Ca-, Li-, and Cu-Salicylatoborates for Potential Applications in Neutron Capture Therapy: A Computational Method for the Preliminary Discrimination of the More Promising Compounds
Abstract
1. Introduction
2. Results and Discussion
2.1. Syntheses
2.2. X-Ray Crystal Structures
2.2.1. Crystal Structure of CaSB
2.2.2. Crystal Structure of CuSB
2.2.3. Crystal Structure of LiSB
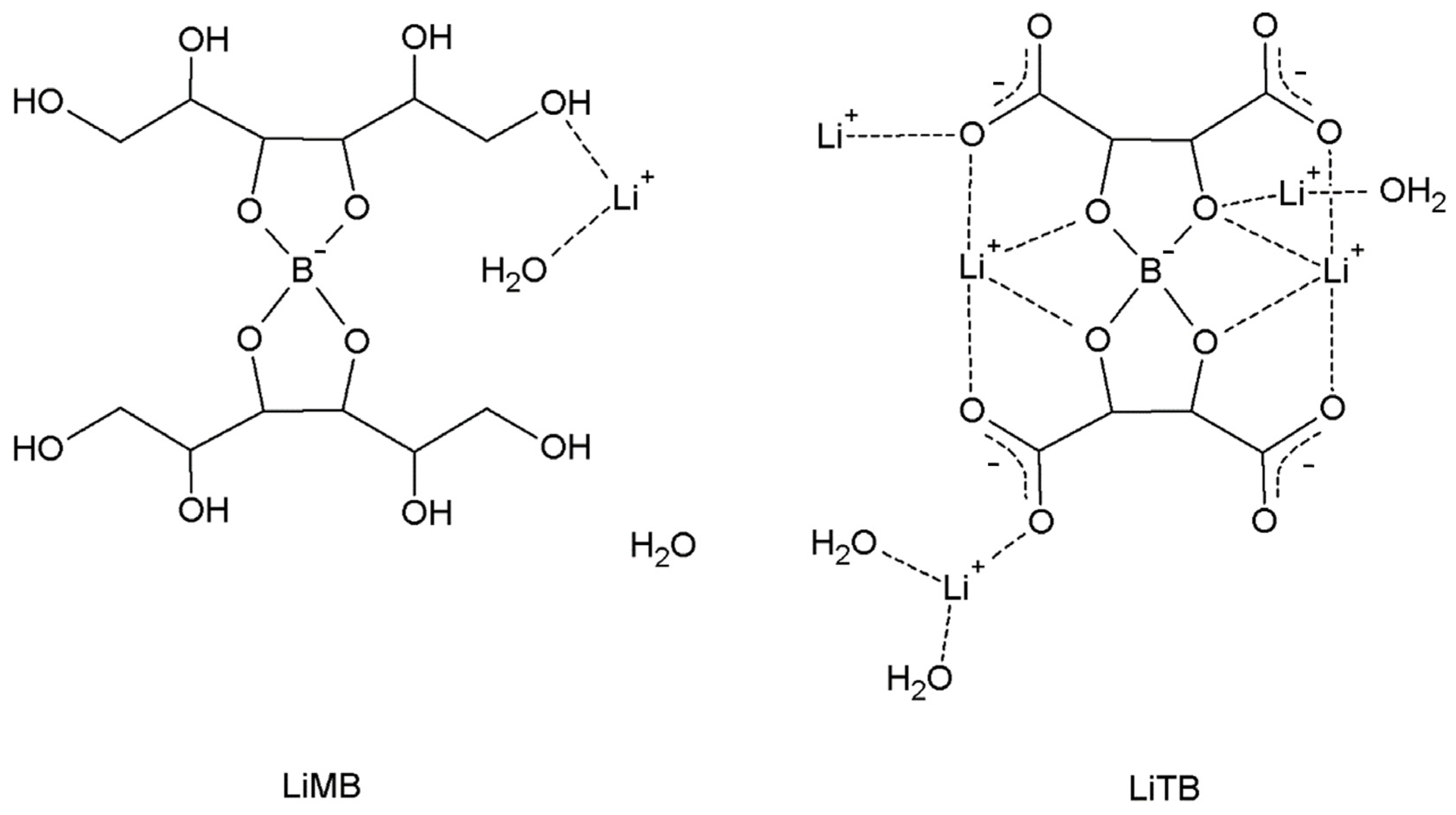
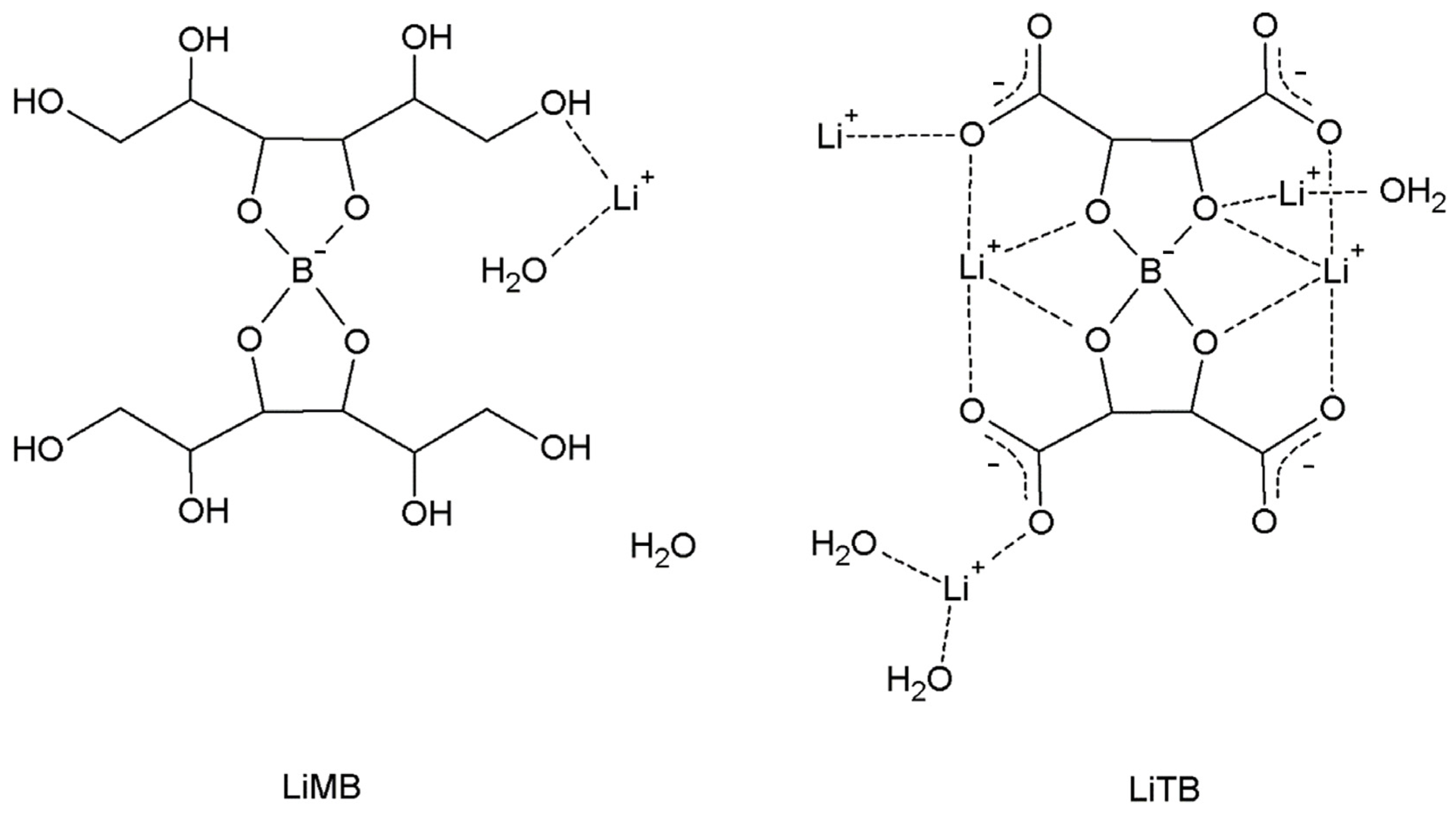
2.3. Calculation of the Dose (D) Absorbed by a Tumor Mass
3. Materials and Methods
3.1. Syntheses
3.1.1. Synthesis of [Ca(H2O)6](C14H8O6B)2·4H2O (CaSB)
3.1.2. Synthesis of [Cu(C14H8O6B)2] (CuSB)
3.1.3. Synthesis of [Li(C14H8O6B)(H2O)] (LiSB)
3.2. Single Crystal X-Ray Diffraction (XRD)
3.2.1. Crystal Data for CaSB
3.2.2. Crystal Data for CuSB
3.2.3. Crystal Data for LiSB
3.3. Calculation of the Dose (D) Absorbed by a Tumor Mass
4. Conclusions
Supplementary Materials
Author Contributions
Funding
Institutional Review Board Statement
Informed Consent Statement
Data Availability Statement
Conflicts of Interest
References
- Wang, S.; Zhang, Z.; Miao, L.; Li, Y. Boron Neutron Capture Therapy: Current status and challenges. Front. Oncol. 2022, 12, 788770. [Google Scholar] [CrossRef] [PubMed]
- Nedunchezhian, K.; Aswath, N.; Thiruppathy, M.; Thirugnanamurthy, S. Boron Neutron Capture Therapy–A Literature Review. J. Clin. Diag. Res. 2016, 10, ZE01–ZE04. [Google Scholar] [CrossRef] [PubMed]
- Moss, R.L. Critical review, with an optimistic outlook, on Boron Neutron Capture Therapy (BNCT). Appl. Rad. Isot. 2014, 88, 2. [Google Scholar] [CrossRef] [PubMed]
- Hwang, K.C.; Lai, P.D.; Chiang, C.-S.; Wang, P.-J.; Yuan, C.-J. Neutron capture nuclei-containing carbon nanoparticles for destruction of cancer cells. Biomaterials 2010, 31, 8419. [Google Scholar] [CrossRef] [PubMed]
- Kuthala, N.; Vankayala, R.; Li, Y.-N.; Chiang, C.-S.; Hwang, K.C. Engineering novel targeted boron-10-enriched theranostic nanomedicine to combat against murine brain tumors via MR imaging-guided boron neutron capture therapy. Adv. Mater. 2017, 29, 1700850. [Google Scholar] [CrossRef] [PubMed]
- Kuthala, N.; Shanmugam, M.; Yao, C.-L.; Chiang, C.-S.; Hwang, K.C. One step synthesis of 10B-enriched 10BPO4 nanoparticles for effective boron neutron capture therapeutic treatment of recurrent head-and-neck tumor. Biomaterials 2022, 290, 121861. [Google Scholar] [CrossRef] [PubMed]
- Marabello, D.; Benzi, P.; Beccari, F.; Canepa, C.; Cariati, E.; Cioci, A.; Costa, M.; Durisi, E.A.; Monti, V.; Sans Planell, O.; et al. Synthesis and characterization of new lithium and boron based Metal Organic Frameworks with NLO properties for application in Neutron Capture Therapy. Processes 2020, 8, 558. [Google Scholar] [CrossRef]
- Köse, D.A.; Zümreoglu-Karan, B.; Hökelek, T.; Şahin, E. Boric acid complexes with organic biomolecules: Mono-chelate complexes with salicylic and glucuronic acids. Inorg. Chim. Acta 2010, 363, 4031. [Google Scholar] [CrossRef]
- Marabello, D.; Antoniotti, P.; Benzi, P.; Beccari, F.; Canepa, C.; Barge, A.; Boscaro, V.; Gallicchio, M.; Peira, E. Synthesis, characterization and cell uptake of nanoparticles for a novel approach to radionuclide therapy: A feasibility study. Int. J. Res. Pharm. Nano Sci. 2019, 8, 230. [Google Scholar]
- Selvaraj, S.; Chabita (Saha), K.; Chakrabortya, A.; Bhattacharyya, S.N.; Saha, A. Influence of copper (II) ions and its derivatives on radiosensitivity of Escherichia coli. Rad. Phys. Chem. 2007, 76, 1160. [Google Scholar] [CrossRef]
- CrysAlisPro, Version 1.171.37.31; Release 14-01-2014 CrysAlis171.NET; Agilent Technologies UK Ltd.: Oxford, UK, 2014.
- Sheldrick, G.M. SHELXT-Integrated Space-Group and Crystal-Structure Determination. Acta Cryst. A 2015, 71, 3–8. [Google Scholar] [CrossRef] [PubMed]
- Sheldrick, G.M. Crystal Structure Refinement with SHELXL. Acta Cryst. C 2015, 71, 3–8. [Google Scholar] [CrossRef] [PubMed]
- Dolomanov, O.V.; Bourhis, L.J.; Gildea, R.J.; Howard, J.A.K.; Puschmann, H. OLEX2: A Complete Structure Solution, Refinement and Analysis Program. J. Appl. Cryst. 2009, 42, 339. [Google Scholar] [CrossRef]
- International Atomic Energy Agency. Physical Dosimetry and Determination of Neutron Field Parameters. In Advances in Boron Neutron Capture Therapy; International Atomic Energy Agency: Vienna, Austria, 2023; Chapter 4; p. 29. Available online: https://www-pub.iaea.org/MTCD/Publications/PDF/CRCP-BOR-002_web.pdf (accessed on 18 March 2025).










| CaSB | CuSB | LiSB | |||||
|---|---|---|---|---|---|---|---|
| Li1–Li1 2 | 2.84(2) | ||||||
| Ca1A–O1X | 2.078(5) | Ca1B–O1Y | 2.105(9) | Cu1–O1A 1 | 1.947(1) | Li1–O1A 3 | 1.92(1) |
| Ca1A–O2X | 2.106(5) | Ca1B–O2Y | 2.096(9) | Cu1–O1A 2 | 1.947(1) | Li1–O1B | 1.88(1) |
| Ca1A–O3X | 2.004(4) | Ca1B–O3Y | 2.046(9) | Cu1–O1B 3 | 1.939(1) | Li1–O1W | 1.97(1) |
| Ca1A–O4X | 2.100(4) | Ca1B–O4Y | 1.943(8) | Cu1–O1B | 1.939(1) | Li1–O1W 2 | 2.08(1) |
| Ca1A–O5X | 2.093(4) | Ca1B–O5Y | 2.070(9) | ||||
| Ca1A–O6X | 2.016(4) | Ca1B–O6Y | 2.201(8) | ||||
| B1AB–O2A | 1.467(6) | B1CD–O2C | 1.484(6) | B1–O2A | 1.486(2) | B1–O2A | 1.496(8) |
| B1AB–O3A | 1.446(7) | B1CD–O3C | 1.449(7) | B1–O2B | 1.483(3) | B1–O3A | 1.437(7) |
| B1AB–O2B | 1.499(6) | B1CD–O2D | 1.480(6) | B1–O3B | 1.450(3) | B1–O2B | 1.471(8) |
| B1AB–O3B | 1.432(7) | B1CD–O3D | 1.442(6) | B1–O3A | 1.443(3) | B1–O3B | 1.436(8) |
| C1A–O1A | 1.218(5) | C1C–O1C | 1.224(5) | C1A–O1A | 1.247(2) | C1A–O1A | 1.256(7) |
| C1A–O2A | 1.324(5) | C1C–O2C | 1.311(5) | C1A–O2A | 1.301(2) | C1A–O2A | 1.316(7) |
| C1B–O1B | 1.233(5) | C1D–O1D | 1.224(5) | C1B–O1B | 1.241(2) | C1B–O1B | 1.218(7) |
| C1B–O2B | 1.301(5) | C1D–O2D | 1.310(5) | C1B–O2B | 1.302(2) | C1B–O2B | 1.308(7) |
| C3A–O3A | 1.350(6) | C3C–O3C | 1.346(5) | C3A–O3A | 1.342(3) | C3A–O3A | 1.360(7) |
| C3B–O3B | 1.345(6) | C3D–O3D | 1.347(5) | C3B–O3B | 1.346(2) | C3B–O3B | 1.348(7) |
| C1A–C2A | 1.473(6) | C1C–C2C | 1.469(6) | C1A–C2A | 1.447(3) | C1A–C2A | 1.448(8) |
| C2A–C3A | 1.380(6) | C2C–C3C | 1.391(6) | C2A–C3A | 1.395(3) | C2A–C3A | 1.389(8) |
| C3A–C4A | 1.407(7) | C3C–C4C | 1.402(6) | C3A–C4A | 1.390(3) | C3A–C4A | 1.395(8) |
| C4A–C5A | 1.363(8) | C4C–C5C | 1.366(7) | C4A–C5A | 1.376(5) | C4A–C5A | 1.379(9) |
| C5A–C6A | 1.394(9) | C5C–C6C | 1.386(8) | C5A–C6A | 1.389(5) | C5A–C6A | 1.375(9) |
| C6A–C7A | 1.358(8) | C6C–C7C | 1.373(7) | C6A–C7A | 1.362(4) | C6A–C7A | 1.382(8) |
| C2A–C7A | 1.396(6) | C2C–C7C | 1.406(6) | C2A–C7A | 1.397(3) | C2A–C7A | 1.382(8) |
| C1B–C2B | 1.470(6) | C1D–C2D | 1.473(6) | C1B–C2B | 1.455(2) | C1B–C2B | 1.457(9) |
| C2B–C3B | 1.389(6) | C2D–C3D | 1.382(6) | C2B–C3B | 1.397(3) | C2B–C3B | 1.391(8) |
| C3B–C4B | 1.402(7) | C3D–C4D | 1.401(6) | C3B–C4B | 1.394(3) | C3B–C4B | 1.373(8) |
| C4B–C5B | 1.354(8) | C4D–C5D | 1.353(7) | C4B–C5B | 1.374(3) | C4B–C5B | 1.379(9) |
| C5B–C6B | 1.396(8) | C5D–C6D | 1.404(8) | C5B–C6B | 1.382(3) | C5B–C6B | 1.357(11) |
| C6B–C7B | 1.367(7) | C6D–C7D | 1.382(7) | C6B–C7B | 1.377(3) | C6B–C7B | 1.389(10) |
| C2B–C7B | 1.397(7) | C2D–C7D | 1.393(6) | C2B–C7B | 1.392(3) | C2B–C7B | 1.388(8) |
| 1 +X, −1 + Y, +Z 2 3/2 − X, −1 + Y, 1/2 − Z 3 3/2 − X, +Y, 1/2 − Z | 2 1 − X, 2 − Y, 1 − Z 3 +X, 1 + Y, +Z | ||||||
| Vcell (Å3) | N° B/cell, N° Li/cell | 10B Density (N° 10B/m3) | 6Li Density (N° 6Li/m3) | 10B + 6Li Density | Total Ḋ (Gy h−1) | |
|---|---|---|---|---|---|---|
| CaSB | 3545.38 | 8, - | 2.234 × 1027 | - | 2.234 × 1027 | 26.9 |
| CuSB | 1304.51 | 2, - | 1.518 × 1027 | - | 1.518 × 1027 | 18.3 |
| LiSB | 1354.3 | 4, 4 | 2.924 × 1027 | 2.806 × 1027 | 5.555 × 1027 | 55.4 |
| LiMB | 996.06 | 1, 1 | 9.939 × 1026 | 9.538 × 1026 | 1.948 × 1027 | 18.8 |
| LiTB | 3578.61 | 4, 20 | 1.107 × 1027 | 5.309 × 1027 | 6.416 × 1027 | 51.6 |
Disclaimer/Publisher’s Note: The statements, opinions and data contained in all publications are solely those of the individual author(s) and contributor(s) and not of MDPI and/or the editor(s). MDPI and/or the editor(s) disclaim responsibility for any injury to people or property resulting from any ideas, methods, instructions or products referred to in the content. |
© 2025 by the authors. Licensee MDPI, Basel, Switzerland. This article is an open access article distributed under the terms and conditions of the Creative Commons Attribution (CC BY) license (https://creativecommons.org/licenses/by/4.0/).
Share and Cite
Marabello, D.; Benzi, P.; Canepa, C.; Cioci, A. Ca-, Li-, and Cu-Salicylatoborates for Potential Applications in Neutron Capture Therapy: A Computational Method for the Preliminary Discrimination of the More Promising Compounds. Inorganics 2025, 13, 136. https://doi.org/10.3390/inorganics13050136
Marabello D, Benzi P, Canepa C, Cioci A. Ca-, Li-, and Cu-Salicylatoborates for Potential Applications in Neutron Capture Therapy: A Computational Method for the Preliminary Discrimination of the More Promising Compounds. Inorganics. 2025; 13(5):136. https://doi.org/10.3390/inorganics13050136
Chicago/Turabian StyleMarabello, Domenica, Paola Benzi, Carlo Canepa, and Alma Cioci. 2025. "Ca-, Li-, and Cu-Salicylatoborates for Potential Applications in Neutron Capture Therapy: A Computational Method for the Preliminary Discrimination of the More Promising Compounds" Inorganics 13, no. 5: 136. https://doi.org/10.3390/inorganics13050136
APA StyleMarabello, D., Benzi, P., Canepa, C., & Cioci, A. (2025). Ca-, Li-, and Cu-Salicylatoborates for Potential Applications in Neutron Capture Therapy: A Computational Method for the Preliminary Discrimination of the More Promising Compounds. Inorganics, 13(5), 136. https://doi.org/10.3390/inorganics13050136

