Abstract
The separation and preparation of theasinensins have been hot spots in the field of tea chemistry in recent years. However, information about the mechanism of efficient adsorption of tea theasinensins by resin has been limited. In this study, the adsorption equilibrium and thermodynamics of tea theasinensins by a high-efficiency macroporous adsorption HP20 resin were evaluated. The adsorption of theasinensin A, theasinensin B, and theasinensin C on HP20 resin were spontaneous physical reaction processes. Adsorption processes were exothermic processes, and lowering the temperature was beneficial to the adsorption. The Freundlich model was more suitable to describe the adsorption of tea theasinensins. The adsorption equilibrium constant and maximum adsorption capacity of theasinensin A were significantly higher than theasinensin B and theasinensin C, which indicated that the adsorption affinity of theasinensin A was stronger than that of theasinensin B and theasinensin C. The phenolic hydroxyl groups and intramolecular hydrogen bonds of theasinensin A were more than those of theasinensin B and theasinensin C, which might be the key to the resin’s higher adsorption capacity for theasinensin A. The HP20 resin was very suitable for efficient adsorption of theasinensin A.
1. Introduction
Theasinensins are important functional components in all six kinds of tea, especially in black tea, green tea, and oolong tea [,]. Theasinensins have an important impact not only on the flavor quality of tea, but also on its good biological activity. Theasinensins are important flavor substances in tea soup, which are closely related to the astringency of tea drinks and tea foods []. As a food additive, theasinensins could be widely used in non-thermal processing and thermal processing of foods []. A variety of biological activities of theasinensins were higher than in some kinds of tea catechins and theaflavins, such as antioxidant [,,], anticancer [,], anti-inflammatory [,,,,], lipid-lowering and weight reducing [,,,], cholesterol lowering [], hypoglycemic [], and so on. Eight theasinensins have been isolated and identified, including theasinensin A, theasinensin B, theasinensin C, theasinensin D, theasinensin E, theasinensin F, theasinensin G, and theasinensin H [,,,,]. The contents of theasinensin A, theasinensin B, and theasinensin C accounted for more than 90% of these eight theasinensins. The separation and preparation of theasinensins were helpful to the study of flavor quality characteristics and biological activity research. The separation and preparation of theasinensins have been hot spots in the field of tea chemistry in recent years.
Theasinensin A and theasinensin B can be separated by HP20 resin column chromatography and Sephadex LH20 gel column chromatography []. Theasinensin C and theasinensin D can be separated by HP20 resin, Sephadex LH20 gel, and TSK gel [,,]. Macroporous adsorption resins are an organic polymer adsorbent developed in the 1960s that have been widely used in environmental protection, food, medicine, and other fields. A multicomponent Langmuir isotherm model can be used to describe the adsorptions, and parameters were regressed with high accuracy [,]. The adsorptive interaction on resin correlated well with the experimentally measured adsorption affinity and enthalpy [,]. However, knowledge and understanding of adsorption equilibrium and thermodynamics of theasinensins on HP20 resin are still scarce.
We studied the adsorption effect of HP20 resin on theasinensins and found that the adsorption selectivity and adsorption capacity of HP20 resin on theasinensins were relatively high, but the selective adsorption equilibrium and thermodynamics were still unclear. We hope to clarify the differences of thermodynamic and kinetic adsorption characteristics of HP20 resin for different kinds of theasinensins. In this study, theasinensin A, theasinensin B, and theasinensin C were the targets, and HP20 macroporous adsorption resin was used as the adsorption material. The adsorption properties of HP20 macroporous adsorption resin at different temperatures and times were compared. The thermodynamic adsorption mechanism was analyzed by adsorption modeling.
2. Materials and Methods
2.1. Materials and Reagents
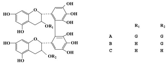
Theasinensin A, theasinensin B, and theasinensin C (Figure 1) were prepared by our laboratory. Acetonitrile and methanol were purchased from Merck KGaA (Merck, Darmstadt, Germany). Copper chloride, ascorbic acid, methanol, and phosphoric acid were purchased from Sigma Aldrich (St. Louis, MO, USA). Deionized water (DW) was purified by a Milli-Q system (Millipore, Molsheim, France).

Figure 1.
Structural formula of theasinensin A, theasinensin B, and theasinensin C.
2.2. Preparation of Theasinensins Mixture
Theasinensins mixture was prepared according to a previously published method [], with minor modifications. First, 2 mmol of 98% EGCG and 2.8 mmol of 70% EGC were added to 200 mL 26% methanol solution. After EGCG and EGC were completely dissolved, 2 mmol copper chloride was added. The solution was stirred by magnetic stirring at 15 ℃ for 26 h, and 10 mmol ascorbic acid was added. Then, the solution was heated for 15 min at 85 ℃. After cooling, the mixture was concentrated to evaporate MeOH, and the resulting aqueous solution was freeze-dried. Then, the theasinensins mixture was obtained and analyzed by high-performance liquid chromatography (HPLC).
2.3. Adsorption Isothermal Experiment
The 1000 mL theasinensins mixture solutions were added to 2 g HP20 resin, respectively. The samples were put into a constant-temperature water bath shaking table at 295 K, 305 K, and 315 K, respectively. The solutions were shaken for 160 min at 100 rpm. The adsorption capacity of HP20 macroporous resin on theasinensins was determined by HPLC. The theasinensin A, theasinensin B, and theasinensin C monomers with purity more than 99% were used as standard materials to calculate the content of theasinensins before and after adsorption.
The adsorption capacity of theasinensins was calculated according to Equation (1):
where C0 and Ce are the initial concentration and adsorption equilibrium concentration of theasinensins (mg/L); Qe is the equilibrium adsorption dose (mg/g); V is the volume of methanol solution (mL); and m is the mass of adsorbent (g).
According to the experimental data, the isotherm adsorption curves of HP20 macro-porous resin for different theasinensins at different temperatures were drawn. All experiments were performed in triplicate, and average data obtained from the binding studies was used for the calculations of the binding parameters.
2.4. Adsorption Thermodynamic Model
The Langmuir, Freundlich, and Sips equations were applied to model the measured adsorption isotherms of theasinensins on HP20 resin for the single system due to their adjustable parameters and simple math expressions.
The adsorption process of theasinensins were fitted by Langmuir isotherm equation (Equation (2)):
where Qe is the equilibrium adsorption capacity (mg/g) of the adsorbate on the adsorbent; Ce is the concentration of the adsorbate in the solution at equilibrium (mg/L); maximum adsorption capacity (Qm) is the saturated adsorption capacity (mg/g); and adsorption equilibrium constant (KL) is the energy constant.
The adsorption process of theasinensins were fitted by Freundlich isotherm equation (Equation (3)):
where is a measure of adsorption strength. When is between 0.1 and 0.5, adsorption is easy, and when ≥ 2, adsorption is difficult. In other words, the higher the n value, the easier the adsorption. Qe is the equilibrium adsorption capacity (mg/g) of the adsorbate on the adsorbent; Ce is the concentration of the adsorbate in the solution at equilibrium (mg/L); and KL is the energy constant.
2.5. Thermodynamics of Adsorption
The thermodynamic parameters, the standard Gibbs free energy change (ΔG), and the enthalpy change (ΔH) could be computed according to thermodynamic laws through the following equations [,].
Each thermodynamic parameter had its own physical sense in the adsorption system. ΔG could be regard as the minimum isothermal work required to load a certain amount of adsorbate on the adsorbent surface. ΔH showed the heat effect of the adsorption system [].
2.6. HPLC Measurements of Theasinensins
Analytical reverse-phase HPLC (Shimadzu, LC-20A, Kyoto, Japan) was performed on a 5 μm Cosmosil 5C18-AR II column (Nacalai Tesque Inc., Kyoto, Japan; 4.6 mm i.d. × 250 mm). Mobile phase A was 50 mmol/L phosphoric acid, and mobile phase B was 100% acetonitrile. The cell temperature was maintained at 20 ℃, and the column temperature was maintained at 35 ℃. The gradient for solvent B was set as follows: 0–39 min, 4–30% B; 39–54 min, 30–75% B; 54–60 min, 75–4% B. The flow rate was 0.8 mL/min. The monitoring UV wavelength was set at 280 nm [].
3. Results and Discussion
3.1. Static Adsorption Isotherm of Theasinensins
The curves of the adsorption equilibrium isothermal conditions of theasinensin A, theasinensin B, and theasinensin C under different temperature conditions were plotted (Figure 2). The adsorption capacity of the column chromatography packing HP20 resin for theasinensin A, theasinensin B, and theasinensin C all decreased with the increase of temperature, which might indicate that the adsorption process of column chromatography packing with HP20 resin to theasinensin A, theasinensin B, and theasinensin C were exothermic. After the adsorption resin surface adsorbs the target substance, the target substance concentration at the adsorption resin interface could be higher than the target substance concentration in the solvent, which would result in a decrease of heat release and free energy in the system.


Figure 2.
Adsorption equilibrium isotherms of theasinensin (A–C) on column chromatography packing with HP20 resin.
The Langmuir adsorption isotherm equation and Freundlich adsorption isotherm equation have been used to analyze the adsorption characteristics of theasinensins by HP20 resin as a column chromatography filler. Fitting data of the equilibrium adsorption capacity of theasinensin A, theasinensin B, and theasinensin C on the HP20 resin are shown in the following Table 1 and Table 2. When the temperature was between 295 K and 315 K, the KL and Qm of theasinensin A, theasinensin B, and theasinensin C all decreased with the increase of temperature. The adsorption of theasinensin B and theasinensin C gradually weakened with the increase of temperature. The adsorption process of theasinensin by the column chromatography packing with HP20 resin should not be carried out at high temperature.

Table 1.
Adsorption parameters of the Langmuir adsorption equation of theasinensins.

Table 2.
Adsorption parameters of the Freundlich adsorption equation of theasinensins.
The Langmuir adsorption isotherm equation was an ideal model of the surface adsorption for column chromatography packing with HP20 resin. However, in the actual separation and purification process, only a narrow range of adsorption could be recognized on a uniform surface, which indicated that only a narrow range of this equation was applicable [,]. Most of it was not applicable. The Freundlich adsorption isotherm equation was used to fit the concentration of the adsorbate in the solution at equilibrium and the equilibrium adsorption capacity of the adsorbate on the adsorbent. Comparing the correlation coefficients of the Langmuir adsorption isotherm equation and Freundlich adsorption isotherm equation of theasinensins, it could be found that the correlation coefficient of the Freundlich adsorption equation was greater than 0.99, which was higher than the correlation coefficient of the Langmuir adsorption isotherm equation, which indicated that the Freundlich adsorption equation was more suitable for evaluating the adsorption of the theasinensin A, theasinensin B, and theasinensin C in the HP20 resin.
3.2. Equivalent Differential Heat of Adsorption of Theasinensins
From the data in Figure 3, it can be seen that the adsorption of theasinensin A, theasinensin B, and theasinensin C by column chromatography packing HP20 resin gradually weakened with the increase of temperature. The adsorption capacity of the HP20 resin for the theasinensins in descending order were theasinensin A, theasinensin B, and theasinensin C. Both KL and Qm were significantly higher than pyrogallol-type catechins. This meant that the adsorption driving forces of the aforementioned column chromatography filler HP20 resin to the theasinensins were, in order of magnitude, theasinensin A, theasinensin B, and theasinensin C. The molecular structure of theasinensin A contains relatively more phenolic hydroxyl groups than theasinensin B and theasinensin C. Therefore, theasinensin A was more easily adsorbed on the surface of HP20 resin than theasinensin B or theasinensin C. The hydroxyl structure of the theasinensins formed hydrogen bonds, which produced strong adsorption driving force. The main adsorption force between the HP20 resin and theasinensins might be hydrogen bonds.

Figure 3.
Theasinensins with equivalent adsorption heat under different adsorption capacities.
3.3. Isometric Differential Adsorption Heat of Theasinensins
The adsorption efficiency was the result of the combined action of various forces between the adsorbate and the adsorbent. Different forces generated different heat in the adsorption process. According to the foregoing analysis, the adsorption process of theasinensin A, theasinensin B, and theasinensin C by column chromatography packing with HP20 resin as an exothermic process. In order to quantitatively describe the heat emission, the Clausius–Clapeyron equation was used to calculate the equivalent differential adsorption heat of each adsorption process.
There was a good linear relationship between LnC and 1/T, which indicated that the adsorption process of theasinensin A, theasinensin B, and theasinensin C obeyed the Clausius–Clapeyron equation. The linear regression method could be used to calculate the corresponding slope of the adsorption amount of theasinensins and the effect of HP20 resin on theasinensin A, theasinensin B, and theasinensin C.
The free energy of adsorption and adsorption entropy of adsorption of theasinensins by HP20 resin have been calculated under different temperature conditions (Table 3). The free energy of adsorption changed to ΔG. The adsorption process of the HP20 resin to theasinensin A, theasinensin B, and theasinensin C belonged to the spontaneous physical reaction process. The theasinensins’ adsorption free energy ΔG were, in order, theasinensin A, theasinensin B, and theasinensin C. The adsorption enthalpy changes of HP20 resin for theasinensin A, theasinensin B, and theasinensin C were all negative, which indicated that the adsorption process was exothermic.

Table 3.
Adsorption thermodynamic parameters of HP20 resin separation system.
The adsorption and separation function of column chromatography mainly relied on intermolecular force, hydrogen bond, coordination bond, hydrophobic interaction, ionic bond, and other interactions to achieve its adsorption and separation function. Kristl et al. tested the range of adsorption heat caused by different types of forces [], and found that the adsorption heat caused by van der Waals force was 4–10 KJ/mol, that caused by water-dispersing bond force was about 5 KJ/mol, that caused by hydrogen bond force was 2–40 KJ/mol, that caused by coordination bond exchange was greater than 40 KJ/mol, and that caused by chemical bond force was greater than 60 KJ/mol. The adsorption thermodynamic parameters of the HP20 resin for theasinensin A, theasinensin B, and theasinensin C were 10–40 KJ/mol, which belong to hydrogen bond force adsorption.
The HP20 resin had weak acidity with theasinensin A, theasinensin B, and theasinensin C, and would not form ionic bonds, covalent bonds, or coordination bonds. The main force could only be hydrogen bonding and hydrophobic interaction. These hydrogen bonding effects included the hydrogen bonding between HP20 resin and the hydroxyl group of theasinensins, the hydrogen bonding between the hydroxyl group of theasinensins and water molecules, and the hydrogen bonding between HP20 resin and water molecules.
As a result, the adsorption capacity of HP20 to theasinensin A, theasinensin B, and theasinensin C increased with the increase of equilibrium concentration (Figure 4). However, as the adsorption capacity of theasinensins by HP20 resin increased, the equivalent differential adsorption heat value decreased instead. For adsorption sites with uniform adsorption capacity, there was no force between adsorbate molecules. The heat of adsorption had nothing to do with the amount of adsorption. However, in the case of uneven surface capacity of the adsorbent, it was necessary to consider the interaction between theasinensins molecules. In addition, the adsorption heat changed with the surface coverage θ of the HP20 resin.


Figure 4.
Adsorption isotherms of theasinensins by HP20 resin.
There were many high-capacity adsorption centers on the surface of the HP20 resin. The adsorbent was first adsorbed on the part with large surface energy. The adsorption heat was large, but the activation energy was weak. It then gradually transferred to the part with low surface energy. At the same time, the heat released decreased accordingly. The theasinensins were firstly adsorbed on the parts with high differential adsorption heat, and then gradually transferred to the parts with low differential adsorption as the coverage increased. In addition, with the continuous increase of the surface coverage θ of theasinensins on the aforementioned column chromatography filler of HP20 resin, the mutual repulsion force between adsorbate molecules became stronger.
3.4. Comparison of Adsorption Capacity of Theasinensins by HP20 Resin
The adsorption isotherm of HP20 resin to theasinensins was studied (Figure 4 and Figure 5). When the equilibrium concentration was the same, the adsorption capacity of theasinensin A by HP20 resin was greater than that of theasinensins B, and theasinensin B by HP20 resin was greater than that of theasinensins C. The main reason was that the polyphenolic hydroxyl group of theasinensin A was better than theasinensin B and theasinensin C. The extra phenolic hydroxyl group of theasinensin A could bond with the hydroxyl group of the HP20 resin, which increased the adsorption driving force, making the adsorption capacity larger.

Figure 5.
Comparison of adsorption capacity of theasinensins under different thermodynamic temperatures.
When the equilibrium concentration was the same, the adsorption capacity of theasinensin C by HP20 resin was lower than that of theasinensin B or theasinensin A. The main reason was that theasinensin A had intramolecular hydrogen bonds, which reduced the ability of HP20 resin to form hydrogen bonds with it. This also proved that the column chromatography packing with HP20 resin adsorbed theasinensins through hydrogen bonding force.
4. Conclusions
The selective separation mechanism based on adsorption thermodynamic analysis was explored. The adsorption process of theasinensins by column chromatography packing with HP20 resin conforms to the Freundlich adsorption isotherm equation (R2 value is 0.9968–0.9995). When the temperature was between 295 K and 315 K, the adsorption equilibrium constant (KL) and the maximum adsorption capacity (Qm) of tea theasinensins decreased with the increase of temperature. The results showed that the adsorption process of HP20 on tea theasinensins should not be carried out at relatively high temperature. When the temperature was the same, the KL and Qm of theasinensin A were significantly higher than theasinensin B and theasinensin C. This showed that the filler had a stronger adsorption affinity for theasinensin A than theasinensin B and theasinensin C. The adsorption process of the filler on theasinensin A, theasinensin B, and theasinensin C was a spontaneous physical reaction process. The higher the temperature, the stronger the driving force of the spontaneous reaction. The adsorption processes were exothermic processes. Low temperature was conducive to the progress of the reaction. The entropy changes in the adsorption process were all negative values. The phenolic hydroxyl groups and intramolecular hydrogen bonds might be the key to the resin’s higher adsorption capacity for theasinensin A. The HP20 was an efficient resin for adsorbing theasinensins. This article focused on the adsorption equilibrium and thermodynamics of theasinensin A, B, and C in the theasinensins mixture, and the possible mechanism of high adsorption characteristics. In future work, the recovery characteristics, yield, and rate of theasinensins will be optimized in order to have an extract suitable for food applications. These research contents could provide a theoretical basis for their application in the flavoring of food and functional food.
Author Contributions
J.Z.: Methodology, Investigation, Writing—Original Draft. H.C.: Validation, Data Curation, Writing—Original Draf. J.X.: Investigation. W.W. (Wei Wang): Investigation. W.W. (Weiwei Wang): Validation. T.L.: Visualization. L.C.: Formal analysis. U.H.E.: Review & Editing. H.J.: Conceptualization, Review & Editing, Supervision. All authors have read and agreed to the published version of the manuscript.
Funding
This research was funded by the Basic Scientific Research Project of Chinese Academy of Agricultural Sciences (Projects No. Y2021GH06), National Natural Science Foundation of China (Projects No. 31670692), Zhejiang Natural Science Foundation of China (Projects No. LY18C160004), and Zhejiang Tea Industry Technical Team Project (Projects No. 2020-2022).
Data Availability Statement
Not applicable.
Acknowledgments
Supported by the Basic Scientific Research Project of Chinese Academy of Agricultural Sciences (Projects No. Y2021GH06), National Natural Science Foundation of China (Projects No. 31670692), Zhejiang Natural Science Foundation of China (Projects No. LY18C160004), and Zhejiang Tea Industry Technical Team Project (Projects No. 2020-2022).
Conflicts of Interest
The authors have declared no conflict of interest.
References
- Ferretti, A.; Flanagan, V.P.; Bondarovich, H.A.; Gianturco, M.A. The chemistry of tea. Structures of compounds A and B of Roberts and reactions of some model compounds. J. Agric. Food Chem. 1968, 16, 756–761. [Google Scholar] [CrossRef]
- Shii, T.; Miyamoto, M.; Matsuo, Y.; Tanaka, T.; Kouno, I. Biomimetic One-Pot Preparation of a Black Tea Polyphenol Theasinensin A from Epigallocatechin Gallate by Treatment with Copper(II) Chloride and Ascorbic Acid. Chem. Pharm. Bull. 2011, 59, 1183–1185. [Google Scholar] [CrossRef] [PubMed] [Green Version]
- Yang, C.; Hu, Z.Y.; Lu, M.L.; Li, P.L.; Tan, J.F.; Chen, M.; Lv, H.P.; Zhu, Y.; Zhang, Y.; Guo, L.; et al. Application of metabolomics profiling in the analysis of metabolites and taste quality in different subtypes of white tea. Food Res. Int. 2018, 106, 909–919. [Google Scholar] [CrossRef]
- Weerawatanakorn, M.; Hung, W.-L.; Pan, M.-H.; Li, S.; Li, D.; Wan, X.; Ho, C.-T. Chemistry and health beneficial effects of oolong tea and theasinensins. Food Sci. Hum. Wellness 2015, 4, 133–146. [Google Scholar] [CrossRef] [Green Version]
- Hashimoto, F.; Ono, M.; Masuoka, C.; Ito, Y.; Nohara, T. Evaluation of the anti-oxidative effect (in vitro) of tea polyphones. J. Agric. Chem. Soc. Jpn. 2003, 67, 396–401. [Google Scholar]
- Pan, M.-H.; Lai, C.-S.; Wang, H.; Lo, C.-Y.; Ho, C.-T.; Li, S. Black tea in chemo-prevention of cancer and other human diseases. Food Sci. Hum. Wellness 2013, 2, 12–21. [Google Scholar] [CrossRef] [Green Version]
- Shibu, M.A.; Kuo, C.H.; Chen, B.C.; Ju, D.T.; Chen, R.J.; Lai Chhuang, P.J.; Viswanadha, V.P.; Kuo, W.W.; Huang, C.Y. Oolong tea prevents cardiomyocyte loss against hypoxia by attenuating p-JNK mediated hypertrophy and enhancing P-IGF1R, p-akt, and p-Badser136 activity and by fortifying NRF2 antioxidation system. Environ. Toxicol. 2018, 33, 220–233. [Google Scholar] [CrossRef] [PubMed]
- Pan, M.-H.; Liang, Y.-C.; Lin-Shiau, S.-Y.; Zhu, N.-Q.; Ho, A.C.-T.; Lin, J.-K. Induction of Apoptosis by the Oolong Tea Polyphenol Theasinensin A through Cytochrome c Release and Activation of Caspase-9 and Caspase-3 in Human U937 Cells. J. Agric. Food Chem. 2000, 48, 6337–6346. [Google Scholar] [CrossRef]
- Debelo, H.; Li, M.; Ferruzzi, M.G. Processing influences on food polyphenol profiles and biological activity. Curr. Opin. Food Sci. 2020, 32, 90–102. [Google Scholar] [CrossRef]
- Hou, D.X.; Masuzaki, S.; Tanigawa, S.; Hashimoto, F.; Chen, J.H.; Sogo, T.; Fujii, M. Oolong tea theasinensins attenuate cyclooxygenase-2 expression in lipopolysaccharide (LPS)-activated mouse macrophages: Structure-activity relationship and molecular mechanisms. J. Agric. Food Chem. 2010, 58, 12735–12743. [Google Scholar] [CrossRef]
- Chen, J.H.; Qin, S.; Xiao, J.P.; Tanigawa, S.; Uto, T.; Hashimoto, F.; Fujii, M.; Hou, D.X. A genome-wide microarray highlights the anti-inflammatory genes targeted by Oolong tea theasinensin A in macrophages. Nutr. Cancer 2001, 63, 1064–1073. [Google Scholar] [CrossRef]
- Hatano, T.; Kusuda, M.; Hori, M.; Shiota, S.; Tsuchiya, T.; Yoshida, T. Theasinensin A, a Tea Polyphenol Formed from (-)-Epigallocatechin Gallate, Suppresses Antibiotic Resistance of Methicillin-ResistantStaphylococcus aureus. Planta Med. 2003, 69, 984–989. [Google Scholar] [CrossRef] [PubMed]
- Taylor, P.W.; Hamilton-Miller, J.M.T.; Stapleton, P.D. Antimicrobial properties of green tea catechins. Food Sci. Technol. Bull. Funct. Foods 2005, 2, 71–81. [Google Scholar] [CrossRef] [Green Version]
- Isaacs, C.E.; Xu, W.M.; Merz, G.; Hillier, S.; Rohan, L.; Wen, G.Y. Digallate dimers of (−)-epigallocatechin gallate inactivateb herpes simplex virus. Antimicrob. Agents Chemother. 2011, 55, 5646–5653. [Google Scholar] [CrossRef] [Green Version]
- Miyata, Y.; Tamaru, S.; Tanaka, T.; Tamaya, K.; Matsui, T.; Nagata, Y.; Tanaka, K. Theaflavins and theasinensin A direved from fermented tea have antiyperglycemic and hypotricylglycerolemic effects in KK-Ay mice and sprague dawley rats. J. Agric. Food Chem. 2013, 61, 9366–9372. [Google Scholar] [CrossRef]
- Tanaka, Y.; Kirita, M.; Miyata, S.; Abe, Y.; Tagashira, M.; Kanda, T.; Maeda-Yamamoto, M. O-Methylated Theaflavins Suppress the Intracellular Accumulation of Triglycerides from Terminally Differentiated Human Visceral Adipocytes. J. Agric. Food Chem. 2013, 61, 12634–12639. [Google Scholar] [CrossRef]
- Nakai, M.; Fukui, Y.; Asami, S.; Toyoda-Ono, Y.; Iwashita, T.; Shibata, H.; Mitsunaga, T.; Hashimoto, A.F.; Kiso, Y. Inhibitory Effects of Oolong Tea Polyphenols on Pancreatic Lipase in Vitro. J. Agric. Food Chem. 2005, 53, 4593–4598. [Google Scholar] [CrossRef] [PubMed]
- Zhang, H.; Qi, R.; Mine, Y. The impact of oolong and black tea polyphenols on human health. Food Biosci. 2019, 29, 55–61. [Google Scholar] [CrossRef]
- Miyata, Y.; Tanaka, T.; Tamaya, K.; Matsui, T.; Tamaru, S.; Tanaka, K. Cholesterol-Lowering effect of black tea poly-phenols, theaflavins, theasinensin A and thearubigins. Food Sci. Technol. Res. 2011, 17, 585–588. [Google Scholar] [CrossRef] [Green Version]
- Murugesu, S.; Ibrahim, Z.; Ahmed, Q.U.; Uzir, B.F.; Yusoff, N.I.N.; Perumal, V.; Abas, F.; Shaari, K.; Khati, A. Identification of α-glucosidase inhibitors from a new fermented tea obtained by tea-rolling processing of loquat (Eriobotrya japonica) and green tea leaves. J. Sci. Food Agric. 2010, 90, 1545–1550. [Google Scholar]
- Takashi, T.; Sayaka, W.; Yosuke, M.; Yuji, M.; Kei, T.; Shizuka, T.; Kazunari, T.; Toshiro, M.; Isao, K. Polyphenol composition of a functional fermented tea obtained by Tea-Rolling processing of green tea and loquat leaves. J. Agric. Food Chem. 2011, 59, 7253–7260. [Google Scholar]
- Liu, Y.; Luo, L.C.; Chen, L.; Jie, W.; Liang, Z. Effects of brewing conditions on the phytochemical composition, sensory qualities and antioxidant activity of green tea infusion: A study using response surface methodology. Food Chem. 2018, 269, 24–34. [Google Scholar] [CrossRef] [PubMed]
- Tanaka, T.; Kouno, I. Oxidation mechanism of catechins and related polyphenols, symposium on the chemistry of natural products. Food Sci. Technol. Res. 2003, 9, 329–334. [Google Scholar]
- Tanaka, T.; Matsuo, Y.; Kouno, I. A novel black tea pigment and two new oxidation products of epigallocate-chin-3-O-gallate. J. Agric. Food Chem. 2005, 53, 7571–7578. [Google Scholar] [CrossRef] [PubMed]
- Tanaka, T.; Watarumi, S.; Matsuo, Y.; Kamei, M.; Kouno, I. Production of theasinensins A and D, epigallocatechin gallate dimers of black tea, by oxidation–reduction dismutation of dehydrotheasinensin A. Tetrahedron 2003, 59, 7939–7947. [Google Scholar] [CrossRef]
- Nonaka, G.; Kawahara, O.; Nishioka, I. Tannins and related compounds XV. A new class of dimeric flavan-3-ol gallates, theasinensin A and theasinensin B, and proanthocyanidin gallates from green tea leaf. Chem. Pharm. Bull. 1983, 31, 3906–3914. [Google Scholar] [CrossRef] [Green Version]
- Kristl, A.; Luksic, M.; Pompe, M.; Podgornik, A. Effect of Pressure Increase on Macromolecules’ Adsorption in Ion Exchange Chromatography. Anal. Chem. 2020, 92, 4527–4534. [Google Scholar] [CrossRef] [Green Version]
- Sevillano, D.M.; Van, D.; Hooshyar, N.; Ottens, M. Resin selection for the separation of caffeine from green tea catechins. Food Bioprod. Pocess. 2014, 92, 192–198. [Google Scholar] [CrossRef]
- Gogoi, P.; Saikia, M.D.; Dutta, N.; Rao, P. Adsorption affinity of tea catechins onto polymeric resins: Interpretation from molecular orbital theory. Biochem. Eng. J. 2010, 52, 144–150. [Google Scholar] [CrossRef]
- Dhadge, V.L.; Changmai, M.; Purkait, M.K. Purification of catechins from Camellia sinensis using membrane cell. Food Bioprod. Process. 2019, 117, 203–212. [Google Scholar] [CrossRef]
- Deng, H.; Yi, H.; Tang, X.; Yu, Q.; Ning, P.; Yang, L. Adsorption equilibrium for sulfur dioxide, nitric oxide, carbon dioxide, nitrogen on 13X and 5A zeolites. Chem. Eng. J. 2012, 188, 77–85. [Google Scholar] [CrossRef]
- Ridha, F.N.; Webley, P.A. Entropic effffects and isosteric heats of nitrogen and carbon dioxide adsorption on chabazite zeolites. Micropor. Mesopor. Mat. 2010, 132, 22–30. [Google Scholar] [CrossRef]
- Wang, X.; Yuan, B.; Zhou, X.; Xia, Q.; Li, Y.; An, D.; Li, Z. Novel glucose-based adsorbents (Glc-Cs) with high CO2 capacity and excellent CO2/CH4/N2 adsorption selectivity. Chem. Eng. J. 2017, 327, 51–59. [Google Scholar] [CrossRef]
Publisher’s Note: MDPI stays neutral with regard to jurisdictional claims in published maps and institutional affiliations. |
© 2021 by the authors. Licensee MDPI, Basel, Switzerland. This article is an open access article distributed under the terms and conditions of the Creative Commons Attribution (CC BY) license (https://creativecommons.org/licenses/by/4.0/).