Nonlinear Electrical Conductance Triggered by Partial Discharge of Fluorinated Carbon Nanotube Clusters and Its Applications in Field Grading
Abstract
1. Introduction
2. Results and Discussion
2.1. Specimens Preparation Procedure and Type Description
2.2. Surface and Cross-Sectional Morphologies
2.3. Frequency-Dependent Dielectric Constant and Field-Dependent Conductivity
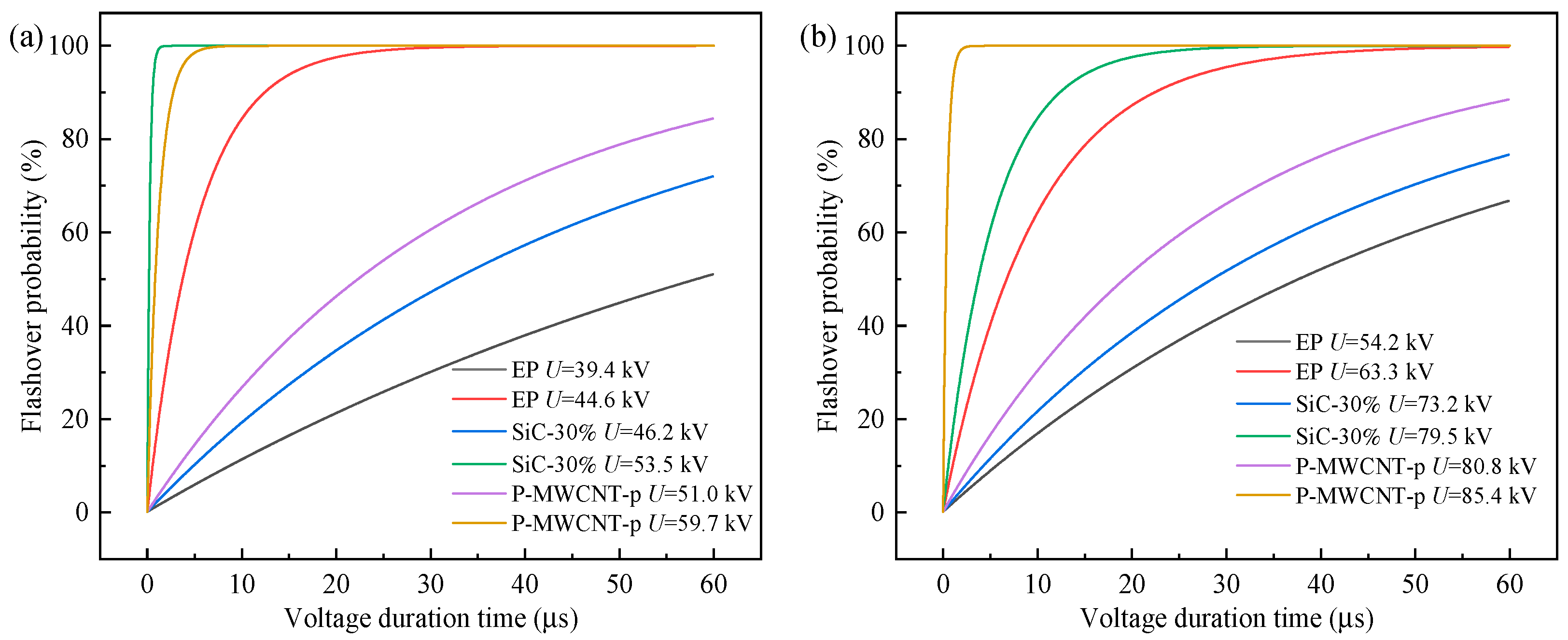
2.4. Flashover Characterization of MWCNT/UV-Cured Composites
2.5. Physical Model Establishment and Mechanism Explanation
3. Materials and Methods
3.1. Materials and Specimen Preparation
3.2. Characterization
4. Conclusions
Supplementary Materials
Author Contributions
Funding
Institutional Review Board Statement
Informed Consent Statement
Data Availability Statement
Acknowledgments
Conflicts of Interest
Abbreviations
| F-MWCNT | Fluorinated Multi-Wall Carbon Nanotube |
| PD | Partial Discharge |
| RFGM | Resistive Field Grading Material |
| P-MWCNT | Pristine Multi-Wall Carbon Nanotube |
| HRTEM | High Resolution Transmission Electron Microscope |
| SEM | Scanning Electron Microscope |
| XRM | X-Ray Microscope |
| BDS | Broadband Dielectric Spectroscopy |
References
- Mesgarpour Tousi, M.; Ghassemi, M. Effects of Frequency and Temperature on Electric Field Mitigation Method via Protruding Substrate Combined with Applying Nonlinear FDC Layer in Wide Bandgap Power Modules. Energies 2020, 13, 2022. [Google Scholar] [CrossRef]
- Li, W.; Li, X.; Guo, B.; Wang, C.; Liu, Z.; Zhang, G. Topology optimization of truncated cone insulator with graded permittivity using variable density method. IEEE Trans. Dielectr. Electr. Insul. 2019, 26, 1–9. [Google Scholar] [CrossRef]
- Zhang, G.; Su, G.; Song, B.; Mu, H. Pulsed flashover across a solid dielectric in vacuum. IEEE Trans. Dielectr. Electr. Insul. 2018, 25, 2321–2339. [Google Scholar] [CrossRef]
- He, M.; Chen, G.; Lewin, P.L. Field distortion by a single cavity in HVDC XLPE cable under steady state. High Volt. 2016, 1, 107–114. [Google Scholar] [CrossRef]
- Hayakawa, N.; Ishiguro, J.; Kojima, H.; Kato, K.; Okubo, H. Fabrication and simulation of permittivity graded materials for electric field grading of gas insulated power apparatus. IEEE Trans. Dielectr. Electr. Insul. 2016, 23, 547–554. [Google Scholar] [CrossRef]
- Shen, Z.; Wang, X.; Zhang, T.; Jia, Z. In situ electric field driven assembly to construct adaptive graded permittivity BaTiO2/epoxy resin composites for improved insulation performance. Appl. Mater. 2020, 20, 100647. [Google Scholar] [CrossRef]
- Shahsavarian, T.; Zhang, D.; McGinnis, P.; Walker, S.; Zhang, Z.; Cao, Y. Altitude readiness of high-voltage IGBTs subjected to the partial discharge at harsh environmental conditions for hybrid electric aircraft propulsion. IEEE Trans. Power Electron. 2022, 37, 3733–3736. [Google Scholar] [CrossRef]
- Li, C.; Shahsavarian, T.; Baferani, M.A.; Cao, Y. Tailoring insulation surface conductivity for surface partial discharge mitigation. Appl. Phys. Lett. 2021, 119, 032903. [Google Scholar] [CrossRef]
- Egorov, D.; Pyrhönen, J.J. One-dimensional model for the nonlinear resistive electric field control in medium-voltage rotating electrical machines. IEEE Trans. Dielectr. Electr. Insul. 2021, 28, 697–703. [Google Scholar] [CrossRef]
- Florkowski, M.; Kuniewski, M. Partial Discharge-Originated Deterioration of Insulating Material Investigated by Surface-Resistance and Potential Mapping. Energies 2023, 16, 5973. [Google Scholar] [CrossRef]
- Metz, R.; Blanc, C.; Dominguez, S.; Tahir, S.; Leparc, R.; Hassanzadeh, M. Nonlinear field dependent conductivity dielectrics made of graphite nanoplatelets filled composites. Mater. Lett. 2021, 292, 129611. [Google Scholar] [CrossRef]
- Zhao, X.; Yang, X.; Hu, J.; Li, Q.; He, J. Globally reinforced mechanical, electrical, and thermal properties of nonlinear conductivity composites by surface treatment of varistor microspheres. Compos. Sci. Technol. 2019, 175, 151–157. [Google Scholar] [CrossRef]
- Yang, X.; Zhao, X.; Hu, J.; He, J. Grading Electric Field in High Voltage Insulation Using Composite Materials. IEEE Electr. Insul. Mag. 2018, 34, 15–25. [Google Scholar] [CrossRef]
- Xu, H.; Wang, R.; Gou, B.; Zhou, J.; Li, L.; Xie, C. Globally enhanced thermal, mechanical and electrical properties of current-field grading composites with self-assembly semiconducting grains on 3D cellulose aerogel scaffolds. Compos. Sci. Technol. 2022, 218, 109197. [Google Scholar] [CrossRef]
- Tousi, M.M.; Ghassemi, M. The effect of type of voltage (sinusoidal and square waveform) and the frequency on the performance of nonlinear field-dependent conductivity coatings for electric field control in power electronic modules. In Proceedings of the 2019 IEEE Conference on Electrical Insulation and Dielectric Phenomena, Richland, WA, USA, 20–23 October 2019; pp. 552–555. [Google Scholar] [CrossRef]
- Christen, T.; Donzel, L.; Greuter, F. Nonlinear resistive electric field grading part 1: Theory and simulation. IEEE Electr. Insul. Mag. 2010, 26, 47–59. [Google Scholar] [CrossRef]
- Li, Z.; Yang, Z.; Xing, Y.; Zhu, W.; Su, J.; Kong, X.; Jiang, J.; Du, B. Improving the electric field distribution in stress cone of hts dc cable terminals by nonlinear conductive epoxy/ZnO composites. IEEE Trans. Appl. Supercond. 2019, 29, 5. [Google Scholar] [CrossRef]
- Zhang, D.; Bi, C.; Gou, B.; Zhou, J.; Zhong, A.; Lin, B.; Cai, H.; Xie, C.; Xu, H.; Wang, R. Field-dependent nonlinear electrical response characteristics in polymer dielectrics with sodium alginate scaffold. Adv. Compos. Hybrid Mater. 2024, 7, 162. [Google Scholar] [CrossRef]
- Wang, C.; Yang, Y.; Hou, C.; Li, W.; Chen, S.; Chen, Z.; Zhang, G. Applicability of surface functionally graded materials for flashover mitigation: From vacuum to compressed SF6 gas. Surf. Coat. Technol. 2025, 508, 132166. [Google Scholar] [CrossRef]
- Can-Ortiz, A.; Laudebat, L.; Valdez-Nava, Z.; Diaham, S. Nonlinear electrical conduction in polymer composites for field grading in high-voltage applications: A review. Polymers 2021, 13, 1370. [Google Scholar] [CrossRef] [PubMed]
- Donzel, L.; Greuter, F.; Christen, T. Nonlinear resistive electric field grading Part 2: Materials and applications. IEEE Electr. Insul. Mag. 2011, 27, 18–29. [Google Scholar] [CrossRef]
- Si, M.; Guo, J.; Hao, J.; Zhao, X.; Randall, C.A.; Wang, H. Cold sintered composites consisting of PEEK and metal oxides with improved electrical properties via the hybrid interfaces. Composites Part B. 2021, 226, 109349. [Google Scholar] [CrossRef]
- Han, Y.; Yang, F.; Zhao, C. Effect of Aged Nonlinear Resistive Field Grading Material on Electric Field Distribution of DC Cone Spacer. Energies 2022, 15, 8361. [Google Scholar] [CrossRef]
- Li, W.; Wang, C.; Jiang, Z.; Chen, L.; Wei, Y.; Zhang, L.; Chen, M.; Yang, X.; Zhang, G. Stereolithography based additive manufacturing of high-k polymer matrix composites facilitated by thermal plasma processed barium titanate microspheres. Mater. Des. 2020, 192, 108733. [Google Scholar] [CrossRef]
- Li, Z.; Du, B.; Yang, Z.; Li, J. Effects of crystal morphology on space charge transportation and dissipation of SiC/silicone rubber composites. IEEE Trans. Dielectr. Electr. Insul. 2017, 24, 2616–2625. [Google Scholar] [CrossRef]
- Zhang, S.; Zhang, H.; Feng, H.; Yan, J.; Liu, P.; Peng, Z. Relaxation processes and conduction mechanism of epoxy resin filled with graphene oxide. IEEE Trans. Dielectr. Electr. Insul. 2017, 24, 519–527. [Google Scholar] [CrossRef]
- Shen, Z.; Xu, C.; Wang, X.; Xin, Z.; Jia, Z. The impact of electric field treatment on nonlinear conductivity of tetra-needle-shaped ZnO whisker/carbon fiber/liquid silicone rubber composites. CSEE J. Power Energy Syst. 2021, 11, 900–908. [Google Scholar] [CrossRef]
- Zhang, K.; Qin, R.; Chen, S.Y.; Liu, X.Y.; Liu, Y. Customizing defect location in MWCNTs/Fe3O4 composites by direct fluorination for enhancing microwave absorption performance. Appl. Surf. Sci. 2023, 612, 155860. [Google Scholar] [CrossRef]
- Gardea, F.; Lagoudas, D.C. Characterization of electrical and thermal properties of carbon nanotube/epoxy composites. Compos. Part B 2014, 56, 611–620. [Google Scholar] [CrossRef]
- Wang, J.; Yu, S.; Luo, S.; Chu, B.; Sun, R.; Wong, C. Investigation of nonlinear I-V behavior of CNTs filled polymer composites. Mater. Sci. Eng. B 2016, 206, 55–60. [Google Scholar] [CrossRef]
- Park, M.S.; Kim, K.H.; Lee, Y.S. Fluorination of single-walled carbon nanotube: The effects of fluorine on structural and electrical properties. J. Ind. Eng. Chem. 2016, 37, 22–26. [Google Scholar] [CrossRef]
- Liu, Y.; Zhang, Y.; Wang, Z.; Lai, W.; Zhang, X.; Wang, X.; Liu, X. Investigation of the dispersion behavior of fluorinated MWCNTs in various solvents. Phys. Chem. Chem. Phys. 2017, 19, 21565–21574. [Google Scholar] [CrossRef]
- Wang, X.; Wu, P. Fluorinated carbon nanotube/nanofibrillated cellulose composite film with enhanced toughness, superior thermal conductivity, and electrical insulation. ACS Appl. Mater. Interfaces 2018, 10, 34311–34321. [Google Scholar] [CrossRef]
- Liu, Y.; Zhang, C.; Huang, B.; Wang, X.; Li, Y.; Wang, Z.; Lai, W.; Zhang, X.; Liu, X. Skin-core structured fluorinated MWCNTs: A nanofiller towards a broadband dielectric material with a high dielectric constant and low dielectric loss. J. Mater. Chem. C 2018, 6, 2370–2378. [Google Scholar] [CrossRef]
- Liu, Y.; Zhang, Y.; Wang, X.; Wang, Z.; Lai, W.; Zhang, X.; Liu, X. Excellent microwave absorbing property of multiwalled carbon nanotubes with skin-core heterostructure formed by outer dominated fluorination. J. Phys. Chem. C 2018, 122, 6357–6367. [Google Scholar] [CrossRef]
- Wang, C.; Yang, Y.; Shi, X.; Li, W.; Sun, G.; Chen, S.; Ran, S.; Zhang, G.; Chen, Z. Secondary electron emission characteristics of 3D-printed ceramic insulators with functionally graded lattice structures. Appl. Phys. Lett. 2025, 126, 121601. [Google Scholar] [CrossRef]
- Wang, C.; Li, W.; Jiang, Z.; Yang, X.; Sun, G.; Zhang, G. UV-cured nanocomposite coating for surface charging mitigation and breakdown strength enhancement: Exploring the combination of surface topographical structure and perfluorooctyl chain. RSC Advances 2020, 10, 16422–16430. [Google Scholar] [CrossRef]
- Wang, C.; Li, W.; Guo, J.; Chen, X.; Jiang, Z.; Li, X.; Guo, B.; Zhang, G. Unraveling the role of surface molecular structure on vacuum flashover for fluorinated copolymers. Appl. Surf. Sci. 2020, 505, 144432. [Google Scholar] [CrossRef]
- Jiang, Z.; Li, W.; Yang, X.; Chen, X.; Wang, C.; Chen, M.; Zhang, G. Low dielectric loss and high breakdown strength photosensitive high-k composites containing perfluoroalkylsilane treated BaTiO3 nanoparticles. Compos. Part B 2020, 192, 108013. [Google Scholar] [CrossRef]
- Chen, S.Y.; Chen, Z.Y.; Ou, Y.L.; Lyu, J.W.; Li, J.N.; Liu, X.Y.; Liu, Y. Flexible multiwalled carbon nanotubes/cellulose nanofibers membrane with rapid temperature increasing induced by interface strengthening. Compos. Part A Appl. S 2024, 177, 107911. [Google Scholar] [CrossRef]
- Yu, Z.; Ang, C. Maxwell-Wagner polarization in ceramic composites BaTiO3-(Ni0.3Zn0.7)Fe2.1O4. J. Appl. Phys. 2002, 91, 794–797. [Google Scholar] [CrossRef]
- Myroshnychenko, V.; Brosseau, C. Finite-element method for calculation of the effective permittivity of random inhomogeneous media. Phys. Rev. E 2005, 71, 016701. [Google Scholar] [CrossRef]
- Runyan, J.; Gerhardt, R.A.; Ruh, R. Electrical properties of boron nitride matrix composites: II, dielectric relaxations in boron nitride-silicon carbide composites. J. Am. Ceram. Soc. 2001, 84, 1497–1503. [Google Scholar] [CrossRef]
- Lemke, E. A critical review of partial-discharge models. IEEE Electr. Insul. Mag. 2012, 28, 11–16. [Google Scholar] [CrossRef]
- Song, B.; Ren, M.; Zhang, Z.; Zhuang, T.; Zhang, C.; Dong, M. Excess conduction induced by partial discharge in polymer. J. Phys. D Appl. Phys. 2020, 53, 485302. [Google Scholar] [CrossRef]
- Li, J.; Si, W.; Yao, X.; Li, Y. Measurement and simulation of partial discharge in oil impregnated pressboard with an electrical aging process. Meas. Sci. Technol. 2009, 20, 105701. [Google Scholar] [CrossRef]
- Kuhn, M.; Kliem, H. Local fields in dielectric nanospheres from a microscopic and macroscopic point of view. IEEE Trans. Dielectr. Electr. Insul. 2009, 16, 596–600. [Google Scholar] [CrossRef]
- Blatter, G.; Greuter, F. Carrier transport through grain-boundaries in semiconductors. Phys. Rev. B 1986, 33, 3952–3966. [Google Scholar] [CrossRef]









Disclaimer/Publisher’s Note: The statements, opinions and data contained in all publications are solely those of the individual author(s) and contributor(s) and not of MDPI and/or the editor(s). MDPI and/or the editor(s) disclaim responsibility for any injury to people or property resulting from any ideas, methods, instructions or products referred to in the content. |
© 2025 by the authors. Licensee MDPI, Basel, Switzerland. This article is an open access article distributed under the terms and conditions of the Creative Commons Attribution (CC BY) license.
Share and Cite
Zeng, W.; Li, Z.; Wang, Y.; Cao, L.; Fu, L.; Wang, C. Nonlinear Electrical Conductance Triggered by Partial Discharge of Fluorinated Carbon Nanotube Clusters and Its Applications in Field Grading. Inorganics 2026, 14, 18. https://doi.org/10.3390/inorganics14010018
Zeng W, Li Z, Wang Y, Cao L, Fu L, Wang C. Nonlinear Electrical Conductance Triggered by Partial Discharge of Fluorinated Carbon Nanotube Clusters and Its Applications in Field Grading. Inorganics. 2026; 14(1):18. https://doi.org/10.3390/inorganics14010018
Chicago/Turabian StyleZeng, Wei, Zhen Li, Yu Wang, Lei Cao, Lei Fu, and Chao Wang. 2026. "Nonlinear Electrical Conductance Triggered by Partial Discharge of Fluorinated Carbon Nanotube Clusters and Its Applications in Field Grading" Inorganics 14, no. 1: 18. https://doi.org/10.3390/inorganics14010018
APA StyleZeng, W., Li, Z., Wang, Y., Cao, L., Fu, L., & Wang, C. (2026). Nonlinear Electrical Conductance Triggered by Partial Discharge of Fluorinated Carbon Nanotube Clusters and Its Applications in Field Grading. Inorganics, 14(1), 18. https://doi.org/10.3390/inorganics14010018

