A DFT Study on Sc-Catalyzed Diastereoselective Cyclization of 2-Picoline with 1,5-Hexadiene: Mechanism and Origins of Regio- and Stereoselectivity
Abstract
1. Introduction
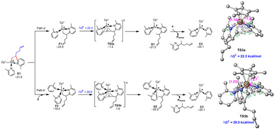
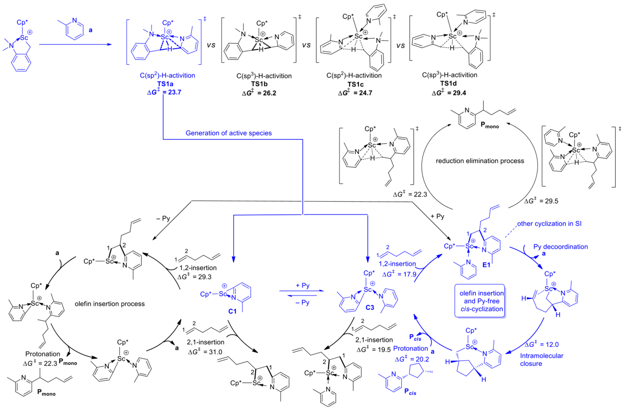
2. Results and Discussion
3. Computational Details
4. Conclusions
Supplementary Materials
Author Contributions
Funding
Institutional Review Board Statement
Informed Consent Statement
Data Availability Statement
Conflicts of Interest
References
- Nishiura, M.; Guo, F.; Hou, Z. Half-Sandwich Rare-Earth-Catalyzed Olefin Polymerization, Carbometalation, and Hydroarylation. Acc. Chem. Res. 2015, 48, 2209−2220. [Google Scholar] [CrossRef]
- Seth, K. Recent Progress in Rare-Earth Metal-Catalyzed sp2 and sp3 C−H Functionalization to Construct C−C and C−Heteroelement Bonds. Org. Chem. Front. 2022, 9, 3102−3141. [Google Scholar] [CrossRef]
- Su, J.; Xu, X. Rare-Earth Metal-Catalyzed C−H Functionalization. J. Chin. Soc. Rare Earths 2021, 39, 171−180. [Google Scholar]
- Murakami, K.; Yamada, S.; Kaneda, T.; Itami, K. C−H Functionalization of Azines. Chem. Rev. 2017, 117, 9302−9332. [Google Scholar] [CrossRef] [PubMed]
- Cong, X.; Huang, L.; Hou, Z. C−H Functionalization with Alkenes, Allenes, and Alkynes by Half-Sandwich Rare-Earth Catalysts. Tetrahedron 2023, 135, 133323. [Google Scholar] [CrossRef]
- Sun, Q.; Xu, X.; Xu, X. Recent Advances in Rare- Earth Metal-Catalyzed C−H Functionalization Reactions. ChemCatChem 2022, 14, e202201083. [Google Scholar] [CrossRef]
- Wang, S.; Ning, L.; Mao, T.; Zhou, Y.; Pu, M.; Feng, X.M.; Dong, S.X. Anti-Markovnikov Hydroallylation Reaction of Alkenes via Scandium-Catalyzed Allylic C−H Activation. Nat. Commun. 2025, 16, 1423. [Google Scholar] [CrossRef] [PubMed]
- Guan, B.T.; Hou, Z. Rare-Earth-Catalyzed C−H Bond Addition of Pyridines to Olefins. J. Am. Chem. Soc. 2011, 133, 18086−18089. [Google Scholar] [CrossRef]
- Guan, B.T.; Wang, B.; Nishiura, M.; Hou, Z. Yttrium-Catalyzed Addition of Benzylic C−H Bonds of Alkyl Pyridines to Olefins. Angew. Chem., Int. Ed. 2013, 52, 4418−4421. [Google Scholar] [CrossRef]
- Song, G.; Wylie, W.N.O.; Hou, Z. Enantioselective C−H Bond Addition of Pyridines to Alkenes Catalyzed by Chiral Half-Sandwich Rare-Earth Complexes. J. Am. Chem. Soc. 2014, 136, 12209−12212. [Google Scholar] [CrossRef]
- Luo, Y.; Teng, H.-L.; Nishiura, M.; Hou, Z. Asymmetric Yttrium-Catalyzed C(sp3)−H Addition of 2-Methyl Azaarenes to Cyclopropenes. Angew. Chem. Int. Ed. 2017, 56, 9207−9210. [Google Scholar] [CrossRef]
- Wu, P.; Cao, F.; Zhou, Y.; Xue, Z.; Zhang, N.; Shi, L.; Luo, G. Substrate Facilitating Roles in Rare- Earth-Catalyzed C−H Alkenylation of Pyridines with Allenes: Mechanism and Origins of Regio- and Stereoselectivity. Inorg. Chem. 2022, 61, 17330−17341. [Google Scholar] [CrossRef]
- Zhou, G.; Luo, G.; Kang, X.; Hou, Z.; Luo, Y. Origin of Product Selectivity in Yttrium- Catalyzed Benzylic C−H Alkylations of Alkylpyridines with Olefins: A DFT Study. Organometallics 2018, 37, 2741−2748. [Google Scholar]
- Song, G.; Wang, B.; Nishiura, M.; Hou, Z. Catalytic C−H Bond Addition of Pyridines to Allenes by a Rare-Earth Catalyst. Chem. Eur. J. 2015, 21, 8394−8398. [Google Scholar]
- Kundu, A.; Inoue, M.; Nagae, H.; Tsurugi, H.; Mashima, K. Direct ortho-C−H Aminoalkylation of 2-Substituted Pyridine Derivatives Catalyzed by Yttrium Complexes with N,N′-Diary- lethylenediamido Ligands. J. Am. Chem. Soc. 2018, 140, 7332−7342. [Google Scholar]
- Ye, P.; Shao, Y.; Zhang, F.; Zou, J.; Ye, X.; Chen, J. Rare-Earth-Metal-Catalyzed Synthesis of Azaindolines and Naphthyridines via C−H Cyclization of Functionalized Pyridines. Adv. Synth. Catal. 2020, 362, 851−857. [Google Scholar]
- Li, D.; Ning, L.; Luo, Q.; Wang, S.; Feng, X.-M.; Dong, S.-X. C−H Alkylation of Pyridines with Olefins Catalyzed by Imidazolin-2-Iminato-Ligated Rare-Earth Alkyl Complexes. Sci. China Chem. 2023, 66, 1804−1813. [Google Scholar] [CrossRef]
- Luo, Y.; Jiang, S.; Xu, X. Yttrium-Catalyzed ortho-Selective C−H Borylation of Pyridines with Pinacolborane. Angew. Chem. Int. Ed. 2022, 61, e202117750. [Google Scholar]
- Zhan, G.; Jiao, T.; Lou, S.; Wang, S.; Luo, G.; Nishiura, M.; Hou, Z. Regioselective Hydropyridylation of Heteroatom-Functionalized Internal Alkenes by Half-Sandwich Rare-Earth Catalysts. J. Am. Chem. Soc. 2025, 147, 22092−22103. [Google Scholar] [CrossRef] [PubMed]
- Song, G.; Luo, G.; Oyamada, J.; Luo, Y.; Hou, Z. Ortho- Selective C−H Addition of N,N-Dimethyl Anilines to Alkenes by a Yttrium Catalyst. Chem. Sci. 2016, 7, 5265−5270. [Google Scholar]
- Gao, H.; Su, J.; Xu, P.; Xu, X. Scandium-Catalyzed C(sp3)−H Alkylation of N,N-Dimethyl Anilines with Alkenes. Org. Chem. Front. 2018, 5, 59−63. [Google Scholar] [CrossRef]
- Su, J.; Cai, Y.; Xu, X. Scandium-Catalyzed para-Selective Alkylation of Aromatic Amines with Alkenes. Org. Lett. 2019, 21, 9055−9059. [Google Scholar] [CrossRef] [PubMed]
- Su, J.; Luo, Y.; Xu, X. Benzylic C−H Addition of Aromatic Amines to Alkenes Using a Scandium Catalyst. Chem. Commun. 2021, 57, 3688−3691. [Google Scholar]
- Xu, X.; Zheng, X.; Xu, X. Synthesis of Tetrahydroquinolines by Scandium-Catalyzed [3+3] Annulation of Anilines with Allenes and Dienes. ACS Catal. 2021, 11, 14995−15003. [Google Scholar]
- Xu, X.; Sun, Q.; Xu, X. Scandium-Catalyzed Benzylic C(sp3)−H Alkenylation of Tertiary Anilines with Alkynes. Org. Lett. 2022, 24, 3970−3975. [Google Scholar] [CrossRef]
- Zhou, W.; Cong, X.; Nishiura, M.; Hou, Z. Synthesis of Allylanilines via Scandium-Catalysed Benzylic C(sp3)−H Alkenylation with Alkynes. Chem. Commun. 2022, 58, 7257−7260. [Google Scholar] [CrossRef] [PubMed]
- Cao, F.; Wu, P.; Zhou, Y.; Zhang, N.; Xue, Z.; Shi, L.; Zhou, G.; Luo, G. Mechanism and Origin of Site Selectivity and Regioselectivity of Scandium-Catalyzed Benzylic C−H Alkylation of Tertiary Anilines with Alkenes. Inorg. Chem. 2023, 62, 979−988. [Google Scholar]
- Nako, A.; Oyamada, J.; Nishiura, M.; Hou, Z. Scandium- Catalysed Intermolecular Hydroaminoalkylation of Olefins with Aliphatic Tertiary Amines. Chem. Sci. 2016, 7, 6429−6434. [Google Scholar] [CrossRef]
- Luo, G.; Liu, F.; Luo, Y.; Zhou, G.; Kang, X.; Hou, Z.; Luo, L. Computational Investigation of Scandium-Based Catalysts for Olefin Hydroaminoalkylation and C−H Addition. Organometallics 2019, 38, 1887−1896. [Google Scholar] [CrossRef]
- Li, D.; Wang, Y.; Wang, S.; Dong, S.-X. The Effect of Basic Ligands and Alkenes on the Regioselectivity of C−H Additions of Tertiary Amines to Alkenes. Chem.−Eur. J. 2024, 30, e202401014. [Google Scholar]
- Cong, X.; Zhan, G.; Mo, Z.; Nishiura, M.; Hou, Z. Diastereodivergent [3+2] Annulation of Aromatic Aldimines with Alkenes via C−H Activation by Half-Sandwich Rare-Earth Catalysts. J. Am. Chem. Soc. 2020, 142, 5531−5537. [Google Scholar] [CrossRef]
- Cong, X.; Zhuo, Q.; Hao, N.; Mo, Z.; Zhan, G.; Nishiura, M.; Hou, Z. Regio- and Diastereoselective [3+2] Annulation of Aliphatic Aldimines with Alkenes by Scandium-Catalyzed β-C(sp3)−H Activation. Angew. Chem., Int. Ed. 2022, 61, e202115996. [Google Scholar] [CrossRef]
- Wang, P.; Luo, G.; Yang, J.; Cong, X.; Hou, Z.; Luo, Y. Theoretical Studies of Rare-Earth-Catalyzed [3+2] Annulation of Aromatic Aldimine with Styrene: Mechanism and Origin of Diastereoselectivity. J. Org. Chem. 2021, 86, 4236−4244. [Google Scholar] [CrossRef] [PubMed]
- Hu, J.; Tan, X.; Li, Y.; Luo, L.; Wang, X.; Cao, D.; Luo, G. Theoretical Insights into Rare-Earth Catalyst Controlled Diastereo- and Enantioselective [3+2] Annulation of Aromatic Aldimines with Styrenes. Inorg. Chem. 2025, 64, 3120−3128. [Google Scholar] [CrossRef]
- Mishra, A.; Cong, X.; Nishiura, M.; Hou, Z. Enantioselective Synthesis of 1-Aminoindanes via [3+2] Annulation of Aldimines with Alkenes by Scandium-Catalyzed C−H Activation. J. Am. Chem. Soc. 2023, 145, 17468−17477. [Google Scholar] [CrossRef] [PubMed]
- Cong, X.; Zhuo, Q.; Hao, N.; Mishra, A.; Nishiura, M.; Hou, Z. Divergent Synthesis of Multi- Substituted Aminotetralins via [4+2] Annulation of Aldimines with Alkenes by Rare-Earth-Catalyzed Benzylic C(sp3)−H Activation. Angew. Chem. Int. Ed. 2024, 63, e202318203. [Google Scholar] [CrossRef] [PubMed]
- Mishra, A.; Lin, X.; Maji, K.; Nishiura, M.; Cong, X.; Hou, Z. Diastereo- and Enantioselective Synthesis of Polycyclic Amines by Cascade Cyclization of Aromatic Aldimines with Tethered Alkenes via Scandium-Catalyzed C–H Activation. J. Am. Chem. Soc. 2025, 147, 26116–26123. [Google Scholar] [CrossRef]
- Sun, Q.; Feng, X.; Wang, X.; Shi, H.; Su, J.; Wang, M.; Luo, G.; Xu, X. Enantioselective ortho-C–H Addition of Aromatic Amines to Alkenes by Bulky Chiral Anilido-Oxazoline Scandium Complexes. J. Am. Chem. Soc. 2025, 147, 13658–13666. [Google Scholar] [CrossRef]
- Zhang, Y.; Wang, Y. Elucidating the mechanism and origin of diastereoselectivity in scandium-catalyzed β-C(sp3)−H activation and transformation of an aliphatic aldimine. Org. Chem. Front. 2024, 11, 4391−4401. [Google Scholar] [CrossRef]
- Lou, S.J.; Zhang, L.; Luo, Y.; Nishiura, M.; Luo, G.; Luo, Y.; Hou, Z. Regiodivergent C−H Alkylation of Quinolines with Alkenes by Half-Sandwich Rare-Earth Catalysts. J. Am. Chem. Soc. 2020, 142, 18128−18137. [Google Scholar] [CrossRef]
- Lou, S.J.; Luo, G.; Yamaguchi, S.; An, K.; Nishiura, M.; Hou, Z. Modular Access to Spiro-dihydroquinolines via Scandium-Catalyzed Dearomative Annulation of Quinolines with Alkynes. J. Am. Chem. Soc. 2021, 143, 20462−20471. [Google Scholar] [CrossRef]
- Lou, S.J.; Zhuo, Q.; Nishiura, M.; Luo, G.; Hou, Z. Enantioselective C−H Alkenylation of Ferrocenes with Alkynes by Half-Sandwich Scandium Catalyst. J. Am. Chem. Soc. 2021, 143, 2470−2476. [Google Scholar] [CrossRef] [PubMed]
- Lou, S.; Wang, P.; Wen, X.; Mishra, A.; Cong, X.; Zhuo, Q.; An, K.; Nishiura, M.; Luo, Y.; Hou, Z. (Z)-Selective Isomerization of 1,1-Disubstituted Alkenes by Scandium-Catalyzed Allylic C−H Activation. J. Am. Chem. Soc. 2024, 146, 26766−26776. [Google Scholar]
- Lou, S.-J.; Mo, Z.; Nishiura, M.; Hou, Z. Construction of All- Carbon Quaternary Stereocenters by Scandium-Catalyzed Intra- molecular C−H Alkylation of Imidazoles with 1,1-Disubstituted Alkenes. J. Am. Chem. Soc. 2020, 142, 1200−1205. [Google Scholar]
- Guo, J.; Yang, W.; Zhang, D.; Wang, S.-G.; Wang, X. Mechanistic Insights into Formation of All-Carbon Quaternary Centers via Scandium-Catalyzed C−H Alkylation of Imidazoles with 1,1-Disubstituted Alkenes. J. Org. Chem. 2021, 86, 4598−4606. [Google Scholar]
- Luo, Y.; Ma, Y.; Hou, Z. α-C−H Alkylation of Methyl Sulfides with Alkenes by a Scandium Catalyst. J. Am. Chem. Soc. 2018, 140, 114−117. [Google Scholar] [CrossRef]
- Zhou, Y.; Wu, P.; Cao, F.; Shi, L.; Zhang, N.; Xue, Z.; Luo, G. Mechanistic Insights into Rare-Earth-Catalysed C−H Alkylation of Sulfides: Sulfide Facilitating Alkene Insertion and Beyond. RSC Adv. 2022, 12, 13593−13599. [Google Scholar]
- Shi, L.; Zhang, N.; Xue, Z.; Luo, G. Mechanistic Insights into Rare-Earth Catalyzed Alternating Copolymerization through C−H Polyaddition of Functionalized Organic Compounds to Unconjugated Dienes. Inorg. Chem. 2024, 63, 8079−8091. [Google Scholar] [CrossRef] [PubMed]
- Oyamada, J.; Hou, Z. Regioselective C−H Alkylation of Anisoles with Olefins Catalyzed by Cationic Half-Sandwich Rare Earth Alkyl Complexes. Angew. Chem. Int. Ed. 2012, 51, 12828−12832. [Google Scholar] [CrossRef]
- Wang, S.; Zhu, C.; Ning, L.; Li, D.; Feng, X.M.; Dong, S.X. Regioselective C−H Alkylation of Anisoles with Olefins by Cationic Imidazolin-2-Iminato Scandium (III) Alkyl Complexes. Chem. Sci. 2023, 14, 3132−3139. [Google Scholar] [CrossRef] [PubMed]
- Mishra, A.; Wu, P.; Cong, X.; Nishiura, M.; Luo, G.; Hou, Z. Exo-Selective Intramolecular C−H Alkylation with 1,1-Disubstituted Alkenes by Rare-Earth Catalysts: Construction of Indanes and Tetralins with an All-Carbon Quaternary Center. ACS Catal. 2022, 12, 12973−12983. [Google Scholar] [CrossRef]
- Tan, X.; Hu, J.; Li, Y.; Luo, L.; Wang, X.; Cao, D.; Luo, G. Mechanisms and Origins of Regioselectivity in Rare-Earth-Catalyzed C−H Functionalization of Anisoles and Thioanisoles. Inorg. Chem. 2025, 64, 5778–5788. [Google Scholar] [CrossRef]
- Tang, B.; Hu, X.; Liu, C.; Jiang, T.; Alam, F.; Chen, Y. Tandem Cyclization/Hydroarylation of α,ω-Dienes Triggered by Scandium Catalyzed C−H Activation. ACS Catal. 2019, 9, 599−604. [Google Scholar] [CrossRef]
- Shi, X.; Nishiura, M.; Hou, Z. C−H Polyaddition of Dimethoxyarenes to Unconjugated Dienes by Rare Earth Catalysts. J. Am. Chem. Soc. 2016, 138, 6147−6150. [Google Scholar] [CrossRef]
- Xu, Z.; Tang, Y.; Shen, C.; Zhang, H.; Gan, Y.; Ji, X.; Tian, X.; Dong, K. Nickel-Catalyzed Regio- and Diastereoselective Hydroarylative and Hydroalkenylative Cyclization of 1,6-Dienes. Chem. Commun. 2020, 56, 7741–7744. [Google Scholar] [CrossRef] [PubMed]
- Tanaka, K.; Hattori, H.; Yabe, R.; Nishimura, T. Ir-Catalyzed Cyclization of α, ω-Dienes with an N-Methyl Group via Two C–H Activation Steps. Chem. Commun. 2022, 58, 5371–5374. [Google Scholar] [CrossRef] [PubMed]
- Widenhoefer, R.A.; Decarli, M.A. Tandem Cyclization/Hydrosilylation of Functionalized 1,6-Dienes Catalyzed by a Cationic Palladium Complex. J. Am. Chem. Soc. 1998, 120, 3805–3806. [Google Scholar] [CrossRef]
- Pei, T.; Widenhoefer, R.A. Use of Pentamethyldisiloxane in the Palladium-Catalyzed Cyclization/Hydrosilylation of Functionalized Dienes. Org. Lett. 2000, 2, 1469–1471. [Google Scholar] [CrossRef]
- Molander, G.A.; Schmitt, M.H. Organoyttrium-Catalyzed Sequential Cyclization/Silylation Reactions of Nitrogen-Heteroaromatic Dienes Demonstrating “Aryl-Directed” Regioselectivity. J. Org. Chem. 2000, 65, 3767–3770. [Google Scholar] [CrossRef]
- Perch, N.S.; Widenhoefer, R.A. Mechanism of Palladium-Catalyzed Diene Cyclization/Hydrosilylation: Direct Observation of Intramolecular Carbometalation. J. Am. Chem. Soc. 2004, 126, 6332–6346. [Google Scholar] [CrossRef]
- Molander, G.A.; Dowdy, E.D. Catalytic Cyclization/Silylation of Dienes Containing 1,1-Disubstituted Olefins Using Organolanthanide and Group 3 Organometallic Complexes. J. Org. Chem. 1998, 63, 3386–3396. [Google Scholar] [CrossRef]
- Molander, G.A.; Nichols, P.J.; Noll, B.C. Stereoselective Synthesis of Carbobicyclics via Organoyttrium-Catalyzed Sequential Cyclization/Silylation Reactions. J. Org. Chem. 1998, 63, 2292–2306. [Google Scholar] [CrossRef]
- Molander, G.A.; Pfeiffer, D. Organolanthanide-Catalyzed Cyclization/Boration of 1,5- and 1,6-Dienes. Org. Lett. 2001, 3, 361–363. [Google Scholar] [CrossRef] [PubMed]
- Molander, G.A.; Hoberg, J.O. Organoyttrium-catalyzed cyclization of substituted 1,5- and 1,6-dienes. J. Am. Chem. Soc. 1992, 114, 3123–3125. [Google Scholar] [CrossRef]
- Widenhoefer, R.A.; Vadehra, A.; Cheruvu, P.K. Cyclization/Hydrogermylation of Functionalized 1,6-Dienes Catalyzed by Cationic Palladium Complexes. Organometallics 1999, 18, 4614–4618. [Google Scholar] [CrossRef]
- Negishi, E.M.; Jensen, D.; Kondakov, D.Y.; Wang, S. Titanium-Catalyzed Cascade Carboalumination of Dienes and Trienes. J. Am. Chem. Soc. 1994, 116, 8404–8405. [Google Scholar] [CrossRef]
- Cong, X.; Hao, N.; Mishra, A.; Zhuo, Q.; An, K.; Nishiura, M.; Hou, Z. Regio- and Diastereoselective Annulation of α,β-Unsaturated Aldimines with Alkenes via Allylic C(sp3)–H Activation by Rare-Earth Catalysts. J. Am. Chem. Soc. 2024, 146, 10187–10198. [Google Scholar] [CrossRef]
- Chen, Y.; Song, D.; Li, J.; Hu, X.; Song, D.; Bi, X.; Jiang, T.; Hou, Z. Diastereoselective cyclization of 1,5-dienes with the C−H bond of pyridine catalyzed by a cationic mono(phosphinoamide) alkyl scandium complex. ChemCatChem 2018, 10, 159−164. [Google Scholar] [CrossRef]
- Luo, G.; Luo, Y.; Zhang, W.; Qu, J.; Hou, Z. DFT Studies on the Methane Elimination Reaction of a Trinuclear Rare- Earth Polymethyl Complex: σ-Bond Metathesis Assisted by Cooperation of Multimetal Sites. Organometallics 2014, 33, 1126−1134. [Google Scholar] [CrossRef]
- Luo, G.; Luo, Y.; Hou, Z. E−H (E = N and P) Bond Activation of PhEH2 by a Trinuclear Yttrium Methylidene Complex: Theoretical Insights into Mechanism and Multimetal Cooperation Behavior. Organometallics 2017, 36, 4611−4619. [Google Scholar] [CrossRef]
- Liu, F.; Luo, G.; Hou, Z.; Luo, Y. Mechanistic Insights into Scandium-Catalyzed Hydroaminoalkylation of Olefins with Amines: Origin of Regioselectivity and Charge-Based Prediction Model. Organometallics 2017, 36, 1557−1565. [Google Scholar] [CrossRef]
- Niu, S.; Hall, M.B. Theoretical Studies on Reactions of Transition-Metal Complexes. Chem. Rev. 2000, 100, 353−406. [Google Scholar] [CrossRef] [PubMed]
- Luo, Y.; Luo, Y.; Qu, J.; Hou, Z. QM/MM Studies on Scandium-Catalyzed Syndiospecific Copolymerization of Styrene and Ethylene. Organometallics 2011, 30, 2908−2919. [Google Scholar] [CrossRef]
- Kang, X.; Song, Y.; Luo, Y.; Li, G.; Hou, Z.; Qu, J. Computational Studies on Isospecific Polymerization of 1-Hexene Catalyzed by Cationic Rare Earth Metal Alkyl Complex Bearing a C3 iPr-trisox Ligand. Macromolecules 2012, 45, 640−651. [Google Scholar] [CrossRef]
- Luo, G.; Luo, Y.; Hou, Z.; Qu, J. Intermetallic Cooperation in Olefin Polymerization Catalyzed by a Binuclear Samarocene Hydride: A Theoretical Study. Organometallics 2016, 35, 778−784. [Google Scholar] [CrossRef]
- Zhou, G.; Kang, X.; Wang, X.; Hou, Z.; Luo, Y. Theoretical Investigations of Isoprene Polymerization Catalyzed by Cationic Half-Sandwich Scandium Complexes Bearing a Coordinative Side Arm. Organometallics 2018, 37, 551−558. [Google Scholar] [CrossRef]
- Bickelhaupt, F.M.; Baerends, E.J.; Lipkowitz, K.B.; Boyd, D.B. Kohn-Sham Density Functional Theory: Predicting and Understanding Chemistry. Rev. Comput. Chem. 2007, 15, 1−86. [Google Scholar]
- Kitaura, K.; Morokuma, K. A New Energy Decomposition Scheme for Molecular Interactions within the Hartree-Fock Approximation. Int. J. Quantum Chem. 1976, 10, 325−340. [Google Scholar] [CrossRef]
- Rusdipoetra, R.A.; Suwito, H.; Tripuspaningsih, N.N.; Haq, K.U. Theoretical investigation of the anti-nitrosant mechanism of syringol and its derivatives. RSC Adv. 2025, 15, 33936–33945. [Google Scholar] [CrossRef]
- Chen, X.Y.; Pu, M.; Cheng, H.G.; Sperger, T.; Schoenebeck, F. Arylation of axially chiral phosphorothioate salts by dinuclear PdIcatalysis. Angew. Chem. Int. Ed. 2019, 58, 11395–11399. [Google Scholar] [CrossRef] [PubMed]
- Zhu, L.; Luo, Y.; Wen, X.; Zhang, W.; Zhou, G. Theoretical investigations of para- methoxystyrene/styrene polymerization catalyzed by cationic methyl- and dibenzobarrelene-based α-diimine palladium complexes. Inorganics 2024, 12, 315. [Google Scholar] [CrossRef]
- Liu, C.; Qin, Z.X.; Ji, C.L.; Hong, X.; Szostak, M. Highly-chemoselective step-down reduction of carboxylic acids to aromatic hydrocarbons via palladium catalysis. Chem. Sci. 2019, 10, 5736–5742. [Google Scholar] [CrossRef] [PubMed]
- Frisch, M.J. Gaussian 09, Revision A. 02; Gaussian, Inc.: Wallingford, CT, USA, 2009.
- Lee, C.T.; Yang, W.T.; Parr, R.G. Development of the Colle-Salvetti Correlation-Energy Formula into a Functional of the Electron Density. Phys. Rev. B 1988, 37, 785−789. [Google Scholar] [CrossRef]
- Perdew, J.P.; Wang, Y. Accurate and Simple Analytic Representation of the Electron-gas Correlation Energy. Phys. Rev. B Condens. Matter Mater. Phys. 1992, 45, 13244−13249. [Google Scholar] [CrossRef]
- Beck, A.D. Density-Functional Thermochemistry. III. The Role of Exact Exchange. J. Chem. Phys. 1993, 98, 5648−5652. [Google Scholar] [CrossRef]
- Perdew, J.P.; Burke, K.; Wang, Y. Generalized Gradient Approximation for the Exchange-Correlation Hole of a Many-Electron System. Phys. Rev. B 1996, 54, 16533−16539. [Google Scholar] [CrossRef] [PubMed]
- Dolg, M.; Wedig, U.; Stoll, H.; Preuss, H. Energy-Adjusted ab initio Pseudopotentials for the First Row Transition Elements. J. Chem. Phys. 1987, 86, 866−872. [Google Scholar] [CrossRef]
- Gusev, D.G. Assessing the Accuracy of M06-L Organometallic Thermochemistry. Organometallics 2013, 32, 4239−4243. [Google Scholar] [CrossRef]
- Zhao, Y.; Truhlar, D.G. Density Functionals with Broad Applicability in Chemistry. Acc. Chem. Res. 2007, 41, 157−167. [Google Scholar] [CrossRef]
- Barone, V.; Cossi, M. Quantum Calculation of Molecular Energies and Energy Gradients in Solution by a Conductor Solvent Model. J. Phys. Chem. A. 1998, 102, 1995−2001. [Google Scholar] [CrossRef]
- Cossi, M.; Rega, N.; Scalmani, G.; Barone, V. Energies, Structures, and Electronic Properties of Molecules in Solution with the C-PCM Solvation Model. J. Comput. Chem. 2003, 24, 669−681. [Google Scholar] [CrossRef]
- Marenich, A.V.; Cramer, C.J.; Truhlar, D.G. Universal Solvation Model Based on Solute Electron Density and on a Continuum Model of the Solvent Defined by the Bulk Dielectric Constant and Atomic Surface Tensions. J. Phys. Chem. B. 2009, 113, 6378−6396. [Google Scholar] [CrossRef]
- Legault, C.Y. CYLview, 1.0b; Université de Sherbrooke: Sherbrooke, QC, Canada, 2009. Available online: http://www.cylview.org (accessed on 10 January 2020).










Disclaimer/Publisher’s Note: The statements, opinions and data contained in all publications are solely those of the individual author(s) and contributor(s) and not of MDPI and/or the editor(s). MDPI and/or the editor(s) disclaim responsibility for any injury to people or property resulting from any ideas, methods, instructions or products referred to in the content. |
© 2026 by the authors. Licensee MDPI, Basel, Switzerland. This article is an open access article distributed under the terms and conditions of the Creative Commons Attribution (CC BY) license.
Share and Cite
Zhou, G.; Zhai, S.; Leng, X.; Li, Y.; Xia, Q.; Luo, Y. A DFT Study on Sc-Catalyzed Diastereoselective Cyclization of 2-Picoline with 1,5-Hexadiene: Mechanism and Origins of Regio- and Stereoselectivity. Inorganics 2026, 14, 28. https://doi.org/10.3390/inorganics14010028
Zhou G, Zhai S, Leng X, Li Y, Xia Q, Luo Y. A DFT Study on Sc-Catalyzed Diastereoselective Cyclization of 2-Picoline with 1,5-Hexadiene: Mechanism and Origins of Regio- and Stereoselectivity. Inorganics. 2026; 14(1):28. https://doi.org/10.3390/inorganics14010028
Chicago/Turabian StyleZhou, Guangli, Shuangxin Zhai, Xia Leng, Yunzhi Li, Qiying Xia, and Yi Luo. 2026. "A DFT Study on Sc-Catalyzed Diastereoselective Cyclization of 2-Picoline with 1,5-Hexadiene: Mechanism and Origins of Regio- and Stereoselectivity" Inorganics 14, no. 1: 28. https://doi.org/10.3390/inorganics14010028
APA StyleZhou, G., Zhai, S., Leng, X., Li, Y., Xia, Q., & Luo, Y. (2026). A DFT Study on Sc-Catalyzed Diastereoselective Cyclization of 2-Picoline with 1,5-Hexadiene: Mechanism and Origins of Regio- and Stereoselectivity. Inorganics, 14(1), 28. https://doi.org/10.3390/inorganics14010028

