Arsine, Stibine and Phosphine Derivatives of [Fe2(CO)6(μ-bdt)] (bdt = Benzenedithiolate): Syntheses, Structures and Spectroscopic and Electrocatalytic Studies
Abstract
1. Introduction
2. Results and Discussion
2.1. Synthesis and Spectroscopic Characterisation of 1–5
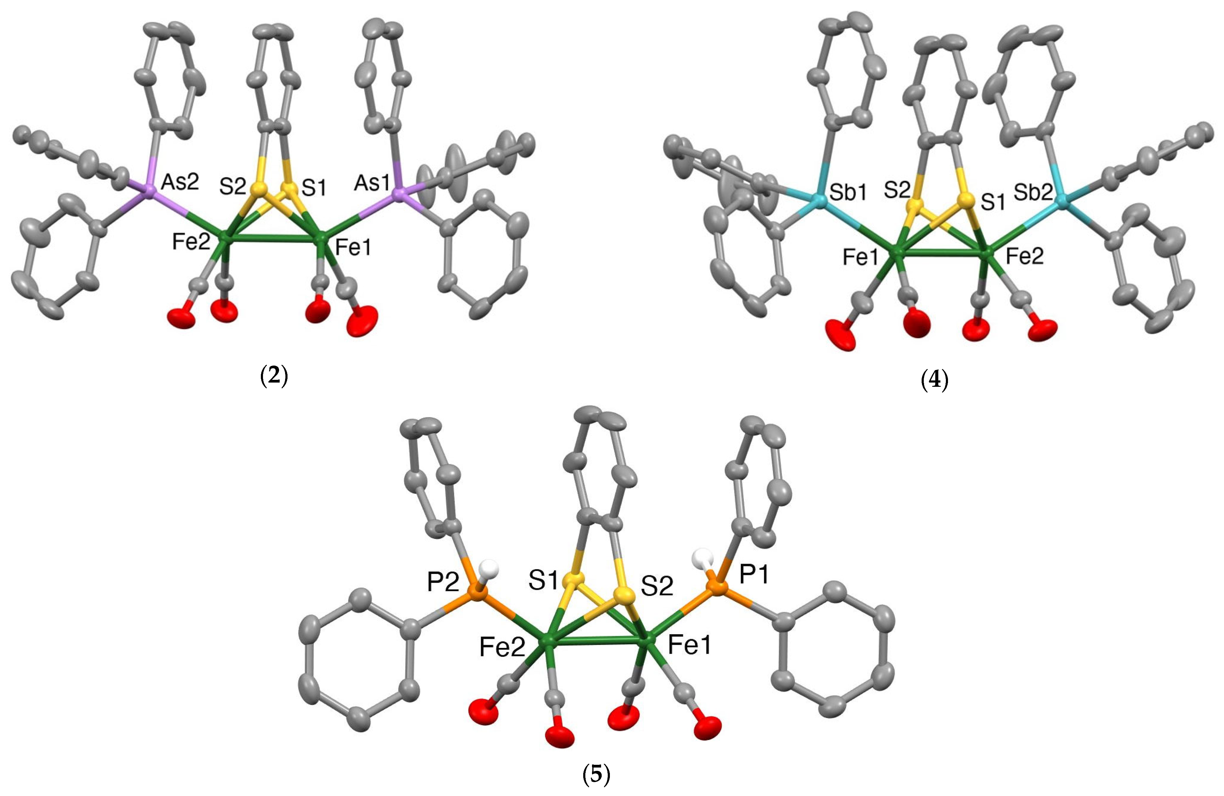
2.2. Structural Studies of Complexes 1–5
2.3. Protonation Studies
2.4. Electrochemical Studies
2.5. Electrocatalytic Studies
3. Summary
4. Experimental
4.1. General Procedures
4.2. Synthesis of [Fe2(CO)5(AsPh3)(µ-bdt)] (1) and [Fe2(CO)4(AsPh3)2(µ-bdt)] (2)
4.3. Synthesis of [Fe2(CO)5(SbPh3)(µ-SC6H4S)] (3) and [Fe2(CO)4(SbPh3)2(µ-SC6H4S)] (4)
4.4. Synthesis of [Fe2(CO)4(PPh2H)2(µ-SC6H4S)] (5) [34]
4.5. X-Ray Crystallography
4.6. Electrochemistry
Supplementary Materials
Author Contributions
Funding
Data Availability Statement
Acknowledgments
Conflicts of Interest
References
- Hogarth, G. An unexpected leading role for [Fe2(CO)6(μ-pdt)] in our understanding of [FeFe]-H2ases and the search for clean hydrogen production. Coord. Chem. Rev. 2023, 490, 215174. [Google Scholar] [CrossRef]
- Evans, D.J.; Pickett, C.J. Chemistry and the hydrogenases. Chem. Soc. Rev. 2003, 32, 268–275. [Google Scholar] [CrossRef] [PubMed]
- Georgakaki, I.P.; Thomson, L.M.; Lyon, E.J.; Hall, M.B.; Darensbourg, M.Y. Fundamental properties of small molecule models of Fe-only hydrogenase: Computations relative to the definition of an entatic state in the active site. Coord. Chem. Rev. 2003, 238–239, 255–266. [Google Scholar] [CrossRef]
- Rauchfuss, T.B. Research on soluble metal sulfides: From polysulfido complexes to functional models for the hydrogenases. Inorg. Chem. 2004, 43, 14–26. [Google Scholar] [CrossRef]
- Liu, X.; Ibrahim, S.K.; Tard, C.; Pickett, C.J. Iron-only hydrogenase: Synthetic, structural and reactivity studies of model compounds. Coord. Chem. Rev. 2005, 249, 1641–1652. [Google Scholar] [CrossRef]
- Sun, L.; Åkermark, B.; Ott, S. Iron hydrogenase active site mimics in supramolecular systems aiming for light-driven hydrogen production. Coord. Chem. Rev. 2005, 249, 1653–1663. [Google Scholar] [CrossRef]
- Capon, J.-F.; Gloaguen, F.; Schollhammer, P.; Talarmin, J. Catalysis of the electrochemical H2 evolution by di-iron sub-site models. Coord. Chem. Rev. 2005, 249, 1664–1676. [Google Scholar] [CrossRef]
- Tard, C.; Pickett, C.J. Structural and functional analogues of the active sites of the [Fe]-, [NiFe]-, and [FeFe]-hydrogenases. Chem. Rev. 2009, 109, 2245–2274. [Google Scholar] [CrossRef]
- Felton, G.A.N.; Mebi, C.A.; Petro, B.J.; Vannucci, A.K.; Evans, D.H.; Glass, R.S.; Lichtenberger, D.L. Review of electrochemical studies of complexes containing the Fe2S2 core characteristic of [FeFe]-hydrogenases including catalysis by these complexes of the reduction of acids to form dihydrogen. J. Organomet. Chem. 2009, 694, 2681–2699. [Google Scholar] [CrossRef]
- Lubitz, W.; Ogata, H.; Rudiger, O.; Reijerse, E. Hydrogenases. Chem. Rev. 2014, 114, 4081–4148. [Google Scholar] [CrossRef]
- Li, Y.; Rauchfuss, T.B. Synthesis of diiron(I) dithiolato carbonyl complexes. Chem. Rev. 2016, 116, 7043–7077. [Google Scholar] [CrossRef] [PubMed]
- Li, P.; Wang, M.; He, C.; Li, G.; Liu, X.; Chen, C.; Åkermark, B.; Sun, L. Influence of tertiary phosphanes on the coordination configurations and electrochemical properties of iron hydrogenase model complexes: Crystal structures of [(μ-S2C3H6)Fe2(CO)6–nLn] (L = PMe2Ph,n = 1, 2; PPh3, P(OEt)3, n = 1). Eur. J. Inorg. Chem. 2005, 2506–2513. [Google Scholar] [CrossRef]
- Adam, F.I.; Hogarth, G.; Richards, I.; Sanchez, B.E. Models of the iron-only hydrogenase: Structural studies of chelating diphosphine complexes [Fe2(CO)4(µ-pdt)(κ2P,P′-diphosphine)]. Dalton Trans. 2007, 24, 2495–2498. [Google Scholar] [CrossRef] [PubMed]
- Adam, F.I.; Hogarth, G.; Richards, I. Models of the iron-only hydrogenase: Reactions of [Fe2(CO)6(µ-pdt)] with small bite-angle diphosphines yielding bridge and chelate diphosphine complexes [Fe2(CO)4(diphosphine)(µ-pdt)]. J. Organomet. Chem. 2007, 692, 3957–3968. [Google Scholar] [CrossRef]
- Li, J.-R.; Hu, M.-Y.; Lü, S.; Gu, X.-L.; Jing, X.-B.; Zhao, P.-H. Amine-containing tertiary phosphine-substituted diiron ethanedithioate (edt) complexes Fe2(μ-edt)(CO)6-nLn (n= 1, 2): Synthesis, protonation, and electrochemical properties. Appl. Organomet. Chem. 2020, 34, e5929. [Google Scholar] [CrossRef]
- Natarajan, M.; Kumar, N.; Joshi, M.; Stein, M.; Ghumaan, S.K. Mechanism of Diiron Hydrogenase Complexes Controlled by Nature of Bridging Dithiolate Ligand. Chem. Open 2022, 11, e202100238. [Google Scholar] [CrossRef]
- Zhang, X.; Ma, X.; Zhang, T.; Li, B.; Jiang, S.; Zhang, G.; Hai, L.; Wanga, J.; Shao, X. The influence of phosphine ligand substituted [2Fe2S] model complexes as electro-catalyst on proton reduction. RSC Adv. 2018, 8, 42262–42268. [Google Scholar] [CrossRef]
- Peralta-Arriaga, S.L.; Fernandez-Teran, R.J.; Shipp, J.D.; Royle, C.E.; Chekulaev, D.; Morris, M.J.; Weinstein, J.A. Photophysics of Fe-Fe hydrogenase mimic complexes for hydrogen evolution. J. Organomet. Chem. 2024, 1004, 122940. [Google Scholar] [CrossRef]
- Liu, X.-F.; Wang, S.-J.; Zhao, P.-H. Di-iron dithiolato complexes with 3-bromothiophene moiety: Preparation, structures, and electrochemistry. J. Mol. Struct. 2023, 1294, 136454. [Google Scholar] [CrossRef]
- Wang, N.; Wang, M.; Chen, L.; Sun, L. Reactions of [FeFe]-hydrogenase models involving the formation of hydrides related to proton reduction and hydrogen oxidation. Dalton Trans. 2013, 42, 12059–12071. [Google Scholar] [CrossRef]
- Heinekey, D.M. Hydrogenase enzymes: Recent structural studies and active site models. J. Organomet. Chem. 2009, 694, 2671–2680. [Google Scholar] [CrossRef]
- Lian, M.; He, J.; Yu, X.-Y.; Mu, C.; Liu, X.-F.; Li, Y.-L.; Jiang, Z.-Q. Diiron ethanedithiolate complexes with acetate ester: Synthesis, characterization and electrochemical properties. J. Organomet. Chem. 2018, 870, 90–96. [Google Scholar] [CrossRef]
- Capon, J.-F.; Gloaguen, F.; Petillon, F.Y.; Schollhammer, P.; Talarmin, J. On the electrochemistry of diiron dithiolate complexes related to the active site of the [FeFe]H2ase. C. R. Chim. 2008, 11, 842–851. [Google Scholar] [CrossRef]
- Capon, J.-F.; Gloaguen, F.; Petillon, F.Y.; Schollhammer, P.; Talarmin, J. Electron and proton transfers at diiron dithiolate sites relevant to the catalysis of proton reduction by the [FeFe]-hydrogenases. Coord. Chem. Rev. 2009, 253, 1476–1494. [Google Scholar] [CrossRef]
- Tschierlei, S.; Ott, S.; Lomoth, R. Spectroscopically characterized intermediates of catalytic H2 formation by [FeFe] hydrogenase models. Energy Environ. Sci. 2011, 4, 2340–2352. [Google Scholar] [CrossRef]
- Peters, J.W.; Lanzilotta, W.N.; Lemon, B.J.; Seefeldt, L.C. X-ray Crystal structure of the Fe-only hydrogenase (CpI) from clostridium pasteurianum to 1.8 angstrom resolution. Science 1998, 282, 1853–1858. [Google Scholar] [CrossRef]
- Nicolet, Y.; Piras, C.; Legrand, P.; Hatchikian, C.E.; Fontecilla-Camps, J.C. Desulfovibrio desulfuricans iron hydrogenase: The structure shows unusual coordination to an active site Fe binuclear center. Structure 1999, 13, 13–23. [Google Scholar] [CrossRef]
- Nicolet, Y.; De Lacey, A.L.; Vernede, X.; Fernandez, V.M.; Hatchikian, E.C.; Fontecilla-Camps, J.C. Crystallographic and FTIR spectroscopic evidence of changes in Fe coordination upon reduction of the active site of the Fe-only hydrogenase from Desulfo- vibrio desulfuricans. J. Am. Chem. Soc. 2001, 123, 1596–1601. [Google Scholar] [CrossRef]
- Nicolet, Y.; Cavazza, C.; Fontecilla-Camps, J.C. Fe-only hydrogenases: Structure, function and evolution. J. Inorg. Biochem. 2002, 91, 1–8. [Google Scholar] [CrossRef]
- Armstrong, F.A. Hydrogenases: Active site puzzles and progress. Curr. Opin. Chem. Biol. 2004, 8, 133–140. [Google Scholar] [CrossRef]
- Gloaguen, F.; Morvan, D.; Capon, J.-F.; Schollhammer, P.; Talarmin, J.-F. Electrochemical proton reduction at mild potentials by monosubstituted diiron organometallic complexes bearing a benzenedithiolate bridge. J. Electroanal. Chem. 2007, 603, 15–20. [Google Scholar] [CrossRef]
- Schwartz, L.; Singh, P.S.; Eriksson, L.; Lomoth, R.; Ott, S. Tuning the electronic properties of Fe2(µ-arenedithiolate) (CO)6-n(PMe3)n (n = 0, 2) complexes related to the [Fe-Fe]-hydrogenase active site. C. R. Chim. 2008, 11, 875–889. [Google Scholar] [CrossRef]
- Pandey, I.K.; Mobin, S.M.; Deibel, N.; Sarkar, B.; Kaur-Ghumaan, S. Diiron benzenedithiolate complexes relevant to the [FeFe] Hydrogenase active site. Eur. J. Inorg. Chem. 2015, 17, 2875–2882. [Google Scholar] [CrossRef]
- Wright, R.J.; Zhang, W.; Yang, X.; Fasulo, M.; Tilley, T.D. Isolation, observation, and computational modelling of proposed intermediates in catalytic proton reductions with the hydrogenase mimic Fe2(CO)6S2C6H4. Dalton Trans. 2012, 41, 73–82. [Google Scholar] [CrossRef]
- Oudsen, J.P.H.; Venderbosch, B.; Martin, D.J.; Korstanje, T.J.; Reek, J.N.H.; Tromp, M. Spectroscopic and theoretical investigation of the [Fe2(bdt)(CO)6] hydrogenase mimic and some catalyst intermediates. Phys. Chem. Chem. Phys. 2019, 21, 14638. [Google Scholar] [CrossRef]
- Quentel, F.; Passard, G.; Gloaguen, F. Electrochemical hydrogen production in aqueous micellar solution by a diiron benzenedithiolate complex relevant to [FeFe] hydrogenases. Energy Environ. Sci. 2012, 5, 7757–7761. [Google Scholar] [CrossRef]
- Felton, G.A.N.; Vannucci, A.K.; Chen, J.; Lockett, L.T.; Okumura, N.; Petro, B.J.; Zakai, U.I.; Evans, D.H.; Glass, R.S.; Lichtenberger, D.L. Hydrogen generation from weak acids: Electrochemical and computational studies of a diiron hydrogenase mimic. J. Am. Chem. Soc. 2007, 129, 12521–12530. [Google Scholar] [CrossRef]
- McKennis, S.J.; Kyba, P.E. Linked Bis(µ-phosphido) and Related ligand for metallic cluster. Application to the hexacarbonyldiironmoiety. Organometallics 1983, 2, 1249–1251. [Google Scholar] [CrossRef]
- Capon, J.-F.; Gloaguen, F.; Schollhammer, P.; Talarmin, J. Activation of proton by the two-electron reduction of a di-iron organometallic complex. J. Electroanal. Chem. 2006, 595, 47–52. [Google Scholar] [CrossRef]
- Capon, J.-F.; Gloaguen, F.; Schollhammer, P.; Talarmin, J. Electrochemical proton reduction by thiolate-bridged hexacarbonyl diiron clusters. J. Electroanal. Chem. 2004, 566, 241–247. [Google Scholar] [CrossRef]
- Li, P.; Wang, M.; Pan, J.; Chen, L.; Wang, N.; Sun, L. [FeFe]-Hydrogenase active site models with relatively low reduction potentials: Diiron dithiolate complexes containing rigid bridges. J. Inorg. Biochem. 2008, 102, 952–959. [Google Scholar] [CrossRef] [PubMed]
- Hizbullah, L.; Rahaman, A.; Safavi, S.; Haukka, M.; Tocher, D.A.; Lisensky, G.C.; Nordlander, E. Synthesis of phosphine derivatives of [Fe2(CO)6(μ-sdt)](sdt = SCH2SCH2S) and investigation of their proton reduction capabilities. J. Inorg. Biochem. 2023, 246, 112272. [Google Scholar] [CrossRef]
- Chong, D.; Georgakaki, I.P.; Mejia-Rodriguez, R.; Chinchilla, J.S.; Soriaga, M.P.; Darensbourg, M.Y. Electrocatalysis of hydrogen production by active site analogues of the iron hydrogenase enzyme: Structure/function relationships. Dalton Trans. 2003, 4158–4163. [Google Scholar] [CrossRef]
- Song, L.-C.; Yang, Z.-Y.; Bian, H.-Z.; Liu, Y.; Wang, H.-T.; Liu, X.-F.; Hu, Q.-M. Diiron oxadithiolate type models for the active site of iron-only hydrogenases and biomimetic: Hydrogen evolution catalyzed by Fe2(μ-SCH2OCH2S-μ)(CO)6. Organometallics 2005, 24, 6126–6135. [Google Scholar] [CrossRef]
- Song, L.-C.; Li, C.-G.; Ge, J.-H.; Yang, Z.-Y.; Wang, H.-T.; Zhang, J.; Hu, Q.-M. Synthesis and structural characterization of the mono- and diphosphine-containing diiron propanedithiolate complexes related to [FeFe]-hydrogenases. Biomimetic H2 evolution catalyzed by (µ-pdt)Fe2(CO)4[(Ph2P)2N(n-Pr)]. J. Inorg. Biochem. 2008, 102, 1973–1979. [Google Scholar] [CrossRef]
- Ghosh, S.; Rahaman, A.; Orton, G.; Gregori, G.; Bernat, M.; Kulsume, U.; Hollingsworth, N.; Holt, K.B.; Kabir, S.E.; Hogarth, G. Synthesis, molecular structures and electrochemical investigations of [FeFe]-hydrogenase biomimics [Fe2(CO)6-n(EPh3)n(μ-edt)] (E = P, As, Sb; n = 1, 2). Eur. J. Inorg. Chem. 2019, 42, 4506–4515. [Google Scholar] [CrossRef]
- Cabeza, J.A.; Martinez-García, M.A.; Riera, V.; Ardura, D.; García-Granda, S. Binuclear iron(I), ruthenium(I), and osmium(I) hexacarbonyl complexes containing a bridging benzene-1,2-dithiolate ligand. Synthesis, X-ray structures, protonation reactions, and EHMO calculations. Organometallics 1998, 17, 1471–1477. [Google Scholar] [CrossRef]
- Orton, G.R.F.; Belazregue, S.; Cockcroft, J.K.; Hartl, F.; Hogarth, G. Biomimics of [FeFe]-hydrogenases with a pendant amine: Diphosphine complexes [Fe2(CO)4{μ-S(CH2)nS}{κ2-(Ph2PCH2)2NR}] (n = 2,3; R = Me, Bn) towards H2 oxidation catalysts. J. Organomet. Chem. 2023, 991, 122673. [Google Scholar] [CrossRef]
- Cheng, M.; Wang, M.; Zheng, D.; Sun, L. Effect of the S-to-S bridge on the redox properties and H2 activation performance of diiron complexes related to the [FeFe]-hydrogenase active site. Dalton Trans. 2016, 45, 17687–17696. [Google Scholar] [CrossRef]
- Wang, N.; Wang, M.; Wang, Y.; Zheng, D.; Han, H.; Ahlquist, M.S.G.; Sun, L. Catalytic activation of H2 under mild conditions by an [FeFe]- hydrogenase model via an active μ-hydride species. J. Am. Chem. Soc. 2013, 135, 13688–13691. [Google Scholar] [CrossRef]
- Agilent. CrysAlisPro, Agilent Technologies Inc.: Yarnton, UK, 2014.
- Otwinowski, Z.; Minor, W. Volume 276: Macromolecular Crystallography, Part A. In Methods in Enzymology; Carter, C.W., Sweet, J., Eds.; Academic Press: New York, NY, USA, 1997; pp. 307–326. [Google Scholar]
- Bruker AXS. SAINT, Bruker AXS, Inc.: Madison, WI, USA, 2009.
- Sheldrick, G.M. SADABS—Bruker AXS Scaling and Absorption Correction; Bruker AXS, Inc.: Madison, WI, USA, 2012. [Google Scholar]
- Palatinus, L.; Chapuis, G. SUPERFLIP—A Computer Program for the Solution of Crystal Structures by Charge Flipping in Arbitrary Dimensions. J. Appl. Cryst. 2007, 40, 786–790. [Google Scholar] [CrossRef]
- Sheldrick, G.M. SHELXT-Integrated Space-Group and Crystal-Structure Determination. Acta Cryst. 2015, A71, 3–8. [Google Scholar] [CrossRef]
- Sheldrick, G.M. A Short History of SHELX. Acta Cryst. 2008, A64, 112–122. [Google Scholar] [CrossRef]
- Dolomanov, O.V.; Bourhis, L.J.; Gildea, R.J.; Howard, J.A.K.; Puschmann, H.J. OLEX2: A Complete Structure Solution, Refinement and Analysis Program. Appl. Cryst. 2009, 42, 339–341. [Google Scholar] [CrossRef]
- Hübschle, C.B.; Sheldrick, G.M.; Dittrich, B. ShelXle: A Qt Graphical User Interface for SHELXL. J. Appl. Cryst. 2011, 44, 1281–1284. [Google Scholar] [CrossRef]









| Compound | [47] | 1 | 2 | 3 | 4 | 5 | [33] | [33] |
|---|---|---|---|---|---|---|---|---|
| Fe-Fe | 2.480(2) | 2.4850(3) | 2.4840(3) | 2.4664(4) | 2.4716(3) | 2.4755(5) | 2.4918(4) | 2.4989(6) |
| Fe-L | 2.3463(3) | 2.3437(2) | 2.5026(3) | 2.4815(5) | 2.2163(6) | 2.2468(6) | 2.2439(9) | |
| 2.3418(2) | 2.4788(5) | 2.2194(7) | 2.2422(9) | |||||
| Fe-S(1) | 2.271(2) | 2.2760(5) | 2.2895(4) | 2.2857(6) | 2.2827(4) | 2.2814(6) | 2.2748(5) | 2.2946(8) |
| 2.262(2) | 2.2843(5) | 2.2768(4) | 2.2840(6) | 2.2958(4) | 2.2807(6) | 2.2660(6) | 2.2750(8) | |
| Fe-S(2) | 2.272(2) | 2.2785(5) | 2.2793(4) | 2.2843(6) | 2.883(5) | 2.2805(6) | 2.2698(6) | 2.2783(8) |
| 2.267(2) | 2.2772(5) | 2.2965(3) | 2.2747(6) | 2.2828(4) | 2.2914(6) | 2.2755(5) | 2.2882(8) | |
| Fe-Fe-L | 151.113(13) | 150.297(10) | 154.616(15) | 148.482(11) | 147.487(19) | |||
| 150.539(10) | 148.606(11) | 147.157(19) | ||||||
| Fe-S(1)-Fe | 66.039(14) | 65.911(11) | 65.331(18) | 65.342(12) | 65.727(17) | 66.563(17) | 66.30(2) | |
| Fe-S(2)-Fe | 66.115(14) | 65.755(10) | 65.502(17) | 65.464(13) | 65.568(17) | 66.489(16) | 66.35(2) |
| Compound | Eox [V] | Ered1 [V] | Solvent | Reference |
|---|---|---|---|---|
| [Fe2(CO)6(µ-bdt)]39 | 0.92 | −1.44 | CH2Cl2 | [39] |
| [Fe2(CO)5(µ-bdt)(AsPh3)] (1) | 0.60 | −1.7 and 2.0 | CH2Cl2 | this work |
| [Fe2(CO)5(µ-bdt)(SbPh3)] (3) | 0.60 | −1.7 and 2.0 | CH2Cl2 | this work |
| [Fe2(CO)4(µ-bdt)(SbPh3)2] (2) | 0.4 and 0.8 | −2.2 | CH2Cl2 | this work |
| [Fe2(CO)4(µ-bdt)(PPh2H)2] (5) | 0.12 and 0.32 | −1.84 | MeCN | this work |
| [Fe2(CO)4(µ-bdt)(PPh2H)2] (5) | 0.21 | −2.02 | CH2Cl2 | [34] |
| [Fe2(CO)4(µ-bdt)(PPh2H)2] (5) | −1.74 | MeCN | [34] | |
| [Fe2(CO)5(µ-bdt)(PPh3)]32 and | 0.58 | −1.82 | CH2Cl2 | [34] |
| [Fe2(CO)4(µ-bdt)(PPh3)2]32 | 0.13 and 0.55 | −2.21 | CH2Cl2 | [34] |
| Compound | 1 | 2 | 3 | 4 | 5 |
|---|---|---|---|---|---|
| CCDC | ................... | ................... | ................... | ................... | ................... |
| Empirical formula | C29H19AsFe2O5S2 | C46H34As2Fe2O4S2 | C29H19AsFe2O5S2 | C46H34Sb2Fe2O4S2 | C34H26Fe2O4P2S2 |
| Formula weight | 698.18 | 976.39 | 745.01 | 1070.05 | 736.31 |
| Temperature (K) | 170(2) | 170(2) | 123(2) | 170(2) | 150(2) |
| Wavelength (Å) | 0.71073 | 0.71073 | 0.71073 | 0.71073 | 0.71073 |
| Crystal system | triclinic | triclinic | monoclinic | monoclinic | monoclinic |
| Space group | P-1 | P-1 | C2/c | P-1 | P21/n |
| Unit cell dimensions | |||||
| a (Å) | 10.1727(3) | 10.23282(18) | 22.6387(6) | 10.43200(10) | 14.344(2) |
| b (Å) | 11.5954(2) | 11.0804(2) | 13.3922(4) | 11.05680(10) | 14.437(2) |
| c (Å) | 12.8226(3) | 21.0854(3) | 19.0670(3) | 21.5895(3) | 15.780(2) |
| α (°) | 93.1095(17) | 101.9563(14) | 90 | 95.6570(10) | 90 |
| β (°) | 92.1004(19) | 93.7589(13) | 94.6570(10) | 101.1840(10) | 99.687(3) |
| γ (°) | 111.052(2) | 114.5448(17) | 90 | 114.7520(10) | 90 |
| Volume (Å3) | 1406.93(6) | 2096.42(7) | 5761.7(2) | 2172.86(5) | 3221.1(9) |
| Z | 2 | 2 | 8 | 2 | 4 |
| Density (calculated) (g/cm3) | 1.648 | 1.547 | 1.718 | 1.636 | 1.518 |
| Absorption coefficient (mm−1) | 2.384 | 2.401 | 2.107 | 2.022 | 1.167 |
| F (000) | 700 | 984 | 2944 | 1056 | 1504 |
| Crystal size (mm3) | 0.177 × 0.118 × 0.006 | 0.294 × 0.143 × 0.055 | 0.510 × 0.198 × 0.153 | 0.409 × 0.202 × 0.101 | 0.48 × 0.20 × 0.14 |
| 2ϴ range for data collection (°) | 3.188 to 34.998 | 2.004 to 36.314 | 2.105 to 29.158 | 2.550 to 30.000 | 2.27 to 28.31 |
| Index ranges | −16 ≤ h ≤ 16, | −17 ≤ h ≤ 17, | −22 ≤ h ≤ 30, | −14 ≤ h ≤ 14, | −18 ≤ h ≤ 18, |
| −18 ≤ k ≤ 18, | −18 ≤ k ≤ 18, | −16 ≤ k ≤ 18, | −15 ≤ k ≤ 15, | −18 ≤ k ≤ 19, | |
| −20 ≤ l ≤ 20 | −35 ≤ l ≤ 35 | −26 ≤ l ≤ 20 | −30 ≤ l ≤ 30 | −20 ≤ l ≤ 20 | |
| Reflections collected | 42,174 | 77,294 | 25,757 | 45,192 | 26,406 |
| Independent reflections [Rint] | 12,366 [Rint = 0.0338] | 20,305 [Rint = 0.0307] | 7558 [Rint = 0.0234] | 12,515 [Rint = 0.0225] | 7482 [Rint = 0.0390] |
| Data/restraints/parameters | 12,366/0/352 | 20,305/0/505 | 7558/0/352 | 12,515/0/505 | 7482/0/501 |
| Goodness of fit on F2 | 1.065 | 1.015 | 1.134 | 1.099 | 0.963 |
| Final R indices [I > 2σ(I)] | R1 = 0.0361, wR2 = 0.0789 | R1 = 0.0309, wR2 = 0.0627 | R1 = 0.0277, wR2 = 0.0529 | R1 = 0.0207, wR2 = 0.0454 | R1 = 0.0317, wR2 = 0.0719 |
| R indices (all data) | R1 = 0.0600, wR2 = 0.0897 | R1 = 0.0501, wR2 = 0.0695 | R1 = 0.0342, wR2 = 0.0556 | R1 = 0.0240, wR2 = 0.0472 | R1 = 0.0451, wR2 = 0.0741 |
| Largest diff. peak and hole (e. Å−3) | 0.860 and −1.068 | 0.551 and −0.567 | 0.460 and −0.454 | 0.406 and −0.465 | 0.421 and −0.430 |
Disclaimer/Publisher’s Note: The statements, opinions and data contained in all publications are solely those of the individual author(s) and contributor(s) and not of MDPI and/or the editor(s). MDPI and/or the editor(s) disclaim responsibility for any injury to people or property resulting from any ideas, methods, instructions or products referred to in the content. |
© 2025 by the authors. Licensee MDPI, Basel, Switzerland. This article is an open access article distributed under the terms and conditions of the Creative Commons Attribution (CC BY) license (https://creativecommons.org/licenses/by/4.0/).
Share and Cite
Rahaman, A.; Kulsume, U.; Alam, F.R.; Haukka, M.; Ghosh, S.; Hogarth, G.; Nordlander, E.; Kabir, S.E. Arsine, Stibine and Phosphine Derivatives of [Fe2(CO)6(μ-bdt)] (bdt = Benzenedithiolate): Syntheses, Structures and Spectroscopic and Electrocatalytic Studies. Inorganics 2025, 13, 63. https://doi.org/10.3390/inorganics13020063
Rahaman A, Kulsume U, Alam FR, Haukka M, Ghosh S, Hogarth G, Nordlander E, Kabir SE. Arsine, Stibine and Phosphine Derivatives of [Fe2(CO)6(μ-bdt)] (bdt = Benzenedithiolate): Syntheses, Structures and Spectroscopic and Electrocatalytic Studies. Inorganics. 2025; 13(2):63. https://doi.org/10.3390/inorganics13020063
Chicago/Turabian StyleRahaman, Ahibur, Ummey Kulsume, Fakir R. Alam, Matti Haukka, Shishir Ghosh, Graeme Hogarth, Ebbe Nordlander, and Shariff E. Kabir. 2025. "Arsine, Stibine and Phosphine Derivatives of [Fe2(CO)6(μ-bdt)] (bdt = Benzenedithiolate): Syntheses, Structures and Spectroscopic and Electrocatalytic Studies" Inorganics 13, no. 2: 63. https://doi.org/10.3390/inorganics13020063
APA StyleRahaman, A., Kulsume, U., Alam, F. R., Haukka, M., Ghosh, S., Hogarth, G., Nordlander, E., & Kabir, S. E. (2025). Arsine, Stibine and Phosphine Derivatives of [Fe2(CO)6(μ-bdt)] (bdt = Benzenedithiolate): Syntheses, Structures and Spectroscopic and Electrocatalytic Studies. Inorganics, 13(2), 63. https://doi.org/10.3390/inorganics13020063

