Abstract
As Open access (OA) is often perceived as the end goal of scholarly publishing, much research has focused on flipping subscription journals to an OA model. Focusing on what can happen after the presumed finish line, this study identifies journals that have converted from OA to a subscription model, and places these “reverse flips” within the greater context of scholarly publishing. In particular, we examine specific journal descriptors, such as access mode, publisher, subject area, society affiliation, article volume, and citation metrics, to deepen our understanding of reverse flips. Our results show that at least 152 actively publishing journals have reverse-flipped since 2005, suggesting that this phenomenon does not constitute merely a few marginal outliers, but instead a common pattern within scholarly publishing. Notably, we found that 62% of reverse flips (N = 95) had not been born-OA journals, but had been founded as subscription journals, and hence have experienced a three-stage transformation from closed to open to closed. We argue that reverse flips present a unique perspective on OA, and that further research would greatly benefit from enhanced data and tools for identifying such cases.
1. Introduction
During the last two decades, the scholarly publishing landscape has undergone several major concurrent shifts, two of which have had a particularly strong influence on the publishing and economic models that scholarly journals operate on. The first shift relates to the steadily increasing, high concentration of market power held by only a few individual publishers (i.e., Elsevier, Sage, Springer Nature, Taylor & Francis, Wiley) that have grown to their current size largely by neutralizing their competition through mergers and acquisitions of individual journals as well as smaller publishers [1,2]. While a competitive, functional market requires substitutability of products, low entry barriers, and demand and supply elasticity, these conditions do not exist in the scholarly publishing market [3]. The growing stronghold over market share and power has enabled these publishers to raise their subscription prices and maximize their revenues according to shareholder expectations. As subscription costs continue to rise rapidly [4,5], academic libraries cannot keep pace and face difficulties providing their researchers with access to essential literature. In many cases, the financial pressures have forced libraries to shift their expenditures and to cancel journal subscriptions [6,7]. The second and interrelated shift was set in motion when the traditional publishing model was beginning to be fundamentally questioned and replaced with alternative models not reliant on reader-side payment, i.e., open access publishing, which sometimes involves author-side publishing charges. Open access (OA) was initiated as a counter-movement to the publishers’ profit-maximizing pricing [8], but more fundamentally to remove paywalls from scholarly literature and provide universal access for any interested reader [9]. This became technically possible with the advent of the Internet in the early 1990s, which facilitated the rapid and low-cost dissemination of research results.
These two fundamental shifts—the high market power concentration and OA publishing—are still ongoing and involve a multitude of stakeholders engaged in scholarly publishing (e.g., universities and research institutions, libraries, researchers, publishers, funders, policy makers). As OA is gaining momentum, frustrations with the deficient subscription-based system of knowledge dissemination have become more widely apparent among individual researchers [10,11] and academic institutions alike [12,13,14]. Initiatives such as the recently unveiled Plan S show that, in particular, research funders are taking strong collective action [15]. This support is also reflected on a global scale, considering that the number of research funders and institutions adopting OA mandates is continually rising and showed an increase of about 66% in the last five years [16].
Likewise, the share of OA journals and numbers of published OA articles have increased in recent years: 563,146 in 2017 as compared to 327,766 in 2012 [17]. Similarly, Piwowar et al. [18] show that users of the Unpaywall browser extension [19], accessing recent articles, find about every second article (47%) to be OA. Although these numbers might sound promising, the majority of journals still operate on a closed-access model and most scholarly research remains locked away. The authors [18] estimate that only 28% of the entire corpus of scholarly literature is freely available in 2018, more than two decades after the OA movement began. Part of the reason for this is the pending question of how subscription journals can convert, or “flip”, to OA while remaining sustainable. The potential solutions and their perceived viability vary a lot depending on who proposes them—an individual journal, a publisher, a scholarly society, a researcher—and how they define sustainability. For example, a small journal might refer to breaking even, while for a commercial publisher “sustainability” may entail maintaining, or more likely, increasing their profits over time.
The slow progress in advancing OA is an issue long discussed and recognized among all stakeholders. Further delaying the conversion of subscription journals, or rapid adoption of new OA journals as substitutes, is the lack of incentives for publishers to accelerate this process and discard what has proven to be a highly profitable and stable business model. Accordingly, publishers have adopted a lucrative intermediate step towards OA, hybrid OA, and hence added an additional publishing option instead of replacing their existing offers. Hybrid OA refers to a publishing model in which subscription journals allow authors to publish individual articles OA, which typically requires the payment of article processing charges (APCs) that are almost twice as high as for fully OA journals [20]. The hybrid model was first introduced as “a low-risk strategy” [21] (p. 164) for a gradual transition to OA by David Prosser in 2003, and adopted by the major publishers within a few years.
In this paper, we explore a largely unnoticed phenomenon within scholarly communications research, which we term “reverse flips”, the transition of an OA journal to a subscription model (including hybrid OA). The most extensive resource documenting such journal conversions is a wiki-page of The Open Access Directory (OAD), which contained 20 entries as of 12 November 2018 [22]. We are interested in going beyond the OAD to explore reverse flips in greater depth and discover how common this type of transition is and in which context it occurs. In particular, we will consider journal descriptors, such as access mode, publisher, subject area, article volume, and citation metrics, to deepen our understanding of reverse flips. We argue that a systematic look at reverse flips not only is important to gauge the scope of this phenomenon, but also presents a unique perspective on the ongoing transition to OA.
2. Background
Previous studies on the development of OA have indicated a slow but steady growth in article volume of around 1.0–1.5% per year relative to subscription journals during the last decade [18,23,24]. Such bibliometric studies have usually been based on snapshots of the OA status of the general journal and article population at a given point in time, whereas status changes of individual journals over time have rarely been acknowledged. Due to this methodological aspect, the bigger picture shows continuous growth of OA with time, while journal-level patterns remain mostly unknown. In the absence of research directly related to reverse flips, we position our study within the broader field of scholarly publishing and build on existing research on journal flips from closed access to OA, as well as research on the activity lifecycles and sustainability of OA journals.
2.1. Journal Flips to OA
Since the OA publishing model first emerged, it has evolved and matured, so that today journals employ a multitude of distinct models and practices to provide free access to scholarly literature on the Web. In many cases, journals operate on a subscription model for years before converting to OA, whereas others are born-OA venues (i.e., OA since their launch). The act of converting a subscription journal to a fully OA venue is often referred to as “flip”, suggesting a sudden, quick transformation, although the actual flip is often part of a longer transition process. During this transitional phase, journals sometimes implement more restrictive OA practices (e.g., delayed OA) while working towards a permanent model that follows a more comprehensive and immediate approach to OA. However, despite being a critical aspect in the history and ongoing evolution of scholarly publishing, our empirical understanding of the processes behind the implementation of OA publishing models remains low. The most comprehensive quantitative study on OA journal lifecycles was conducted by Solomon et al. [25], which determined the initial publishing model of 1995 OA journals. The authors [25] found that 53% of these journals had flipped from closed access to OA, whereas the remaining 47% were born-OA venues.
Besides Solomon et al.’s study [25], most of the information about changing publishing models is spread across brief editorial announcements of journals that converted to OA [26,27,28,29,30], case studies in information science journals [31,32,33], or various types of reports [34,35,36]. The main limitation of these sources is that they are often narrow in scope and do not consider factors outside of the immediate relevance to the journal at hand. Moreover, the sources that are publicly available are also biased towards successful endeavors; accounts of failed attempts are difficult to obtain. Due to the limited availability of source material and the fragmented nature of research on journal flips, cumulative knowledge-building around the dynamics involved has been constrained. Solomon et al. [37] provide a comprehensive review of the scattered literature on journal flips, coupled with expert interviews to clarify the arguments presented in the literature. The report [37] presents various circumstances and motivations behind the flips, ranging from increased revenue and financial viability, to gaining independence, and a desire to increase publication volume [37] (pp. 22–28). However, since the individual circumstances surrounding the flips vary greatly, making generalizations is difficult. The report does not include a wide-scale bibliometric analysis, so the quantitative scope and patterns of journal flipping remain largely unknown. To fill this gap in the literature, our study assesses the measurable scope of reverse-flip journal conversions and closely examines their bibliometric patterns.
2.2. Sustainability of OA Journals
The sustainability of OA publishing models partly depends on author attitudes towards OA, and although most researchers can easily relate to the rationale behind making scholarly literature freely available, author-side costs associated with APCs are a contested issue [38,39,40]. The main argument against APCs centers on the obscurity of how the fees are calculated—Ubiquity Press [41] and eLife [42], for example, are exceptions to the rule—and what accounts for the price variation between journals ranging from $0.20 to $5200 [17] (p. 33). The acceptability of APCs varies between academic disciplines and often depends on common publishing practices and the availability of funding sources (e.g., personal research funds, discretionary research funds, departmental or other institutional funds, library OA funds, grants). Accordingly, authors from fields with well-established self-archiving practices, such as the physical sciences and mathematics (PSM), are more likely to object to high publication charges as they can make their research openly available for free [40]. Moreover, researchers from better-funded disciplines, such as the life sciences (LS), are more willing to pay for OA than researchers from the social sciences and humanities (SSH) who have less access to funding [39,40,43]. A recent qualitative study by van der Graaf et al. [44] confirmed that OA publishing is largely driven by, and reliant upon, external funding since there is great resistance among authors to use discretionary budgets for APC payments.
Sotudeh and Horri [45] were the first to recognize the reverse-flip phenomenon, although not defining it as such, and established manual verification as an essential methodological step for identifying such cases. Analyzing the longitudinal stability of 284 OA journals, the authors find 22 fully OA titles that converted to more restrictive access models, such as delayed OA, hybrid OA, or entirely toll access. In a similar way, Laakso et al. [46] discovered reverse flips as part of a study on the longitudinal development of OA journal publishing, and found that, between 2002 and 2009, 14 of the 303 journals in their sample had reverse-flipped to a subscription model.
While the last two studies affirm the relevance of our paper by addressing reverse flips as secondary research results, we draw on the following two for interpreting our findings. Björk et al. [47] examined the OA status and publishing activity of 250 independent born-OA journals founded prior to 2002 (independent defined as not being published by a professional publisher). In 2014, 115 journals were still active and fully OA, 100 journals had ceased publication, 23 had disappeared from the Web completely, and the remaining 12 journals had reverse-flipped to subscription access. Likewise, Crawford [48] studied 86 journals that were classified as OA in 1995, and found 49 (57%) of the journals to still be publishing in 2000. Crawford [48] observed a common pattern among the discontinued or comatose journals, coined the “arc of enthusiasm”, where a new journal thrives for two to five years, but the flow of articles begins to decline after the highs of the first and second year. We turn to these studies when considering the time frame within which reverse flips occurred, with particular attention to newly founded OA journals. In both Crawford [48] and Björk et al. [47], most journals remained active during the first two to five years, whereas the mortality rate rose during the critical six to nine-year period. After that, the number of ceased journals decreased sharply and journals still actively publishing at that point had reached higher stability. In addition to briefly reporting observations on reverse flips, Björk et al. [47] highlight that maintaining momentum in publishing activity is a common trait among surviving journals, whereas it is rare for journals to recover after a period of inactivity.
Only a couple of other studies have moved beyond primarily bibliometric analysis and approached the issue of sustainability through exploring OA factors from alternative perspectives [49,50]. Investigating the economic viability of OA publishing for scholarly associations, Willinsky [49] used the tax return information of 20 U.S. non-profit scholarly associations to gauge the potential impact of introducing OA to their journals. The study reveals the complex economic circumstances of journals affiliated with scholarly associations: Although OA would promote the associations’ goals and serves their membership better, providing free access to their journals could diminish incentives for membership and result in losing revenue from library subscriptions. Willinsky [49] revealed that in some cases subscription income not only covers the publishing costs but also generates a surplus that can be reinvested in the associations’ other activities. Hence, a sustainable flip to OA often requires reducing publishing costs (e.g., through omitting the print edition or using open source publishing software) as well as finding alternative revenue streams to cover the loss of subscription income (e.g., library consortia financing).
Morrison’s [50] study is based on interviews and focus groups with representatives from 15 small scholarly led journals, including seven OA journals. The respondents explain, “The most common barrier to OA (...) is figuring out how to make ends meet” [50] (p. 86), as several journals heavily rely on subsidies, grants, and other types of external funding to implement and remain OA. A significant drawback of these external funding sources is competitive funding schemes or otherwise uncertain continuity, so that many journals find it challenging to obtain the resources they need to stay afloat. Moreover, under certain circumstances, the dependence on external funding can make journals vulnerable to outside influences, such as commercial interests—through advertising [51]—or changes in the political climate in the case of public funding sources [52].
Based on the research reviewed in this section, we assume that the decision to reverse-flip is likely related to the journal’s sustainability. Although transferring the publishing duties of an OA journal to a professional publisher and converting it to a subscription journal entails the end of free universal access, this change might bring other benefits, such as reducing the volunteer labor needed to operate the journal and enhancing the prestige of the venue through association with a well-established publishing house.
While studying journals as independent and isolated cases is necessary to capture context-specific details, we realize that journals do not exist in a vacuum, but within a dynamic environment characterized by competition for high-quality manuscripts. Since peer-reviewed publications are still the key to academic career progression, a journal’s value is closely connected to the prestige it brings to authors [53,54]. As a proxy indicator for journal prestige and quality, citation metrics and journal rankings can influence how the scholarly community perceives competing journals, and we therefore include journal-level metrics, such as Source Normalized Impact per Paper (SNIP) [55], in our analysis.
2.3. Research Questions
Until now, reverse flips have only been observed as secondary research findings. By setting them as the primary study objective, the present study aims to explore this phenomenon in greater scope and depth. Due to the scarcity of previous research, we do not know how common it is for journals to change their publishing model from fully OA to a subscription-based. We take this as our starting point to examine the greater context in which these transitions occur, such as publisher, subject area, article volume, and citation metrics. We are specifically interested in answering the following research questions:
- How many OA journals have reverse-flipped to a subscription model?
- To provide a general overview,
- How thoroughly are these journals indexed in major bibliometric databases?
- Which academic disciplines do the journals belong to?
- How many articles did these journals publish between 2000 and 2018?
- Under which publisher did the reverse flip occur? Who currently publishes the journals?
- How many journals are affiliated with scholarly societies or research institutions? In which countries are these societies and institutions based?
- How old were the journals at the time of the reverse flip?
- Before the reverse flip,
- How many journals had been subscription venues before converting to OA?
- How many journals were APC-based, and at what price levels?
- After the reverse flip,
- Which access model have the journals operated on?
- Has the publication volume changed?
- Have journal-level citation metrics changed?
- For reverse-flip journals that currently operate on a hybrid model,
- How do the APC levels differ before and after the flip?
- What is the uptake of hybrid OA articles?
- How long are the embargo periods for self-archiving?
Our study is of limited scope, since the motivation behind reverse flips cannot be affirmed through bibliometric research alone. Such highly complex decision-making processes and unique circumstances would best be studied through an additional qualitative study based on interviews. Nevertheless, this article lays the necessary foundation for such an inquiry.
3. Materials and Methods
3.1. Identifying Reverse Flips
For the purposes of this study, we created and curated a dataset—available on Zenodo [56]—that includes the following core data: ISSN, year the journal was founded, year of the reverse flip, country of journal affiliation, journal affiliation, journal title, publisher, access mode, academic discipline, OA history (born-OA/flipped-to-OA), and embargo period. Since no single data source exists that tracks the OA status of journals over time, we consulted several different data sources—Scopus title lists [57], journal title lists provided by publishers, title lists by the Directory of Open Access Journals (DOAJ) [58], the OAD list of reverse-flip journals [22], previous studies [37,45,46,47], and Ulrichsweb [59]—in order to create a dataset that is as comprehensible as possible. With the exception of Ulrichsweb and journals encountered during earlier research projects by the authors, we only used sources that are publicly available on the Internet, although sometimes difficult to find. We collected the data manually and did not follow a uniform method since each data source required a unique approach for extracting the information. Moreover, all our data sources have very noisy data concerning the identification of reverse flips, which required manual verification to confirm that a reverse flip had occurred.
We define a “reverse flip” as a journal that has published at least one complete volume as immediate OA (with no indication of a temporary or promotional exception) after which the publishing model changed to subscription-based (including hybrid OA). Due to the methodological limitation of retrospective identification and the related risk of false positives due to retrospective OA archiving of inactive journals, the study is limited to journals that are still actively publishing. In the context of this paper, we understand OA as free to read, not requiring a login; we did not check for specific licensing.
The following section elaborates our data collection process for each source.
3.1.1. Ulrichsweb Global Serials Directory
Ulrichsweb Global Serials Directory is generally considered to be the broadest index of serials available, covering over 383,000 titles. While a substantial number of these titles are not scholarly peer-reviewed journals, the web interface offers an advanced search function that allows for targeted queries to filter results efficiently. The following criteria were used for querying Ulrichsweb, once on 24 May 2012, and on 3 July 2018:
- Status: Active
- Serial Type: Journal
- Content Type: Academic/Scholarly
- Key Features: Refereed/Peer-reviewed. Available Online, Open Access
- Start Year (1–2012 for the first query, and 1–2018 for the second)
The 2012 query resulted in 2402 journals, compared to 3786 journals in 2018. After the initial query, we cross-checked the title lists for journals that were flagged as OA in 2012, but not anymore in 2018, and found that in 1409 cases the journal’s OA status did not match. We then visited the websites of these 1409 journals, with the following outcome:
- 818 journals were still OA and active;
- 478 journals were still OA but had been inactive for over two years;
- 80 journals had disappeared, no comprehensive access to any issues;
- 14 journals required a login, but were otherwise free to access;
- 1 journal had never been OA (immediate and comprehensive); and
- 18 journals were potential reverse flips requiring validation.
The most notable drawbacks of using Ulrichsweb for this study include a lack of article volume information, limited to the scholarly quality of journals even when containing all flags. It is possible that the service has changed the criteria and/or mechanism for flagging journals as OA between 2012 and 2018, which could explain the large number of false positives among the initial filtering.
3.1.2. Scopus
Scopus is a bibliographic database owned by Elsevier that indexes scholarly serials. It is primarily sold as a subscription service, but for the purposes of this study, we compared freely available title lists that also provide information about the OA status. We downloaded a title list file on 26 February 2014 (updated as of February 2014) [60], and a second title list file on 7 June 2018 (updated as of April 2018) [61].
The 2014 title list contained 32,664 serials categorized as journals, of which 2705 journals were tagged as “DOAJ registered” and an additional three journals as “OA, but not registered in DOAJ”. The 2018 title list contained 35,481 serials categorized as journals, of which 4159 were tagged as “DOAJ/ROAD Open Access”. Through cross-comparison of the two lists, we found 907 journals no longer tagged as OA in 2018. We categorized these journals as potential reverse flips, which needed to be manually verified to identify false positives and actual reverse flips. Visiting the journal websites resulted in the following outcome:
- 556 journals were still OA and active;
- 212 journals were still OA but had been inactive for over two years;
- 32 journals had disappeared, no comprehensive access to any issues;
- 23 journals had never been OA (immediate and comprehensive);
- 7 journals required a login, but were otherwise free to access;
- 6 journals had been inactive for over two years, but not verifiable as reverse flips;
- 4 journals had never been OA (immediate and comprehensive); and
- 67 journals were potential reverse flips requiring validation.
3.1.3. Publisher Title Lists
Another way to identify reverse flips is through journal title lists found on the publishers’ websites. The format and information of these lists vary depending on the publisher, and often on the year it was released. To create a sub-dataset [62] that is as comprehensible as possible, yet manageable to compile, we gathered subscription and APC price lists, OA and hybrid OA title lists, and website screenshots from the five largest publishers, Elsevier, Sage, Springer Nature, Taylor & Francis, and Wiley, ranging from 2010 to 2018. These documents were acquired through manual searches of the Internet Archive’s Wayback Machine [63].
The most significant challenge of this approach was the varying availability and accessibility of documents and archived websites. Rarely do publishers make it easy to find such files, especially older documents, nor do they provide easily reusable file formats. Consequently, this approach was incredibly time-intensive and required much manual work.
We were able to identify 30 reverse flips through these documents, of which 15 were also detected through other approaches we used.
3.1.4. The DOAJ
The DOAJ has been the most comprehensive index of OA journals since its launch in 2003. The database currently lists over 12,000 active OA journals and is free to use.
Comparison of Journals Included in the DOAJ 2012–2014
The DOAJ only maintains records for active journals and provides public records about removed journals from 2014 onwards. However, the DOAJ also provides access to journal metadata [64] of indexed titles before 2014. We downloaded two snapshots of the DOAJ metadata, the first one on 1 January 2012 and the second on 26 February 2014.
The 2012 file contained 7372 journal titles compared to 9745 in 2014. We cross-matched both files and found that 1026 journals had been removed from the DOAJ between 2012 and 2014. Of those, we had already detected and verified 63 when examining DOAJ removals from 2014 onwards. We manually verified the remaining 963 unique journals with the following outcome:
- 379 journals were still OA and active;
- 445 journals were still OA, but had been inactive for at least over two years;
- 96 journals had disappeared;
- 2 journals required a login, but were otherwise free to access;
- 1 journal had never been OA (immediate and comprehensive); and
- 40 journals were potential reverse flips requiring validation.
The DOAJ Removed List
The DOAJ maintains a list of journals that have been removed from the database for various reasons (e.g., the journal is no longer OA, ceased publishing, or does not adhere to best practice standards). The file is publicly available [65] and includes the journal title, ISSN, timestamp, and reason for removing the journal from the database.
The DOAJ list of journals removed had 2922 entries, dating back to January 2014, when we analyzed it on 2 June 2018. We first filtered the list for OA-related reasons for removal and narrowed the number of potential reverse flips to 141. We manually verified 34 actual reverse flips.
3.1.5. The OAD List of Reverse-Flip Journals
The only substantial effort to collect transparent information about reverse flips is a wiki-page that was created in 2011 [66] as part of the OAD. It started with six journal entries in 2011 and had grown to 20 by November 2018. We visited current and past websites of the listed journals and identified 15 journals that fulfilled our criteria for a reverse flip.
3.1.6. List of Retracted OA Journals by Sotudeh and Horri
Table 3 in Sotudeh and Horri [45] (p. 1582) contains 22 journals labeled as retracted OA journals, which the authors define as journals that “drop their open access or adopt a more flexible OA model”. We visited current and archived websites of these journals and found that six journals fulfilled our criteria for a reverse flip.
3.1.7. Journals Encountered during Previous Research Projects
Previous studies by the authors of this paper had also collected observations of reverse flips as secondary results of research projects primarily focusing on other aspects of the journal publishing landscape. Fifteen potential reverse flips were identified from already completed studies [37,46,47] and 15 additional ones from an ongoing project examining journals indexed in the DOAJ and Directory of Open Access Scholarly Resources (ROAD). We validated these entries manually before adding them to the dataset.
3.2. Creating a Unified Dataset
After we identified potential reverse flips from the data sources mentioned above, we added all 259 instances to a single spreadsheet and checked this list for duplicates (see Figure 1 for a summary of our data collection process). We merged cases found through two or more of the data sources and arrived at 213 potential reverse flips that we needed to verify manually. For the manual verification, we accessed the journal websites through the Internet Archive’s Wayback Machine and recorded the years of the last OA issue and the first closed-access version. We define the year of the reverse flip as the year the journal became closed access. Through this process, we confirmed 152 reverse flips. In the remaining 61 cases, the journal had either never been OA in the first place, only a few issues had been OA (e.g., special issues), or the journal had not converted from OA to closed access (i.e., still OA).
Figure 1.
The data collection process in four stages: (1) Identification, (2) Unification, (3) Verification, and (4) Enrichment.
As Figure 2 shows, the data sources contributed mostly unique instances with only a small degree of overlap between them, with the exceptions of the OAD and the eight journals that had been encountered during earlier studies, which were not detected by any other method. There are at least two critical considerations supported by the distribution of the observations. First, the multi-method data collection strategy was beneficial and only minimally redundant for identifying reverse flips. Second, eight journals previously known to be reverse-flip titles were not detected by any other method, which suggests room for improvement in method development and the probability of additional undetected reverse-flip journals.
Figure 2.
A Venn diagram visualizing data source overlap and contribution to the final dataset of verified reverse flips. Not displayed, the intersection of Open Access Directory (OAD) and Directory of Open Access Journals (DOAJ) and Publisher Portfolios (N = 1). Created with www.meta-chart.com [67].
For verified reverse flips, we subsequently added the following information: ISSN, year founded, location of affiliation, affiliation (e.g., society, research institution), access model (subscription or hybrid), APC (pre-flip, post-flip, current), academic discipline [68], born-OA or flipped-to-OA, and, for hybrid journals, current embargo periods. Depending on the data source through which we initially identified the reverse flip, we had already acquired some of this data at previous stages; the missing information was collected manually by browsing journal websites and the Internet Archive. We acquired the journals’ publication volume through the Crossref API [69] using the rcrossref client from rOpenSci [70] and the SNIP indicators through Leiden University’s Centre for Science and Technology Studies (CWTS) [71]. Regarding the journals’ history, we assumed that if a journal was founded before 1985, it had flipped to OA. For journals launched after 1985, we distinguished born-OA from converted-OA journals through current and archived journal webpages. We chose the year 1985 as the tipping point because by the late 1980s and early 1990s the Internet had advanced to the point that scholars were able to publish free, digital journals online [72]. The formal data analysis is tracked with R and R Markdown and is openly available on GitHub, including version history [73].
4. Results
In this section we present the results of our study, covering each research question individually.
4.1. Research Question 1: How Many OA Journals Have Reverse-Flipped to a Subscription Model?
We identified 152 journals that have flipped from fully OA to subscription-based, including hybrid OA, and are still actively publishing. While we discovered the first reverse flips as early as in 2005—among the pioneers, Cell Research [74]—the majority of journals (N = 90) have converted since frequency spiked in 2013 (see Figure 3).
Figure 3.
The number of journals that reverse-flipped from fully open access (OA) to a subscription-based access model (incl. hybrid OA) per year.
4.2. Research Question 2: To Provide a General Overview
4.2.1. How Thoroughly Are These Journals Indexed in Major Bibliometric Databases?
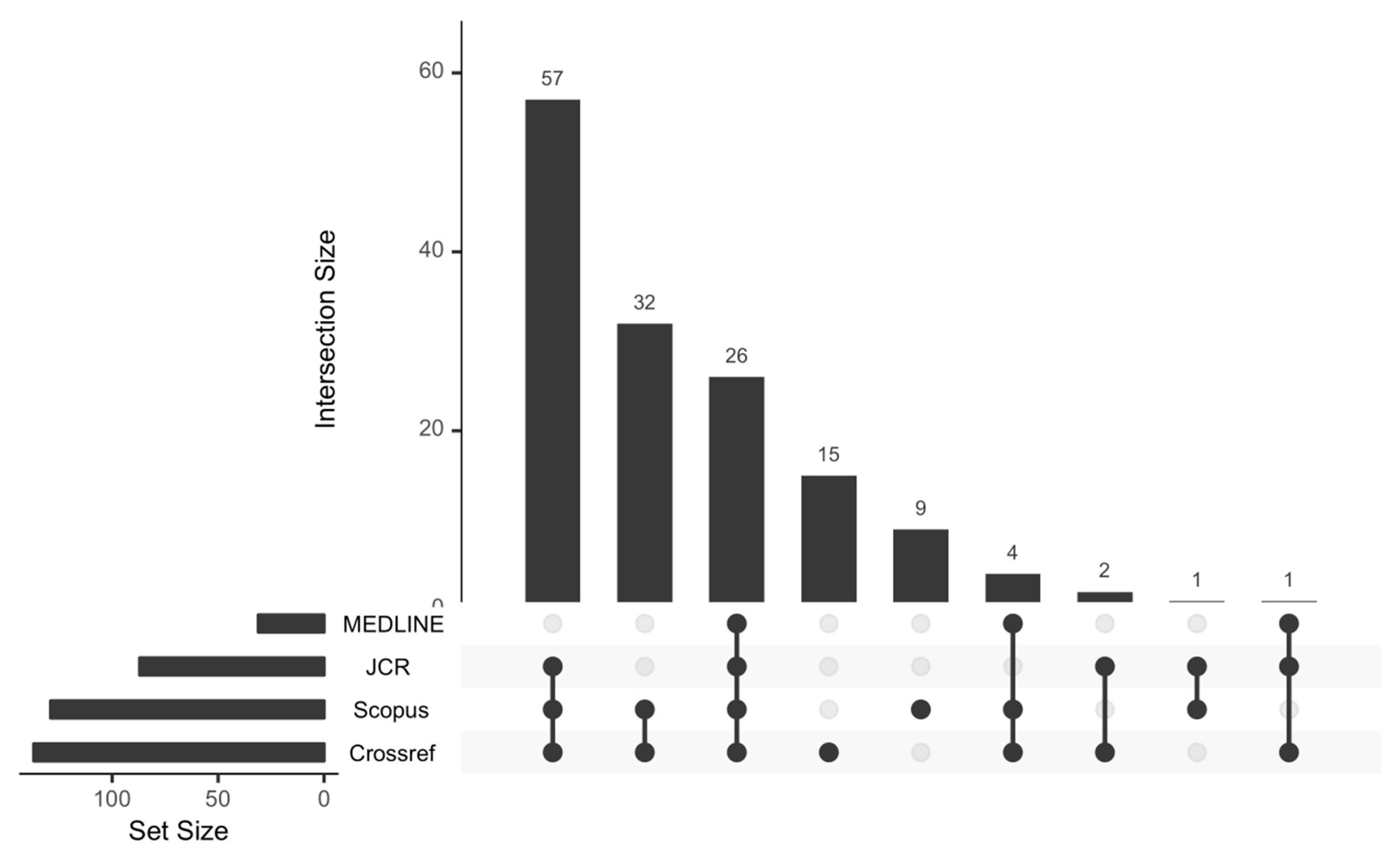
The success of a journal is closely connected with the discoverability and visibility of its content; thus, it is critical for journals to be indexed by bibliometric databases. Indexing in various bibliometric databases also requires journals to fulfill various quantitative and qualitative criteria, with the consequence that many research evaluation and merit systems around the world have emphasized publishing in journals included in specific indexing services. We investigated the coverage of reverse-flip journals in four major bibliometric databases—Crossref [75], a large digital object identifier (DOI) registration agency for scholarly works, Scopus, Web of Science Journal Citation Reports (JCR), and MEDLINE—to examine how comprehensively indexed these journals are. We used the most up-to-date journal lists and search indexes (as of January 2019) to find and match ISSN variants of all journals in our sample, and found 147 journals to be indexed by at least one of these services, covering 97% of our sample. Figure 4 visualizes the coverage and overlap of reverse-flip journals between the different bibliographic databases using the UpSetR technique [76]. While Crossref and Scopus provide almost complete coverage, JCR only includes 83 of these records, of which MEDLINE also indexes 26.
Figure 4.
Inclusion of reverse-flip journals in major bibliographic databases.
4.2.2. Which Academic Disciplines Do the Journals Belong to?
Table 1 presents a breakdown of reverse flips by academic discipline, highlighting that this phenomenon is not limited to only one field, but occurs across disciplines. Yet, the distribution is not balanced but reflects different disciplinary publishing cultures. The PSM, which have well-established self-archiving practices, record more than twice as many reverse flips as the LS, where OA journals are more commonly used to provide OA than repositories [77,78,79].
Table 1.
Reverse-flip journals by discipline [66].
4.2.3. How Many Articles Did These Journals Publish between 2000 and 2018?
To obtain the journals’ publication volume, we retrieved the metadata for all articles indexed in Crossref from the year 2000 onwards. Specifically, Crossref provided the metadata for 137 out of 152 journals (90% of our sample). Our analysis shows that between 2000 and 2018, reverse-flip journals published 190,951 articles in total, yet the annual article volume varied considerably between individual journals, ranging from 10 to 638 (see Figure 5).
Figure 5.
A histogram of the average article volume per year. The red dashed line represents the median (56), and the yellow dashed line shows the mean (98) value of the distribution.
To make our results more comprehensible, we turned to Crawford [17], who has proposed a grouping of journals into five groups by article volume—Largest ≥600, Large 150–599, Medium 60–149, Small 20–59, Smallest 1–19—and analyzed them by discipline (see Figure 6). Through the visualization in Figure 6, it is possible to see that the relationship between journal size, discipline, and the relative share of the total number of reverse-flip journals by discipline largely follows the distributions of OA journals presented by Crawford [17] (p. 27). Smaller journals are more common in the SSH, whereas other fields have only a relatively minimal share of very small journals. Indeed, health sciences journals indicate medium–large article volumes, and the PSM and LS, which Crawford [17] categorizes as STEM, publish the most articles. As such, these results do not give support to the notion that reverse-flip journals would strongly deviate from the general profile of OA journals on these dimensions.
Figure 6.
The number of reverse-flip journals categorized by journal size and discipline (categories for average annual article volume: Largest ≥600, Large 150–599, Medium 60–149, Small 20–59, Smallest 1–19).
4.2.4. Under Which Publisher Did the Reverse Flip Occur? Who Currently Publishes the Journals?
To assess the extent of reverse flips across different publishers, we acquired the publisher names for each journal at the time of the reverse flip and that of the most current volume. Table 2 shows the top publishers—post-flip and currently—based on the number of journals that were converted from fully OA to subscription access. We found that around 70% of all reverse flips in our sample (N = 105 and N = 104, respectively) can be attributed to six publishers alone—Springer Nature, Elsevier, Taylor & Francis, De Gruyter, Brill, and Wiley. The remaining publishers are categorized as “Other”. This distribution of reverse flips across publishers roughly resembles the general conditions of the scholarly publishing market, which is also dominated by large commercial publishers, such as Elsevier, Springer Nature, Taylor & Francis, and Wiley.
Table 2.
Reverse-flip journals by publisher.
4.2.5. How Many Journals Are Affiliated with Scholarly Societies or Research Institutions? In Which Countries Are These Societies and Institutions Based?
Scholarly societies hold a key position in promoting and advancing their disciplines, and while OA generally aligns with their mission by maximizing access to their scholarship, it also poses specific economic challenges for societies that have become reliant on subscription revenue [49,80,81]. Journals affiliated with research institutes, such as universities, are connected to a larger organizational context where publishing is often only part of a broader spectrum of support for scholarly activities. These circumstances suggest that journals affiliated with scholarly societies or research institutes are particularly interesting cases to observe reverse flips, and, indeed, our sample includes 107 (70%) journals that are affiliated with either a scholarly society (N = 59) or a research institution (N = 48). Figure 7 visualizes these shares across publishers, showing that for major publishers reverse flips mostly comprised journals affiliated with scholarly associations or institutions, and not their own in-house publications.
Figure 7.
Reverse-flip journals’ affiliations with scholarly societies or research institutions, grouped by publisher.
Next, we were interested in which countries the scholarly societies and research institutions of these journals are based in. Notably, as can be seen in Figure 8, Springer Nature’s shares of society and institutional reverse-flip journals outranked other publishers in half of the most frequently listed countries—Iran, Japan, China, and Brazil. Otherwise, only the case of Elsevier and Spain seems as striking.
Figure 8.
Reverse-flip journals by country of affiliated scholarly society or research institute, grouped by publisher.
To contextualize these prominent cases, we briefly highlight relevant developments in scholarly publishing for these countries. China’s rapid growth is especially striking; accounting for 21% of the global spending on Research and Development (R&D) and 19% of all global research papers [82], China has become the leading country in research production. Likewise, the number of Research and Development centers has been soaring over the last decades, and China has produced leading journals, such as Cell Research, which reverse-flipped under Nature. Another emergent country is Brazil. Following an increase in publication output of 110% between 2002 and 2008 [83], Brazil produced half of the publications in Latin America and 2.7% of the world’s papers in 2008 [83]. Despite being marked by years of economic sanctions and populist policies, Iran quadrupled its scientific articles between 2005 and 2014, while also increasing international collaboration [84]. The language of most Iranian journals is Persian, yet many bibliometric databases are biased towards English language journals [85]. Therefore, the DARU Journal of Pharmaceutical Sciences—one of the reverse flips under Springer Nature—switched to English a few years after its initial launch, and became the second Iranian journal to be indexed in the Web of Science [86]. While some European countries, such as France, recorded lower private R&D investments in 2009 than the previous year, Spain saw an increase of 15.4% [87], and showed a compound annual growth rate (i.e., annual growth rate of an investment) of 17%, ranking third-highest among the most prolific countries [87]. Although Japan counts as one of the big spenders on R&D, much of this investment has been from the private sector, while government spending on R&D has been steadily decreasing since 2007 [87]. As a result, the country’s publication output has been lower [88], and international competition has increased, which might tip Japan’s standing as a scientific power.
4.2.6. How Old Were the Journals at the Time of the Reverse Flip?
Table 3 provides summary statistics about the journal age at the time of the reverse flip, revealing large age differences that range from 1 to 124 years of publishing. Around 43% (N = 66) of all reverse-flip journals launched before 1990.
Table 3.
Summary statistics for journal age at the time of the reverse flip.
While the journal age of reverse-flip journals appears to be arbitrary when viewed alone, an interesting pattern emerged when we contrasted the journal age at the time of the reverse flip to the year when the reverse flip happened. Figure 9 presents the annual distribution of reverse-flip journals grouped by age, roughly corresponding to earlier work by Crawford [48] that identified the years 1–5, 6–9, and >9 as critical periods in the journal life cycle.
Figure 9.
The number of reverse-flip journals per year, grouped by journal age at the time of the reverse flip.
Our analysis shows that, until 2014, the majority of reverse flips were journals that had been publishing for at least 11 years, but even more so for over 15 years. This pattern, however, begins to change after 2014, when proportionally newer journals reverse-flip.
Figure 10 presents a breakdown of discipline by journal age at the time of the reverse flip, shown as the proportion of the total number of reverse-flip journals in the dataset. The colored areas represent the distribution of journals per discipline.
Figure 10.
Discipline by journal age at the time of the reverse flip, shown as the proportion of the total number of reverse-flip journals in the dataset. The colored areas represent the distribution of journals per discipline: Physical Sciences and Mathematics (PSM), Health Sciences (Health), Social Sciences and Humanities (SSH), Life Sciences (LS).
It seems that for health sciences and LS journals, the majority of flips—67% (N = 26) and 57% (N = 13), respectively—only happened after a period of establishing the journal (>15 years). However, for the PSM as well as the SSH adjustments to the publishing model happened at a much earlier stage. For PSM journals, about one-third (N = 15) already reverse-flipped within the first five years after the journals’ launch, whereas half of the SSH journals (N = 19) reverse-flipped during first 10 years, which Crawford [48] and Björk et al. [47] found to show higher rates of journal mortality.
4.3. Research Question 3: Before the Reverse Flip
4.3.1. How Many Journals Had Been Subscription Venues before Converting to OA?
Since more than half the journals in our sample had launched after 1990, it is possible that these were founded as either OA journals or subscription venues. We wanted to find out how many journals were founded as subscription venues, flipped to OA at a later point, and then reverse-flipped to a closed-access model. Through manual checks of archived journal websites, and assuming that no journal was OA before 1985, we found that around 62% (N = 95) had already been subscription journals once in the past, before flipping to fully OA. The remaining 38% (N = 57) are born-OA journals.
4.3.2. How Many Journals Were APC-Based, and at What Price Levels?
We investigated whether journals levied publication fees before the reverse flip using journal list prices and archived journal websites. We were able to obtain the APCs for 105 journals, representing 69% of our sample. While 73 journals did not charge APCs, the fees of the remaining 32 journals varied considerably, ranging from $120 to $3000. The median fee was $1066.
4.4. Research Question 4: After the Reverse Flip
4.4.1. Which Access Model Have the Journals Operated on?
Table 4 presents the journals’ access model directly after the reverse flip. Our analysis shows an even 50/50 split (N = 76) between hybrid OA and subscription-based. Notably, hybrid OA only occurred in two isolated cases until 2011. From then on, the hybrid model became more prominent, and has been the preferred reverse-flip option since 2015.
Table 4.
Reverse-flip journals by access model.
However, more than half (N = 45) of the subscription journals eventually shifted to hybrid OA, including all five Taylor & Francis journals, 12 of 13 Springer Nature journals, and 12 of 20 Elsevier journals. Only one journal, the Journal of Language Contact: Evolution of Languages, Contact and Discourse published by Brill, flipped to OA again.
Hence, as of January 2019, 79% (N = 119) of reverse-flip journals operate on a hybrid-OA model, whereas 20% (N = 31) are subscription-based, and one journal has become OA again.
4.4.2. Has the Publication Volume Changed?
To determine the variation in publication volume, we studied all journals that had reverse-flipped until 2016 for which Crossref provided article metadata two years before and after the conversion (N = 94). For the most part, the article volumes two years before and after the flip reveal little change (see Figure 11), yet some individual cases recorded a noticeable increase. Elsevier’s Meta Gene, for example, launched as an OA journal in 2013 and published 16 in its first year. The journal flipped to hybrid OA in 2016, publishing 86 articles that year, and increased its article volume to 201 in 2018. Besides higher article volumes post-flip, we also witnessed several cases that showed an upward trend before the reverse flip, such as Springer Nature’s 3 Biotech, which jumped from 48 to 254 articles the year before the flip, and Elsevier’s Pharmacological Reports, which increased from 240 to 401 articles.
Figure 11.
Development of publication volume two years before and after the reverse flip (Y-axis limited to 400 articles per year).
4.4.3. Have Journal-Level Citation Metrics Changed?
To investigate whether the citation impact of journals changed after the access model conversion, we acquired the SNIPs for 117 of 152 journals from our sample. Regarding our study, SNIP yields some particular advantages compared to other journal-level metrics, such as the Journal Impact Factor. First, it is based on Scopus, which indexes 85% of the journals in our sample, and, hence, provides the greatest coverage possible when compared to other databases. Second, considering the variety of journal subject areas in our sample, SNIP corrects for the differences in citation practices and, thus, allows for comparison across disciplines and subject fields. The average SNIP value is 0.90; anything higher than that implies above average citation potential [55].
The most recent SNIP values were reported for 2017; accordingly, we could only include journals that had flipped until 2015 (N = 82). Figure 12 illustrates the SNIP distribution of reverse-flip journals two years before and after the conversion. Our analysis highlights that SNIP values only change slightly.
Figure 12.
Development of Source Normalized Impact per Paper (SNIP) value between two years before and after the reverse flip (Y-axis limited to SNIP value 2.5).
4.5. Research Question 5: For Reverse-Flip Journals That Currently Operate on a Hybrid Model
4.5.1. How Do the APC Levels Differ before and after the Flip?
In 87 cases, we were able to obtain both the journals’ current, post-flip publication fees as well as for the year before the reverse flip. Based on these two datapoints, Figure 13 visualizes the change in APC level of individual journals after the reverse flip, highlighting a considerable increase after the reverse flip. We excluded journals that currently operate on a purely subscription-based model (N = 29) as these journals do not charge APCs. While originally only 32 journals had charged publication fees as fully OA venues, 118 journals currently operate on a hybrid OA model and, hence, have introduced or maintained APCs after the flip. Likewise, many journals affiliated with scholarly societies and research institutions introduced or raised their APCs for hybrid OA publishing.
Figure 13.
Article processing charge (APC) list prices (in USD) for hybrid reverse-flip journals before and after the flip based on prices as of July 2018.
Perhaps not surprisingly, the majority of journals impose higher APCs after converting to hybrid OA. While some journals have settled at their post-flip APC level (e.g., all 45 Springer Nature journals), others have raised their prices over time. This is the case with, for example, Academia Revista Latinoamericana de Administración. The journal was founded by the Latin American Council of Management Schools (Consejo Latinoamericano de Escuelas de Administración) in 1988, initiated OA in 1999, and, upon entering a publishing partnership with Emerald in 2016, shifted its access model to hybrid OA. With the hybrid model, the APC first jumped from $0 to $1595 and then increased to $2950 by 2018.
A handful of journals (N = 5) had increased their APCs immediately after the reverse flip, but made downward adjustments since. One example is Elsevier’s International Review of Economics Education, which raised its APC from $0 to $3000 but currently charges $1100.
However, one journal—Elsevier’s Physics of the Dark Universe—has reached considerably lower fees since the reverse flip, reducing the APC by 50%.
To make the underlying data of this part of the analysis more transparent, we have published the data along with the source code on GitHub [89].
4.5.2. What Is the Uptake of Hybrid OA Articles?
Reusing data from the Hybrid OA Journal Monitor [90], which presents immediate, available hybrid OA articles using open content licensing information from Crossref and journal data from the Open APC initiative [91], we could identify 1083 hybrid OA articles published in 25 reverse-flip journals since their access model changed. Since publishers have not yet widely adopted article-level metadata for identifying hybrid OA articles, not all reverse-flip hybrid OA journals provide readily available data. The hybrid OA articles represent 8.7% of our sample’s total article volume (N = 12,517).
Figure 14 visualizes the distribution of the estimated hybrid OA uptake among the 25 journals for which we could find Crossref and/or Open APC data. Around half of the journals have an estimated hybrid OA share of less than 5% of all articles, while the rest are above that—some considerably with a share of 25% or higher (e.g., Journal of Applied Genetics, Maritime Studies, Research in the Mathematical Sciences).
Figure 14.
Estimated shares of hybrid OA in 25 reverse-flip journals.
Using data from the Open APC initiative, we then checked whether academic institutions had financed hybrid OA articles in reverse-flip journals. We found evidence for institutional sponsorship for four articles in these journals, and an additional 42 as part of the institutional agreement “Springer Compact” [92] between Springer Nature and individual institutions and countries. Table 5 summarizes the total number of articles in reverse-flip journals that were made openly available through “Springer Compact” as well as its proportion per contract. Although the proportion of these articles is marginal, our findings suggest that no control mechanisms exist that would help institutions to prevent funding of OA publications in reverse-flip journals.
Table 5.
The number and relative share of hybrid OA articles in reverse-flip journals as part of Springer Compact, paid for by institutions reporting expense data to the Open APC initiative.
4.5.3. How Long Are the Embargo Periods for Self-Archiving?
We were able to find the current embargo periods for 112 out of 119 reverse-flip journals that currently offer a hybrid OA option. The majority of journals in our sample (N = 73) does not allow authors to self-archive their accepted manuscript until 12 months after the article has been published, although an additional 14% of the journals (N = 16) impose embargo periods twice as long (see Figure 15). It is worth remarking that we only saw the embargo periods of PSM and SSH journals rise above 12 months, while those of health sciences and LS journals generally did not. The longest embargo coupled with the highest APC—24 months and $3300—holds for Elsevier’s Materials Today, a highly regarded journal in materials science that reverse-flipped to hybrid OA and extended its publishing activities just after receiving an impact factor of 17.793 in 2016 [93].
Figure 15.
Embargo periods for self-archiving imposed by reverse-flip hybrid OA journals (accepted manuscript on a personal webpage or in an institutional or subject repository).
Besides, 13 hybrid journals in our sample (12%) do not currently impose any embargo periods, including Emerald’s Academia Revista Latinoamericana de Administracion, English Teaching: Practice & Critique, and Social Studies Research and Practice, otherwise charging $2350–$2950 for hybrid OA.
5. Discussion
The primary aim of this study was to systematically identify journals that had reverse-flipped from fully OA to subscription-access. We found 152 such journals, representing a variety of disciplines, publishers, and geographical locations. Our findings establish that reverse flips do not constitute merely a few marginal outliers, but instead a common pattern within scholarly publishing, which offers a unique perspective of the contributing factors to OA striving and thriving. Notably, we found that 62% of reverse flips (N = 95) had not been born-OA journals, but been founded as subscription journals, and hence have experienced a three-stage transformation from closed to open to closed. Why then was the flip to OA reversed?
5.1. Sustainability
Our results suggest that reverse flips are not only an option for newly founded journals in seeking operational and economic stability as well as prestige. On the contrary, across all disciplines, we found that most reverse flips related to journals that were 15 years or older, suggesting that reverse flips do not primarily function as a survival mechanism during the critical first decade of activity, which Crawford [48] and Björk et al. [47] have identified as the window of high mortality among OA journals. In this study, we could only investigate the aspect of financial viability from a high-level perspective by examining the journals’ APC levels. Browsing archived journal websites, we established that 32 journals had charged APCs before the reverse flip and 73 had been APC-free, while we were unable to verify if an APC had existed for the remaining 47 journals. During this process, we encountered two editorial board statements that highlight their difficulties to remain financially sustainable. In 2011, Jenda reverse-flipped to hybrid OA, stating that “After eight years of free access, the award-winning JENdA: A Journal of Culture and African Women Studies (ISSN: 1530-5686) will be going under subscription to meet the growing operational cost of production. (...) As new technologies and standards emerge, AfricaResource will be in a position to adapt our content and tools, improve the software, enhance our services, and respond to the annual costs of maintaining the Journal Download” [94]. While we do not know if Jenda had previously been APC-based, it charged $1500 after the reverse flip, and has since then raised the fee to $4500. Another journal that cited sustainability as the main reason for the reverse flip is Algebraic & Geometric Topology: “The journals were started by a group of enthusiasts who dedicated their time freely. For long-term stability of the journals, this group of enthusiasts is gradually being replaced by permanent paid staff. The income generated by subscriptions in the presence of a free on-line version was not sufficient to cover this new structure and we have been forced to start to charge for on-line access” [95].
Another explanation for the access model shift could be the desire to increase the publication volume. Indeed, the press release announcing the partnership of Duke University Press and Tusi Mathematical Research Group states, “With the start of their 2015 volumes under the guidance of strong editorial boards, the journals [Annals of Functional Analysis and the Banach Journal of Mathematical Analysis] will increase in frequency from two to four issues per volume per year” [96]. Both journals reverse-flipped in 2015, publishing 80 articles each compared to 32 and 40, respectively, the year before. Since then, however, their article volume has dropped below 50 again. In the same way, we found that the reverse-flip journals in our sample generally did not publish more articles after the flip, which suggests that a higher article output, at least in the short-term, is not a common consequence of abandoning OA. However, reverse-flip journals were found to have higher article volume compared to the average output of OA journals. Our study found the median number of articles published by reverse-flip journals to be 59 per year, whereas that of OA journals amounted to 26 in 2017 [97]. This finding implies that reverse-flip journals are generally well-established and productive outlets.
5.2. Society Journals and Publishing Partnerships
Reverse flips were often related to a change of publisher (104 journals, 69%). One common trait among these instances seems to be connected to society or association journals entering into a partnership with a professional publisher. Previous research on the aims of scholarly societies entering into publishing partnerships revealed predominantly financial motives and, hence, a preference of commercial publishers over non-profits [98]. Fyfe et al. [99] (p. 9) explain, “The role of society publishing and university presses in relation to their parent institutions has been tacitly recast: rather than a direct service to scholarship, publishing has become a tool for generating income that can be put to good purpose (for instance, by funding conferences, travel grants or student bursaries).” Since only few scholarly societies are capable of competing internationally with large commercial publishers, publishing partnerships can appear beneficial in terms of visibility, reach, and production costs [82,99,100]. A key question is why the OA publishing model cannot be maintained when journals close publishing agreements with commercial publishers. Is it dominantly an either/or proposition? Journal negotiations with professional publishers, provided in conjunction with offer prices and conditions, is not something that is usually made public. Neuman and Laakso [31] describe some of the financial commitments that professional publishers have offered a small society tendering for OA publishing services. Societies may wish to avoid imposing APCs when introducing OA as these fees create barriers for authors; however, societies may not be prepared to pay annual fees to the publisher for running the journal if the costs are too high to ensure stability the long term.
Former studies have shown that scholarly societies can become dependent on subscription revenues and explained the risks that transitioning to OA can pose for the societies’ financial stability [101,102]. The largest income source is membership subscriptions, followed by publishing, and conferences [102]. Johnson and Fosci [101] observed that most societies prefer outsourcing the publishing activities to a publishing house—only 67 of 279 U.K.-based societies published in-house—and attribute this in part to the pressures of market consolidation, which impede smaller society publishers from competing on a level playing field. Through publishing partnerships, societies gain access to technical infrastructure and marketing resources, but are also subject to the publisher’s policies and regulations. In particular, the inclusion in a journal package can have positive and negative implications, as discounted subscription fees of “big deals” can affect the societies’ revenue share.
5.3. Hybrid OA
Publishers making hybrid OA journals out of fully OA journals is a distinct pattern this study recognized. There is an interesting contrast between the push for OA within science policy and our observation that some journals have moved away from the OA model to (re-)introduce more restrictive access models. Likewise, Morrison [103] recently reported that the number of OA journals published by Elsevier, the world’s largest publisher of scholarly journals, has decreased from 416 in 2017 to 328 in 2018. Commercial publishers have generally been slow in flipping subscription journals to OA at a larger scale, and, more notably, have instead resorted to creating new OA journals, or acquiring established OA journals and entire publishers (e.g., BioMed Central, Co-Action, Dove Medical Press, Medknow). Another expression of this reluctant stance to flipping is the emergence of so-called mirror journals: new fully OA journals that capitalize on existing subscription journals. Instead of converting the subscription journal to OA, a separate OA version runs alongside it, sharing the same aims and scope, almost the same name, an identical editorial board, and the same submission system (e.g., the newly-founded Research Policy X and Water Research X journals by Elsevier). While not technically hybrid OA anymore, the strategic function of mirror journals for publishers appears similar: retaining the subscription-based core of the business while selling optional OA and potentially circumventing the hybrid ban that has become part of some funding policies.
Hybrid OA has been on the rise since 2014; this development is not only visible in our findings, which reveal that reverse flips to hybrid OA took off only after 2013, and have been the dominant model since 2015, but also through increased institutional spending on hybrid OA [91]. Hybrid OA has become a common element of central publishing agreements that allow affiliated authors to publish OA in subscription journals. Although these agreements were introduced as a transitional mechanism in 2014 [104,105], they have seemingly functioned as a catalyst for hybrid OA. The growing popularity of hybrid OA might explain the lacking momentum in flipping subscription journals to OA, yet again the stagnation of journal flipping appears contradictory to the idea of hybrid OA as “facilitating the transition to open access” [106] (p. 3). Publishers have argued that “authors [tend] to prefer to publish in one of [their] hybrid journals” [106] (p. 3)—because these are generally “established and recognised” [97] (p. 3) among the research community—however, the uptake of hybrid OA is not high enough to ensure a sustainable flip to OA. A central problem with hybrid OA that has persisted since the start has been the pricing, which has been higher than that of APCs for fully OA journals. Our findings reveal a similar pattern and align with previous studies [20,40,107] that while operating on a fully OA publishing model, journals had charged lower APCs on average and showed greater price variation. With the conversion to a hybrid OA model, however, the average APC rose and the price spectrum became narrower. Pricing used a broader spectrum (with a lower average price) while after the transition to hybrid OA the pricing was on average higher and within a narrower spectrum of pricing.
5.4. Restrictions around Self-Archiving
If a previously fully OA journal reverse-flips to a more restrictive access model, alternative options for authors to provide OA to their articles become increasingly important. Besides operating the journal on a hybrid model, self-archiving the manuscript in an OA repository is a potential alternative route. However, previous research has indicated that publishers have introduced increasingly restrictive and lengthy embargoes with the rise of the hybrid OA model [108]. In this study, we took a closer look at the self-archiving policies for hybrid OA reverse-flip journals and found that only 13 of 119 journals allow for depositing the accepted manuscript upon publication. Hence, the possibility of immediate OA mostly remains behind an APC paywall. Statements made by representatives from both Elsevier and Springer reveal pressures among the publishers to restrict self-archiving not to threaten subscription income [106,109]; additionally, our results align with those of Gadd et al. [108] suggesting that publishers are careful to balance their self-archiving policies with their hybrid OA options.
5.5. Looking Ahead
Our study opens up many possible avenues for further research, for example, a series of qualitative studies based on interviews and surveys to examine identified reverse flips more closely and answer the following questions: What are viable alternatives to reverse flips? Are reverse flips seen as the second-best alternative to ceasing publication, or are they perceived as a desirable option (e.g., a growth strategy for OA journals with limited resources)? How are reverse flips communicated to and perceived by authors, and do they influence authors’ publishing behavior? How do scholarly societies evaluate the relative importance of economic factors compared to providing free access to the journal? Do the motivations behind the reverse flip differ from journals that had been subscription-based once before to those started as OA journals?
As part of this study, we encountered hundreds of journals that have disappeared from the Web entirely. This raises broader concerns about the persistence of the scholarly record, considering that many journals still do not back up or archive their content systematically. A similar methodology based on historical journal index lists could be applied to further investigate how much of the scholarly record has been lost over time.
This is the first study to primarily focus on journal flips from OA to subscription access. As such, there is room for improvement in precision and extension of scope in future iterations. We identified 152 reverse flips, which should be considered as the lower bound since our methodological approach, although comprehensive, is not exhaustive. Despite using multiple journal indexes and data sources, our data is likely to be biased towards older and more established English-language journals, and a more balanced global representation would be beneficial. Likewise, our methods are skewed towards reverse flips from 2012 to 2018 due to the availability of a journal title list. If a reverse flip happened before the journal was indexed in the bibliographic databases we used, it is also likely to have been undetected, as these cases would have been labeled as subscription journals upon indexing. By relying on publicly available evidence for reverse flips, such as archived web pages and continuous journal activity, our methods also have a strong survival-bias that complicates detecting reverse flips of journals that ceased publication shortly after the flip. Moreover, identifying reverse flips of inactive journals with OA backfiles is challenging because of the difficulties with retroactively verifying if those journals had ever been OA. Considering the multiple methods we used to identify reverse flips, we want to emphasize the need for comprehensive and reliable data sources and tools for monitoring journal patterns over time.
Author Contributions
Conceptualization, L.M. and N.J., and M.L.; Data Curation, L.M. and N.J., and M.L.; Methodology, L.M. and N.J., and M.L.; Formal Analysis, N.J.; Writing—Original Draft Preparation, L.M. and N.J. and M.L.; Writing—Review & Editing, L.M. and N.J., and M.L.
Funding
This research received no external funding.
Acknowledgments
We want to thank Bernd-Christoph Kämper, subject librarian at Stuttgart University Library, for pointing us to journal catalogues to identify potential reverse-flip journals, and Birgit Schmidt, Göttingen State and University Library, University of Göttingen, for helpful comments to an early draft of the manuscript and the formal analysis.
Conflicts of Interest
The authors declare no conflict of interest.
References
- Tennant, J. Democratising Knowledge: A Report on the Scholarly Publisher, Elsevier; Education International: Brussels, Belgium, 2018; ISBN 978-92-95109-72-8. [Google Scholar]
- Larivière, V.; Haustein, S.; Mongeon, P. The Oligopoly of Academic Publishers in the Digital Era. PLoS ONE 2015, 10, e0127502. [Google Scholar] [CrossRef]
- Tennant, J.; Brembs, B. RELX Referral to EU Competition Authority; Zenodo: Geneva, Switzerland, 2018. [Google Scholar] [CrossRef]
- Greco, A.N. Academic Libraries and the Economics of Scholarly Publishing in the Twenty-First Century: Portfolio Theory, Product Differentiation, Economic Rent, Perfect Price Discrimination, and the Cost of Prestige. J. Sch. Publ. 2015, 47, 1–43. [Google Scholar] [CrossRef]
- Shu, F.; Mongeon, P.; Haustein, S.; Siler, K.; Alperin, J.P.; Larivière, V. Is It Such a Big Deal? On the Cost of Journal Use in the Digital Era. Coll. Res. Libr. 2018, 79. [Google Scholar] [CrossRef]
- SPARC Big Deal Cancellation Tracking. Available online: https://sparcopen.org/our-work/big-deal-cancellation-tracking (accessed on 16 November 2018).
- Sample, I. Harvard University Says It Can’t Afford Journal Publishers’ Prices. The Guardian 2012. Available online: https://www.theguardian.com/science/2012/apr/24/harvard-university-journal-publishers-prices (accessed on 16 November 2018).
- McCabe, M.J.; Snyder, C.M. Open Access as a Crude Solution to a Hold-Up Problem in the Two-Sided Market for Academic Journals. J. Ind. Econ. 2018, 66, 301–349. [Google Scholar] [CrossRef]
- Open Society Foundations Budapest Open Access Initiative. Available online: https://www.budapestopenaccessinitiative.org/read (accessed on 20 January 2019).
- The Cost of Scientific Publications Must Not Get Out of Hand. Available online: http://tiedonhinta.fi/en/english/ (accessed on 20 January 2019).
- Free our Knowledge. Available online: http://freeourknowledge.org/ (accessed on 20 January 2019).
- Shearer, K. Responding to Unsustainable Journal Costs: A CARL Brief. Canadian Association of Research Libraries. 2018. Available online: http://www.carl-abrc.ca/wp-content/uploads/2018/02/CARL_Brief_Subscription_Costs_en.pdf (accessed on 20 January 2019).
- Max Planck Digital Library OA2020 Mission. Available online: https://oa2020.org/mission (accessed on 20 January 2019).
- Towards Full Open Access in 2020: Aims and Recommendations for University Leaders and National Rectors’ Conferences; European University Association: Brussels, Belgium, 2017; Available online: https://eua.eu/resources/publications/417:towards-full-open-access-in-2020.html (accessed on 20 January 2019).
- Science Europe—cOAlition S. Available online: https://www.scienceeurope.org/coalition-s/ (accessed on 16 November 2018).
- ROARMAP Registry of Open Access Repository Mandates and Policies (ROARMAP). Available online: http://roarmap.eprints.org/ (accessed on 16 November 2018).
- Crawford, W. GOAJ3: Gold Open Access Journals 2012–2017; Cites & Insights Books: Livermore, CA, USA, 2018; Available online: https://waltcrawford.name/goaj3.pdf (accessed on 21 January 2019).
- Piwowar, H.; Priem, J.; Larivière, V.; Alperin, J.P.; Matthias, L.; Norlander, B.; Farley, A.; West, J.; Haustein, S. The state of OA: A large-scale analysis of the prevalence and impact of Open Access articles. PeerJ 2018, 6, e4375. [Google Scholar] [CrossRef] [PubMed]
- Unpaywall Browser Extension. Available online: http://unpaywall.org/products/extension (accessed on 20 January 2019).
- Björk, B.-C.; Solomon, D. Developing an Effective Market for Open Access Article Processing Charges; Jisc, Research Libraries UK, Research Councils UK, the Wellcome Trust, the Austrian Science Fund (FWF), the Luxembourg National Research Fund (FNR) and the Max Planck Institute for Gravitational Physics. 2014. Available online: https://web.archive.org/web/20140602195247/http://www.wellcome.ac.uk/stellent/groups/corporatesite/%40policy_communications/documents/web_document/wtp055910.pdf (accessed on 20 November 2018).
- Prosser, D.C. From here to there: A proposed mechanism for transforming journals from closed to open access. Learn. Publ. 2003, 16, 163–166. [Google Scholar] [CrossRef]
- Open Access Directory Journals That Converted from OA to TA. Available online: http://oad.simmons.edu/oadwiki/Journals_that_converted_from_OA_to_TA (accessed on 20 January 2019).
- Laakso, M.; Björk, B.-C. Anatomy of open access publishing: A study of longitudinal development and internal structure. BMC Med. 2012, 10, 124. [Google Scholar] [CrossRef] [PubMed]
- Wang, X.; Cui, Y.; Xu, S.; Hu, Z. The state and evolution of Gold open access: A country and discipline level analysis. Aslib J. Inf. Manag. 2018, 70, 573–584. [Google Scholar] [CrossRef]
- Solomon, D.J.; Laakso, M.; Björk, B.-C. A longitudinal comparison of citation rates and growth among open access journals. J. Informetr. 2013, 7, 642–650. [Google Scholar] [CrossRef]
- Rydholm, A.; Svensson, O. New format, Open Access, and online pre-publication. Acta Orthop. 2009, 80, 1. [Google Scholar] [CrossRef]
- Busch, S.; Häussinger, D. Onwards and upwards: European Journal of Medical Research continues as an open access publication. Eur. J. Med. Res. 2012, 17, 1. [Google Scholar] [CrossRef]
- Hotta, N. Brave new world: Our journal has become an Open Access journal. J. Diabetes Investig. 2015, 6, 1–2. [Google Scholar] [CrossRef] [PubMed]
- Yu, J.-S. ULTRASONOGRAPHY: A new beginning with international open access. Ultrasonography 2013, 33, 1. [Google Scholar] [CrossRef] [PubMed]
- Winters, J. Editorial. Internet Archaeol. 2015. [Google Scholar] [CrossRef]
- Bird, C. Oxford Journals’ adventures in open access. Learn. Publ. 2008, 21, 200–208. [Google Scholar] [CrossRef]
- Neuman, Y.; Laakso, M. Balancing ideology and feasibility: A case study on adopting and evaluating open access publishing models for a society journal within philosophy. Inf. Res. 2017, 22. Available online: http://www.informationr.net/ir/22-4/paper773.html (accessed on 20 January 2019).
- Schmidt, S.; Broad, G.; Stoev, P.; Mietchen, D.; Penev, L. The move to open access and growth: Experience from Journal of Hymenoptera Research. J. Hymenopt. Res. 2013, 30, 1–6. [Google Scholar] [CrossRef]
- Crow, R.; Goldstein, H. Guide to Business Planning for Converting a Subscription-Based Journal to Open Access; Open Society Institute: New York, NY, USA, 2004; Available online: https://www.budapestopenaccessinitiative.org/pdf/business_converting.pdf (accessed on 20 January 2019).
- van Wesenbeeck, A.; Friend, F. Scholarly Society Journals in Transition to Open Access: Report on the workshop organized by the Knowledge Exchange Open Access Working Group, with the Assistance of SPARC Europe and the Open Access Scholarly Publishers Association, Held in Tallinn 21 September 2011; Knowledge Exchange: Copenhagen, Denmark, 2011; Available online: http://www.knowledge-exchange.info/event/transition-to-oa (accessed on 20 January 2019).
- Laakso, M.; Solomon, D.; Björk, B.-C. How subscription-based scholarly journals can convert to open access: A review of approaches. Learn. Publ. 2016, 29, 259–269. [Google Scholar] [CrossRef]
- Solomon, D.J.; Laakso, M.; Björk, B.-C. Converting Scholarly Journals to Open Access: A Review of Approaches and Experiences. 2016. Available online: https://dash.harvard.edu/handle/1/27803834 (accessed on 20 January 2019).
- Dallmeier-Tiessen, S.; Darby, R.; Goerner, B.; Hyppoelae, J.; Igo-Kemenes, P.; Kahn, D.; Lambert, S.; Lengenfelder, A.; Leonard, C.; Mele, S.; et al. Highlights from the SOAP project survey. What Scientists Think about Open Access Publishing. arXiv 2011, arXiv:1101.5260. [Google Scholar]
- Nature Research Author Insights 2014. 2015. Available online: https://figshare.com/articles/MSS_Author_Insights_2014/1204999 (accessed on 20 December 2018).
- Pay it Forward: Investigating a Sustainable Model of Open Access Article Processing Charges for Large North American Research Institutions; Mellon Foundation, University of California Libraries. 2016, pp. 1–184. Available online: https://www.library.ucdavis.edu/wp-content/uploads/2018/11/ICIS-UC-Pay-It-Forward-Final-Report.rev_.7.18.16.pdf (accessed on 21 December 2018).
- Ubiquity Press Publishing with Ubiquity Press. Available online: https://www.ubiquitypress.com/site/publish (accessed on 20 January 2019).
- eLife Setting a Fee for Publication. Available online: https://elifesciences.org/inside-elife/b6365b76/setting-a-fee-for-publication (accessed on 20 January 2019).
- Over, A.; Maiworm, F.; Schelewsky, A. Publikationsstrategien im Wandel?: Ergebnisse einer Umfrage zum Publikations-und Rezeptionsverhalten unter besonderer Berücksichtigung von Open Access; Deutsche Forschungsgemeinschaft: Bonn, Germany, 2005; Available online: http://www.dfg.de/download/pdf/dfg_im_profil/geschaeftsstelle/publikationen/studien/studie_publikationsstrategien_bericht_dt.pdf (accessed on 20 January 2019).
- van der Graaf, M.; Johnson, R.; Chiarelli, A. The Role of Hybrid Open Access in Extending Author Choice. Publishing Research Consortium. 2018. Available online: http://publishingresearchconsortium.com/index.php/prc-documents/prc-research-reports/77-hybrid-oa-and-author-choice-final-report (accessed on 20 January 2019).
- Sotudeh, H.; Horri, A. Tracking open access journals evolution: Some considerations in open access data collection validation. J. Am. Soc. Inf. Sci. Technol. 2007, 58, 1578–1585. [Google Scholar] [CrossRef]
- Laakso, M.; Welling, P.; Bukvova, H.; Nyman, L.; Björk, B.-C.; Hedlund, T. The Development of Open Access Journal Publishing from 1993 to 2009. PLoS ONE 2011, 6, e20961. [Google Scholar] [CrossRef] [PubMed]
- Björk, B.-C.; Shen, C.; Laakso, M. A longitudinal study of independent scholar-published open access journals. PeerJ 2016, 4, e1990. [Google Scholar] [CrossRef] [PubMed]
- Crawford, W. Free electronic refereed journals: Getting past the arc of enthusiasm. Learn. Publ. 2002, 15, 117–123. [Google Scholar] [CrossRef]
- Willinsky, J. Scholarly Associations and the Economic Viability of Open Access Publishing. J. Digit. Inf. 2004, 4. Available online: https://journals.tdl.org/jodi/index.php/jodi/article/view/104 (accessed on 20 January 2019).
- Morrison, H. Small scholar-led scholarly journals: Can they survive and thrive in an open access future? Learn. Publ. 2016, 29, 83–88. [Google Scholar] [CrossRef]
- Tsai, A.C. Conflicts between Commercial and Scientific Interests in Pharmaceutical Advertising for Medical Journals. Int. J. Health Serv. 2003, 33, 751–768. [Google Scholar] [CrossRef]
- Cattaneo, E.; Corbellini, G. Science under politics. EMBO Rep. 2011, 12, 19–22. [Google Scholar] [CrossRef]
- Rowlands, I.; Nicholas, D.; Huntington, P. Scholarly communication in the digital environment: What do authors want? Learn. Publ. 2004, 17, 261–273. [Google Scholar] [CrossRef]
- Swan, A.; Brown, S. Authors and open access publishing. Learn. Publ. 2004, 17, 219–224. [Google Scholar] [CrossRef]
- Waltman, L.; van Eck, N.J.; van Leeuwen, T.N.; Visser, M.S. Some modifications to the SNIP journal impact indicator. J. Informetr. 2013, 7, 272–285. [Google Scholar] [CrossRef]
- Matthias, L.; Jahn, N.; Laakso, M. Reverse Flip Open Access Journals; Zenodo: Geneva, Switzerland, 2019. [Google Scholar] [CrossRef]
- Scopus. Available online: https://www.scopus.com/home.uri (accessed on 20 January 2019).
- DOAJ Directory of Open Access Journals. Available online: https://doaj.org (accessed on 11 July 2018).
- Ulrichsweb: Global Serials Directory. Available online: http://ulrichsweb.serialssolutions.com/login (accessed on 20 January 2019).
- Elsevier Scopus Sources. Available online: https://www.elsevier.com/__data/assets/excel_doc/0015/91122/title_list.xlsx (accessed on 26 February 2014).
- Elsevier Scopus Sources. Available online: https://web.archive.org/web/20180614203304/https://www.elsevier.com/__data/assets/excel_doc/0015/91122/ext_list_April_2018_2017_Metrics.xlsx (accessed on 21 January 2019).
- Matthias, L. Publisher OA Portfolios; Zenodo: Geneva, Switzerland, 2018. [Google Scholar] [CrossRef]
- Internet Archive Wayback Machine. Available online: http://web.archive.org/ (accessed on 20 January 2019).
- DOAJ DOAJ Metadata. Available online: https://doaj.org/csv (accessed on 21 January 2019).
- DOAJ DOAJ: Journals Added and Removed. Available online: https://docs.google.com/spreadsheets/d/183mRBRqs2jOyP0qZWXN8dUd02D4vL0Mov_kgYF8HORM/edit?usp=sharing (accessed on 2 June 2018).
- Suber, P. Welcome to the SPARC Open Access Newsletter, Issue #155. Available online: https://legacy.earlham.edu/~peters/fos/newsletter/03-02-11.htm (accessed on 20 January 2019).
- Meta-Chart.com. Available online: https://www.meta-chart.com (accessed on 7 February 2019).
- National Academies of Sciences, Engineering, and Medicine Taxonomy List with Sub-fields. Available online: http://sites.nationalacademies.org/pga/resdoc/pga_044522 (accessed on 20 January 2019).
- CrossRef. Crossref REST API; Crossref: Lynnfield, MA, USA, 2018; Available online: https://github.com/CrossRef/rest-api-doc (accessed on 20 January 2019).
- Chamberlain, S.; Zhu, H.; Jahn, N.; Boettiger, C.; Ram, K. rcrossref: Client for Various “CrossRef” “APIs”. 2019. Available online: https://cran.r-project.org/web/packages/rcrossref/index.html (accessed on 20 January 2019).
- Centre for Science and Technology Studies (CWTS) CWTS Journal Indicators. Available online: http://www.journalindicators.com (accessed on 20 January 2019).
- Jacobs, N. Open Access: Key Strategic, Technical and Economic Aspects; Elsevier: Amsterdam, The Netherlands, 2006; ISBN 978-1-78063-211-7. [Google Scholar]
- Jahn, N. Results for Study on Reverse Flips. 2019. Available online: https://github.com/njahn82/rev_flip_results (accessed on 7 February 2019).
- Springer Nature Cell Research. Available online: https://www.nature.com/cr (accessed on 29 January 2019).
- Crossref. Available online: https://www.crossref.org (accessed on 7 February 2019).
- Conway, J.R.; Lex, A.; Gehlenborg, N. UpSetR: An R package for the visualization of intersecting sets and their properties. Bioinformatics 2017, 33, 2938–2940. [Google Scholar] [CrossRef] [PubMed]
- Eger, T.; Scheufen, M. The Economics of Open Access: On the Future of Academic Publishing; Edward Elgar Publishing: Cheltenham, UK, 2018; ISBN 978-1-78536-576-8. [Google Scholar]
- Wolff-Eisenberg, C.; Rod, A.B.; Schonfeld, R.C. UK Survey of Academics 2015: Ithaka S+R | Jisc | RLUK; Ithaka S+R: New York, NY, USA, 2016. [Google Scholar] [CrossRef]
- Severin, A.; Egger, M.; Eve, M.P.; Hürlimann, D. Discipline-specific open access publishing practices and barriers to change: An evidence-based review. F1000Research 2018, 7, 1925. [Google Scholar] [CrossRef]
- McNutt, M. Opinion: “Plan S” falls short for society publishers—And for the researchers they serve. Proc. Natl. Acad. Sci. USA 2019, 116, 2400–2403. [Google Scholar] [CrossRef] [PubMed]
- Jubb, M.; Plume, A.; Oeben, S.; Brammer, L.; Johnson, R.; Bütün, C.; Pinfield, S. Monitoring the transition to open access: December 2017; Universities UK: London, UK, 2017; Available online: https://www.universitiesuk.ac.uk/policy-and-analysis/reports/Documents/2017/monitoring-transition-open-access-2017.pdf (accessed on 4 February 2019).
- Johnson, R.; Watkinson, A.; Mabe, M. The STM Report: An Overview of Scientific and Scholarly Publishing. International Association of Scientific, Technical and Medical Publishers. 2018. Available online: https://www.stm-assoc.org/2018_10_04_STM_Report_2018.pdf (accessed on 20 January 2019).
- de Brito Cruz, C.H.; Chaimovich, H. Brazil; UNESCO Science Report 2010. 2010, pp. 103–121. Available online: http://www.unesco.org/new/fileadmin/MULTIMEDIA/HQ/SC/pdf/sc_usr10_brazil_EN.pdf (accessed on 2 February 2019).
- Ashtarian, K. Iran; UNESCO Science Report 2015. 2015, pp. 389–407. Available online: https://en.unesco.org/sites/default/files/usr15_iran.pdf (accessed on 2 February 2019).
- Mongeon, P.; Paul-Hus, A. The journal coverage of Web of Science and Scopus: A comparative analysis. Scientometrics 2016, 106, 213–228. [Google Scholar] [CrossRef]
- TUMS Digital Library News 22/5/86. Available online: http://web.archive.org/web/20080305004839/http://diglib.tums.ac.ir/news.asp (accessed on 31 January 2019).
- Knowledge, Networks and Nations: Global Scientific Collaboration in the 21st Century; Policy Document; The Royal Society: London, UK, 2011; ISBN 978-0-85403-890-9.
- Sato, Y. Japan; UNESCO Science Report 2015. 2015. Available online: https://unesdoc.unesco.org/ark:/48223/pf0000235406.page=667 (accessed on 1 February 2019).
- Jahn, N. Results for Study on Reverse Flips. Article processing charge (APC) list prices (in USD) for hybrid reverse-flip journals before and after the flip based on prices as of July 2018. 2019. Available online: https://github.com/njahn82/rev_flip_results/blob/master/data/fig13_data.csv (accessed on 7 March 2019).
- Jahn, N. Hybrid OA Dashboard. Available online: https://subugoe.github.io/hybrid_oa_dashboard/about.html (accessed on 3 February 2019).
- Open APC Initiative Datasets on Fee-Based Open Access Publishing across German Institutions. Bielefeld University. 2019. Available online: https://github.com/OpenAPC/openapc-de (accessed on 3 February 2019).
- Springer Nature Springer Compact. Available online: https://www.springer.com/gp/open-access/springer-open-choice/springer-compact (accessed on 3 February 2019).
- Bland, S.; Sealy, C. Materials Today Steps into a New Era. Available online: https://www.materialstoday.com/materials-chemistry/news/materials-today-steps-into-a-new-era/ (accessed on 4 February 2019).
- Africa Resource Center JENdA: A Journal of Culture and African Women Studies. Available online: https://web.archive.org/web/20110923182810/http://www.africaresource.com/jenda/index.htm (accessed on 4 February 2019).
- EMIS Subscriptions to GTP. Available online: https://www.emis.de/journals/UW/gt/gtp-subscription.html (accessed on 4 February 2019).
- Duke University Press Journals from the Tusi Mathematical Research Group join Duke University Press. Available online: https://dukeupress.wordpress.com/2014/12/15/journals-from-the-tusi-mathematical-research-group-join-duke-university-press/ (accessed on 7 February 2019).
- Crawford, W. Gold Open Access Journals 2012–2017 (GOAJ3). 2018. Available online: https://figshare.com/articles/Gold_Open_Access_Journals_2012-2017_GOAJ3_/6429362 (accessed on 7 February 2019).
- Ashman, P. What societies want from a publishing partner. Learn. Publ. 2009, 22, 209–219. [Google Scholar] [CrossRef]
- Fyfe, A.; Coate, K.; Curry, S.; Lawson, S.; Moxham, N.; Røstvik, C.M. Untangling Academic Publishing: A History of the Relationship between Commercial Interests, Academic Prestige and the Circulation of Research. 2017, Volume 26. Available online: https://zenodo.org/record/546100#.XNFTdcQRWUk (accessed on 28 March 2019). [CrossRef]
- Bull, D.; Hezlet, S. What do societies and publishers want from publishing partnerships? Learn. Publ. 2000, 13, 205–207. [Google Scholar] [CrossRef]
- Johnson, R.; Fosci, M. On shifting sands: Assessing the financial sustainability of UK learned societies. Learn. Publ. 2015, 28, 274–281. [Google Scholar] [CrossRef]
- Hewitt, M.; Dingwall, R.; Turkmendag, I. More than research intermediaries: A descriptive study of the impact and value of learned societies in the UK social sciences. Sci. Public Policy 2017, 44, 775–788. [Google Scholar] [CrossRef]
- Morrison, H. Elsevier in 2018: Decrease in Number of Fully OA Journals. Available online: https://sustainingknowledgecommons.org/2018/12/13/elsevier-in-2018-decrease-in-number-of-fully-oa-journals/ (accessed on 20 January 2019).
- Jisc Principles for Offset Agreements. 2015. Available online: https://www.jisc-collections.ac.uk/Global/News%20files%20and%20docs/Principles-for-offset-agreements.pdf (accessed on 7 February 2019).
- Johnson, R.; Fosci, M.; Chiarelli, A.; Pinfield, S.; Jubb, M. Towards a Competitive and Sustainable OA Market. In Europe—A Study of the Open Access Market. and Policy Environment; Zenodo: Geneva, Switzerland, 2017. [Google Scholar] [CrossRef]
- Elsevier House of Commons Business, Innovation, and Skills Committee Inquiry into the Government’s Open Access Policy: Submission by Reed Elsevier 2013. Available online: http://web.archive.org/web/20140123222953/http://cdn.elsevier.com:80/assets/pdf_file/0004/124078/Reed-Elsevier-submission-to-House-of-Commons-BIS-Select-Committee-inquiry-on-Government-Open-Access-policy.pdf (accessed on 4 February 2019).
- Schönfelder, N. APCs—Mirroring the Impact Factor or Legacy of the Subscription-Based Model? Universität Bielefeld: Bielefeld, Germany, 2018. [Google Scholar] [CrossRef]
- Gadd, E.; Troll Covey, D. What does ‘green’ open access mean? Tracking twelve years of changes to journal publisher self-archiving policies. J. Librariansh. Inf. Sci. 2019, 51, 106–122. [Google Scholar] [CrossRef]
- Poynder, R. Open Access: Springer Tightens Rules on Self-Archiving. Available online: https://poynder.blogspot.com/2013/06/open-access-springer-tightens-rules-on.html (accessed on 3 February 2019).
© 2019 by the authors. Licensee MDPI, Basel, Switzerland. This article is an open access article distributed under the terms and conditions of the Creative Commons Attribution (CC BY) license (http://creativecommons.org/licenses/by/4.0/).














