Evaluation of Two Configurations of Hydroxyapatite and Beta-Tricalcium Phosphate in Sinus Grafts with Simultaneous Implant Installation: An Experimental Study in Rabbits
Abstract
1. Introduction
2. Materials and Methods
2.1. Experimental Animals and Sample Calculation
2.2. Experimental Design
2.3. Surgical Procedure
2.4. Tomographic Analysis
2.5. Microtomographic Analysis
2.6. Histological Preparation
2.7. Histometric Evaluation
2.8. Immunohistochemical Analysis
2.9. Implant Removal Torque Analysis
2.10. Statistical Analysis
3. Results
3.1. Tomographic Analysis
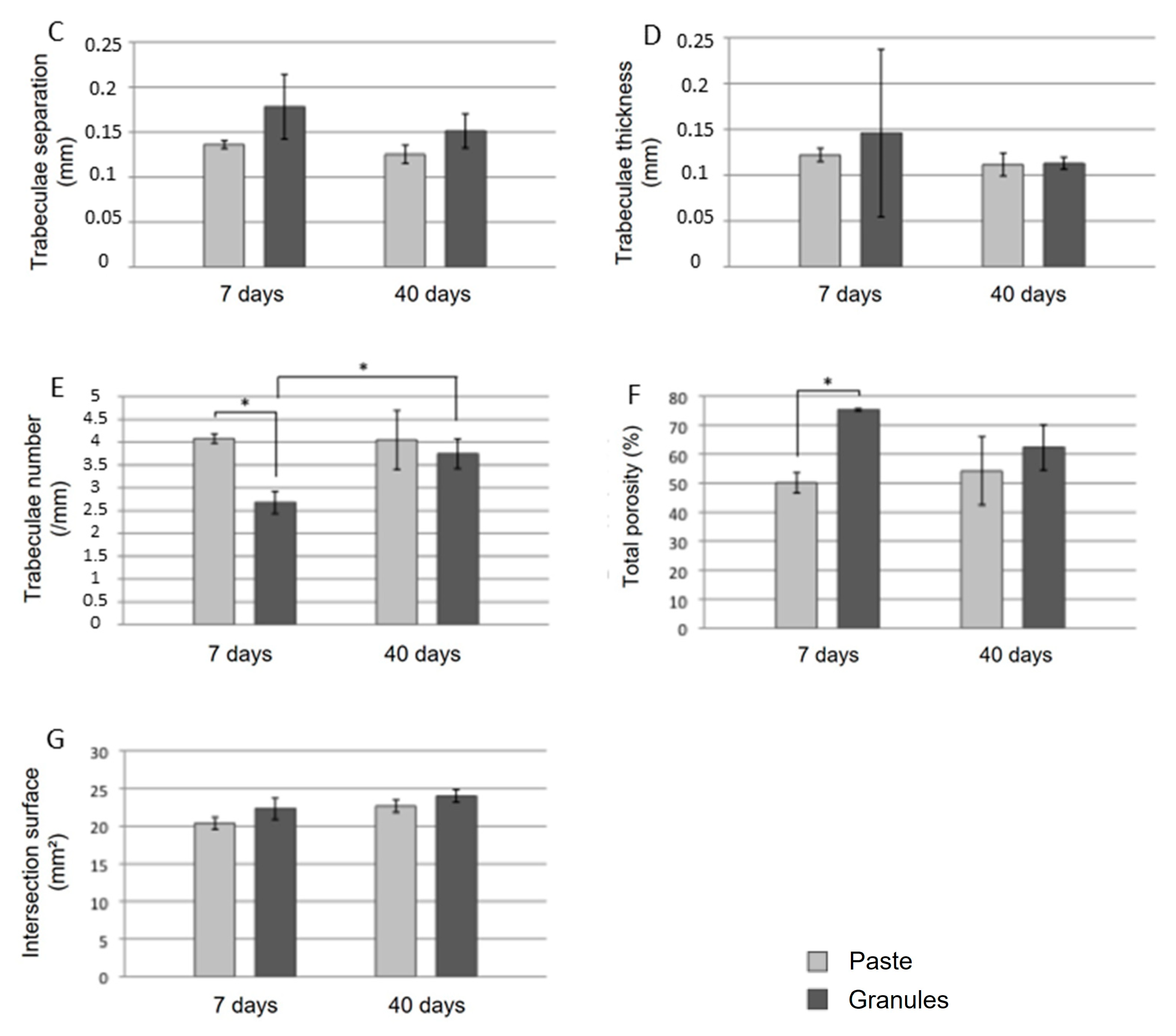
3.2. Microtomographic Analysis
3.3. Histological Analysis
3.4. Histometric Analysis
3.5. Immunohistochemical Analysis
3.6. Removal Torque Analysis
4. Discussion
5. Conclusions
- Both configurations ensured the stability of the biomaterial, integrity of the sinus membrane, and the absence of inflammatory/infectious processes.
- Both configurations favored the formation of new bone from the superior cortical bone of the maxillary sinus, progressing towards the center in the apical direction. Owing to the radiodensity of each configuration, the “granule group” provided a better visualization of the progression of bone neoformation over time.
- Both configurations showed histological results consistent with the cellular events that occur during bone neoformation.
- Both configurations induced the activation of proteins important for repair, with the “granule” configuration showing superior osteoconductive potential, as evidenced by the higher VEGF immunolabeling.
- Implant stability was similar in both groups.
Author Contributions
Funding
Institutional Review Board Statement
Informed Consent Statement
Data Availability Statement
Acknowledgments
Conflicts of Interest
References
- Kim, Y.S.; Kim, S.H.; Kim, K.H.; Jhin, M.J.; Kim, W.K.; Lee, Y.K.; Seol, Y.J.; Lee, Y.M. Rabbit maxillary sinus augmentation model with simultaneous implant placement: Differential responses to the graft materials. J. Periodontal Implant. Sci. 2012, 42, 204–211. [Google Scholar] [CrossRef] [PubMed]
- Esposito, M.; Felice, P.; Worthington, H.V. Interventions for replacing missing teeth: Augmentation procedures of the maxillary sinus. Cochrane Database Syst. Rev. 2014, 5, CD008397. [Google Scholar] [CrossRef] [PubMed]
- De Santis, E.; Lang, N.P.; Ferreira, S.; Rangel Garcia, I.J.; Caneva, M.; Botticelli, D. Healing at implants installed concurrently to maxillary sinus floor elevation with Bio-Oss® or autologous bone grafts. A histo-morphometric study in rabbits. Clin. Oral Implant. Res. 2017, 28, 503–511. [Google Scholar] [CrossRef] [PubMed]
- Kolerman, R.; Goshen, G.; Joseph, N.; Kozlovsky, A.; Shetty, S.; Tal, H. Histomorphometric analysis of maxillary sinus augmentation using an alloplast bone substitute. J. Oral Maxillofac. Surg. 2012, 70, 1835–1843. [Google Scholar] [CrossRef] [PubMed]
- Peng, W.; Kim, I.K.; Cho, H.Y.; Pae, S.P.; Jung, B.S.; Cho, H.W.; Seo, J.H. Assessment of the autogenous bone graft for sinus elevation. J. Korean Assoc. Oral Maxillofac. Surg. 2013, 39, 274–282. [Google Scholar] [CrossRef]
- Sverzut, A.T.; Rodrigues, D.C.; Lauria, A.; Armando, R.S.; De Oliveira, P.T.; Moreira, R.W. Clinical, radiographic, and histological analyses of calcium phosphate cement as filling material in maxillary sinus lift surgery. Clin. Oral Implant. Res. 2015, 26, 633–638. [Google Scholar] [CrossRef]
- Moon, Y.S.; Sohn, D.S.; Moon, J.W.; Lee, J.H.; Park, I.S.; Lee, J.K. Comparative histomorphometric analysis of maxillary sinus augmentation with absorbable collagen membrane and osteoinductive replaceable bony window in rabbits. Implant. Dent. 2014, 23, 29–36. [Google Scholar] [CrossRef]
- Trbakovic, A.; Hedenqvist, P.; Mellgreen, T.; Ley, C.; Hilborn, J.; Ossipov, D.; Ekman, S.; Johansson, C.B.; Jensen-Waern, M.; Thor, A. A new synthetic granular calcium phosphate compound induces new bone in a sinus lift rabbit model. J. Dent. 2018, 70, 31–39. [Google Scholar] [CrossRef]
- Rickert, D.; Slater, J.J.; Meijer, H.J.; Vissink, A.; Raghoebar, G.M. Maxillary sinus lift with solely autogenous bone compared to a combination of autogenous bone and growth factors or (solely) bone substitutes. A systematic review. Int. J. Oral Maxillofac. Surg. 2012, 41, 160–167. [Google Scholar] [CrossRef]
- Chaves, M.D.; De Souza Nunes, L.S.; De Oliveira, R.V.; Holgado, L.A.; Filho, H.N.; Matsumoto, M.A.; Ribeiro, D.A. Bovine hydroxyapatite (Bio-Oss®) induces osteocalcin, RANK-L and osteoprotegerin expression in sinus lift of rabbits. J. Craniomaxillofac. Surg. 2012, 40, e315–e320. [Google Scholar] [CrossRef]
- Sununliganon, L.; Peng, L.; Singhatanadgit, W.; Cheung, L.K. Osteogenic efficacy of bone marrow concentrate in rabbit maxillary sinus grafting. J. Craniomaxillofac. Surg. 2014, 42, 1753–1765. [Google Scholar] [CrossRef] [PubMed]
- Reddy, S.; Wasnik, S.; Guha, A.; Kumar, J.M.; Sinha, A.; Singh, S. Evaluation of nano-biphasic calcium phosphate ceramics for bone tissue engineering applications: In vitro and preliminary in vivo studies. J. Biomater. Appl. 2013, 27, 565–575. [Google Scholar] [CrossRef] [PubMed]
- Danesh-Sani, S.A.; Loomer, P.M.; Wallace, S.S. A comprehensive clinical review of maxillary sinus floor elevation: Anatomy, techniques, biomaterials and complications. Br. J. Oral Maxillofac. Surg. 2016, 54, 724–730. [Google Scholar] [CrossRef]
- Stein, J.M.; Fickl, S.; Yekta, S.S.; Hoischen, U.; Ocklenburg, C.; Smeets, R. Clinical evaluation of a biphasic calcium composite grafting material in the treatment of human periodontal intrabony defects: A 12-month randomized controlled clinical trial. J. Periodontol. 2009, 80, 1774–1782. [Google Scholar] [CrossRef] [PubMed]
- Orsini, G.; Ricci, J.; Scarano, A.; Pecora, G.; Petrone, G.; Iezzi, G.; Piattelli, A. Bone-defect healing with calcium-sulfate particles and cement: An experimental study in rabbit. J. Biomed. Mater. Res. B Appl. Biomater. 2004, 68, 199–208. [Google Scholar] [CrossRef]
- Bettach, R.; Guillaume, B.; Taschieri, S.; Del Fabbro, M. Clinical performance of a highly porous beta-TCP as the grafting material for maxillary sinus augmentation. Implant. Dent. 2014, 23, 357–364. [Google Scholar] [CrossRef]
- Jodia, K.; Sadhwani, B.S.; Parmar, B.S.; Anchlia, S.; Sadhwani, S.B. Sinus elevation with an alloplastic material and simultaneous implant placement: A 1-stage procedure in severely atrophic maxillae. J. Maxillofac. Oral Surg. 2014, 13, 271–280. [Google Scholar] [CrossRef]
- Stübinger, S.; Dard, M. The rabbit as experimental model for research in implant dentistry and related tissue regeneration. J. Investig. Surg. 2013, 26, 266–282. [Google Scholar] [CrossRef]
- Pearce, A.I.; Richards, R.G.; Milz, S.; Schneider, E.; Pearce, S.G. Animal models for implant biomaterial research in bone: A review. Eur. Cell. Mater. 2007, 13, 1–10. [Google Scholar] [CrossRef]
- Costa, M.M.; Botticelli, D.; Moses, O.; Omori, Y.; Fujiwara, S.; Silva, E.R.; Xavier, S.P. Maxillary sinus augmentation using ceramic alloplastic granules or paste: An experimental study in rabbits. Dent. J. 2021, 9, 65. [Google Scholar] [CrossRef]
- Rea, M.; Lang, N.P.; Ricci, S.; Mintrone, F.; González González, G.; Botticelli, D. Healing of implants installed in over- or under-prepared sites--an experimental study in dogs. Clin. Oral Implant. Res. 2015, 26, 442–446. [Google Scholar] [CrossRef]
- Lombardo, G.; Signoriello, A.; Marincola, M.; Liboni, P.; Faccioni, P.; Zangani, A.; D’Agostino, A.; Nocini, P.F. Short and ultra-short implants, in association with simultaneous internal sinus lift in the atrophic posterior maxilla: A five-year retrospective study. Materials 2022, 15, 7995. [Google Scholar] [CrossRef] [PubMed]
- Kim, J.; Jang, H. A review of complications of maxillary sinus augmentation and available treatment methods. J. Korean Assoc. Oral Maxillofac. Surg. 2019, 45, 220–224. [Google Scholar] [CrossRef]
- Stacchi, C.; Andolsek, F.; Berton, F.; Perinetti, G.; Navarra, C.O.; Di Lenarda, R. Intraoperative complications during sinus floor elevation with lateral approach: A systematic review. Int. J. Oral Maxillofac. Implant. 2017, 32, e107–e118. [Google Scholar] [CrossRef] [PubMed]
- Testori, T.; Yu, S.H.; Tavelli, L.; Wang, H.L. Perforation risk assessment in maxillary sinus augmentation with lateral wall technique. Int. J. Periodontics Restor. Dent. 2020, 40, 373–380. [Google Scholar] [CrossRef] [PubMed]
- Cha, H.S.; Kim, A.; Nowzari, H.; Chang, H.S.; Ahn, K.M. Simultaneous sinus lift and implant installation: Prospective study of consecutive two hundred seventeen sinus lift and four hundred sixty-two implants. Clin. Implant. Dent. Relat. Res. 2014, 16, 337–347. [Google Scholar] [CrossRef]
- Testori, T.; Wallace, S.S.; Del Fabbro, M.; Taschieri, S.; Trisi, P.; Capelli, M.; Weinstein, R.L. Repair of large sinus membrane perforations using stabilized collagen barrier membranes: Surgical techniques with histologic and radiographic evidence of success. Int. J. Periodontics Restor. Dent. 2008, 28, 9–17. [Google Scholar]
- Ardekian, L.; Oved-Peleg, E.; Mactei, E.E.; Peled, M. The clinical significance of sinus membrane perforation during augmentation of the maxillary sinus. J. Oral Maxillofac. Surg. 2006, 64, 277–282. [Google Scholar] [CrossRef]
- Hernández-Alfaro, F.; Torradeflot, M.M.; Marti, C. Prevalence and management of schneiderian membrane perforations during sinus-lift procedures. Clin. Oral Implant. Res. 2008, 19, 91–98. [Google Scholar] [CrossRef]
- Kerschner, J.E.; Cruz, M.J.; Beste, D.J.; Donahue, K.M.; Kehl, S.K. Computed tomography vs. magnetic resonance imaging of acute bacterial sinusitis: A rabbit model. Am. J. Otolaryngol. 2000, 21, 298–305. [Google Scholar] [CrossRef]
- Ozcan, K.M.; Ozcan, I.; Selcuk, A.; Akdogan, O.; Gurgen, S.G.; Deren, T.; Koparal, S.; Ozogul, C.; Dere, H. Comparison of histopathological and CT findings in experimental rabbit sinusitis. Indian J. Otolaryngol. Head Neck Surg. 2011, 63, 56–59. [Google Scholar] [CrossRef]
- Miki, M.; Botticelli, D.; Silva, E.R.; Xavier, S.P.; Baba, S. Incidence of sinus mucosa perforations during healing after sinus elevation using deproteinized bovine bone mineral as grafting material: A histologic evaluation in a rabbit model. Int. J. Oral Maxillofac. Implant. 2021, 36, 660–668. [Google Scholar] [CrossRef] [PubMed]
- Kato, S.; Botticelli, D.; De Santis, E.; Kanayama, M.; Ferreira, S.; Rangel-Garcia, I.J. Sinus mucosa thinning and perforation after sinus augmentation. A histological study in rabbits. Oral Maxillofac. Surg. 2021, 25, 477–485. [Google Scholar] [CrossRef]
- Omori, Y.; Botticelli, D.; Migani, S.; Ferreira Balan, V.; Pires Godoy, E.; Xavier, S.P. Sinus mucosal damage triggered by synthetic or xenogeneic bone substitutes: A histological analysis in rabbits. J. Funct. Biomater. 2022, 13, 257. [Google Scholar] [CrossRef]
- Favero, R.; Apaza Alccayhuaman, K.A.; Botticelli, D.; Xavier, S.P.; Ferreira Balan, V.; Macchi, V.; De Caro, R. Sinus mucosa thinning and perforations after sinus lifting performed with different xenografts: A histological analysis in rabbits. Dent. J. 2021, 10, 2. [Google Scholar] [CrossRef]
- Omori, Y.; Nakajima, Y.; Imai, H.; Yonezawa, D.; Ferri, M.; Alccayhuaman, K.A.A.; Botticelli, D. Influence of anatomical parameters on the dimensions of the subantral space and sinus mucosa thickening after sinus floor elevation. A retrospective cone beam computed tomography study. Dent. J. 2021, 9, 76. [Google Scholar] [CrossRef] [PubMed]
- Kühl, S.; Götz, H.; Hansen, T.; Kreisler, M.; Behneke, A.; Heil, U.; Duschner, H.; D’hoedt, B. Three-dimensional analysis of bone formation after maxillary sinus augmentation by means of microcomputed tomography: A pilot study. Int. J. Oral Maxillofac. Implant. 2010, 25, 930–938. [Google Scholar]
- Kühl, S.; Brochhausen, C.; Götz, H.; Filippi, A.; Payer, M.; D’hoedt, B.; Kreisler, M. The influence of bone substitute materials on the bone volume after maxillary sinus augmentation: A microcomputerized tomography study. Clin. Oral Investig. 2013, 17, 543–551. [Google Scholar] [CrossRef] [PubMed]
- Feldkamp, L.A.; Goldstein, S.A.; Parfitt, A.M.; Jesion, G.; Kleerekoper, M. The direct examination of three-dimensional bone architecture in vitro by computed tomography. J. Bone Miner. Res. 1989, 4, 3–11. [Google Scholar] [CrossRef]
- Lambert, F.; Lecloux, G.; Léonard, A.; Sourice, S.; Layrolle, P.; Rompen, E. Bone regeneration using porous titanium particles versus bovine hydroxyapatite: A sinus lift study in rabbits. Clin. Implant. Dent. Relat. Res. 2013, 15, 412–426. [Google Scholar] [CrossRef]
- Joo, M.J.; Cha, J.K.; Lim, H.C.; Choi, S.H.; Jung, U.W. Sinus augmentation using rhBMP-2-loaded synthetic bone substitute with simultaneous implant placement in rabbits. J. Periodontal Implant. Sci. 2017, 47, 86–95. [Google Scholar] [CrossRef] [PubMed]
- Scala, A.; Botticelli, D.; Faeda, R.S.; Garcia Rangel, I.J.; Américo de Oliveira, J.; Lang, N.P. Lack of influence of the Schneiderian membrane in forming new bone apical to implants simultaneously installed with sinus floor elevation: An experimental study in monkeys. Clin. Oral Implant. Res. 2012, 23, 175–181. [Google Scholar] [CrossRef] [PubMed]
- Masuda, K.; Silva, E.R.; Alccayhuaman, K.A.A.; Botticelli, D.; Xavier, S.P. Histologic and micro-CT analyses at implants placed immediately after maxillary sinus elevation using large or small xenograft granules: An experimental study in rabbits. Int. J. Oral Maxillofac. Implant. 2020, 35, 739–748. [Google Scholar] [CrossRef]
- Trisi, P.; Rebaudi, A.; Calvari, F.; Lazzara, R.J. Sinus graft with biogran, autogenous bone, and PRP: A report of three cases with histology and micro-CT. Int. J. Periodontics Restor. Dent. 2006, 26, 113–125. [Google Scholar]
- Iida, T.; Baba, S.; Botticelli, D.; Masuda, K.; Xavier, S.P. Comparison of histomorphometry and microCT after sinus augmentation using xenografts of different particle sizes in rabbits. Oral Maxillofac. Surg. 2020, 24, 57–64. [Google Scholar] [CrossRef]
- Iida, T.; Silva, E.R.; Lang, N.P.; Alccayhuaman, K.A.A.; Botticelli, D.; Xavier, S.P. Histological and micro-computed tomography evaluations of newly formed bone after maxillary sinus augmentation using a xenograft with similar density and mineral content of bone: An experimental study in rabbits. Clin. Exp. Dent. Res. 2018, 4, 284–290. [Google Scholar] [CrossRef] [PubMed]
- Caneva, M.; Lang, N.P.; Garcia Rangel, I.J.; Ferreira, S.; De Santis, E.; Botticelli, D. Sinus mucosa elevation using Bio-Oss(®) or Gingistat(®) collagen sponge: An experimental study in rabbits. Clin. Oral Implant. Res. 2017, 28, 21–30. [Google Scholar] [CrossRef]
- Aukhil, I. Biology of wound healing. Periodontology 2000, 22, 44–55. [Google Scholar] [CrossRef]
- Dimitriou, R.; Tsiridis, E.; Giannoudis, P.V. Current concepts of molecular aspects of bone healing. Injury 2005, 36, 1392–1404. [Google Scholar] [CrossRef]
- Rh Owen, G.R.; Dard, M.; Larjava, H.J. Hydoxyapatite/beta-tricalcium phosphate biphasic ceramics as regenerative material for the repair of complex bone defects. Biomed. Mater. Res. B Appl. Biomater. 2018, 106, 2493–2512. [Google Scholar] [CrossRef]
- Bosshardt, D.D.; Bornstein, M.M.; Carrel, J.P.; Buser, D.; Bernard, J.P. Enxerto de seio maxilar com um gel sintético de hidroxiapatita-sílica nanocristalina em humanos: Resultados histológicos e histomorfométricos. Int. J. Periodontia Restaur. Dent. 2014, 34, 259–267. [Google Scholar] [CrossRef] [PubMed]
- Zhao, Z.; Zhang, J.; Yang, Z.; Zhao, Q. Biodegradation of HA and β-TCP ceramics regulated by T-Cells. Pharmaceutics 2022, 14, 1962. [Google Scholar] [CrossRef] [PubMed]
- Ishikawa, K.; Miyamoto, Y.; Tsuchiya, A.; Hayashi, K.; Tsuru, K.; Ohe, G. Physical and histological comparison of hydroxyapatite, carbonate apatite, and β-tricalcium phosphate bone substitutes. Materials 2018, 11, 1993. [Google Scholar] [CrossRef] [PubMed]
- Yamada, S. Reabsorção osteoclástica de cerâmica de fosfato de cálcio com diferentes proporções de fosfato de hidroxiapatita/β-tricálcio. Biomateriais 1997, 18, 1037–1041. [Google Scholar] [CrossRef] [PubMed]
- Lodoso-Torrecilla, I.; Beucken, J.V.D.; Jansen, J. Cimentos de fosfato de cálcio: Otimização para biodegradabilidade. Acta Biomater. 2020, 119, 1–12. [Google Scholar] [CrossRef]
- Tew, M.; Damstra-Wijmenga, S. Parteiras mais seguras: Evidência holandesa recente. Obstetrícia 1991, 7, 55–63. [Google Scholar] [CrossRef]
- Matos, S.; Guerra, F.; Krauser, J.T.; Figueiredo, H.; Marcelino, J.P.; Sanz, M. Avaliação de um mineral inorgânico derivado de bovino com enxerto ósseo de hidrogel P-15: Estudo preliminar em modelo de osso craniano de coelho. Clin. Implant. Oral. Res. 2011, 23, 698–705. [Google Scholar] [CrossRef]
- Rittel, D.; Dorogoy, A.; Shemtov-yona, K. Modeling the effect of osseointegration on dental implant pullout and torque removal tests. Clin. Implant. Dent. Relat. Res. 2018, 20, 683–691. [Google Scholar] [CrossRef]
- Klokkevold, P.R.; Johnson, P.; Dadgostari, S.; Caputo, A.; Davies, J.E.; Nishimura, R.D. Early endosseous integration enhanced by dual acid etching of titanium: A torque removal study in the rabbit. Clin. Oral Implant. Res. 2001, 12, 350–357. [Google Scholar] [CrossRef]
- Chacon, G.E.; Stine, E.A.; Larsen, P.E.; Beck, F.M.; Mcglumphy, E.A. Effect of alendronate on endosseous implant integration: An in vivo study in rabbits. J. Oral Maxillofac. Surg. 2006, 64, 1005–1009. [Google Scholar] [CrossRef]
- Lownie, J.F.; Betts, P.A.; Bryant, R.S.; Cleaton-Jones, P. Torque removal force for osseointegrated implants—Two experimental studies. S Afr. J. Surg. 2008, 46, 18–20. [Google Scholar] [PubMed]
- Park, S.H.; Park, K.S.; Cho, S.A. Comparison of removal torques of SLActive® implant and blasted, laser-treated titanium implant in rabbit tibia bone healed with concentrated growth factor application. J. Adv. Prosthodont. 2016, 8, 110–115. [Google Scholar] [CrossRef]
- Ribeiro, M.; Fraguas, E.H.; Brito, K.I.C.; Kim, Y.J.; Pallos, D.; Sendyk, W.R. Bone autografts & allografts placed simultaneously with dental implants in rabbits. J. Craniomaxillofac. Surg. 2018, 46, 142–147. [Google Scholar] [PubMed]
- Iida, T.; Neto, E.C.M.; Botticelli, D.; Alccayhuaman, K.A.A.; Lang, N.P.; Xavier, S.P. Influence of a collagen membrane positioned subjacent the sinus mucosa following the elevation of the maxillary sinus. A histomorphometric study in rabbits. Clin. Oral Implant. Res. 2017, 28, 1567–1576. [Google Scholar] [CrossRef]
- Aimetti, M.; Massei, G.; Morra, M.; Cardesi, E.; Romano, F. Correlation between gingival phenotype and Schneiderian membrane thickness. Int. J. Oral Maxillofac. Implant. 2008, 23, 1128–1132. [Google Scholar]
- Kawakami, S.; Botticelli, D.; Nakajima, Y.; Sakuma, S.; Baba, S. Anatomical analyses for maxillary sinus floor augmentation with a lateral approach: A cone beam computed tomography study. Ann. Anat. 2019, 226, 29–34. [Google Scholar] [CrossRef]
- Botticelli, D.; Lang, N.P. Dynamics of osseointegration in various human and animal models—A comparative analysis. Clin. Oral Implant. Res. 2017, 28, 742–748. [Google Scholar] [CrossRef] [PubMed]










| New Bone | Soft Tissue | Residual Graft | Vessels | |
|---|---|---|---|---|
| Granule | 60 | 25 | 2 | 13 |
| Paste | 31 | 40 | 11 | 18 |
| p values Granule vs. Paste | p < 0.0001 * | p = 0.01 * | p = 0.09 | p = 0.5 |
| Markers | Paste (Scores) | Granules (Scores) |
|---|---|---|
| RUNX2 | 2 | 2–3 |
| VEGF | 1–2 | 2 |
| OCN | 2–3 | 2 |
| TRAP | 1–2 | 2 |
| Paste (N.cm) | Granules (N.cm) |
|---|---|
| 14 | 16 |
| 9 | 10 |
| 9 | 6 |
| 4 | 7 |
| 11 | 8 |
Disclaimer/Publisher’s Note: The statements, opinions and data contained in all publications are solely those of the individual author(s) and contributor(s) and not of MDPI and/or the editor(s). MDPI and/or the editor(s) disclaim responsibility for any injury to people or property resulting from any ideas, methods, instructions or products referred to in the content. |
© 2023 by the authors. Licensee MDPI, Basel, Switzerland. This article is an open access article distributed under the terms and conditions of the Creative Commons Attribution (CC BY) license (https://creativecommons.org/licenses/by/4.0/).
Share and Cite
Jacob, R.G.M.; Ervolino da Silva, A.C.; Chaushu, L.; Lang, N.P.; Borges Duailibe de Deus, C.; Botticelli, D.; Rangel Garcia Júnior, I. Evaluation of Two Configurations of Hydroxyapatite and Beta-Tricalcium Phosphate in Sinus Grafts with Simultaneous Implant Installation: An Experimental Study in Rabbits. Dent. J. 2023, 11, 121. https://doi.org/10.3390/dj11050121
Jacob RGM, Ervolino da Silva AC, Chaushu L, Lang NP, Borges Duailibe de Deus C, Botticelli D, Rangel Garcia Júnior I. Evaluation of Two Configurations of Hydroxyapatite and Beta-Tricalcium Phosphate in Sinus Grafts with Simultaneous Implant Installation: An Experimental Study in Rabbits. Dentistry Journal. 2023; 11(5):121. https://doi.org/10.3390/dj11050121
Chicago/Turabian StyleJacob, Ricardo Garcia Mureb, Ana Cláudia Ervolino da Silva, Liat Chaushu, Niklaus Peter Lang, Ciro Borges Duailibe de Deus, Daniele Botticelli, and Idelmo Rangel Garcia Júnior. 2023. "Evaluation of Two Configurations of Hydroxyapatite and Beta-Tricalcium Phosphate in Sinus Grafts with Simultaneous Implant Installation: An Experimental Study in Rabbits" Dentistry Journal 11, no. 5: 121. https://doi.org/10.3390/dj11050121
APA StyleJacob, R. G. M., Ervolino da Silva, A. C., Chaushu, L., Lang, N. P., Borges Duailibe de Deus, C., Botticelli, D., & Rangel Garcia Júnior, I. (2023). Evaluation of Two Configurations of Hydroxyapatite and Beta-Tricalcium Phosphate in Sinus Grafts with Simultaneous Implant Installation: An Experimental Study in Rabbits. Dentistry Journal, 11(5), 121. https://doi.org/10.3390/dj11050121

