Next Article in Journal
Conference Accreditation and Need of a Bibliometric Measure to Distinguish Predatory Conferences
Previous Article in Journal
Open Research Data and Open Peer Review: Perceptions of a Medical and Health Sciences Community in Greece
 
 
Font Type:
Arial Georgia Verdana
Font Size:
Aa Aa Aa
Line Spacing:
Column Width:
Background:
Article

The Effect of Article Characteristics on Citation Number in a Diachronic Dataset of the Biomedical Literature on Chronic Inflammation: An Analysis by Ensemble Machines

Department of Medicine and Surgery, Histology and Embryology Lab, University of Parma, Via Volturno 39, 43126 Parma, Italy
*
Author to whom correspondence should be addressed.
Publications 2021, 9(2), 15; https://doi.org/10.3390/publications9020015
Submission received: 27 December 2020 / Revised: 30 March 2021 / Accepted: 30 March 2021 / Published: 6 April 2021

Abstract

Citations are core metrics to gauge the relevance of scientific literature. Identifying features that can predict a high citation count is therefore of primary importance. For the present study, we generated a dataset of 121,640 publications on chronic inflammation from the Scopus database, containing data such as titles, authors, journal, publication date, type of document, type of access and citation count, ranging from 1951 to 2021. Hence we further computed title length, author count, title sentiment score, number of colons, semicolons and question marks in the title and we used these data as predictors in Gradient boosting, Bagging and Random Forest regressors and classifiers. Based on these data, we were able to train these machines, and Gradient Boosting achieved an F1 score of 0.552 on classification. These models agreed that document type, access type and number of authors were the best predicting factors, followed by title length.

1. Introduction

In a world where the sheer amount of available information is growing exponentially, ranking knowledge according to its reliability has become crucial, and the scientific community has therefore attributed increasing importance to scientometrics, i.e., the ability to analyze the impact of science [1]. Scientometrics, with all its limits [2], is the compass that is commonly used to drive strategic decisions in public health, in grant policies, to allocate funding, and at a lower level, to determine hiring and promotions [3]. Within scientometrics, citations are the single most distinctive parameter to estimate the visibility of a scientific publication [4]. The number of citations is also used to compute further indices of performance, such as the Hirsch’s score, which are used to evaluate the scientific productivity of a scholar [5].
It may be—not without a reason—assumed that good science will eventually be cited more often, but in a situation of information overload in fields such as life sciences and medicine, where “mountains of unloved and unread publications [exist]” [6] researchers have long strived to investigate what factors may affect the number of citations a study can accrue [7,8,9,10]. Several publications have pointed out that shorter titles can facilitate citations, possibly by making an article stand out during literature searches; its meaning more easily apprehended, and therefore remembered [11]. Besides cognitive mechanisms, other factors can possibly affect how often an article is searched, viewed and cited. Open access articles, for instance, are more easily accessible for scholars in low-budget contexts, who may not rely on institutional subscriptions [12]. The genre of the article could also make a study more searched. Review articles, at least narrative reviews, generally describe the state of the art in a given field and are often beloved reading for scholars looking for an overview of a topic [13]. And even the number of authors (and prestigious authorship of course) could affect citations [3], as each author can be part of a network of acquaintances who may be more easily attracted and read, and therefore cite, their work, not to mention the relevance of specific journals with high impact factor that may be a preferred reading and citation source for scholars [14].
The goal of this study was to examine the association between some selected article features, including textual features of the title and number of citations, in a diachronic dataset of studies on chronic inflammation retrieved from Scopus using a set of specific machine learning techniques, namely ensemble classifiers. This specific research field was chosen for consistency reasons, because our group has been focusing and analyzing it in the last few years. Although differences with publications in other medical areas may exist, they are difficult to anticipate, and the conclusions from our survey are therefore applicable mostly to the topic of inflammation.

2. Materials and Methods

The analysis was conducted on a literature dataset created through Scopus. The Scopus database was searched using the ‘Chronic Inflammation’ keywords, without filters. All the information was downloaded as several.csv files (due to inherent limitations in Scopus, which does not allow to download more than 20,000 records at a time), which were then imported in a Jupyter notebook running Python 3.6, using the Pandas library. The dataframes were concatenated into one single dataframe without duplicates. For data analysis, the python Numpy, Pandas and Scipy libraries were used. Matplotlib and Seaborn libraries were used for data visualization.
The information provided by Scopus included title of the article, authors, journal, publication date, type of document, type of access, publication stage and citation count, besides Scopus ID codes, DOI and a link to the article. We proceeded to create further features for each publication. We used the VADER implementation [15] in the Nltk library to perform a sentiment analysis of the titles, which yielded a sentiment score. We used the Re library to search for colons, semicolons and question marks within titles through regular expressions. We also used the implementations of Linear Regression, Gradient Boosting, Bagging, Random Forest regressor and classifiers and Logistic Regression algorithms in the Scikit-learn package. To train the models the data were split into a training and a testing set through Scikit-learn. The models were tuned using Randomized search CV in the Scikit-learn package. The performance of the models was then evaluated on accuracy, precision, recall and F1 score (the harmonic mean of precision and recall) calculated on test data.

3. Results

3.1. Overview of the Dataset

Our Scopus search retrieved 159,461 titles, published over the course of 194 years from 1827 to 2021 in 12,308 academic journals. Unfortunately, 25,227 articles lacked a citation count, which could be attributable at least in part to their recent publication date (data not shown). Though we could not rule out that some of those titles were articles that were actually never cited, we decided to keep only those uncontroversial articles where a citation count ≥1 was provided.
Several kinds of publications were initially present in our dataset (data not shown), e.g., letters, surveys, book chapters and even conference papers. Most publications, however, fell within the ‘Article’ or ‘Review’ categories, and the dataset was restricted to these two classes only.
We furthermore decided to keep only those papers that were published after 1951, as only very few papers in our dataset were published before that date and their scarce numbers might affect our analysis. We also decided to exclude papers with unusually high numbers of authors, which, in a few very peculiar cases, could amount to hundreds. Based on the distribution of author number, we removed papers with more authors than 1.5 times their interquartile range (i.e., 15 authors). The remaining dataset, therefore, included 121,640 manuscripts.

3.2. Features Distribution

The temporal distribution of articles by document type can be seen in Figure 1, which shows, beside the well-known steady increment in publications over the years, the robust surge of Reviews, which have become more prominent since the mid ‘80s and which account for about 30% of all the publications in our dataset. Beside Document Type, the Scopus database contains information about the accessibility of full texts and indicates whether a specific entry belongs to an Open Access typology or a Paid subscription type. Open Access is a novel business model that grants readers free access to the content of a report, made possible by the digitalization of publications. Understandably, Open Access journals have gained in popularity and many journals are now offered as open access, or with an open access option. Many older articles are also offered as open access to readers, even if their latest issues may not be.
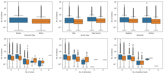
To gain deeper insights into the characteristics of the papers in the dataset, we annotated the presence and number of colons and semicolons in the title, as a sign of a more structured and thus complex title, or question marks (a sign of a different illocutive attitude in the sentence), and we also performed a sentiment analysis using VADER, a common package from the Nltk library, which assigns a positive or negative sentiment to sentences. This last feature should be taken with a caveat. VADER is a human-validated sentiment analysis method, supported by a robust corpus of literature [15,16,17] but not really tested with biomedical texts yet, although our study (Figure A1) confirms that most publications display a positive sentiment, which is consistent with a positive publication bias [18].
Figure A1 in the Appendix A summarizes feature distribution in our dataset, stratified by publication type. The majority of publications in our dataset are original articles, almost three times as many as reviews. Seventy-five % of articles are also accessible via a payable subscription. Most articles in our dataset are simple, without colons, or with two colons at most. Titles with more than two colons, and up to six, are a small fraction of the dataset. Most articles have no semicolons or question marks (Figure A1). About a thousand articles have a semicolon or a question mark. Though original articles are much more numerous than reviews, they are similarly distributed across features.
The distribution of citations was quite skewed (data not shown). Though few manuscripts were cited a very high number of times—up to 17,996—the overall median number of citations for the included manuscripts was 15, with a 75th percentile of 39. As clearly visible by the distribution of citations over the years, a peak of citations can be observed around the year 2000, with citations then declining in more recent years (Figure 2). This reflects the nature of citations, which accumulate with time, so manuscripts that were published up to 20 years ago had obviously more time to collect a higher number of citations. On the other hand, older articles did not get as many citations, possibly because their cultural parable was already declining as citations started to be tracked, or simply because at the time fewer journals existed and fewer articles were published and thus the chances to be cited were less numerous. To account for the effect of time on the citation count of each article we normalized the citation number by the average expected citation for the year of publication, and used that as target for our subsequent analysis.
It has been claimed that the length of the title of a manuscript is associated to its citation count, though the results are conflicting. Further evidence has been reported about a possible association between authors and citations. To test these hypothesis, we analyzed title length (as number of words) and number of authors for the manuscripts in our corpus. Title length did not appear to change significantly over the years; as previously reported, the number of authors has steadily increased over time, possibly as studies have become more complex and progressively required more competences and skills (data not shown).
Title length, however, was not homogeneously distributed across different document types. Original articles tend to have longer titles than reviews do, while having also more authors (Figure A2).
A cumulative plot of author number and title length can be seen in Appendix B, where these features are represented as boxplots and are significantly different between reviews and original articles with p < 0.001, by Mann Whitney U test (Figure A3). These data suggest that part of the association between title length or author number and citations might actually be mediated by differences in article genre.
To better understand this phenomenon, we preliminarily investigated the relation between the citations of a study and its features (Figure 3). Taken together, review articles collected more citations than original articles (p < 0.001 by Mann Whitney U test), possibly because of their comprehensive and broader scope. Cumulatively, no differences could be observed when articles were stratified by access or sentiment, while fewer citations were observed with titles with multiple colons, though these were much less numerous, as we have shown (Figure 3).
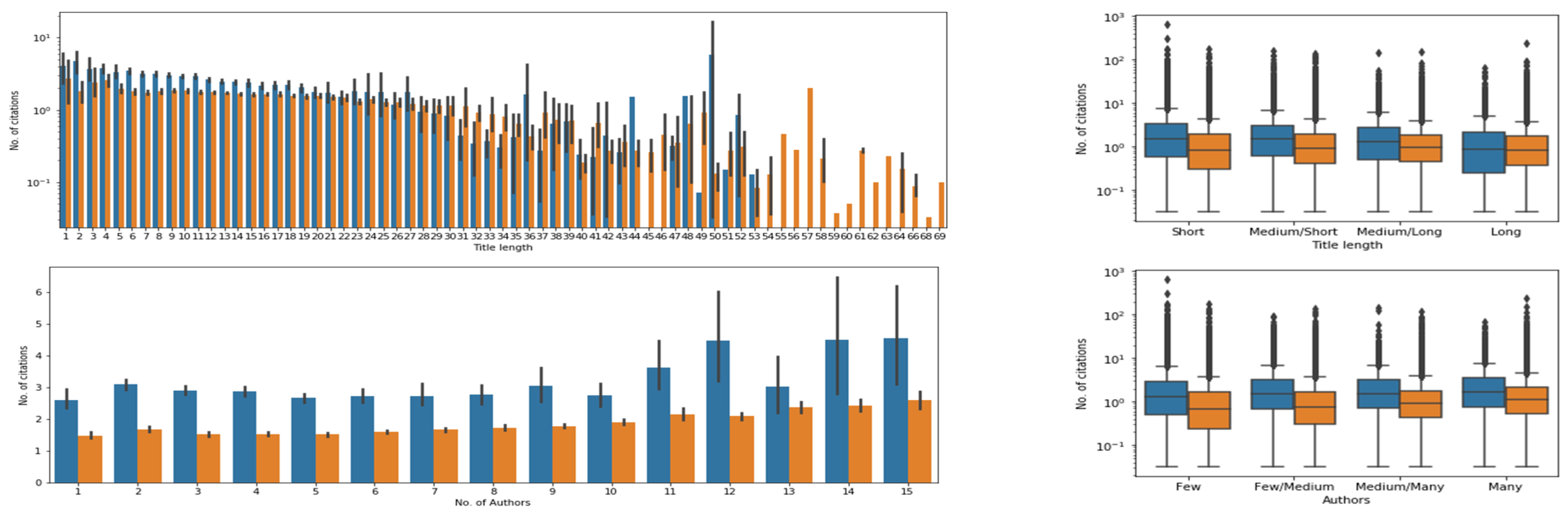
We next considered the association of citations with title length or author number. Although it can be easily observed that studies with exceedingly long titles, over 30 or 40 words, are not cited as much as some studies with shorter titles, the bulk of the studies in the dataset, with title length below 30 words, have a broad range of citations. We have plotted the distribution of citations separately for articles and reviews and the pattern appears quite similar (Figure 4), although research articles show a wider range in title length than Reviews.
It appears that verbose titles tend to accrue fewer citations, but the same relationship does not hold for shorter titles, where the whole range of citations is observed. This relation is not really apparent when we quartilized the data for title length (Figure 4).
It was more difficult to observe a relation between the number of authors and the number of citations, though a slight positive association could be observed (Figure 4).

3.3. Ensemble Machines

We decided to evaluate the relative importance of the textual factors on normalized citations by adopting ensemble predictive machines, namely Gradient Boosting, Bagging and Random Forest.
These algorithms are based on decision trees, i.e., algorithms that split the data based on the features provided in order to get homogenous groups, in this case distinguishing articles with higher and lower citation rates. We first attempted a regression algorithm, i.e., an algorithm aiming to predict the number of citations based on the collected features. The following predictors were considered: sentiment analysis score for the title, presence of a semicolon, a colon, a question mark, access options, document type, number of authors and title length. Even using parameter tuning techniques, i.e., RandomCV search to optimize the hyperparameters for the algorithm, the degree of fitting of the regression algorithms was very low and R2 ranged from 2% for a simple linear regression to 3.3% of Random Forest regressor. Interestingly, Gradient Boosting and Random Forest algorithms can also provide a score of importance for the features, which are shown in Figure 5.
As a comparison, we also decided to use ensemble classifiers, with the same predictors: to this purpose, and to simplify the model, normalized citations were binarily categorized as either low (below the median) or high (above the median). Table 1 summarizes the performance of these algorithms, and Gradient Boosting appears to have the highest F1 score.
A confusion matrix for the classification by Gradient Boosting can be found in Figure A4. The relative weight of the considered factors can be seen in Figure 6. The document type (Reviews vs. articles) is, maybe unsurprisingly, the most relevant predictor of citations, followed by its access options (whether open access or via paid subscription), for the Random Forest classifier. The number of authors (which may show some collinearity with the publication year, Pearson’s r = 0.17) precedes the title length, which, though it does show some association, does not seem to be playing a major role. The presence of a colon in the title (and even more so of a semi-colon) or the sentiment of the title may also have some relevance as predictors.

4. Discussion

Citations are a fundamental factor for the scientific community, because they are the basic metrics that are used to rank research and productivity, and therefore regulate its policies and funding allocation. Within such an information overload setting as the one life sciences are experiencing [19], publishing an article is not enough to expect the article to be seen and cited. On the other hand, some articles may reach impressive levels of visibility. It appears, therefore, important to investigate the factors that, beside scientific soundness and content relevance, may make the article stand out in a literature search and be downloaded, read and possibly cited, because visibility is key to the spreading of ideas and it may affect novel directions and trends of research.
A lot of research has focused on the effects of title length on citations [20], because titles are what a reader would scan first while searching the literature. The results, however, have been, so far, quite conflicting. An investigation conducted in 22 medical journals (comprising more than 9000 articles) concluded that publications with longer titles are cited more than articles with shorter titles, especially for high impact factor journals [21]. This is in agreement with a research by Jacques et al., which showed a positive correlation between title length and citation number in a small set of most- and least-cited articles in three general medicine journals [22]. Other studies, however, found no association [23], different associations according to the field [24], or, more recently, a negative association, when the 20,000 more cited papers for each year in the 2007–2013 period were considered [11].
The present commentary followed a slightly different approach. We focused on articles published in the biomedical field on the specific topic of chronic inflammation. This topic was chosen because of the authors’ domain knowledge, but also because it is broad enough to encompass a vast range of publications across thousands of journals in the biomedical field, and was known and researched since the 19th century. This allowed us to collect a large sample of more than 150,000 articles, or, after excluding those for which no citation was available, with an unusually high number of authors and after limiting our analysis to articles published after 1951, 121,640 articles. Our approach has some limits: it admittedly focuses only on one scientific area, and one topic. By considering articles from such a vast range of years, it may suffer from increased heterogeneity on some predictors. For this reason, the initial dataset, which comprised publications from 1827 to 2021, was reduced to papers appearing in the 1951–2021 interval.
Our initial survey showed a robust association between the genre of the article and the number of citations: unsurprisingly, and consistently with what has already been reported, review articles are usually cited more than research articles [25]. What is more relevant, however, is that reviews in our dataset have significantly shorter titles than original articles. This too is somewhat unsurprising, or at least easily accounted for by the nature of reviews. As they usually encompass broader topics, at least in their narrative version, they often do not require investigation of the details of a single finding, as original articles do, and thus, their titles may often need fewer words. This may in part justify the observation that most-cited articles have shorter titles [11], because many of them happen to be reviews. However, even stratifying by document type, there seems to be some kind of trend for articles with longer titles to have fewer citations, so it may be that that shorter titles are cognitively favored to be easily recognized and read and thus maybe cited.
We then decided to investigate the predictive power of some features associated with the text and its title and relied on ensemble machines Gradient Boosting [26], Bagging [27] or Random Forest [28], both as regressors and as classifiers. These algorithms are based on decision trees and reduce overfitting on training data by running parallel sub-optimal decision trees. In other words, a decision tree could easily find the best splits to divide a dataset in order to eventually obtain homogeneous groups, especially given enough splits, but the solution would be difficult to generalize on different datasets. Thus, sub-optimal trees are used in these algorithms: while each decision tree in these machines is a weak predictor that uses only part of the data, the performance and the bias of the algorithm can be improved by running several of such weak predictors in parallel and by averaging their results. When predicting the visibility of a manuscript we decided to avoid using the citation count, as obtained from the repository, because citations are obviously affected by the publication year. The same article would have different citation counts if assessed at different time points after publication and thus time-since-publication is not an intrinsic quality of a manuscript, but a rather incidental one. Thus, we preferred to use a normalized citation count, which we obtained by normalizing the number of citations for an article by the expected average for that year. We could have adjusted for other factors, e.g., publication or access type, as is often done, but this would have ended up removing these factors from the features the ensemble algorithms consider when analyzing the data. Our goal was to provide these ensemble machines with a series of predictors and let them compute whether they can explain the observed variability in the distribution of the target variable and assess the weight each factor has in affecting such a target.
It can be pointed out that the accuracy of these models was quite low, both for the classifiers and even more so for the regressor algorithms. This means that only a fraction of the variability in the citation count can be explained by these factors which is not surprising. Our database did not include any indicator about the novelty of the content of an article, the prestige of the authors or even the prestige of the journal, scientific and even just sociological factors that would be normally associated to citing a study. Within the factors that we did include, however, the type of document has a heavy impact on citation count and so does the access to the article. The author number, in agreement with Vieira et al. [3] appears high on the list too, although its distribution does not show much association with the number of citations, but the result can be accounted for by the change in author number over time. Title length has some impact but it is overall quite limited. The presence of colons or sentiment analysis appears less relevant, while the effect of semicolons or question marks is quite negligible. It must, however, be highlighted that sentiment analysis was performed with a pre-set sentiment analyzer, albeit a quite popular one, whose reliability in this context might be limited.
Considering how limited the features we used are, the answers the models provided are quite interesting. Further textual characteristics could and should be investigated, such as an analysis of embedding semantics for titles and abstracts, but also abstract length, article length and of course impact factor. Further efforts should also be made to explore the role of the originality and relevance of the content, although it is difficult to define and identify correct metrics for these features.

5. Conclusions

In conclusion, considering the dataset of all the publications since 1951 in the field of chronic inflammation, indexed in Scopus, several factors appear to be associated with citation count; although, obviously, no single factor can decide the fate of a publication. Besides the time passed since its publication, which is necessary for an article to gather citations, the document type, the access type and the number of authors affect citation count. Very wordy titles do appear associated to fewer citations, but title length seems to play a small role in computational models trying to predict citation count.

Author Contributions

Conceptualization, C.G. and S.G.; methodology, C.G.; software, C.G.; formal analysis, C.G.; investigation, S.G.; resources, S.G.; data curation, C.G.; writing—original draft preparation, C.G.; writing—review and editing, C.G.; supervision, S.G.; Both authors have read and agreed to the published version of the manuscript.

Funding

This research received no external funding.

Institutional Review Board Statement

Not applicable.

Informed Consent Statement

Not applicable.

Data Availability Statement

Data available on request due to restrictions.

Conflicts of Interest

The authors declare no conflict of interest.

Appendix A

Figure A1. Composition of our dataset. Above: number of reviews and original articles (left), number of open access or subscription papers (middle), number of publications with negative or positive title sentiment score (right). Below: number of publications by colon number in the title (left), by semicolon (middle) or by number of question marks (right). All the publications are stratified according to document type, where blue indicates reviews and orange indicates original articles.
Figure A1. Composition of our dataset. Above: number of reviews and original articles (left), number of open access or subscription papers (middle), number of publications with negative or positive title sentiment score (right). Below: number of publications by colon number in the title (left), by semicolon (middle) or by number of question marks (right). All the publications are stratified according to document type, where blue indicates reviews and orange indicates original articles.
Publications 09 00015 g0a1
Figure A2. Above: distribution of title lengths in our dataset for review and articles. Below: distribution of author count. Blue bars indicate reviews and orange bars indicate articles. The length of the bar indicates the exact number of publications for that specific title length or author count in our dataset.
Figure A2. Above: distribution of title lengths in our dataset for review and articles. Below: distribution of author count. Blue bars indicate reviews and orange bars indicate articles. The length of the bar indicates the exact number of publications for that specific title length or author count in our dataset.
Publications 09 00015 g0a2

Appendix B

Figure A3. Boxplots of author number (left) and title length (right) by document type. The plots show that reviews have significantly fewer authors and significantly shorter titles. The whiskers of the plots corresponds to 1.5× the interquartile range. Values falling outside of this intervals are represented as black dots.
Figure A3. Boxplots of author number (left) and title length (right) by document type. The plots show that reviews have significantly fewer authors and significantly shorter titles. The whiskers of the plots corresponds to 1.5× the interquartile range. Values falling outside of this intervals are represented as black dots.
Publications 09 00015 g0a3
Figure A4. Confusion matrix for Gradient Boosting. The matrix breaks down articles that were predicted to have a low or high citation count and what they were actually like (‘Observed’).
Figure A4. Confusion matrix for Gradient Boosting. The matrix breaks down articles that were predicted to have a low or high citation count and what they were actually like (‘Observed’).
Publications 09 00015 g0a4

References

  1. Bai, X.; Liu, H.; Zhang, F.; Ning, Z.; Kong, X.; Lee, I.; Xia, F. An overview on evaluating and predicting scholarly article impact. Information 2017, 8, 73. [Google Scholar] [CrossRef]
  2. Bai, X.; Zhang, F.; Lee, I. Predicting the citations of scholarly paper. J. Informetr. 2019, 13, 407–418. [Google Scholar] [CrossRef]
  3. Bentéjac, C.; Csörgő, A.; Martínez-Muñoz, G. A comparative analysis of gradient boosting algorithms. Artif. Intell. Rev. 2021, 54, 1937–1967. [Google Scholar] [CrossRef]
  4. Blümel, C.; Schniedermann, A. Studying review articles in scientometrics and beyond: A research agenda. Science 2020, 124, 711–728. [Google Scholar] [CrossRef]
  5. Borg, A.; Boldt, M. Using VADER sentiment and SVM for predicting customer response sentiment. Expert Syst. Appl. 2020, 162, 113746. [Google Scholar] [CrossRef]
  6. Bornmann, L.; Mutz, R. Growth rates of modern science: A bibliometric analysis based on the number of publications and cited references. J. Assoc. Inf. Sci. Technol. 2015, 66, 2215–2222. [Google Scholar] [CrossRef]
  7. Breiman, L. Random forests. Mach. Learn. 2001, 45, 5–32. [Google Scholar] [CrossRef]
  8. Burrell, Q.L. Predicting future citation behavior. J. Am. Soc. Informetr. Sci. Technol. 2003, 54, 372–378. [Google Scholar] [CrossRef]
  9. De Rijcke, S.; Rushforth, A. To intervene or not to intervene; is that the question? On the role of scientometrics in research evaluation. J. Assoc. Inf. Sci. Technol. 2015, 66, 1954–1958. [Google Scholar] [CrossRef]
  10. Duyx, B.; Urlings, M.J.; Swaen, G.M.; Bouter, L.M.; Zeegers, M.P. Scientific citations favor positive results: A systematic review and meta-analysis. J. Clin. Epidemiol. 2017, 88, 92–101. [Google Scholar] [CrossRef]
  11. Egghe, L. The Hirsch index and related impact measures. Annu. Rev. Inf. Sci. Technol. 2010, 44, 65–114. [Google Scholar] [CrossRef]
  12. Eysenbach, G. Citation advantage of open access articles. PLoS Biol. 2006, 4, e157. [Google Scholar] [CrossRef] [PubMed]
  13. Génova, G.; Astudillo, H.; Fraga, A. The scientometric bubble considered harmful. Sci. Eng. Ethic. 2016, 22, 227–235. [Google Scholar] [CrossRef] [PubMed]
  14. Habibzadeh, F.; Yadollahie, M. Are shorter article titles more attractive for citations? Cross-sectional study of 22 scientific journals. Croat. Med. J. 2010, 51, 165–170. [Google Scholar] [CrossRef]
  15. Ho, Y.-S.; Kahn, M. A bibliometric study of highly cited reviews in the Science Citation Index expanded™. J. Assoc. Informetr. Sci. Technol. 2014, 65, 372–385. [Google Scholar] [CrossRef]
  16. Hutto, C.J.; Gilbert, E.E. VADER: A parsimonious rule-based model for sentiment analysis of social media text. In Proceedings of the International AAAI Conference on Web and Social Media, Ann Arbor, MI, USA, 1–4 June 2014; Volume 8. [Google Scholar]
  17. Jacques, T.S.; Sebire, N.J. The impact of article titles on citation hits: An analysis of general and specialist medical journals. JRSM Short Rep. 2010, 1, 1–5. [Google Scholar] [CrossRef]
  18. Letchford, A.; Moat, H.S.; Preis, T. The advantage of short paper titles. R. Soc. Open Sci. 2015, 2, 150266. [Google Scholar] [CrossRef]
  19. Lovaglia, M.J. Predicting citations to journal articles: The ideal number of references. Am. Sociol. 1991, 22, 49–64. [Google Scholar] [CrossRef]
  20. Mingers, J.; Leydesdorff, L. A review of theory and practice in scientometrics. Eur. J. Oper. Res. 2015, 246, 1–19. [Google Scholar] [CrossRef]
  21. Newman, H.; Joyner, D. Artificial Intelligence in Education; Penstein Rosé, C., Ed.; Springer: Cham, Switzerland, 2018; pp. 246–250. [Google Scholar] [CrossRef]
  22. Rostami, F.; Mohammadpoorasl, A.; Hajizadeh, M. The effect of characteristics of title on citation rates of articles. Scientometrics 2014, 98, 2007–2010. [Google Scholar] [CrossRef]
  23. Siebelt, M.; Siebelt, T.; Pilot, P.; Bloem, R.M.; Bhandari, M.; Poolman, R.W. Citation analysis of orthopaedic literature; 18 major orthopaedic journals compared for Impact Factor and SCImago. BMC Musculoskelet. Disord. 2010, 11, 4. [Google Scholar] [CrossRef] [PubMed]
  24. Skurichina, M.; Duin, R.P. Bagging for linear classifiers. Pattern Recognit. 1998, 31, 909–930. [Google Scholar] [CrossRef]
  25. Smith, D.R. Impact factors, scientometrics and the history of citation-based research. Scientometrics 2012, 92, 419–427. [Google Scholar] [CrossRef]
  26. Vieira, E.; Gomes, J. Citations to scientific articles: Its distribution and dependence on the article features. J. Informetr. 2010, 4, 1–13. [Google Scholar] [CrossRef]
  27. Yitzhaki, M. Relation of the title length of a journal article to the length of the article. Scientometrics 2002, 54, 435–447. [Google Scholar] [CrossRef]
  28. Yogatama, D.; Heilman, M.; O’Connor, B.; Dyer, C.; Routledge, B.R.; Smith, N.A. Predicting a scientific community’s response to an article. In Proceedings of the EMNLP 2011—Conference on Empirical Methods in Natural Language Processing, Edinburgh, UK, 27–31 July 2011; pp. 594–604. [Google Scholar]
Figure 1. Above: Distribution of Articles (orange) and Reviews (blue) included in the present corpus, expressed on a log scale.
Figure 1. Above: Distribution of Articles (orange) and Reviews (blue) included in the present corpus, expressed on a log scale.
Publications 09 00015 g001
Figure 2. Distribution of citations for the manuscripts in the present corpus. Values are shown as mean +/− standard deviation.
Figure 2. Distribution of citations for the manuscripts in the present corpus. Values are shown as mean +/− standard deviation.
Publications 09 00015 g002
Figure 3. Boxplots representing the number of (normalized) citations in review and original articles (above, left-hand side), subscription-based and open access publications (above, middle), publications with negative or positive title sentiment score (above, right-hand side) and citation count based on the number of colons in the title (below, left-hand side), semicolons (below, middle) or question marks (below, right-hand side). For all the plots, review papers are indicated in blue and original articles in orange.
Figure 3. Boxplots representing the number of (normalized) citations in review and original articles (above, left-hand side), subscription-based and open access publications (above, middle), publications with negative or positive title sentiment score (above, right-hand side) and citation count based on the number of colons in the title (below, left-hand side), semicolons (below, middle) or question marks (below, right-hand side). For all the plots, review papers are indicated in blue and original articles in orange.
Publications 09 00015 g003
Figure 4. Above, left: Distribution of normalized citations by title length in reviews (blue) and original articles (orange); right: boxplot representing the normalized citation count by quartiles of title length in reviews or original articles. Below, left: Distribution of normalized citations by author count in reviews (blue) and original articles (orange); right: boxplot representing the normalized citation count by quartiles of number of authors in reviews or original articles.
Figure 4. Above, left: Distribution of normalized citations by title length in reviews (blue) and original articles (orange); right: boxplot representing the normalized citation count by quartiles of title length in reviews or original articles. Below, left: Distribution of normalized citations by author count in reviews (blue) and original articles (orange); right: boxplot representing the normalized citation count by quartiles of number of authors in reviews or original articles.
Publications 09 00015 g004
Figure 5. Feature importance for (A) GradientBoost regressor and (B) Random Forest regressor.
Figure 5. Feature importance for (A) GradientBoost regressor and (B) Random Forest regressor.
Publications 09 00015 g005
Figure 6. Overview of feature importance for (A) GradientBoost and (B) Random Forest classifier.
Figure 6. Overview of feature importance for (A) GradientBoost and (B) Random Forest classifier.
Publications 09 00015 g006
Table 1. Summary of the performance of the algorithms for the classification of the citation rate in the analyzed corpus.
Table 1. Summary of the performance of the algorithms for the classification of the citation rate in the analyzed corpus.
AlgorithmAccuracyPrecisionRecallF1 Score
Gradient Boosting0.5990.5980.5140.552
Bagging0.5700.5600.4830.519
Random Forest0.5970.6010.4790.533
Logistic Regression0.5900.5830.5170.548
Publisher’s Note: MDPI stays neutral with regard to jurisdictional claims in published maps and institutional affiliations.

Share and Cite

MDPI and ACS Style

Galli, C.; Guizzardi, S. The Effect of Article Characteristics on Citation Number in a Diachronic Dataset of the Biomedical Literature on Chronic Inflammation: An Analysis by Ensemble Machines. Publications 2021, 9, 15. https://doi.org/10.3390/publications9020015

AMA Style

Galli C, Guizzardi S. The Effect of Article Characteristics on Citation Number in a Diachronic Dataset of the Biomedical Literature on Chronic Inflammation: An Analysis by Ensemble Machines. Publications. 2021; 9(2):15. https://doi.org/10.3390/publications9020015

Chicago/Turabian Style

Galli, Carlo, and Stefano Guizzardi. 2021. "The Effect of Article Characteristics on Citation Number in a Diachronic Dataset of the Biomedical Literature on Chronic Inflammation: An Analysis by Ensemble Machines" Publications 9, no. 2: 15. https://doi.org/10.3390/publications9020015

APA Style

Galli, C., & Guizzardi, S. (2021). The Effect of Article Characteristics on Citation Number in a Diachronic Dataset of the Biomedical Literature on Chronic Inflammation: An Analysis by Ensemble Machines. Publications, 9(2), 15. https://doi.org/10.3390/publications9020015

Note that from the first issue of 2016, this journal uses article numbers instead of page numbers. See further details here.

Article Metrics

Back to TopTop