Knowledge and Attitude towards Probiotics among Dental Students and Teachers: A Cross-Sectional Survey
Abstract
1. Introduction
2. Materials and Methods
2.1. Ethical Approval
2.2. Study Design, Target Population, and Sample Size
- z (z-score, i.e., the number of standard deviations a given proportion deviates from the mean) = 1.96 (95% CI);
- p (standard deviation) = 0.5;
- e (margin of error) = 0.05;
- N (population size) = 604 (students); 54 (teachers).
2.3. Questionnaire Development
2.4. Data Collection and Analysis
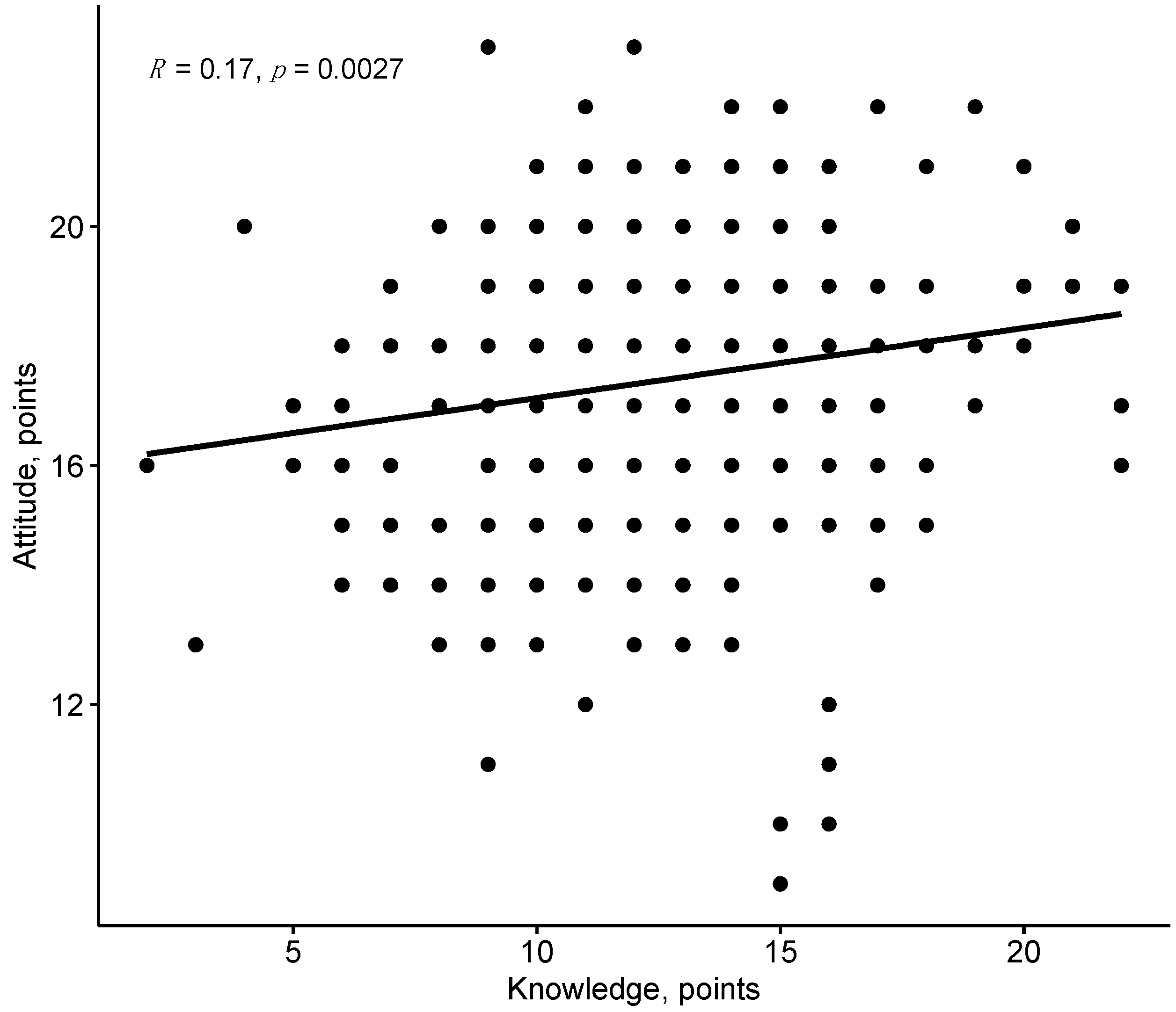
3. Results
4. Discussion
5. Limitations
6. Conclusions
Author Contributions
Funding
Institutional Review Board Statement
Informed Consent Statement
Data Availability Statement
Conflicts of Interest
References
- Sender, R.; Fuchs, S.; Milo, R. Are We Really Vastly Outnumbered? Revisiting the Ratio of Bacterial to Host Cells in Humans. Cell 2016, 164, 337–340. [Google Scholar] [CrossRef]
- Arshad, M.S.; Saqlain, M.; Majeed, A.; Imran, I.; Saeed, H.; Saleem, M.U.; Abrar, M.A.; Islam, M.; Hashmi, F.; Akbar, M.; et al. Cross-Sectional Study to Assess the Healthcare Professionals’ Knowledge, Attitude and Practices about Probiotics Use in Pakistan. BMJ Open 2021, 11, e047494. [Google Scholar] [CrossRef] [PubMed]
- Sekirov, I.; Russell, S.L.; Antunes, L.C.M.; Finlay, B.B. Gut Microbiota in Health and Disease. Physiol. Rev. 2010, 90, 859–904. [Google Scholar] [CrossRef]
- Duda-Chodak, A.; Tarko, T.; Satora, P.; Sroka, P. Interaction of Dietary Compounds, Especially Polyphenols, with the Intestinal Microbiota: A Review. Eur. J. Nutr. 2015, 54, 325–341. [Google Scholar] [CrossRef]
- Godavarthy, D.; Naik, R.; Gali, P.; Ahmed Mujib, B.; Reddy Baddam, V. Can Coffee Combat Caries? An in Vitro Study. J. Oral Maxillofac. Pathol. 2020, 24, 64. [Google Scholar] [CrossRef] [PubMed]
- Zhan, L. Rebalancing the Caries Microbiome Dysbiosis: Targeted Treatment and Sugar Alcohols. Adv. Dent. Res. 2018, 29, 110–116. [Google Scholar] [CrossRef]
- Lin, W.; Kuo, Y.; Chen, C.; Huang, Y.; Hsu, C.; Lin, J.; Liu, C.; Chen, J.; Hsia, K.; Ho, H. Viable and Heat-Killed Probiotic Strains Improve Oral Immunity by Elevating the IgA Concentration in the Oral Mucosa. Curr. Microbiol. 2021, 78, 3541–3549. [Google Scholar] [CrossRef]
- Lin, Y.; Chen, J.; Zhou, X.; Li, Y. Inhibition of Streptococcus Mutans Biofilm Formation by Strategies Targeting the Metabolism of Exopolysaccharides. Crit. Rev. Microbiol. 2021, 47, 667–677. [Google Scholar] [CrossRef] [PubMed]
- Arce, M.; Endo, N.; Dutzan, N.; Abusleme, L. A Reappraisal of Microbiome Dysbiosis during Experimental Periodontitis. Mol. Oral Microbiol. 2022, 37, 180–195. [Google Scholar] [CrossRef]
- Blasco-Baque, V.; Garidou, L.; Pomié, C.; Escoula, Q.; Loubieres, P.; le Gall-David, S.; Lemaitre, M.; Nicolas, S.; Klopp, P.; Waget, A.; et al. Periodontitis Induced by Porphyromonas gingivalis Drives Periodontal Microbiota Dysbiosis and Insulin Resistance via an Impaired Adaptive Immune Response. Gut 2017, 66, 872–885. [Google Scholar] [CrossRef]
- Ortiz, V.; Filippi, A. Halitosis. In Monographs in Oral Science; Karger Publishers: Berlin, Germany, 2021; Volume 29, pp. 195–200. [Google Scholar]
- Kumbargere Nagraj, S.; Eachempati, P.; Uma, E.; Singh, V.P.; Ismail, N.M.; Varghese, E. Interventions for Managing Halitosis. Cochrane Database Syst. Rev. 2019, 12, CD012213. [Google Scholar] [CrossRef]
- Seerangaiyan, K.; Jüch, F.; Winkel, E.G. Tongue Coating: Its Characteristics and Role in Intra-Oral Halitosis and General Health—A Review. J. Breath Res. 2018, 12, 034001. [Google Scholar] [CrossRef]
- Bustamante, M.; Oomah, B.D.; Mosi-Roa, Y.; Rubilar, M.; Burgos-Díaz, C. Probiotics as an Adjunct Therapy for the Treatment of Halitosis, Dental Caries and Periodontitis. Probiotics Antimicrob. Proteins 2020, 12, 325–334. [Google Scholar] [CrossRef]
- Lin, T.-H.; Lin, C.-H.; Pan, T.-M. The Implication of Probiotics in the Prevention of Dental Caries. Appl. Microbiol. Biotechnol. 2018, 102, 577–586. [Google Scholar] [CrossRef] [PubMed]
- Gruner, D.; Paris, S.; Schwendicke, F. Probiotics for Managing Caries and Periodontitis: Systematic Review and Meta-Analysis. J. Dent. 2016, 48, 16–25. [Google Scholar] [CrossRef] [PubMed]
- Manmontri, C.; Nirunsittirat, A.; Piwat, S.; Wattanarat, O.; Pahumunto, N.; Makeudom, A.; Sastraruji, T.; Krisanaprakornkit, S.; Teanpaisan, R. Reduction of Streptococcus Mutans by Probiotic Milk: A Multicenter Randomized Controlled Trial. Clin. Oral. Investig. 2020, 24, 2363–2374. [Google Scholar] [CrossRef]
- FAO. World Health Organization: Food and Agriculture Organization of the United Nations Probiotics in Food Health and Nutritional Properties and Guidelines for Evaluation. In FAO Food and Nutrition Paper; FAO: Rome, Italy, 2006; Volume 85, pp. 1–50. [Google Scholar]
- Miller, C.H.; Kleinman, J.L. Effect of Microbial Interactions on In Vitro Plaque Formation by Streptococcus Mutans. J. Dent. Res. 1974, 53, 427–434. [Google Scholar] [CrossRef] [PubMed]
- Sandoval, F.; Faleiros, S.; Cabello, R.; Díaz-Dosque, M.; Rodríguez, G.; Escobar, A. The Consumption of Milk Supplemented with Probiotics Decreases the Occurrence of Caries and the Salivary Concentration of HβD-3 in Children. Clin. Oral Investig. 2021, 25, 3823–3830. [Google Scholar] [CrossRef]
- Piwat, S.; Teanpaisan, R.; Manmontri, C.; Wattanarat, O.; Pahumunto, N.; Makeudom, A.; Krisanaprakornkit, S.; Nirunsittirat, A. Efficacy of Probiotic Milk for Caries Regression in Preschool Children: A Multicenter Randomized Controlled Trial. Caries Res. 2020, 54, 491–501. [Google Scholar] [CrossRef]
- Staszczyk, M.; Jamka-Kasprzyk, M.; Kościelniak, D.; Cienkosz-Stepańczak, B.; Krzyściak, W.; Jurczak, A. Effect of a Short-Term Intervention with Lactobacillus Salivarius Probiotic on Early Childhood Caries—An Open Label Randomized Controlled Trial. Int. J. Environ. Res. Public Health 2022, 19, 12447. [Google Scholar] [CrossRef]
- Slawik, S.; Staufenbiel, I.; Schilke, R.; Nicksch, S.; Weinspach, K.; Stiesch, M.; Eberhard, J. Probiotics Affect the Clinical Inflammatory Parameters of Experimental Gingivitis in Humans. Eur. J. Clin. Nutr. 2011, 65, 857–863. [Google Scholar] [CrossRef]
- Invernici, M.M.; Furlaneto, F.A.C.; Salvador, S.L.; Ouwehand, A.C.; Salminen, S.; Mantziari, A.; Vinderola, G.; Ervolino, E.; Santana, S.I.; Silva, P.H.F.; et al. Bifidobacterium Animalis Subsp Lactis HN019 Presents Antimicrobial Potential against Periodontopathogens and Modulates the Immunological Response of Oral Mucosa in Periodontitis Patients. PLoS ONE 2020, 15, e0238425. [Google Scholar] [CrossRef] [PubMed]
- Invernici, M.M.; Salvador, S.L.; Silva, P.H.F.; Soares, M.S.M.; Casarin, R.; Palioto, D.B.; Souza, S.L.S.; Taba, M.; Novaes, A.B.; Furlaneto, F.A.C.; et al. Effects of Bifidobacterium Probiotic on the Treatment of Chronic Periodontitis: A Randomized Clinical Trial. J. Clin. Periodontol. 2018, 45, 1198–1210. [Google Scholar] [CrossRef] [PubMed]
- Ishikawa, K.H.; Mayer, M.P.A.; Miyazima, T.Y.; Matsubara, V.H.; Silva, E.G.; Paula, C.R.; Campos, T.T.; Nakamae, A.E.M. A Multispecies Probiotic Reduces Oral Candida Colonization in Denture Wearers. J. Prosthodont. 2015, 24, 194–199. [Google Scholar] [CrossRef]
- Li, D.; Li, Q.; Liu, C.; Lin, M.; Li, X.; Xiao, X.; Zhu, Z.; Gong, Q.; Zhou, H. Efficacy and Safety of Probiotics in the Treatment of Candida -Associated Stomatitis. Mycoses 2014, 57, 141–146. [Google Scholar] [CrossRef]
- Benic, G.Z.; Farella, M.; Morgan, X.C.; Viswam, J.; Heng, N.C.; Cannon, R.D.; Mei, L. Oral Probiotics Reduce Halitosis in Patients Wearing Orthodontic Braces: A Randomized, Triple-Blind, Placebo-Controlled Trial. J. Breath Res. 2019, 13, 036010. [Google Scholar] [CrossRef]
- Lee, D.-S.; Kim, M.; Nam, S.-H.; Kang, M.-S.; Lee, S.-A. Effects of Oral Probiotics on Subjective Halitosis, Oral Health, and Psychosocial Health of College Students: A Randomized, Double-Blind, Placebo-Controlled Study. Int. J. Environ. Res. Public Health 2021, 18, 1143. [Google Scholar] [CrossRef]
- Cagetti, M.G.; Mastroberardino, S.; Milia, E.; Cocco, F.; Lingström, P.; Campus, G. The Use of Probiotic Strains in Caries Prevention: A Systematic Review. Nutrients 2013, 5, 2530–2550. [Google Scholar] [CrossRef] [PubMed]
- Twetman, S.; Stecksén-Blicks, C. Probiotics and Oral Health Effects in Children. Int. J. Paediatr. Dent. 2008, 18, 3–10. [Google Scholar] [CrossRef]
- Surono, I.S.; Koestomo, F.P.; Novitasari, N.; Zakaria, F.R.; Yulianasari; Koesnandar. Novel Probiotic Enterococcus Faecium IS-27526 Supplementation Increased Total Salivary SIgA Level and Bodyweight of Pre-School Children: A Pilot Study. Anaerobe 2011, 17, 496–500. [Google Scholar] [CrossRef]
- Sharifi-Rad, J.; Rodrigues, C.F.; Stojanović-Radić, Z.; Dimitrijević, M.; Aleksić, A.; Neffe-Skocińska, K.; Zielińska, D.; Kołożyn-Krajewska, D.; Salehi, B.; Milton Prabu, S.; et al. Probiotics: Versatile Bioactive Components in Promoting Human Health. Medicina 2020, 56, 433. [Google Scholar] [CrossRef]
- Patil, R.; Dastoor, P.; Unde, M. Comparative Evaluation of Antimicrobial Effectiveness of Probiotic Milk and Fluoride Mouthrinse on Salivary Streptococcus Mutans Counts and Plaque Scores in Children—An in Vivo Experimental Study. J. Indian Soc. Pedod. Prev. Dent. 2019, 37, 378. [Google Scholar] [CrossRef]
- Krasse, P.; Carlsson, B.; Dahl, C.; Paulsson, A.; Nilsson, Å.; Sinkiewicz, G. Decreased Gum Bleeding and Reduced Gingivitis by the Probiotic Lactobacillus Reuteri. Swed. Dent. J. 2006, 30, 55–60. [Google Scholar]
- Maden, E.A.; Altun, C.; Ozmen, B.; Basak, F. Antimicrobial Effect of Toothpastes Containing Fluoride, Xylitol, or Xylitol-Probiotic on Salivary Streptococcus Mutans and Lactobacillus in Children. Niger. J. Clin. Pract. 2018, 21, 134–138. [Google Scholar] [CrossRef]
- Babina, K.; Salikhova, D.; Polyakova, M.; Svitich, O.; Samoylikov, R.; Ahmad El-Abed, S.; Zaytsev, A.; Novozhilova, N. The Effect of Oral Probiotics (Streptococcus Salivarius K12) on the Salivary Level of Secretory Immunoglobulin A, Salivation Rate, and Oral Biofilm: A Pilot Randomized Clinical Trial. Nutrients 2022, 14, 1124. [Google Scholar] [CrossRef]
- Ferrer, M.D.; López-López, A.; Nicolescu, T.; Perez-Vilaplana, S.; Boix-Amorós, A.; Dzidic, M.; Garcia, S.; Artacho, A.; Llena, C.; Mira, A. Topic Application of the Probiotic Streptococcus Dentisani Improves Clinical and Microbiological Parameters Associated With Oral Health. Front. Cell. Infect. Microbiol. 2020, 10, 00465. [Google Scholar] [CrossRef]
- Dailey, F.E.; Turse, E.P.; Rossow, B.; Kuwajima, V.K.; Tahan, V. Probiotics for Gastrointestinal and Liver Diseases: An Updated Review of the Published Literature. Endocr. Metab. Immune Disord. Drug Targets 2019, 19, 549–570. [Google Scholar] [CrossRef]
- Payahoo, L.; Nikniaz, Z.; Mahdavi, R.; Abadi, M.A.J. Perceptions of Medical Sciences Students Towards Probiotics. Health Promot. Perspect. 2012, 2, 96. [Google Scholar] [CrossRef]
- Hu, D.; Zhong, T.; Dai, Q. Clinical Efficacy of Probiotics as an Adjunctive Therapy to Scaling and Root Planning in The Management of Periodontitis: A Systematic Review and Meta-Analysis of Randomized Controlled Trails. J. Evid. Based Dent. Pract. 2021, 21, 101547. [Google Scholar] [CrossRef]
- Fijan, S.; Frauwallner, A.; Varga, L.; Langerholc, T.; Rogelj, I.; Lorber, M.; Lewis, P.; Povalej Bržan, P. Health Professionals’ Knowledge of Probiotics: An International Survey. Int. J. Environ. Res. Public Health 2019, 16, 3128. [Google Scholar] [CrossRef] [PubMed]
- Rahmah, P.A.; Khairani, A.F.; Atik, N.; Arisanti, N.; Fatimah, S.N. Correlation of Knowledge, Attitude, and Practice Toward Probiotics for the Digestive System Among Health Science Students. J. Multidiscip. Healthc. 2021, 14, 1135. [Google Scholar] [CrossRef] [PubMed]
- Markowiak, P.; Śliżewska, K. Effects of Probiotics, Prebiotics, and Synbiotics on Human Health. Nutrients 2017, 9, 1021. [Google Scholar] [CrossRef] [PubMed]
- Sanders, M.E.; Guarner, F.; Guerrant, R.; Holt, P.R.; Quigley, E.M.; Sartor, R.B.; Sherman, P.M.; Mayer, E.A. An Update on the Use and Investigation of Probiotics in Health and Disease. Gut 2013, 62, 787–796. [Google Scholar] [CrossRef] [PubMed]
- Weichert, S.; Schroten, H.; Adam, R. The Role of Prebiotics and Probiotics in Prevention and Treatment of Childhood Infectious Diseases. Pediatr. Infect. Dis. J. 2012, 31, 859–862. [Google Scholar] [CrossRef]
- Zamfir, M.; Angelescu, I.-R.; Grosu-Tudor, S.-S. In Vitro Evaluation of Commercial Probiotic Products Containing Streptococcus Salivarius K12 by Assessment of Probiotic Viability and Inhibitory Potency against Respiratory Pathogens. Processes 2023, 11, 622. [Google Scholar] [CrossRef]
- Wilson, Z.; Whitehead, K. A Cross Sectional Survey to Assess Healthcare Professionals’ Attitudes to and Understanding of Probiotics. Clin. Nutr. ESPEN 2019, 34, 104–109. [Google Scholar] [CrossRef] [PubMed]
- Ababneh, M.; Elrashed, N.; Al-Azayzih, A. Evaluation of Jordanian Healthcare Providers’ Knowledge, Attitudes, and Practice Patterns towards Probiotics. Expert. Rev. Pharmacoecon. Outcomes Res. 2020, 20, 93–97. [Google Scholar] [CrossRef]
- Oliver, L.; Rasmussen, H.; Gregoire, M.B.; Chen, Y. Health Care Provider’s Knowledge, Perceptions, and Use of Probiotics and Prebiotics. Top. Clin. Nutr. 2014, 29, 139–149. [Google Scholar] [CrossRef]
- Hasosah, M.; Qurashi, M.; Balkhair, A.; Alzahrani, Z.; Alabbasi, A.; Alzahrani, M.; Alnahdi, W.; Shafei, S.; Bafaqih, M.; Khan, M. Knowledge, Attitudes, and Understanding of Probiotics among Pediatricians in Different Regions of Saudi Arabia. BMC Med. Educ. 2021, 21, 68. [Google Scholar] [CrossRef]
- Marsh, P.D. Contemporary Perspective on Plaque Control. Br. Dent. J. 2012, 212, 601–606. [Google Scholar] [CrossRef]
- Janczarek, M.; Bachanek, T.; Mazur, E.; Chałas, R. The Role of Probiotics in Prevention of Oral Diseases. Postep. Hig. Med. Dosw. 2016, 70, 850–857. [Google Scholar] [CrossRef]
- Abikshyeet, P.; Mishra, P.; Bhuyan, L.; Kumar, V.; Mahapatra, N.; Adhikary, T. Probiotics: Dawn of a New Era in Dental Caries Management. J. Pharm. Bioallied. Sci. 2022, 14, S34. [Google Scholar] [CrossRef] [PubMed]
- Chimenos-Küstner, E.; Giovannoni, M.L.; Schemel-Suárez, M. Disbiosis Como Factor Determinante de Enfermedad Oral y Sistémica: Importancia Del Microbioma. Med. Clin. 2017, 149, 305–309. [Google Scholar] [CrossRef] [PubMed]
- Inchingolo, A.D.; Malcangi, G.; Semjonova, A.; Inchingolo, A.M.; Patano, A.; Coloccia, G.; Ceci, S.; Marinelli, G.; Di Pede, C.; Ciocia, A.M.; et al. Oralbiotica/Oralbiotics: The Impact of Oral Microbiota on Dental Health and Demineralization: A Systematic Review of the Literature. Children 2022, 9, 1014. [Google Scholar] [CrossRef] [PubMed]
- Soni, R.; Tank, K.; Jain, N. Knowledge, Attitude and Practice of Health Professionals about Probiotic Use in Ahmedabad, India. Nutr. Food Sci. 2018, 48, 125–135. [Google Scholar] [CrossRef]
- Barqawi, H.J.; Adra, S.F.; Ramzi, H.R.; Abouaggour, M.A.; Almehairi, S.K. Evaluating the Knowledge, Attitudes and Practices of the UAE Community on Microbiota Composition and the Main Factors Affecting It: A Cross-Sectional Study. BMJ Open 2021, 11, e047869. [Google Scholar] [CrossRef]
- Tompkins, T.A.; Mainville, I.; Arcand, Y. The Impact of Meals on a Probiotic during Transit through a Model of the Human Upper Gastrointestinal Tract. Benef. Microbes 2011, 2, 295–303. [Google Scholar] [CrossRef]
- Imran Ali, S.; Shyum Naqvi, B.; Tasleem, S. Physicians’ Knowledge and Attitude Concerning the Clinical Use of Probiotics for the Treatment of Infantile Diarrhea in Sindh, Pakistan. World J. Pharm. Res. 2018, 7, 85–99. [Google Scholar] [CrossRef]
- Trotta, F.; Mayer, F.; Mecozzi, A.; Amato, L.; Addis, A. Impact of Guidance on the Prescription Patterns of G-CSFs for the Prevention of Febrile Neutropenia Following Anticancer Chemotherapy: A Population-Based Utilization Study in the Lazio Region. Biodrugs 2017, 31, 117. [Google Scholar] [CrossRef]
- Wagiu Basrowi, R.; Krisnamurti, D.; Wibowo, Y.; Vandenplas, Y. Factors Influencing Probiotics Recommendation among Pediatricians in Indonesia. Integr. Food Nutr. Metab. 2019, 6, 1000265. [Google Scholar] [CrossRef]






| Students | Teachers | |
|---|---|---|
| Sex n (%) 1 | ||
| Female | 164 (68.6) | 44 (81.5) |
| Male | 75 (31.4) | 10 (18.5) |
| Total | 239 (100) | 54 (100) |
| Age | ||
| Mean (SD) | 21.5 (2.4) | 39.8 (11.0) |
| Median [Q1, Q3] | 21 [20, 22] | 37 [30, 50.75] |
| Min, Max | 18, 38 | 24, 60 |
| Knowledge Abs (%) | p-Value 1 | Mean ± SD | p-Value 2 | |||
|---|---|---|---|---|---|---|
| Poor | Fair | Good | ||||
| Students | 78 (32.6) | 128 (53.6) | 33 (13.8) | 0.3135 | 13.0 ± 3.6 | 0.1594 |
| Teachers | 19 (24.1) | 30 (55.5) | 11 (20.4) | 13.7 ± 3.3 | ||
| Question | Students, Abs (%) | Teachers, Abs (%) | p-Value 1 | ||
|---|---|---|---|---|---|
| CA | IA | CA | IA | ||
| Definition of the term | 185 (77.4) | 54 (22.6) | 44 (81.5) | 10 (18.5) | 0.5876 |
| Probiotic benefits for systemic diseases * | 51 (21.3) | 188 (78.7) | 14 (26.0) | 40 (74.0) | 0.4712 |
| Probiotic benefits for oral diseases * | 142 (59.4) | 97 (40.6) | 38 (70.4) | 16 (29.6) | 0.1639 |
| Bacterial species that have probiotic strains * | 8 (3.3) | 231 (96.7) | 1 (1.9) | 53 (98.1) | 1.0 |
| Optimal time for probiotics intake | 139 (58.2) | 100 (41.8) | 30 (55.5) | 24 (44.4) | 0.7616 |
| Attitude Abs (%) | p-Value 1 | Mean ± SD | p-Value 2 | ||
|---|---|---|---|---|---|
| Positive | Negative | ||||
| Students | 234 (97.9) | 5 (2.1) | 0.5883 | 17.1 ± 2.3 | <0.001 |
| Teachers | 54 (100.0) | 0 (0) | 19.1 ± 2.0 | ||
| Item | Respondents’ Answers Abs (%) | ||||
|---|---|---|---|---|---|
| SA | A | N | D | SD | |
| Probiotics may be used in clinical medicine | 43 (18.0) | 123 (51.5) | 52 (21.7) | 14 (5.9) | 7 (2.9) |
| Probiotics are an evidence-based intervention for health | 29 (12.1) | 123 (51.5) | 62 (25.9) | 22 (9.2) | 3 (1.3) |
| Probiotics can be dangerous for health | 7 (2.9) | 62 (26.0) | 82 (34.3) | 76 (31.8) | 12 (5.0) |
| There is a need for healthcare professional education on probiotics | 55 (23.0) | 128 (53.6) | 38 (16.0) | 13 (5.4) | 5 (2.0) |
| Yes | Not sure | No | |||
| If substantiated by peer-reviewed literature, would you be willing to recommend probiotics to your patients? | 188 (78.7) | 38 (15.9) | 13 (5.4) | ||
| Item | Respondents’ Answers Abs (%) | ||||
|---|---|---|---|---|---|
| SA | A | N | D | SD | |
| Probiotics may be used in clinical medicine 1 | 23 (42.6) | 22 (40.7) | 6 (11.1) | 2 (3.7) | 1 (1.9) |
| Probiotics are an evidence-based intervention for health 2 | 11 (20.4) | 30 (55.6) | 10 (18.5) | 3 (5.5) | - |
| Probiotics can be dangerous for health 3 | - | 4 (7.4) | 7 (13.0) | 33 (61.1) | 10 (18.5) |
| There is a need for healthcare professional education on probiotics 4 | 16 (29.6) | 29 (53.7) | 9 (16.7) | - | - |
| Yes | Not sure | No | |||
| If substantiated by peer-reviewed literature, would you be willing to recommend probiotics to your patients? 5 | 52 (96.3) | 2 (3.7) | - | ||
Disclaimer/Publisher’s Note: The statements, opinions and data contained in all publications are solely those of the individual author(s) and contributor(s) and not of MDPI and/or the editor(s). MDPI and/or the editor(s) disclaim responsibility for any injury to people or property resulting from any ideas, methods, instructions or products referred to in the content. |
© 2023 by the authors. Licensee MDPI, Basel, Switzerland. This article is an open access article distributed under the terms and conditions of the Creative Commons Attribution (CC BY) license (https://creativecommons.org/licenses/by/4.0/).
Share and Cite
Babina, K.; Salikhova, D.; Polyakova, M.; Zaytsev, A.; Egiazaryan, A.; Novozhilova, N. Knowledge and Attitude towards Probiotics among Dental Students and Teachers: A Cross-Sectional Survey. Dent. J. 2023, 11, 119. https://doi.org/10.3390/dj11050119
Babina K, Salikhova D, Polyakova M, Zaytsev A, Egiazaryan A, Novozhilova N. Knowledge and Attitude towards Probiotics among Dental Students and Teachers: A Cross-Sectional Survey. Dentistry Journal. 2023; 11(5):119. https://doi.org/10.3390/dj11050119
Chicago/Turabian StyleBabina, Ksenia, Dilara Salikhova, Maria Polyakova, Alexandr Zaytsev, Anna Egiazaryan, and Nina Novozhilova. 2023. "Knowledge and Attitude towards Probiotics among Dental Students and Teachers: A Cross-Sectional Survey" Dentistry Journal 11, no. 5: 119. https://doi.org/10.3390/dj11050119
APA StyleBabina, K., Salikhova, D., Polyakova, M., Zaytsev, A., Egiazaryan, A., & Novozhilova, N. (2023). Knowledge and Attitude towards Probiotics among Dental Students and Teachers: A Cross-Sectional Survey. Dentistry Journal, 11(5), 119. https://doi.org/10.3390/dj11050119

