Pork Loin Chop Quality and Muscle Fiber Characteristics as Affected by the Direction of Cut
Abstract
1. Introduction
2. Materials and Methods
2.1. Sample Preparation
2.2. pH and Meat Color
2.3. Water-Holding Capacity (WHC) and Warner–Bratzler Shear Force (WBSF)
2.4. Immunohistochemistry
2.5. Statistical Analysis
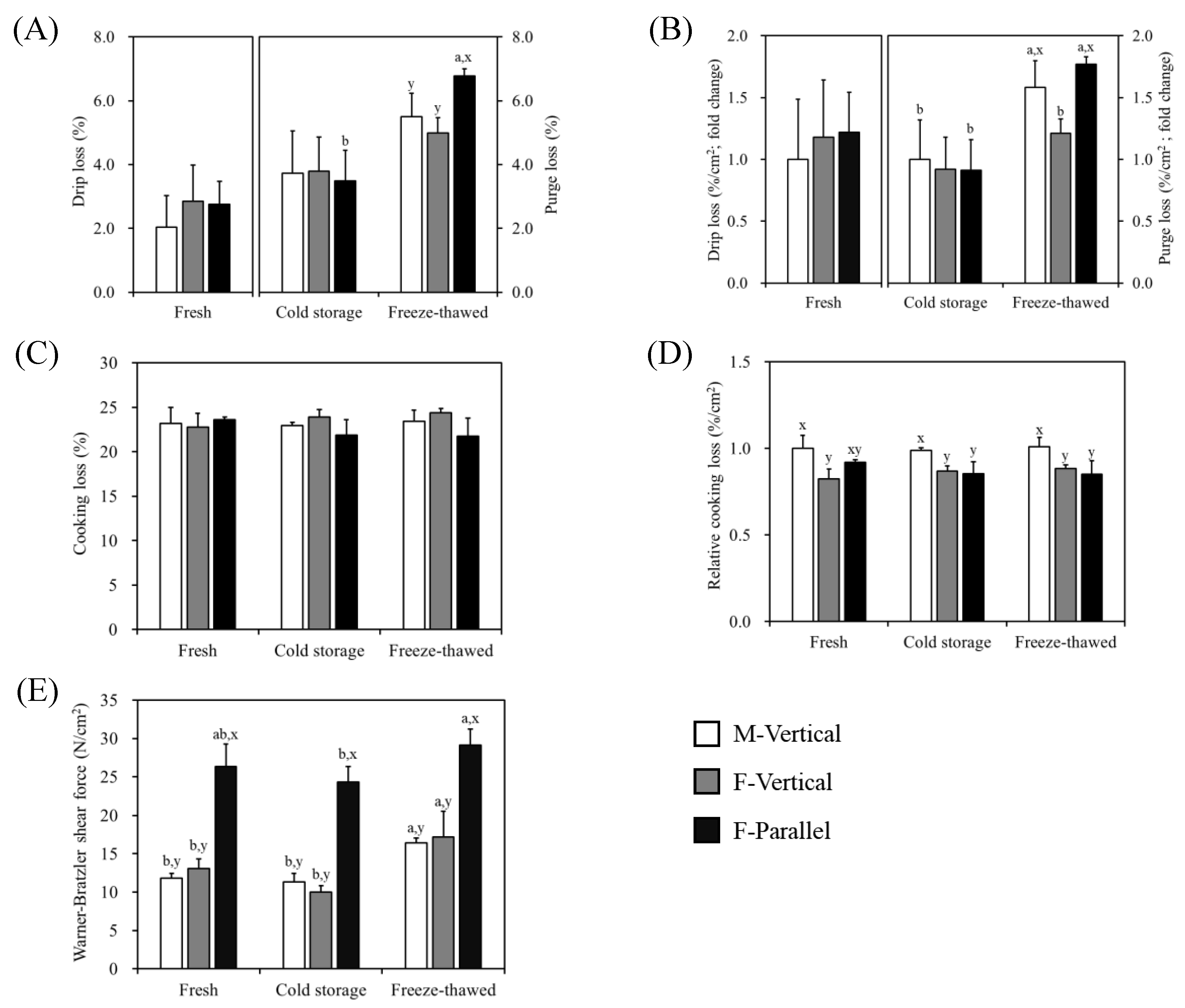
3. Results
3.1. Surface Area and Muscle Fiber Characteristics of Pork Loin Chops
3.2. Comparison of Meat Quality of Pork Loin Chops Cut in Different Directions
4. Discussion
5. Conclusions
Author Contributions
Funding
Institutional Review Board Statement
Informed Consent Statement
Data Availability Statement
Conflicts of Interest
References
- Maclntosh, B.R.; Gardiner, P.F.; McComas, A. Muscle architecture and muscle fiber anatomy. In Skeletal Muscle form and Function; Human Kinetics: Champaign, IL, USA, 2005; pp. 3–21. [Google Scholar]
- Konhilas, J.P.; Irving, T.C.; de Tombe, P.P. Length-dependent activation in three striated muscle types of the rat. J. Physiol. 2002, 544, 225–236. [Google Scholar] [CrossRef] [PubMed]
- McDonald, K.S.; Wolff, M.R.; Moss, R.L. Sarcomere length dependence of the rate of tension redevelopment and submaximal tension in rat and rabbit skinned skeletal muscle fibers. J. Physiol. 1997, 501, 607–621. [Google Scholar] [CrossRef] [PubMed]
- Nigg, B.M.; Herzog, W. Biomechanics of the Musculoskeletal System; John Wiley & Sons: Hoboken, NJ, USA; Chichester, UK, 1994. [Google Scholar]
- Otten, E. Concepts and models of functional architecture in skeletal muscle. Exerc. Sport Sci. Rev. 1998, 16, 89–138. [Google Scholar] [CrossRef]
- Gans, C.; Gaunt, A.S. Muscle architecture in relation to function. J. Biomech. 1991, 24, 53–65. [Google Scholar] [CrossRef]
- Lieber, R.L.; Friden, J. Functional and clinical significance of skeletal muscle architecture. Muscle Nerve 2000, 23, 1647–1666. [Google Scholar] [CrossRef]
- Kim, G.D.; Overholt, M.F.; Lowell, J.E.; Harsh, B.N.; Klehm, B.J.; Dilger, A.C.; Boler, D.D. Evaluation of muscle fiber characteristics based on muscle fiber volume in porcine Longissimus muscle in relation to pork quality. Meat Muscle Biol. 2018, 2, 362–374. [Google Scholar] [CrossRef]
- Derington, A.J.; Brooks, J.C.; Garmyn, A.J.; Thompson, L.D.; Wester, D.B.; Miller, M.F. Relationships of slice shear force and Warner-Bratzler shear force of beef strip loin steaks as related to the tenderness gradient of the strip loin. Meat Sci. 2011, 88, 203–208. [Google Scholar] [CrossRef]
- Candek-Potokar, M.; Legaucheur, L.; Zlender, B.; Bonneau, M. Effect of slaughter weight and/or age on histological characteristics of pig longissimus dorsi muscle as related to meat quality. Meat Sci. 1999, 52, 195–203. [Google Scholar] [CrossRef]
- Ryu, Y.C.; Kim, B.C. The relationship between muscle fiber characteristics, postmortem metabolic rate, and meat quality of pig longissimus dorsi muscle. Meat Sci. 2005, 71, 351–357. [Google Scholar] [CrossRef]
- Larzul, C.; Lefaucheur, L.; Ecolan, P.; Gogue, J.; Talmant, A.; Sellier, P.; Le Roy, P.; Monin, G. Phenotypic and genetic parameters for Longissimus muscle fiber characteristics in relation to growth, carcass, and meat quality traits in large white pigs. J. Anim. Sci. 1997, 75, 3126–3137. [Google Scholar] [CrossRef]
- Choi, Y.M.; Kim, B.C. Muscle fiber characteristics, myofibrillar protein isoforms, and meat quality. Livest. Sci. 2009, 122, 105–118. [Google Scholar] [CrossRef]
- Maltin, C.A.; Sinclair, K.D.; Warriss, P.D.; Grant, C.M.; Porter, A.D.; Delday, M.I. The effects of age at slaughter, genotype and finishing system on the biochemical properties, muscle fibre type characteristics and eating quality of bull beef from suckled calves. Anim. Sci. 1998, 66, 341–348. [Google Scholar] [CrossRef]
- Hwang, Y.H.; Kim, G.D.; Jeong, J.Y.; Hur, S.J.; Joo, S.T. The relationship between muscle fiber characteristics and meat quality traits of highly marbled Hanwoo (Korean native cattle) steers. Meat Sci. 2010, 86, 456–461. [Google Scholar] [CrossRef] [PubMed]
- Kim, G.D.; Overholt, M.F.; Klehm, B.J.; Fields, B.; Sosnicki, A.A.; Boler, D.D.; Dilger, A.C. Relationships between muscle fiber characteristics and changes of pork loin quality during 14 days of cold storage. In Proceedings of the Reciprocal Meat Conference, Lubbock, TX, USA, 18–21 June 2017. [Google Scholar]
- CIE (Commission Internationale de l’Eclairage). Reccommendations on Uniform Color Spaces-Color Difference Equations, Psychometric Color Terms; Supplement No. 2 to CIE Publication No. 15 (E-1.3.1.); Commission Internationale de l’Eclairage: Paris, France, 1978. [Google Scholar]
- Honikel, K.O. How to measure the water-holding capacity of meat? Recommendation of standardized methods. In Evaluation and Control of Meat Quality in Pigs; Tarrant, P.V., Eikelenboom, G., Monin, G., Eds.; Martinus Nijhoof: Dordrecht, The Netherlands, 1987; pp. 129–142. [Google Scholar]
- Song, S.; Ahn, C.H.; Kim, G.D. Muscle fiber typing in bovine and porcine skeletal muscles using immunofluorescence with monoclonal antibodies specific to myosin heavy chain isoforms. Food Sci. Anim. Resour. 2020, 40, 132–144. [Google Scholar] [CrossRef] [PubMed]
- Huddart, H. The Comparative Structure and Function of Muscle; Pergamon Press, Inc.: Oxford, UK, 1975. [Google Scholar]
- Gans, C.; Gorniak, G.C. Concepts of muscle: An introduction to the intact animal. In Muscle Adaptation in the Craniofacial Region; Mcnamara, J.A., Jr., Carlson, D.S., Eds.; Center for Human Growth and Development: Ann Arbor, MI, USA, 1979. [Google Scholar]
- Ryu, Y.C.; Kim, B.C. Comparison of histochemical characteristics in various pork groups categorized by postmortem metabolic rate and pork quality. J. Anim. Sci. 2006, 84, 894–901. [Google Scholar] [CrossRef] [PubMed]
- Ozawa, S.; Misuhashi, T.; Mitsumoto, M.; Matsumoto, S.; Itoh, N.; Itagaki, K. The characteristics of muscle fiber types of longissimus thoracis muscle and their influences on the quantity and quality of meat from Japanese Black steer. Meat Sci. 2000, 54, 65–70. [Google Scholar] [CrossRef]
- Abreu, E.; Quirox-Rothe, E.; Mayoral, A.I.; Vivo, J.M.; Robina, Á.; Guillén, M.T.; Agüera, E.; Rivero, J.L. Myosin heavy chain fibre types and fibre sizes in nulliparous and primiparous ovariectomized Iberian sows: Interaction with two alternative rearing systems during the fattening period. Meat Sci. 2006, 74, 359–372. [Google Scholar] [CrossRef]
- Lefaucheur, L.; Ecolan, P.; Plantard, L.; Gueguen, N. New insights into muscle fiber types in the pig. J. Histochem. Cytochem. 2002, 50, 719–730. [Google Scholar] [CrossRef]
- Kim, G.D.; Jeong, J.Y.; Yang, H.S.; Hur, S.J. Differential abundance of proteome associated with intramuscular variation of meat quality in porcine longissimus thoracis et lumborum muscle. Meat Sci. 2019, 149, 85–95. [Google Scholar] [CrossRef]
- Maganaris, C.N.; Baltzopoulous, V.; Sargeant, A.J. In vivo measurements of the triceps surae complex architecture in man: Implications for muscle function. J. Physiol. 1998, 512, 603–614. [Google Scholar] [CrossRef]
- Roux, A.; Laporte, S.; Lecompte, J.; Gras, L.L.; Iordanoff, I. Influence of muscle-tendon complex geometrical parameters on modeling passive stretch behavior with the discrete element method. J. Biomech. 2016, 49, 252–258. [Google Scholar] [CrossRef] [PubMed]
- Renand, G.; Picard, B.; Touraille, C.; Berge, P.; Lepetit, J. Relationships between muscle characteristics and meat quality traits of young Charolais bulls. Meat Sci. 2001, 59, 49–60. [Google Scholar] [CrossRef]
- Karlsson, A.; Enfalt, A.C.; Essen-Gustavsson, B.; Lundstrom, K.; Rydhmer, L.; Stern, S. Muscle histochemical and biochemical properties in relation to meat quality during selection for increased lean tissue growth rate in pigs. J. Anim. Sci. 1993, 71, 930–938. [Google Scholar] [CrossRef] [PubMed]
- Joo, S.T.; Kim, G.D.; Hwang, Y.H.; Ryu, Y.C. Control of fresh meat quality through manipulation of muscle fiber characteristics. Meat Sci. 2013, 95, 828–836. [Google Scholar] [CrossRef] [PubMed]
- Aksu, M.I.; Kaya, M.; Ockerman, H.W. Effect of modified atmosphere packaging and temperature on the shelf life of sliced pastirma produced from frozen/thawed meat. J. Muscle Foods 2005, 16, 192–206. [Google Scholar] [CrossRef]
- Hansen, E.; Juncher, D.; Henckel, P.; Karlsson, A.; Bertelsen, G.; Skibsted, L.H. Oxidative stability of chilled pork chops following long term freeze storage. Meat Sci. 2004, 68, 479–484. [Google Scholar] [CrossRef]
- Rosenvold, K.; Andersen, H.J. The significance of pre-slaughter stress and diet on colour and colour stability of pork. Meat Sci. 2003, 63, 199–209. [Google Scholar] [CrossRef]
- Lindahl, G.; Karlsson, A.H.; Lundström, K.; Andersen, H.J. Significance of storage time on degree of blooming and colour stability of pork loin from different crossbreeds. Meat Sci. 2006, 72, 603–612. [Google Scholar] [CrossRef] [PubMed]
- Huang, C.; Hou, C.; Ijaz, M.; Yan, T.; Li, X.; Li, Y.; Zhang, D. Proteomics discovery of protein biomarkers linked to meat quality traits in post-mortem muscles: Current trends and future prospects: A review. Trends Food Sci. Technol. 2020, 105, 416–432. [Google Scholar] [CrossRef]
- Pearce, K.L.; Rosenvold, K.; Andersen, H.J.; Hopkins, D.L. Water distribution and mobility in meat during the conversion of muscle to meat and ageing and the impacts on fresh meat quality attributes—A review. Meat Sci. 2011, 89, 111–124. [Google Scholar] [CrossRef]
- Kim, G.D.; Jung, E.Y.; Lim, H.J.; Yang, H.S.; Joo, S.T.; Jeong, J.Y. Influence of meat exudates on the quality characteristics of fresh and freeze-thawed pork. Meat Sci. 2013, 95, 323–329. [Google Scholar] [CrossRef] [PubMed]
- Straadt, I.K.; Rasmussen, M.; Andersen, M.J.; Bertram, H.C. Aging-influenced changes in microstructure and water distribution in fresh and cooked pork in relation to water-holding capacity and cooking loss—A combined confocal laser scanning microscopy (CLSM) and low-field nuclear magnetic resonance relaxation study. Meat Sci. 2007, 75, 687–695. [Google Scholar] [CrossRef] [PubMed]
- Leygonie, C.; Britz, T.J.; Hoffman, L.C. Impact of freezing and thawing on the quality of meat: Review. Meat Sci. 2012, 91, 93–98. [Google Scholar] [CrossRef] [PubMed]
- Farouk, M.M.; Wieliczko, K.J.; Merts, I. Ultra-fast freezing and low storage temperatures are not necessary to maintain the functional properties of manufacturing beef. Meat Sci. 2003, 66, 171–179. [Google Scholar] [CrossRef]
- Medića, H.; Kušecb, I.D.; Pleadinc, J.; Kozačinskid, L.; Njarid, B.; Hengle, B.; Kušecb, G. The impact of frozen storage duration on physical, chemical and microbiological properties of pork. Meat Sci. 2018, 140, 119–127. [Google Scholar] [CrossRef] [PubMed]
- Song, S.; Ahn, C.H.; Song, M.; Kim, G.D. Influence of freeze-thawing on muscle fiber structure and meat quality of bovine longissimus lumborum muscle. In Proceedings of the 65th International Congress of Meat Science & Technology, Potsdam/Berlin, Germany, 4–9 August 2019; Volume P-04-14, pp. 274–275. [Google Scholar]
- Cheng, H.; Song, S.; Jung, E.Y.; Jeong, J.Y.; Joo, S.T.; Kim, G.D. Comparison of beef quality influenced by freeze-thawing among different beef cuts having different muscle fiber characteristics. Meat Sci. 2020, 169, 108206. [Google Scholar] [CrossRef]
- Jeong, J.Y.; Yang, H.S.; Kang, G.H.; Lee, J.I.; Park, G.B.; Joo, S.T. Effect of freeze-thaw process on myoglobin oxidation of pork loin during cold storage. Food Sci. Anim. Resour. 2006, 26, 1–8. [Google Scholar]
- Thanonkaew, A.; Benjakul, S.; Visessanguan, W. The effect of metal ions on lipid oxidation, color and physicochemical properties of cuttlefish (Sepia pharaonis) subjected to multiple freeze-thaw cycles. Food Chem. 2006, 95, 591–599. [Google Scholar] [CrossRef]
- Lindahl, G.; Lundström, K.; Tornberg, E. Contribution of pigment content, myoglobin forms and internal reflectance to the color of pork loin and ham from pure breed pigs. Meat Sci. 2001, 59, 141–151. [Google Scholar] [CrossRef]
- Yun, Y.; Lee, B.; Kwon, K.; Kang, S.; Oh, E.; Choi, Y.M. Comparison of beef palatability characteristics between longissimus thoracis and vastus lateralis muscles from different grades during postmortem aging. Food Sci. Anim. Resour. 2020, 40, 34–43. [Google Scholar] [CrossRef]
- Kim, G.D.; Jeong, J.Y.; Hur, S.J.; Yang, H.S.; Jeon, J.T.; Joo, S.T. The relationship between meat color (CIE L* and a*), myoglobin content, and their influence on muscle fiber characteristics and pork quality. Food Sci. Anim. Resour. 2010, 30, 626–633. [Google Scholar] [CrossRef]




| Traits | Muscle Fiber Type | Direction of Cut (1) | |||||
|---|---|---|---|---|---|---|---|
| M-Vertical | F-Vertical | F-Parallel | |||||
| Relative fiber number (%) | I | 12.25 | ±1.09 c,y | 11.96 | ±1.32 c,y | 20.10 | ±1.82 b,x |
| IIA | 8.88 | ±1.52 d,z | 5.34 | ±1.64 d,y | 12.40 | ±1.51 c,x | |
| IIX | 20.56 | ±1.17 b,y | 16.76 | ±1.68 b,z | 32.79 | ±1.78 a,x | |
| IIB | 58.31 | ±2.24 a,x | 65.94 | ±2.05 a,x | 34.70 | ±3.05 a,z | |
| Relative fiber area (%) | I | 6.66 | ±0.76 c,y | 6.67 | ±1.12 c,y | 15.35 | ±1.38 c,x |
| IIA | 5.62 | ±1.15 c,y | 2.56 | ±0.65 d,z | 12.60 | ±1.56 d,x | |
| IIX | 22.00 | ±3.64 b,y | 18.69 | ±1.26 b,y | 33.12 | ±1.24 b,x | |
| IIB | 65.72 | ±3.84 a,y | 72.08 | ±2.15 a,x | 38.93 | ±1.45 a,z | |
| Meat Color | Direction of Cut (1) | Storage Methods (2) | |||||
|---|---|---|---|---|---|---|---|
| Fresh | Cold Storage | Freeze–Thawed | |||||
| pH | M-Vertical | 5.46 | ±0.02 y | 5.46 | ±0.01 b,y | 5.59 | ±0.05 x |
| F-Vertical | 5.43 | ±0.04 z | 5.68 | ±0.03 a,x | 5.58 | ±0.02 y | |
| F-Parallel | 5.44 | ±0.04 z | 5.61 | ±0.05 a,x | 5.55 | ±0.06 y | |
| CIE L* | M-Vertical | 50.37 | ±2.21 ab,y | 53.64 | ±2.58 x | 48.48 | ±2.16 y |
| F-Vertical | 49.78 | ±2.22 b,y | 54.56 | ±3.38 x | 51.73 | ±2.81 x,y | |
| F-Parallel | 52.72 | ±2.29 a | 53.00 | ±1.91 | 50.06 | ±2.64 | |
| CIE a* | M-Vertical | 6.26 | ±1.65 a,x | 6.47 | ±0.92 x | 5.78 | ±1.30 y |
| F-Vertical | 4.86 | ±0.79 b,y | 6.95 | ±2.07 x | 6.37 | ±1.40 xy | |
| F- Parallel | 6.43 | ±1.34 a | 6.79 | ±0.87 | 5.66 | ±1.23 | |
| CIE b* | M-Vertical | 4.87 | ±1.17 y | 8.01 | ±1.38 x | 6.89 | ±1.46 x,y |
| F-Vertical | 4.53 | ±1.01 y | 8.50 | ±1.54 x | 8.20 | ±1.82 x | |
| F- Parallel | 5.61 | ±0.92 y | 7.99 | ±0.62 x | 6.83 | ±2.00 x,y | |
Publisher’s Note: MDPI stays neutral with regard to jurisdictional claims in published maps and institutional affiliations. |
© 2020 by the authors. Licensee MDPI, Basel, Switzerland. This article is an open access article distributed under the terms and conditions of the Creative Commons Attribution (CC BY) license (http://creativecommons.org/licenses/by/4.0/).
Share and Cite
Song, S.; Ahn, C.-H.; Song, M.; Kim, G.-D. Pork Loin Chop Quality and Muscle Fiber Characteristics as Affected by the Direction of Cut. Foods 2021, 10, 43. https://doi.org/10.3390/foods10010043
Song S, Ahn C-H, Song M, Kim G-D. Pork Loin Chop Quality and Muscle Fiber Characteristics as Affected by the Direction of Cut. Foods. 2021; 10(1):43. https://doi.org/10.3390/foods10010043
Chicago/Turabian StyleSong, Sumin, Chi-Hoon Ahn, Mingeun Song, and Gap-Don Kim. 2021. "Pork Loin Chop Quality and Muscle Fiber Characteristics as Affected by the Direction of Cut" Foods 10, no. 1: 43. https://doi.org/10.3390/foods10010043
APA StyleSong, S., Ahn, C.-H., Song, M., & Kim, G.-D. (2021). Pork Loin Chop Quality and Muscle Fiber Characteristics as Affected by the Direction of Cut. Foods, 10(1), 43. https://doi.org/10.3390/foods10010043

