High Hydrostatic Pressure Processing of Whole Carrots: Effect of Static and Multi-Pulsed Mild Intensity Hydrostatic Pressure Treatments on Bioactive Compounds
Abstract
1. Introduction
2. Materials and Methods
2.1. Reagents
2.2. Plant Material and High Hydrostatic Pressure (HHP) Conditions
2.3. Phytochemical Analysis
2.3.1. Identification and Quantification of Free and Bound Phenolics
2.3.2. Identification and Quantification of Carotenoids
2.4. Statistical Analysis
3. Results
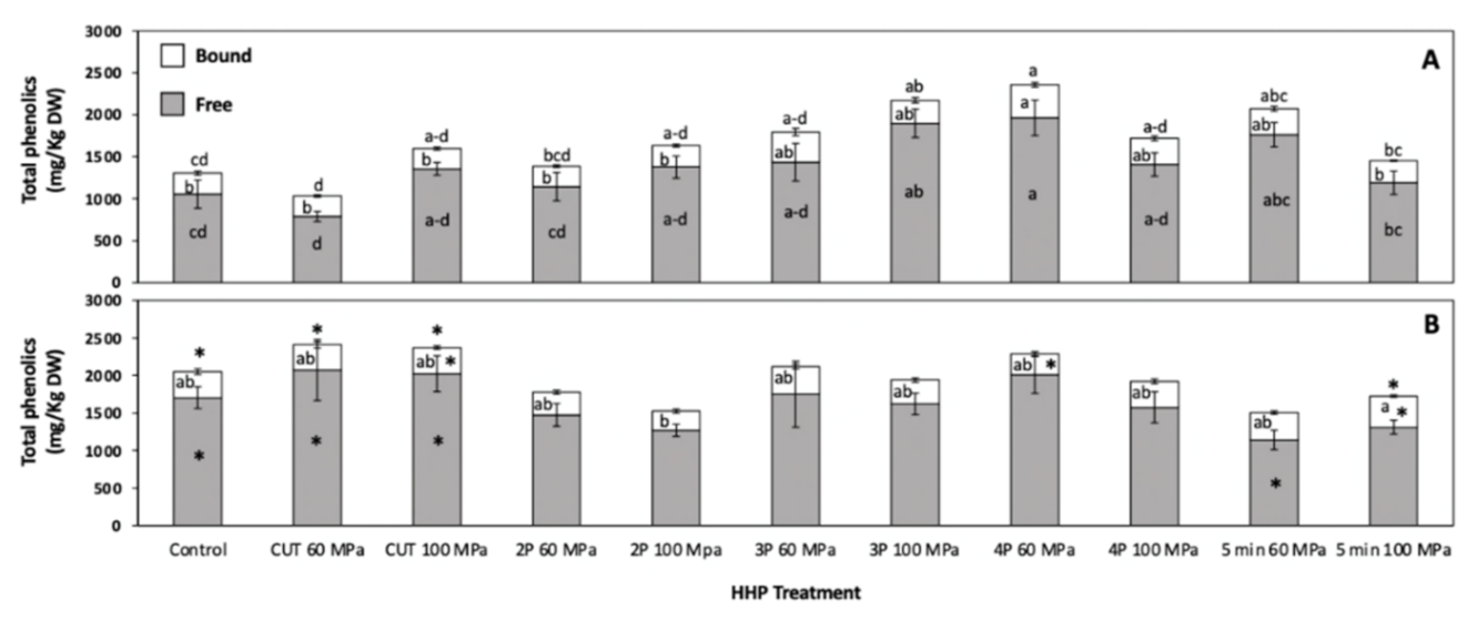
3.1. Phenolics
3.1.1. Free Phenolics
3.1.2. Bound Phenolics
3.2. Carotenoids
Individual Carotenes and Xanthophylls
4. Discussion
4.1. Immediate Response of Whole Carrots to Static and Multi-Pulsed Mild Intensity Pressure Treatments
4.2. Late Response of Whole Carrots to Static and Multi-Pulsed Mild Intensity Pressure Treatments
5. Conclusions
Author Contributions
Funding
Acknowledgments
Conflicts of Interest
References
- Santana-Gálvez, J.; Cisneros-Zevallos, L.; Jacobo-Velázquez, D.A. A practical guide for designing effective nutraceutical combinations in the form of foods, beverages, and dietary supplements against chronic degenerative diseases. Trends Food Sci. Technol. 2020, 88, 179–193. [Google Scholar] [CrossRef]
- Cisneros-Zevallos, L. The use of controlled postharvest abiotic stresses as a tool for enhancing the nutraceutical content and adding-value of fresh fruits and vegetables. J. Food Sci. 2003, 68, 1560–1565. [Google Scholar] [CrossRef]
- Jacobo-Velaźquez, D.A.; Cisneros-Zevallos, L. An alternative use of horticultural crops: Stressed plants as biofactories of bioactive phenolic compounds. Agriculture 2012, 2, 259–271. [Google Scholar] [CrossRef]
- Cisneros-Zevallos, L.; Jacobo-Velázquez, D.A. Controlled abiotic stresses revisited: From homeostasis through hormesis to extreme stresses and the impact on nutraceuticals and quality during pre- and postharvest applications in horticultural crops. J. Agric. Food Chem. 2020, 68, 11877–11879. [Google Scholar] [CrossRef]
- Gastélum-Estrada, A.; Hurtado-Romero, A.; Santacruz, A.; Cisneros-Zevallos, L.; Jacobo-Velázquez, D.A. Sanitizing after fresh-cutting carrots reduces the wound-induced accumulation of phenolic antioxidants compared to sanitizing before fresh-cutting. J. Sci. Food Agric. 2020, 100, 4995–4998. [Google Scholar] [CrossRef]
- Jacobo-Velázquez, D.A.; Cuéllar-Villarreal, M.D.R.; Welti-Chanes, J.; Cisneros-Zevallos, L.; Ramos-Parra, P.A.; Hernández-Brenes, C. Nonthermal processing technologies as elicitors to induce the biosynthesis and accumulation of nutraceuticals in plant foods. Trends Food Sci. Technol. 2017, 60, 80–87. [Google Scholar] [CrossRef]
- Serment-Moreno, V.; Jacobo-Velázquez, D.A.; Torres, J.A.; Welti-Chanes, J. Microstructural and physiological changes in plant cell induced by pressure: Their role on the availability and pressure-temperature stability of phytochemicals. Food Eng. Rev. 2017, 9, 314–334. [Google Scholar] [CrossRef]
- Jacobo-Velázquez, D.A.; Santana-Gálvez, J.; Cisneros-Zevallos, L. Designing next-generation functional food and beverages: Combining nonthermal processing technologies and postharvest abiotic stresses. Food Eng. Rev. 2020, in press. [Google Scholar] [CrossRef]
- Cuéllar-Villarreal, M.d.R.; Ortega-Hernández, E.; Becerra-Moreno, A.; Welti-Chanes, J.; Cisneros-Zevallos, L.; Jacobo-Velázquez, D.A. Effects of ultrasound treatment and storage time on the extractability and biosynthesis of nutraceuticals in carrot (Daucus carota). Postharvest Biol. Technol. 2016, 119, 18–26. [Google Scholar] [CrossRef]
- Viacava, F.; Ortega-Hernández, E.; Welti-Chanes, J.; Cisneros-Zevallos, L.; Jacobo-Velázquez, D.A. Using high hydrostatic pressure come-up time as an innovative tool to induce the biosynthesis of free and bound phenolics in whole carrots. Food Bioprocess Technol. 2020, 13, 1717–1727. [Google Scholar] [CrossRef]
- López-Gámez, G.; Elez-Martínez, P.; Martín-Belloso, O.; Soliva-Fortuny, R. Enhancing phenolic content in carrots by pulsed electric fields during post-treatment time: Effects on cell viability and quality attributes. Innov. Food Sci. Emerg. Technol. 2020, 59, 102252. [Google Scholar] [CrossRef]
- Aguilar-Camacho, M.; Welti-Chanes, J.; Jacobo-Velázquez, D.A. Combined effect of ultrasound treatment and exogenous phytohormones on the accumulation of bioactive compounds in broccoli florets. Ultrason. Sonochem. 2019, 50, 289–301. [Google Scholar] [CrossRef] [PubMed]
- Viacava, F.; Santana-Gálvez, J.; Heredia-Olea, E.; Pérez-Carrillo, E.; Nair, V.; Cisneros-Zevallos, L.; Jacobo-Velázquez, D.A. Sequential application of postharvest wounding stress and extrusion as an innovative tool to increase the concentration of free and bound phenolics in carrots. Food Chem. 2020, 307, 12551. [Google Scholar] [CrossRef] [PubMed]
- Emenhiser, C.; Simunovic, N.; Sander, L.C.; Schwartz, S.J. Separation of geometrical carotenoid isomers in biological extracts using a polymeric C30 column in reversed-phase liquid chromatography. J. Agric. Food Chem. 1996, 44, 3887–3893. [Google Scholar] [CrossRef]
- Surles, R.L.; Weng, N.; Simon, P.W.; Tanumihardjo, S.A. Carotenoid profiles and consumer sensory evaluation of specialty carrots (Daucus carota, L.) of various colors. J. Agric. Food Chem. 2004, 52, 3417–3421. [Google Scholar] [CrossRef]
- Dörnenburg, H.; Knorr, D. Monitoring the impact of high-pressure processing on the biosynthesis of plant metabolites using plant cell cultures. Trends Food Sci. Technol. 1998, 9, 355–361. [Google Scholar] [CrossRef]
- Ramos-Parra, P.A.; García-Salinas, C.; Rodríguez-López, C.E.; García, N.; García-Rivas, G.; Hernández-Brenes, C.; de la Garza, R.I.D. High hydrostatic pressure treatments trigger de novo carotenoid biosynthesis in papaya fruit (Carica papaya cv. Maradol). Food Chem. 2019, 277, 362–372. [Google Scholar] [CrossRef]
- Ortega, V.G.; Ramírez, J.A.; Velázquez, G.; Tovar, B.; Mata, M.; Montalvo, E. Effect of high hydrostatic pressure on antioxidant content of ‘Ataulfo’ mango during postharvest maturation. Food Sci. Technol. 2013, 33, 561–568. [Google Scholar] [CrossRef]
- Kim, T.; Gil, B.; Kim, C.; Cho, Y. Enrichment of phenolics in harvested strawberries by high-pressure treatment. Food Bioprocess Technol. 2017, 10, 222–227. [Google Scholar] [CrossRef]
- Gómez-Maqueo, A.; Ortega-Hernández, É.; Serrano-Sandoval, S.N.; Jacobo-Velázquez, D.A.; García-Cayuela, T.; Cano, M.P.; Welti-Chanes, J. Addressing key features involved in bio- active extractability of vigor prickly pears submitted to high hydro- static pressurization. J. Food Process. Eng. 2020, 43, e13202. [Google Scholar] [CrossRef]
- Gómez-Maqueo, A.; Welti-Chanes, J.; Cano, M.P. Release mechanisms of bioactive compounds in fruits submitted to high hydrostatic pressure: A dynamic microstructural analysis based on prickly pear cells. Food Res. Int. 2020, 130, 108909. [Google Scholar] [CrossRef] [PubMed]
- Gosavi, N.S.; Salvi, D.; Karwe, M.V. High pressure-assisted infusion of calcium into baby carrots part II: Influence of process variables on β-carotene extraction and color of the baby carrots. Food Bioprocess Technol. 2019, 12, 613–624. [Google Scholar] [CrossRef]
- Gonzalez, M.E.; Anthon, G.E.; Barrett, D.M. Onion cells after high pressure and thermal processing: Comparison of membrane integrity changes using different analytical methods and impact on tissue texture. J. Food Sci. 2010, 75, E426–E432. [Google Scholar] [CrossRef] [PubMed]
- Palafox-Carlos, H.; Ayala-Zavala, J.F.; González-Aguilar, G.A. The role of dietary fiber in the bioaccessibility and bioavailability of fruit and vegetable antioxidants. J. Food Sci. 2011, 76, R6–R15. [Google Scholar] [CrossRef] [PubMed]
- Jacobo-Velázquez, D.A.; Hernández-Brenes, C. Stability of avocado paste carotenoids as affected by high hydrostatic pressure processing and storage. Innov. Food Sci. Emerg. Technol. 2012, 16, 121–128. [Google Scholar] [CrossRef]
- Quirós-Sauceda, A.E.; Palafox-Carlos, H.; Sáyago-Ayerdi, S.G.; Ayala-Zavala, J.F.; Bello-Perez, L.A.; Alvarez-Parrilla, E.; de la Rosa, L.A.; González-Córdoba, A.F.; González-Aguilar, G.A. Dietary fiber and phenolic compounds as functional ingredients: Interaction and possible effect after ingestion. Food Funct. 2014, 5, 1063–1072. [Google Scholar] [CrossRef]
- González-Aguilar, G.A.; Blancas-Benítez, F.J.; Sáyago-Ayerdi, S.G. Polyphenols associated with dietary fibers in plant foods: Molecular interactions and bioaccessibility. Curr. Opin. Food Sci. 2017, 13, 84–88. [Google Scholar] [CrossRef]
- Torres, J.A.; Velazquez, G. Commercial opportunities and research challenges in the high pressure processing of foods. J. Food Eng. 2005, 67, 95–112. [Google Scholar] [CrossRef]
- Becerra-Moreno, A.; Redondo-Gil, M.; Benavides, J.; Nair, V.; Cisneros-Zevallos, L.; Jacobo-Velázquez, D.A. Combined effect of water loss and wounding stress on gene activation of metabolic pathways associated with phenolic biosynthesis in carrot. Front. Plant. Sci. 2015, 6, 837. [Google Scholar] [CrossRef]


| Treatment | Phenolic Concentration (mg/kg DW) 1,2,3,4,5,6,7 | |||||||||
|---|---|---|---|---|---|---|---|---|---|---|
| Storage Time | Pressure | Number of Pulses | GAH | 3-O-CQA | 5-O-CQA | 3,5-diCQA | 4,5-diCQA | Ferulic Acid | 3,4-diFQA | Isocoumarin |
| Applied (MPa) | ||||||||||
| 0 h | 0 (Control) | 0P (Control) | 44.73 ± 7.49 | 120.74 ± 18.01 | 628.03 ± 132.90 ab | 25.63 ± 1.81 ab | 18.94 ± 2.63 | 90.86 ± 23.51 ab | 19.95 ± 8.18 f | 106.76 ± 14.46 ab |
| 60 MPa | CUT | 47.46 ± 5.06 | 91.19 ± 6.27 | 410.69 ± 43.41 b | 21.84 ± 0.86 b | 14.84 ± 0.57 | 58.22 ± 6.31 b | 54.48 ± 11.41 ef | 89.02 ± 13.76 b | |
| 2P | 46.13 ± 4.30 | 87.14 ± 9.01 | 553.99 ± 147.25 ab | 24.68 ± 2.35 ab | 15.75 ± 0.67 | 68.19 ± 27.12 b | 248.41 ± 51.85 abcd | 99.31 ± 10.81 b | ||
| 3P | 35.58 ± 4.14 | 88.23 ± 8.50 | 657.26 ± 163.47 ab | 29.03 ± 1.32 ab | 19.59 ± 2.50 | 151.35 ± 53.47 ab | 296.92 ± 68.43 ab | 157.15 ± 11.84 ab | ||
| 4P | 53.27 ± 8.47 | 104.80 ± 10.97 | 1156.12 ± 170.08 a | 26.54 ± 0.76 ab | 22.96 ± 2.64 | 208.33 ± 26.44 a | 287.61 ± 62.17 abc | 85.87 ± 9.89 b | ||
| 1P/5 min | 51.11 ± 3.51 | 94.01 ± 13.45 | 1026.06 ± 146.64 ab | 25.04 ± 1.94 ab | 16.90 ± 2.18 | 144.05 ± 23.26 ab | 274.54 ± 31.45 abcd | 130.95 ± 20.27 ab | ||
| 100 MPa | CUT | 46.49 ± 3.78 | 85.30 ± 12.89 | 719.55 ± 89.53 ab | 25.63 ± 0.96 ab | 18.33 ± 1.32 | 137.98 ± 15.60 ab | 182.71 ± 14.82 bcde | 139.59 ± 7.72 ab | |
| 2P | 67.16 ± 3.66 | 119.78 ± 13.33 | 781.40 ± 118.00 ab | 25.57 ± 1.83 ab | 18.62 ± 2.34 | 103.99 ± 17.84 ab | 122.79 ± 8.62 def | 137.58 ± 30.13 ab | ||
| 3P | 78.59 ± 18.70 | 141.73 ± 27.03 | 914.63 ± 152.49 ab | 32.83 ± 4.51 a | 20.86 ± 3.47 | 163.61 ± 31.93 ab | 368.67 ± 62.10 a | 178.56 ± 17.29 a | ||
| 4P | 41.21 ± 2.51 | 133.79 ± 20.54 | 650.48 ± 92.50 ab | 27.22 ± 1.05 ab | 16.15 ± 1.34 | 119.48 ± 20.99 ab | 320.18 ± 103.78 ab | 89.33 ± 13.42 b | ||
| 1P/5 min | 51.20 ± 6.60 | 111.03 ± 14.98 | 637.86 ± 123.17 ab | 28.32 ± 2.06 ab | 24.24 ± 3.71 | 109.79 ± 66.48 ab | 132.48 ± 64.62 cdef | 95.17 ± 14.49 b | ||
| 48 h | 0 (Control) | 0P (Control) | 70.69 ± 9.27 | 149.06 ± 29.39 ab | 923.22 ± 80.46 | 28.89 ± 1.43 | 26.36 ± 3.32 | 115.36 ± 31.69 b | 183.99 ± 62.15 +abc | 170.16 ± 33.25 |
| 60 MPa | CUT | 89.32 ± 14.61 *+ | 164.17 ± 40.53 ab | 981.68 ± 220.40 | 28.40 ± 2.49 | 35.37 ± 7.09 + | 200.04 ± 29.41 *+ab | 425.94 ± 105.48 *+ab | 194.94 ± 47.10 + | |
| 2P | 64.71 ± 7.66 | 97.61 ± 9.30 a | 687.22 ± 136.93 | 29.81 ± 0.82 | 17.08 ± 2.09 | 98.04 ± 9.62 b | 235.07 ± 43.29 *+abc | 171.27 ± 21.08 *+ | ||
| 3P | 54.81 ± 6.34 + | 102.44 ± 8.99 ab | 883.63 ± 279.16 | 33.73 ± 4.53 | 21.91 ± 4.47 | 192.68 ± 62.49 ab | 260.46 ± 64.07 *+abc | 163.16 ± 39.54 | ||
| 4P | 111.69 ± 18.03 *+ | 158.84 ± 34.29 a | 1079.89 ± 182.30 | 33.95 ± 2.6 | 31.33 ± 6.22 | 134.10 ± 17.11 +ab | 242.07 ± 75.61 *abc | 129.43 ± 9.25 + | ||
| 1P/5 min | 56.77 ± 8.33 | 102.30 ± 13.49 ab | 537.68 ± 129.21 + | 26.16 ± 0.97 | 19.07 ± 2.42 | 102.45 ± 8.30 b | 202.45 ± 32.13 *abc | 93.17 ± 9.43 | ||
| 100 MPa | CUT | 55.57 ± 12.77 | 154.71 ± 23.84 +ab | 983.54 ± 162.84 | 27.89 ± 1.82 | 24.66 ± 3.90 | 250.00 ± 49.03 *+a | 435.43 ± 110.56 *+a | 91.72 ± 23.16 | |
| 2P | 70.06 ± 13.38 | 116.40 ± 13.59 ab | 571.27 ± 51.77 | 27.01 ± 0.91 | 16.80 ± 2.18 | 131.93 ± 13.34 ab | 229.25 ± 51.12 *abc | 105.60 ± 8.48 | ||
| 3P | 66.79 ± 9.21 | 93.17 ± 13.38 ab | 856.38 ± 126.86 | 31.00 ± 1.82 | 21.26 ± 2.44 | 152.21 ± 17.28 ab | 260.44 ± 27.48 *abc | 131.42 ± 27.75 | ||
| 4P | 49.91 ± 9.39 | 94.23 ± 14.39 ab | 933.53 ± 154.25 | 30.65 ± 2.22 | 19.57 ± 2.02 | 122.15 ± 16.78 b | 178.65 ± 49.59 *c | 147.24 ± 18.47 + | ||
| 1P/5 min | 45.95 ± 3.82 | 77.42 ± 8.86 b | 708.68 ± 75.27 | 29.85 ± 2.72 | 15.67 ± 2.30 | 119.94 ± 8.14 b | 190.64 ± 32.32 *bc | 121.94 ± 12.17 | ||
| Treatment | Phenolic Concentration (mg/kg DW) 1,2,3,4,5,6,7 | ||||||||
|---|---|---|---|---|---|---|---|---|---|
| Storage Time | Pressure Applied (MPa) | Number Pulses | Caffeoyl Glucose | 4-O-CoQA | 5-O-CoQA | Caffeic Acid | p-Coumaric Acid | Rutin | Quercetin |
| 0 h | 0 (Control) | 0P (Control) | 14.98 ± 4.78 | 1.34 ± 0.25 | 15.68 ± 5.52 a | 84.14 ± 13.19 ab | 81.98 ± 9.12 c | 8.42 ± 3.54 a | 27.32 ± 7.36 |
| 60 MPa | CUT | 20.35 ± 0.75 | 2.12 ± 0.39 | 2.89 ± 0.07 b | 72.46 ± 4.68 b | 103.68 ± 6.46 bc | 5.15 ± 0.42 ab | 25.33 ± 3.32 | |
| 2P | 19.46 ± 1.49 | 2.21 ± 0.48 | 4.02 ± 0.81 b | 86.27 ± 11.06 ab | 106.72 ± 9.69 bc | 5.89 ± 1.26 b | 12.93 ± 2.23 | ||
| 3P | 17.93 ± 1.59 | 3.47 ± 0.80 | 5.19 ± 1.40 b | 112.24 ± 12.45 ab | 175.58 ± 25.25 ab | 6.24 ± 2.35 ab | 26.99 ± 4.05 | ||
| 4P | 25.30 ± 2.82 | 2.55 ± 0.27 | 7.55 ± 0.65 ab | 114.03 ± 9.42 ab | 184.22 ± 22.56 a | 9.38 ± 1.80 ab | 27.52 ± 0.61 | ||
| 1P/5 min | 20.91 ± 2.45 | 3.06 ± 0.63 | 4.13 ± 0.84 b | 104.03 ± 11.38 ab | 149.66 ± 14.91 abc | 5.06 ± 0.94 ab | 17.39 ± 2.32 | ||
| 100 MPa | CUT | 17.27 ± 2.73 | 1.34 ± 0.60 | 2.88 ± 0.53 b | 75.97 ± 5.61 ab | 113.48 ± 14.37 bc | 3.07 ± 0.65 ab | 14.04 ± 2.27 | |
| 2P | 24.36 ± 1.68 | 2.14 ± 0.33 | 4.13 ± 0.94 b | 85.14 ± 3.62 ab | 108.09 ± 11.44 bc | 4.67 ± 0.28 ab | 16.18 ± 2.64 | ||
| 3P | 18.25 ± 3.78 | 1.87 ± 0.38 | 4.08 ± 0.87 b | 87.55 ± 8.40 ab | 112.88 ± 17.14 bc | 6.89 ± 1.29 ab | 25.09 ± 3.58 | ||
| 4P | 22.49 ± 5.01 | 2.03 ± 0.32 | 6.53 ± 2.50 ab | 93.58 ± 2.73 a | 141.01 ± 17.72 abc | 4.64 ± 1.89 ab | 15.82 ± 2.63 | ||
| 1P/5 min | 14.91 ± 1.20 | 2.08 ± 0.30 | 4.50 ± 0.62 b | 89.73 ± 2.28 ab | 113.51 ± 3.47 bc | 8.53 ± 2.65 ab | 17.87 ± 1.44 | ||
| 48 h | 0 (Control) | 0P (Control) | 17.20 ± 3.39 | 2.03 ± 0.24 + | 10.89 ± 3.31 a | 134.55 ± 14.51 +ab | 135.85 ± 16.81 + | 9.34 ± 2.11 | 20.63 ± 4.28 |
| 60 MPa | CUT | 23.24 ± 5.65 | 2.08 ± 0.35 | 4.65 ± 1.11 ab | 95.41 ± 8.05 +bc | 143.49 ± 32.87 | 5.87 ± 1.50 | 29.93 ± 3.98 + | |
| 2P | 16.72 ± 1.60 | 2.37 ± 0.53 | 2.61 ± 0.48 b | 118.02 ± 10.21 abc | 128.70 ± 24.35 | 4.38 ± 0.58 + | 20.75 ± 2.34 | ||
| 3P | 15.90 ± 2.18 | 3.36 ± 0.97 * | 4.12 ± 1.12 ab | 127.15 ± 13.91 abc | 162.65 ± 17.18 * | 8.01 ± 2.39 | 25.27 ± 4.87 | ||
| 4P | 19.61 ± 1.78 | 2.14 ± 0.44 + | 5.04 ± 0.99 ab | 117.70 ± 8.67 abc | 107.08 ± 16.55 + | 6.14 ± 0.90 + | 21.05 ± 2.33 + | ||
| 1P/5 min | 19.76 ± 2.24 | 3.05 ± 0.52 * | 2.89 ± 0.46 b | 126.13 ± 16.88 abc | 163.30 ± 21.17 * | 5.61 ± 1.76 | 29.18 ± 1.99 | ||
| 100 MPa | CUT | 16.66 ± 2.10 | 2.26 ± 0.31 *+ | 5.61 ± 1.51 ab | 130.15 ± 5.07 *+abc | 146.08 ± 17.44 * | 6.76 ± 1.92 + | 26.53 ± 110.56 | |
| 2P | 18.42 ± 2.39 + | 1.73 ± 0.48 + | 5.96 ± 2.36 ab | 76.91 ± 11.61 c | 119.67 ± 12.09 * | 2.48 ± 0.25 | 19.24 ± 51.12 | ||
| 3P | 25.34 ± 3.25 | 1.72 ± 0.17 | 5.00 ± 0.51 ab | 112.21 ± 13.01 abc | 145.03 ± 15.22 * | 4.26 ± 0.75 | 19.71 ± 27.48 | ||
| 4P | 27.23 ± 6.05 | 2.48 ± 0.53 | 6.09 ± 1.19 ab | 132.44 ± 8.58 *+ab | 117.96 ± 14.78 * | 5.60 ± 2.77 | 32.70 ± 49.59 | ||
| 1P/5 min | 27.71 ± 4.05 *+ | 2.19 ± 0.47 | 3.80 ± 0.45 ab | 165.46 ± 4.85 *+a | 172.22 ± 9.14 + | 7.39 ± 1.44 | 25.76 ± 3.90 | ||
| Treatment | Carotenoids (mg/kg DW) 1,2,3,4,5,6 | |||||||
|---|---|---|---|---|---|---|---|---|
| Storage Time | Pressure Applied (MPa) | Number of | All-trans-Lutein | All-trans-Zeaxanthin | All-trans-β- | All-trans-α-Carotene | All-trans-β-Carotene | RAE |
| Pulses | Cryptoxanthin | |||||||
| 0 h | 0 (control) | 0P (control) | 243.73 ± 14.46 bc | 210.36 ± 14.54 b | 271.00 ± 13.39 b | 2132.60 ± 314.06 a | 3449.22 ± 590.35 ab | 777.95 ± 125.48 |
| 60 MPa | CUT | 246.38 ± 2.72 ab | 392.70 ± 5.99 a | 476.40 ± 13.28 a | 1787.24 ± 249.39 ab | 2940.72 ± 438.25 ab | 731.61 ± 87.69 | |
| 2P | 261.16 ± 11.06 abc | 370.76 ± 11.31 a | 455.70 ± 11.02 a | 2017.37 ± 209.58 a | 3211.89 ± 185.84 ab | 738.01 ± 43.86 | ||
| 3P | 289.14 ± 29.15 a | 360.99 ± 22.35 a | 401.09 ± 32.52 ab | 1837.84 ± 197.90 ab | 3136.04 ± 432.58 ab | 706.49 ± 85.47 | ||
| 4P | 274.06 ± 9.04 ab | 327.55 ± 25.25 ab | 401.41 ± 22.98 ab | 2236.62 ± 176.96 a | 3817.81 ± 454.93 a | 852.98 ± 87.88 | ||
| 1P/5 min | 263.64 ± 8.85 abc | 364.32 ± 8.54 a | 447.34 ± 15.47 a | 1789.41 ± 325.64 ab | 3213.17 ± 583.92 ab | 617.90 ± 85.36 | ||
| 100 MPa | CUT | 264.30 ± 10.15 abc | 369.65 ± 3.47 a | 451.69 ± 9.14 a | 1597.92 ± 206.31 ab | 2969.69 ± 426.48 ab | 661.54 ± 86.53 | |
| 2P | 237.74 ± 8.99 c | 367.84 ± 10.83 a | 448.67 ± 13.81 ab | 1307.35 ± 257.71 b | 2227.93 ± 448.67 b | 603.99 ± 41.78 | ||
| 3P | 267.99 ± 10.36 abc | 360.26 ± 24.91 a | 460.94 ± 24.77 a | 2080.14 ± 216.03 a | 3793.47 ± 440.44 a | 839.73 ± 88.89 | ||
| 4P | 264.98 ± 6.83 abc | 363.50 ± 13.85 a | 431.49 ± 21.41 ab | 2179.78 ± 219.49 a | 3327.18 ± 423.18 ab | 768.41 ± 86.75 | ||
| 1P/5 min | 267.54 ± 7.88 abc | 374.09 ± 14.93 a | 443.67 ± 21.57 a | 2031.51 ± 195.60 a | 3523.55 ± 348.88 a | 790.54 ± 72.87 | ||
| 48 h | 0 (control) | 0P (control) | 253.17 ± 15.93 b | 269.17 ± 26.00 b | 336.12 ± 17.77 b | 2005.70 ± 147.78 | 3312.19 ± 216.25 | 747.15 ± 45.08 ab |
| 60 MPa | CUT | 264.85 ± 2.32 ab | 382.74 ± 5.96 *a | 441.05 ± 13.19 *a | 1993.01 ± 153.23 | 3326.14 ± 314.02 | 755.28 ± 63.50 ab | |
| 2P | 267.07 ± 4.35 ab | 368.81 ± 22.58 *ab | 446.36 ± 27.55 *ab | 1912.55 ± 123.58 | 3413.85 ± 319.08 | 762.46 ± 61.25 ab | ||
| 3P | 282.93 ± 12.67 a | 373.49 ± 10.18 *ab | 462.46 ± 2.72 *ab | 2067.26 ± 154.59 | 3652.17 ± 280.34 | 814.99 ± 56.85 ab | ||
| 4P | 258.96 ± 8.16 ab | 333.30 ± 13.88 *ab | 394.64 ± 20.21 *ab | 1695.46 ± 299.54 | 2924.97 ± 640.29 | 660.18 ± 130.74 b | ||
| 1P/5 min | 261.44 ± 6.39 ab | 377.43 ± 11.03 *ab | 448.45 ± 33.12 *a | 1987.44 ± 131.55 | 3366.14 ± 207.60 | 761.31 ± 44.91 ab | ||
| 100 MPa | CUT | 268.12 ± 13.35 ab | 356.08 ± 21.14 *ab | 436.85 ± 33.45 *ab | 1942.96 ± 224.74 | 3394.57 ± 389.80 | 744.38 ± 84.04 ab | |
| 2P | 263.52 ± 8.78 ab | 384.71 ± 8.28 *a | 446.20 ± 11.04 *a | 1886.07 ± 283.41 | 3042.75 ± 566.02 | 698.94 ± 116.10 ab | ||
| 3P | 270.17 ± 8.21 ab | 356.50 ± 21.10 *ab | 438.94 ± 38.86 ab | 2148.09 ± 154.03 | 3983.80 ± 348.23 | 875.35 ± 69.81 a | ||
| 4P | 262.30 ± 9.42 ab | 382.49 ± 11.71 *ab | 480.06 ± 26.99 *a | 1853.20 ± 324.30 | 3463.87 ± 629.12 | 767.82 ± 129.06 ab | ||
| 1P/5 min | 251.61 ± 4.67 b | 384.39 ± 9.49 *a | 464.10 ± 11.77 *a | 1677.95 ± 223.94 | 2831.16 ± 420.47 | 647.13 ± 85.87 ab | ||
Publisher’s Note: MDPI stays neutral with regard to jurisdictional claims in published maps and institutional affiliations. |
© 2021 by the authors. Licensee MDPI, Basel, Switzerland. This article is an open access article distributed under the terms and conditions of the Creative Commons Attribution (CC BY) license (http://creativecommons.org/licenses/by/4.0/).
Share and Cite
Viacava, F.; Ramos-Parra, P.A.; Welti-Chanes, J.; Jacobo-Velázquez, D.A. High Hydrostatic Pressure Processing of Whole Carrots: Effect of Static and Multi-Pulsed Mild Intensity Hydrostatic Pressure Treatments on Bioactive Compounds. Foods 2021, 10, 219. https://doi.org/10.3390/foods10020219
Viacava F, Ramos-Parra PA, Welti-Chanes J, Jacobo-Velázquez DA. High Hydrostatic Pressure Processing of Whole Carrots: Effect of Static and Multi-Pulsed Mild Intensity Hydrostatic Pressure Treatments on Bioactive Compounds. Foods. 2021; 10(2):219. https://doi.org/10.3390/foods10020219
Chicago/Turabian StyleViacava, Fernando, Perla A. Ramos-Parra, Jorge Welti-Chanes, and Daniel A. Jacobo-Velázquez. 2021. "High Hydrostatic Pressure Processing of Whole Carrots: Effect of Static and Multi-Pulsed Mild Intensity Hydrostatic Pressure Treatments on Bioactive Compounds" Foods 10, no. 2: 219. https://doi.org/10.3390/foods10020219
APA StyleViacava, F., Ramos-Parra, P. A., Welti-Chanes, J., & Jacobo-Velázquez, D. A. (2021). High Hydrostatic Pressure Processing of Whole Carrots: Effect of Static and Multi-Pulsed Mild Intensity Hydrostatic Pressure Treatments on Bioactive Compounds. Foods, 10(2), 219. https://doi.org/10.3390/foods10020219

