Differences in Astringency Subqualities Evaluated by Consumers and Trained Assessors on Sangiovese Wine Using Check-All-That-Apply (CATA)
Abstract
1. Introduction
2. Materials and Methods
2.1. Wine Samples
2.2. Wine Evaluation by Trained Assessors
2.3. Wine Evaluation by Consumers
2.4. Data Analysis
3. Results
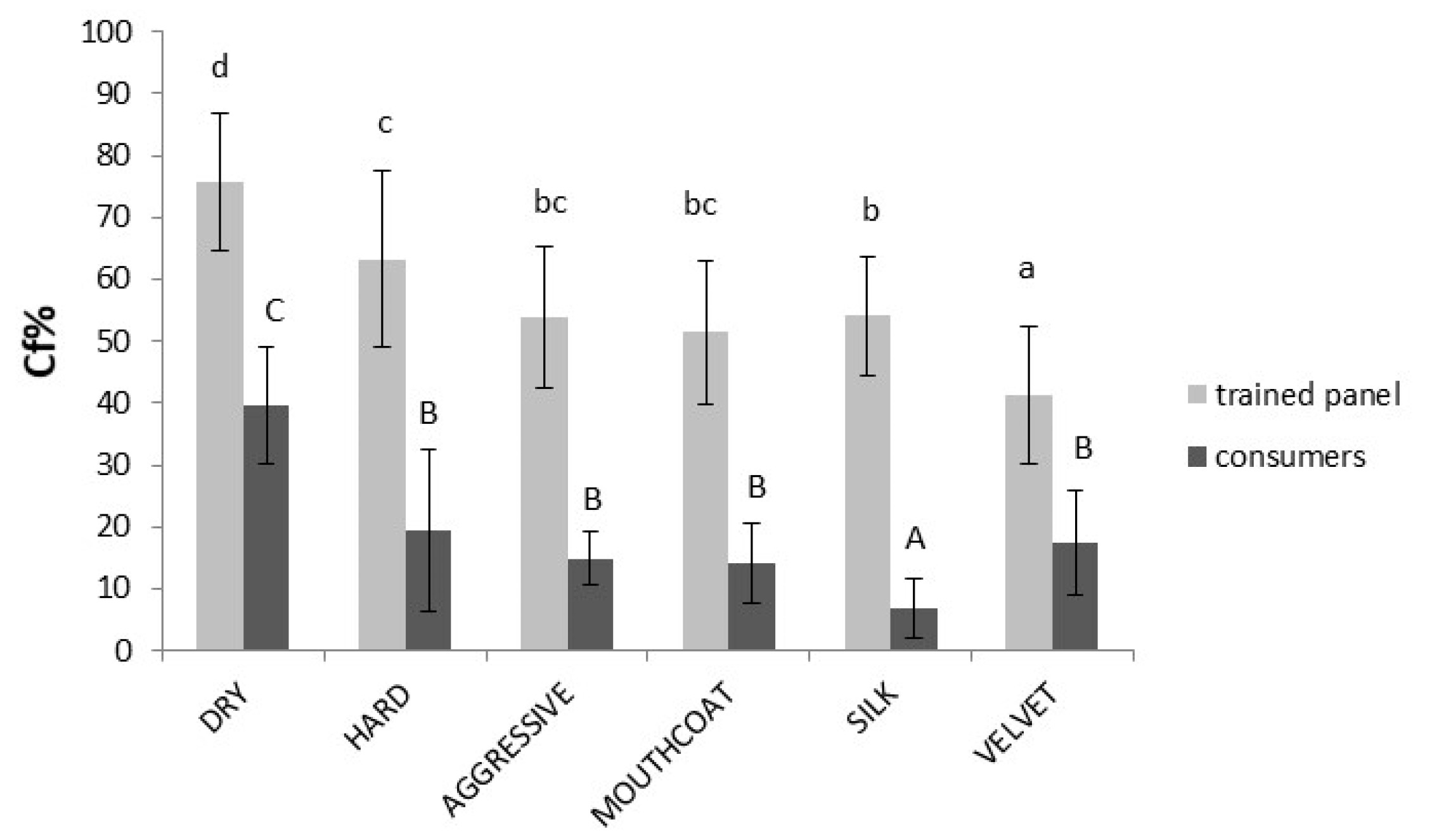
3.1. CATA Comparison between Trained Assessors and Consumers
3.2. Effect of Astringency Subqualities on Consumer Liking
4. Discussion
Sangiovese Liking
5. Conclusions
Author Contributions
Funding
Institutional Review Board Statement
Informed Consent Statement
Data Availability Statement
Acknowledgments
Conflicts of Interest
References
- Veale, R. Sensing or knowing? Int. J. Wine Bus. Res. 2008, 20, 352–366. [Google Scholar] [CrossRef]
- Piqueras-Fiszman, B.; Spence, C. Sensory expectations based on product-extrinsic food cues: An interdisciplinary review of the empirical evidence and theoretical accounts. Food Qual. Prefer. 2015, 40, 165–179. [Google Scholar] [CrossRef]
- Lange, C.; Martin, C.; Chabanet, C.; Combris, P.; Issanchou, S. Impact of the information provided to consumers on their willingness to pay for Champagne: Comparison with hedonic scores. Food Qual. Prefer. 2002, 13, 597–608. [Google Scholar] [CrossRef]
- Sáenz-Navajas, M.-P.; Ballester, J.; Pêcher, C.; Peyron, D.; Valentin, D. Sensory Drivers of Intrinsic Quality of Red Wines. Food Res. Int. 2013, 54, 1506–1518. [Google Scholar] [CrossRef]
- Charters, S.; Pettigrew, S. The Dimensions of Wine Quality. Food Qual. Prefer. 2007, 18, 997–1007. [Google Scholar] [CrossRef]
- Lawless, H.T. Flavor Description of White Wine by “Expert” and Nonexpert Wine Consumers. J. Food Sci. 1984, 49, 120–123. [Google Scholar] [CrossRef]
- Hopfer, H.; Heymann, H. Judging Wine Quality: Do We Need Experts, Consumers or Trained Panelists? Food Qual. Prefer. 2014, 32, 221–233. [Google Scholar] [CrossRef]
- Lattey, K.A.; Bramley, B.R.; Francis, I.L. Consumer Acceptability, Sensory Properties and Expert Quality Judgements of Australian Cabernet Sauvignon and Shiraz Wines. Aust. J. Grape Wine Res. 2010, 16, 189–202. [Google Scholar] [CrossRef]
- Meyners, M.; Castura, J.C. Check-all-that-apply questions. In Novel Techniques in Sensory Characterisation and Consumer Profiling; CRC Press: Boca Raton, FL, USA, 2014; pp. 284–319. [Google Scholar]
- Ares, G.; Antúnez, L.; Giménez, A.; Roigard, C.M.; Pineau, B.; Hunter, D.C.; Jaeger, S.R. Further Investigations into the Reproducibility of Check-All-That-Apply (CATA) Questions for Sensory Product Characterization Elicited by Consumers. Food Qual. Prefer. 2014, 36, 111–121. [Google Scholar] [CrossRef]
- Jaeger, S.R.; Ares, G. Lack of Evidence That Concurrent Sensory Product Characterisation Using CATA Questions Bias Hedonic Scores. Food Qual. Prefer. 2014, 35, 1–5. [Google Scholar] [CrossRef]
- Ares, G.; Barreiro, C.; Deliza, R.; Giménez, A.; Gámbaro, A. Application of a Check-All-That-Apply question to the development of chocolate milk desserts: Development of chocolate milk desserts. J. Sens. Stud. 2010, 67–86. [Google Scholar] [CrossRef]
- Dooley, L.; Lee, Y.; Meullenet, J.-F. The Application of Check-All-That-Apply (CATA) Consumer Profiling to Preference Mapping of Vanilla Ice Cream and Its Comparison to Classical External Preference Mapping. Food Qual. Prefer. 2010, 21, 394–401. [Google Scholar] [CrossRef]
- Vidal, L.; Antúnez, L.; Giménez, A.; Medina, K.; Boido, E.; Ares, G. Astringency Evaluation of Tannat Wines: Comparison of Assessments from Trained Assessors and Experts. J. Sens. Stud. 2018, 33, e12330. [Google Scholar] [CrossRef]
- Vidal, L.; Giménez, A.; Medina, K.; Boido, E.; Ares, G. How Do Consumers Describe Wine Astringency? Food Res. Int. 2015, 78, 321–326. [Google Scholar] [CrossRef]
- Rinaldi, A.; Moio, L. Effect of Enological Tannin Addition on Astringency Subqualities and Phenolic Content of Red Wines. J. Sens. Stud. 2018, 33, e12325. [Google Scholar] [CrossRef]
- Rinaldi, A.; Coppola, M.; Moio, L. Aging of Aglianico and Sangiovese Wine on Mannoproteins: Effect on Astringency and Colour. LWT 2019, 105, 233–241. [Google Scholar] [CrossRef]
- Rinaldi, A.; Louazil, P.; Iturmendi, N.; Moine, V.; Moio, L. Effect of Marc Pressing and Geographical Area on Sangiovese Wine Quality. LWT 2020, 118, 108728. [Google Scholar] [CrossRef]
- Lesschaeve, I.; Noble, A.C. Polyphenols: Factors Influencing Their Sensory Properties and Their Effects on Food and Beverage Preferences. Am. J. Clin. Nutr. 2005, 81, 330S–335S. [Google Scholar] [CrossRef]
- Varela, P.; Gambaro, A. Sensory descriptive analysis of uruguayan Tannat wine: Correlation to quality assessment. J. Sens. Stud. 2006, 21, 203–217. [Google Scholar] [CrossRef]
- Gawel, R.; Iland, P.G.; Francis, I.L. Characterizing the Astringency of Red Wine: A Case Study. Food Qual. Prefer. 2001, 12, 83–94. [Google Scholar] [CrossRef]
- King, M.C.; Cliff, M.A.; Hall, J. Effectiveness of the ‘Mouth-Feel Wheel’ for the Evaluation of Astringent Subqualities in British Columbia Red Wines. J. Wine Res. 2003, 14, 67–78. [Google Scholar] [CrossRef]
- Campo, E.; Ballester, J.; Langlois, J.; Dacremont, C.; Valentin, D. Comparison of Conventional Descriptive Analysis and a Citation Frequency-Based Descriptive Method for Odor Profiling: An Application to Burgundy Pinot Noir Wines. Food Qual. Prefer. 2010, 21, 44–55. [Google Scholar] [CrossRef]
- Ares, G.; Antúnez, L.; Bruzzone, F.; Vidal, L.; Giménez, A.; Pineau, B.; Beresford, M.K.; Jin, D.; Paisley, A.G.; Chheang, S.L.; et al. Comparison of Sensory Product Profiles Generated by Trained Assessors and Consumers Using CATA Questions: Four Case Studies with Complex and/or Similar Samples. Food Qual. Prefer. 2015, 45, 75–86. [Google Scholar] [CrossRef]
- DeMiglio, P.; Pickering, G.J.; Reynolds, A.G. Astringent sub-qualities elicited by red wine: The role of ethanol and pH. In Proceedings of the International Bacchus to the Future Conference, St Catharines, ON, Canada, 23–25 May 2002; Cullen, C.W., Pickering, G.J., Phillips, R., Eds.; Brock University: St. Catharines, ON, Canada; pp. 31–52, ISBN 0-9682851-1-2. [Google Scholar]
- Oberholster, A.; Francis, I.L.; Iland, P.G.; Waters, E.J. Mouthfeel of White Wines Made with and without Pomace Contact and Added Anthocyanins. Aust. J. Grape Wine Res. 2009, 15, 59–69. [Google Scholar] [CrossRef]
- Merabet, L.; Thut, G.; Murray, B.; Andrews, J.; Hsiao, S.; Pascual-Leone, A. Feeling by Sight or Seeing by Touch? Neuron 2004, 42, 173–179. [Google Scholar] [CrossRef]
- McCabe, C.; Rolls, E.T.; Bilderbeck, A.; McGlone, F. Cognitive Influences on the Affective Representation of Touch and the Sight of Touch in the Human Brain. Soc. Cogn. Affect. Neurosci. 2008, 3, 97–108. [Google Scholar] [CrossRef]
- Ares, G.; Etchemendy, E.; Antúnez, L.; Vidal, L.; Giménez, A.; Jaeger, S.R. Visual Attention by Consumers to Check-All-That-Apply Questions: Insights to Support Methodological Development. Food Qual. Prefer. 2014, 32, 210–220. [Google Scholar] [CrossRef]
- Vecchio, R.; Rinaldi, A.; Moio, L. Does the Denomination Taste Better than the Wine? BFJ 2019, 121, 3293–3306. [Google Scholar] [CrossRef]
- Lê, S.; Josse, J.; Husson, F. FactoMineR: An R Package for Multivariate Analysis. J. Stat. Softw. 2008, 25, 1–18. [Google Scholar] [CrossRef]
- McBride, R.L.; Finlay, D.C. Perception of taste mixtures by experienced and novice assessors. J. Sens. Stud. 1989, 3, 237–248. [Google Scholar] [CrossRef]
- Lelièvre, M.; Chollet, S.; Abdi, H.; Valentin, D. What Is the Validity of the Sorting Task for Describing Beers? A Study Using Trained and Untrained Assessors. Food Qual. Prefer. 2008, 19, 697–703. [Google Scholar] [CrossRef]
- Schiefer, J.; Fischer, C. The Gap between Wine Expert Ratings and Consumer Preferences: Measures, Determinants and Marketing Implications. Int. J. Wine Bus. Res. 2008, 20, 335–351. [Google Scholar] [CrossRef]
- Nicod, L.; Varela, P.; Ferrage, A. Could too much training ever be a limitation in products’ characterization? In Proceedings of the Eurosense 2010—A Sense of Quality, Vitoria-Gasteiz, Spain, 5–8 September 2010.
- Crump, A.M.; Johnson, T.E.; Wilkinson, K.L.; Bastian, S.E.P. Influence of Oak Maturation Regimen on Composition, Sensory Properties, Quality, and Consumer Acceptability of Cabernet Sauvignon Wines. J. Agric. Food Chem. 2015, 63, 1593–1600. [Google Scholar] [CrossRef] [PubMed]
- Rinaldi, A.; Moine, V.; Moio, L. Astringency Subqualities and Sensory Perception of Tuscan Sangiovese Wines. OENO One 2020, 54, 75–85. [Google Scholar] [CrossRef]
- Sáenz-Navajas, M.-P.; Avizcuri, J.-M.; Ballester, J.; Fernández-Zurbano, P.; Ferreira, V.; Peyron, D.; Valentin, D. Sensory-Active Compounds Influencing Wine Experts’ and Consumers’ Perception of Red Wine Intrinsic Quality. LWT 2015, 60, 400–411. [Google Scholar] [CrossRef]
- Ferrer-Gallego, R.; Hernández-Hierro, J.M.; Rivas-Gonzalo, J.C.; Escribano-Bailón, M.T. Sensory Evaluation of Bitterness and Astringency Sub-Qualities of Wine Phenolic Compounds: Synergistic Effect and Modulation by Aromas. Food Res. Int. 2014, 62, 1100–1107. [Google Scholar] [CrossRef]




| Attribute 1 | Definition |
|---|---|
| Dry | Feeling of luck of lubrication in mouth |
| Hard | Combined effect of astringency and bitterness |
| Aggressive | Excessive astringency of strong roughing nature |
| Silk | Tactile sensation like silk |
| Velvet | Tactile sensation like velvet |
| Mouthcoat | Like a coating film that adheres to mouth surfaces |
| Rich | High flavor concentration with balanced astringency |
| Green | Combined effect of excess of acidity and astringency |
| Grainy | Sensation of micro-particles in mouth |
| Satin | A smooth and sliding astringency |
| Pucker | A reflex action of mouth surfaces being brought together and released in attempt to lubricate mouth surfaces |
| Full-Body | Sensation of high viscosity |
| Persistent | An overall sensation (flavor, tactile, taste) which lasts over time |
Publisher’s Note: MDPI stays neutral with regard to jurisdictional claims in published maps and institutional affiliations. |
© 2021 by the authors. Licensee MDPI, Basel, Switzerland. This article is an open access article distributed under the terms and conditions of the Creative Commons Attribution (CC BY) license (http://creativecommons.org/licenses/by/4.0/).
Share and Cite
Rinaldi, A.; Vecchio, R.; Moio, L. Differences in Astringency Subqualities Evaluated by Consumers and Trained Assessors on Sangiovese Wine Using Check-All-That-Apply (CATA). Foods 2021, 10, 218. https://doi.org/10.3390/foods10020218
Rinaldi A, Vecchio R, Moio L. Differences in Astringency Subqualities Evaluated by Consumers and Trained Assessors on Sangiovese Wine Using Check-All-That-Apply (CATA). Foods. 2021; 10(2):218. https://doi.org/10.3390/foods10020218
Chicago/Turabian StyleRinaldi, Alessandra, Riccardo Vecchio, and Luigi Moio. 2021. "Differences in Astringency Subqualities Evaluated by Consumers and Trained Assessors on Sangiovese Wine Using Check-All-That-Apply (CATA)" Foods 10, no. 2: 218. https://doi.org/10.3390/foods10020218
APA StyleRinaldi, A., Vecchio, R., & Moio, L. (2021). Differences in Astringency Subqualities Evaluated by Consumers and Trained Assessors on Sangiovese Wine Using Check-All-That-Apply (CATA). Foods, 10(2), 218. https://doi.org/10.3390/foods10020218

