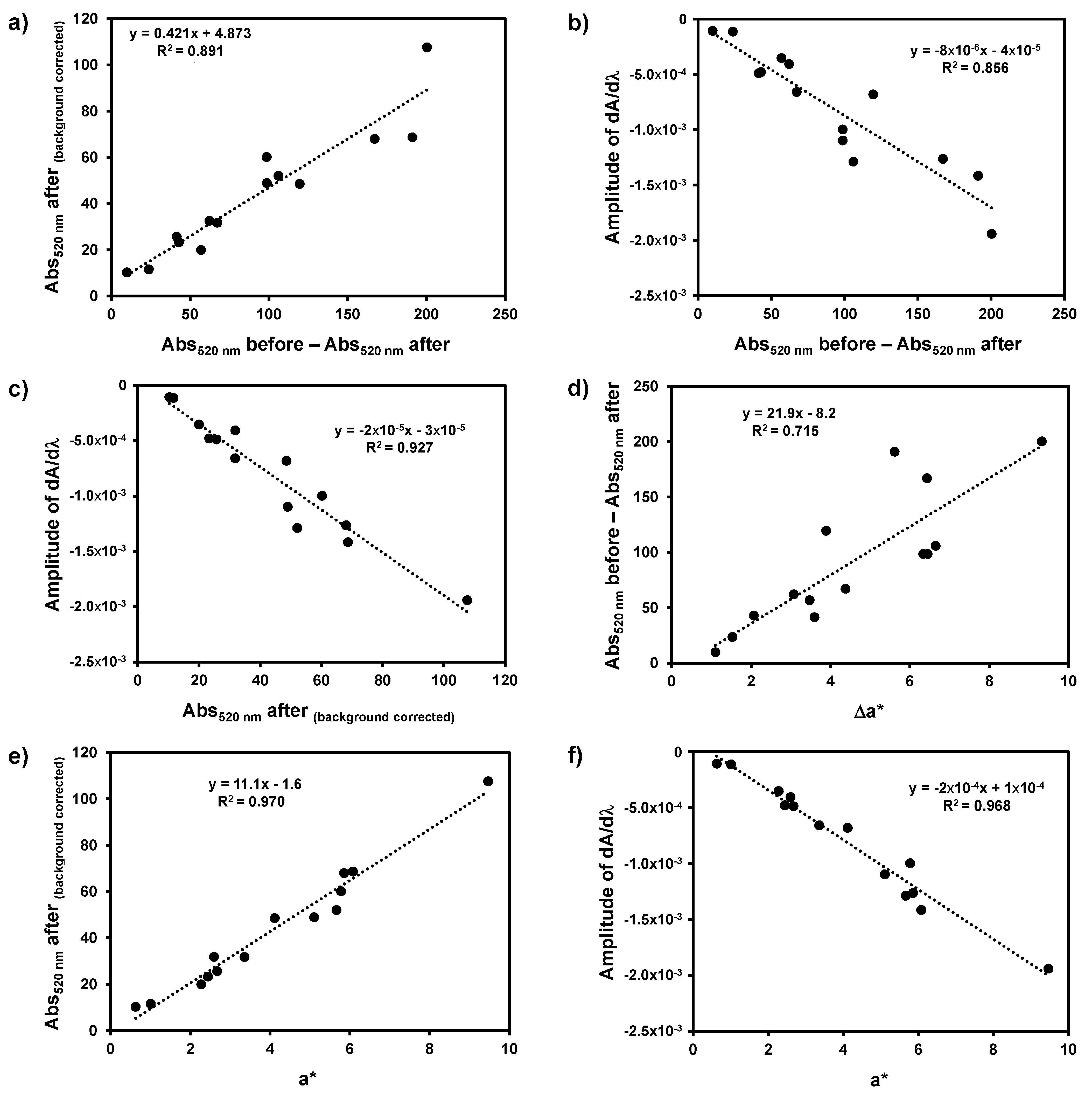
3. Results
3.1. Pinking Susceptibility Calculation Method Comparison
3.2. Absorption Species in Wines after Forced Oxidation: Second Derivative Spectra
3.3. Perception Threshold for Pink Colouration
3.4. Evaluation of a Rapid Method for Measuring the Pinking Susceptibility of White Wines
4. Discussion
5. Conclusions
Supplementary Materials
Author Contributions
Funding
Institutional Review Board Statement
Informed Consent Statement
Data Availability Statement
Conflicts of Interest
References
- Mattivi, F.; Rottensteiner, H.; Nicolini, G.; Bisconti, R. Metodo rapido per la determinazione del colore dei prodotti enologici. In Atti Colorimetria; atti dei convegni del 2001 e 2002; Raggi, A., Oleari, C., Eds.; SIOF Società Italiana di Ottica e Fotonica: Firenze, Italy, 2002; pp. 33–47. [Google Scholar]
- Morrot, G.; Brochet, F.; Dubourdieu, D. The color of odors. Brain Lang. 2001, 79, 309–320. [Google Scholar] [CrossRef]
- Simpson, R.F. Factors affecting oxidative browning of white wine. Vitis 1982, 21, 233–239. [Google Scholar] [CrossRef]
- Gomez, E.; Martínez, A.; Laencina, J. Prevention of oxidative browning during wine storage. Food Res. Int. 1995, 28, 213–217. [Google Scholar] [CrossRef]
- Márquez, T.; Millán, C.; Souquet, J.M.; Salmon, J.M. Effect of different yeast strains and their culture conditions on the prevention of wine model solution browning by yeast lees. J. Agric. Food Chem. 2009, 57, 3771–3779. [Google Scholar] [CrossRef] [PubMed]
- Ma, L.; Waterhouse, A.L. Flavanols react preferentially with quinones through an electron transfer reaction, stimulating rather than preventing wine browning. Anal. Chim. Acta 2018, 1039, 162–171. [Google Scholar] [CrossRef] [PubMed]
- Müller-Späth, H. Der POM-test. Deutsche Weinbau 1992, 23, 1099–1100. [Google Scholar]
- Simpson, R.F. Oxidative pinking in white wines. Vitis 1977, 16, 286–294. [Google Scholar] [CrossRef]
- Jones, T. Pinking of White Table Wines Further Studies. Master’s Thesis, University of California, Davis, CA, USA, 1989; p. 125. [Google Scholar]
- Singleton, V. Common Plant Phenols other than anthocyanins, contribution to coloration and discoloration. Adv. Food Res. Suppl. 1972, 3, 143–191. [Google Scholar]
- Zoecklein, B.; Fugelsang, K.; Gump, B.; Nury, F. Phenolic compounds and wine color. In Wine Analysis and Production; Chapman and Hall: New York, NY, USA, 1995; pp. 115–151. [Google Scholar]
- Van Wyk, C.; Louw, A.; Rabie, M. The effect of reductive wine making conditions on wine quality and composition. In Proceedings of the 11th International Oenological Symposium, Sopron, Budapest, Hungary, 3–5 June 1976; International Association for Winery Technology and Management: Breisach, Germany; pp. 180–200. [Google Scholar]
- Andrea-Silva, J.; Cosme, F.; Filipe-Ribeiro, L.; Moreira, A.S.P.; Malheiro, A.C.; Coimbra, M.A.; Domingues, M.R.M.; Nunes, F.M. Origin of the pinking phenomenon of white wines. J. Agric. Food Chem. 2014, 62, 5651–5659. [Google Scholar] [CrossRef]
- Cosme, F.; Andrea-Silva, J.; Filipe-Ribeiro, L.; Moreira, A.S.P.; Malheiro, A.C.; Coimbra, M.A.; Domingues, M.R.M.; Nunes, F.M. The origin of pinking phenomena in white wines: An update. BIO Web Conf. 2019, 12, 2013. [Google Scholar] [CrossRef]
- Cojocaru, G.A.; Antoce, A.O. Effect of certain treatments to prevent or partially reverse the pinking phenomenon in susceptible white wines. BIO Web Conf. 2019, 15, 02003. [Google Scholar] [CrossRef]
- Lamuela-Raventós, R.; Huix-Blanquera, M.; Ross, C. Treatments for pinking alteration in white wines. Am. J. Enol. Vitic. 2001, 52, 156–158. [Google Scholar]
- Granato, T.M.; Nasi, A.; Ferranti, P.; Iametti, S.; Bonomi, F. Fining white wine with plant proteins: Effects of fining on proanthocyanidins and aroma components. Eur. Food Res. Technol. 2014, 238, 265–274. [Google Scholar] [CrossRef]
- OIV Organisation International de la Vigne et du Vin. Récueil de Méthodes Internationales d’Analyse des Vins et des Moûts; Edition Officielle: Paris, France, 2015. [Google Scholar]
- Sáenz-Gamasa, C.; Hernández, B.; de Santiago, J.V.; Alberdi, C.; Alfonso, S.; Diñeiro, J.M. Measurement of the colour of white and rosé wines in visual tasting conditions. Eur. Food Res. Technol. 2009, 229, 263–276. [Google Scholar] [CrossRef]
- Esparza, I.; Santamaría, C.; Calvo, I.; Fernández, J.M. Significance of CIELAB parameters in the routine analysis of red wines. CYTA J. Food. 2009, 7, 189–199. [Google Scholar] [CrossRef][Green Version]
- Talsky, G.; Mayring, L.; Kreuzer, H. Feinauflösende UV/VIS-Derivativspektrophotometrie höherer Ordnung. Angew. Chem. 1978, 90, 840–854. [Google Scholar] [CrossRef]
- Kus, S.; Marczenko, Z.; Obarski, N. Derivative UV-VIS spectrophotometry in analytical chemistry. Chem. Anal. 1996, 41, 899–927. [Google Scholar]
- Savitzky, A.; Golay, M.J.E. Smoothing and differentiation of data by simplified least squares procedures. Anal. Chem. 1964, 36, 1627–1639. [Google Scholar] [CrossRef]
- Steinier, J.; Termonia, Y.; Deltour, J. Smoothing and differentiation of data by simplified least square procedure. Anal. Chem 1972, 44, 1906–1909. [Google Scholar] [CrossRef] [PubMed]
- Dijksterhuis, G. Assessing panel consonance. Food Qual. Prefer. 1995, 6, 7–14. [Google Scholar] [CrossRef]
- Lawless, H.T.; Heymann, H. Descriptive Analysis. In Sensory Evaluation of Food: Principles and Practices, 2nd ed.; Springer: Berlin/Heidelberg, Germany, 2010. [Google Scholar]
- Nel, A.P.; du Toit, W.J.; van Jaarsveld, F.P. Pinking in White Wines—A Review. S. Afr. J. Enol. Vitic. 2020, 41, 151–157. [Google Scholar] [CrossRef]








| Wines | Origin | Vinification | |
|---|---|---|---|
| 1 | Prosecco base | Northern Italy | Classic |
| 2 | Prosecco base | Northern Italy | Classic |
| 3 | Generic | Southern Italy | Classic |
| 4 | Sauvignon Blanc | Moldova | Reductive |
| 5 | Blend (Catarratto + Sauvignon Blanc + Vermentino) | Southern Italy | Classic |
| 6 | Blend (Catarratto + Pinot Grey + Muscat) | Southern Italy | Classic |
| 7 | Blend (Chardonnay + Pinot Grey + Vermentino + Grillo) | Southern Italy | Classic |
| 8 | Blend (Grillo + Sauvignon Blanc + Vermentino + Zibibbo) | Southern Italy | Classic |
| 9 | Sauvignon Blanc | Moldova | Reductive |
| 10 | Sauvignon Blanc | Moldova | Reductive |
| 11 | Pinot Grey | Moldova | Reductive |
| 12 | Sauvignon Blanc | Northern Italy | Reductive |
| 13 | Chardonnay | Northern Italy | Reductive |
| 14 | Generic | Northern Italy | Reductive |
Publisher’s Note: MDPI stays neutral with regard to jurisdictional claims in published maps and institutional affiliations. |
© 2021 by the authors. Licensee MDPI, Basel, Switzerland. This article is an open access article distributed under the terms and conditions of the Creative Commons Attribution (CC BY) license (http://creativecommons.org/licenses/by/4.0/).
Share and Cite
Minute, F.; Giotto, F.; Filipe-Ribeiro, L.; Cosme, F.; Nunes, F.M. Alternative Methods for Measuring the Susceptibility of White Wines to Pinking Alteration: Derivative Spectroscopy and CIEL*a*b* Colour Analysis. Foods 2021, 10, 553. https://doi.org/10.3390/foods10030553
Minute F, Giotto F, Filipe-Ribeiro L, Cosme F, Nunes FM. Alternative Methods for Measuring the Susceptibility of White Wines to Pinking Alteration: Derivative Spectroscopy and CIEL*a*b* Colour Analysis. Foods. 2021; 10(3):553. https://doi.org/10.3390/foods10030553
Chicago/Turabian StyleMinute, Fabrizio, Federico Giotto, Luís Filipe-Ribeiro, Fernanda Cosme, and Fernando M. Nunes. 2021. "Alternative Methods for Measuring the Susceptibility of White Wines to Pinking Alteration: Derivative Spectroscopy and CIEL*a*b* Colour Analysis" Foods 10, no. 3: 553. https://doi.org/10.3390/foods10030553
APA StyleMinute, F., Giotto, F., Filipe-Ribeiro, L., Cosme, F., & Nunes, F. M. (2021). Alternative Methods for Measuring the Susceptibility of White Wines to Pinking Alteration: Derivative Spectroscopy and CIEL*a*b* Colour Analysis. Foods, 10(3), 553. https://doi.org/10.3390/foods10030553
