Abstract
Formaldehyde (HCHO), a colorless gas, is currently a toxic gas that seriously endangers human health and the environment. To effectively remove formaldehyde, catalytic oxidation is considered to be the most promising, widely studied, and applied method. This method utilizes a catalyst to promote the reaction of HCHO with O2, converting it into harmless CO2 and H2O. In recent years, researchers have developed various catalysts, including noble metal catalysts (such as Pt, Pd) and transition-metal catalysts (such as Co3O4, MnO2), to improve the efficiency of formaldehyde oxidation. In experimental studies, by optimizing the composition, structure, and reaction conditions of the catalyst, the conversion rate and selectivity of formaldehyde can be significantly increased. This article reviews the current research status of noble metal catalysts and transition metal catalysts in the field of formaldehyde catalytic oxidation, discusses the main factors affecting the efficiency of formaldehyde catalytic oxidation in experimental studies, and finally explores the overall reaction mechanism of formaldehyde catalytic oxidation. In summary, formaldehyde catalytic oxidation technology has broad application prospects in indoor air purification, industrial waste gas treatment, etc.
1. Introduction
Formaldehyde (HCHO or CH2O), also known as formic aldehyde, is a typical VOC pollutant. It generally has two states: gaseous and liquid. In a liquid state, a 35–40% formaldehyde water solution is the well-known formalin solution. In the gaseous state, low-concentration formaldehyde is a colorless and odorless gas, while high-concentration formaldehyde has a strong, pungent, and suffocating smell, which can irritate the eyes, nose, etc. It primarily originates from furniture, decoration materials, textiles, and fabric products, among others [1,2,3]. HCHO is seriously harmful to human health and the ecosystem, and long-term exposure to HCHO can cause headaches, pneumonia, and even cancer [4]. The International Agency for Research on Cancer classifies HCHO as a Group I carcinogen [5]. So, how to effectively remove formaldehyde has become extremely urgent. In recent years, various methods for removing formaldehyde have been reported, such as plant adsorption [6], physical and chemical absorption [7,8,9], photocatalytic oxidation [10,11,12,13,14,15,16], thermal catalytic oxidation [17,18,19,20,21,22,23,24,25,26,27], and photothermal catalytic oxidation [28,29].
The adsorption method for removing formaldehyde involves using adsorbents to adsorb formaldehyde from the air onto the surface of the adsorbents, thereby reducing the concentration of formaldehyde in the air. Common adsorbents include activated carbon, new porous nanomaterials, and molecular sieves [30,31,32,33,34,35]. The adsorption method is simple to operate, has a low cost, and causes no secondary pollution. It is suitable for indoor air purification in places such as homes and offices, and can be used to treat formaldehyde pollution in newly renovated houses. It can also serve as an auxiliary method for other treatment approaches. However, it has the issue of adsorption saturation, and the adsorbents need to be replaced or regenerated regularly; otherwise, it may cause secondary pollution. Photocatalytic oxidation is an advanced technology for removing formaldehyde. The core of photocatalytic oxidation technology lies in the photocatalyst. Under the irradiation of light (usually ultraviolet or visible light), the catalyst is excited and generates active oxygen substances with strong oxidizing properties, such as hydroxyl radicals and superoxide radicals. These active oxygen substances can oxidize and decompose formaldehyde into carbon dioxide and water. The commonly used catalysts include nano-titanium dioxide (TiO2) [36,37,38], heterojunction photocatalyst [39], and metal-organic frameworks (MOFs) [40], etc. Photocatalytic oxidation technology is an efficient and environmentally friendly method for removing formaldehyde, featuring a high removal rate, thorough oxidation, a wide application range, and low energy consumption. Although photocatalytic oxidation technology has many advantages, it also has some limitations. The photocatalyst has stability issues; its activity may decline after long-term use. Thermal catalytic oxidation is a mature technology for removing formaldehyde. In thermal catalytic oxidation, energy is supplied through heating, and a catalyst is used to oxidize and decompose volatile organic compounds (VOCs) such as formaldehyde into harmless carbon dioxide and water, thereby achieving air purification. The catalyst can significantly reduce the activation energy of the reaction, enabling the oxidation reaction to proceed efficiently at relatively mild temperatures. Thermal oxidation catalytic technology has the advantages of high efficiency, selectivity, and stability, wide treatment objects, less secondary pollution, and high market recognition. In recent years, significant progress has been made in catalyst research and development, which can be divided into two major categories: noble metal catalysts and non-noble metal catalysts. Noble metal catalysts such as Pt [41,42,43], Ag [44,45,46,47], Pd [48,49], and Au [50,51], etc., are widely used due to their high activity and stability, but they are costly; while non-noble metal catalysts such as MnOX [52,53,54], and CoOX [55,56], etc., have lower costs, but their performance needs to be further optimized according to specific pollutants and operating conditions. With the development of materials science, the performance of catalysts has been continuously improved. For example, through doping and composite methods, the activity and stability of catalysts can be enhanced, allowing them to maintain efficient catalytic performance over a wider temperature range.
In order to better understand the commonly used catalyst systems in the field of formaldehyde catalytic oxidation, as well as the influencing factors during the reaction process and the reaction mechanism—thereby improving and optimizing the formaldehyde catalytic oxidation reaction. This work reviews the research progress of noble metal catalysts and non-noble metal catalysts in detail, and also discusses the main factors affecting the efficiency of formaldehyde oxidation and the corresponding reaction mechanism. Compared with previous research work, we have found that in recent years, different catalysts have similar reaction mechanisms. The main outline of this review is displayed in Figure 1.
Figure 1.
The main outline of this review.
2. Noble-Metal Catalysts
In recent years, precious metal catalysts have attracted the interest of many researchers due to their excellent low-temperature oxidation activity and high selectivity. Due to the sintering and oxidation of precious metals, they are usually loaded on certain oxide carriers with excellent thermal stability, which makes HCHO easy to convert at low temperatures. Nonetheless, the particular catalytic characteristics are dictated by multiple factors, including the type and quantity of the precious metal, as well as the nature and morphological configuration of the carrier. The carriers of noble metal catalysts used in the oxidation reaction of formaldehyde can be classified into two types. The first type of carrier materials has a large specific surface area, which is favorable for the adsorption of formaldehyde molecules, such as SiO2 [57,58], carbon materials [24,59], some molecular sieves [60,61], and other carrier materials [18,25,62]. These are common catalyst carriers and have already been commercialized. The second type is single or mixed metal oxides, such as CeO2 [63], CoOx [64], ZrO2 [65], and MnOx [66], etc. They possess poor activity for HCHO oxidation before supporting noble metal; these are common metal oxide carriers. Furthermore, based on these common catalysts, the development of catalysts with different morphologies is currently a hot research topic [67,68]. Although noble metal catalysts have significantly enhanced the activity of the catalysts, during the research process, it was discovered that the dispersion degree of noble metal atoms can greatly affect the catalytic activity. In response to this phenomenon, many researchers adopted the method of adding alkaline metal additives such as Na+ [69] and K+ [70], and this strategy achieved satisfactory results. Table 1 presents a summary of the research on the use of precious metal oxide catalysts for the catalytic oxidation of formaldehyde.
Table 1.
Summary of the catalytic oxidation of formaldehyde using precious metal catalysts.
2.1. Metal Oxide Supports
Precious metals are loaded onto metal oxide supports for HCHO catalytic oxidation through impregnation methods, one-pot methods, or other preparation techniques. Here is an introduction to researchers’ findings. In Liu’s work [79], after pre-treating SiO2, Pd was loaded onto it through the impregnation method. After the acid-base etching and H2 treatment, as can be seen from Figure 2a, the broad diffraction peak centered at 22° is an amorphous silica structure, and the two diffraction peaks at 40.1° and 46.7° correspond to the metal Pd species. Figure 2b shows that the oxygen vacancies increase, and Figure 2c–f shows that the defect anchoring inhibits sintering and promotes the high dispersion of Pd. This study has, for the first time, revealed the water inhibition phenomenon: the traditional understanding has been overturned, indicating that what determines the catalytic activity is the ability to generate hydroxyl groups, rather than the total amount of hydroxyl groups. As shown in Figure 3, after pretreatment of the SiO2 support with H2 reduction, HNO3, or NH3·H2O solution, the catalytic performance of all Pd/SiO2 catalysts in formaldehyde oxidation was significantly enhanced. Specifically, the removal efficiencies were 4% for Pd/SiO2-R, 59% for Pd/SiO2(HNO3)-R, 94% for Pd/SiO2(NH3·H2O)-R, and 100% for Pd/SiO2(H2)-R. Among them, Pd/SiO2(H2)-R demonstrated the highest activity for HCHO oxidation.
Figure 2.
(a) XRD patterns, (b) ESR spectra, (c) Pd/SiO2-R, (d) Pd/SiO2 (H2)-R, (e) Pd/SiO2 (HNO3)-R, and (f) Pd/SiO2 (NH3·H2O)-R catalysts. This figure has been adapted from a previous reference [79].
Figure 3.
HCHO conversion on Pd/SiO2-R, Pd/SiO2(H2)-R, Pd/SiO2(HNO3)-R and Pd/SiO2(NH3·H2O)-R catalysts. Reaction conditions: [HCHO] = 150 ppm, 20% O2 and He as a balance gas, RH = 35%, [WHSV] = 300,000 mL/(g·h), 25 °C, RH: relative humidity [79].
Chen et al. [77] prepared the 1Pd-Ba/TiO2 catalyst using the impregnation method. As can be seen from the Figure 4, after adding the alkaline earth metal Ba, both the conversion removal efficiency of formaldehyde (13.8% to 100% at 25 °C) and the yield of carbon dioxide (0 to 100% at 25 °C) increased significantly, there are a large number of single-atom Pd (marked in red in Figure 5g), which is attributed to the fact that Ba inhibited sintering. This is a significant improvement for noble metal catalysts. From Figure 6, it can be observed that new Pdδ− (334.5 eV, 51.2%) has been formed, which is due to the electron transfer from Ba-O-Pd and a significant increase in chemisorbed oxygen (22.5–35.4%). Alkali metals (such as Na+ and K+) have been proven to enhance activity through the electron donor effect. However, the mechanism of action of alkaline earth metals (such as Ba and Ca) in the oxidation of formaldehyde remains unexplored. In the future, research can be conducted on how to utilize alkaline earth metals (Ba) as electronic auxiliaries to regulate the electronic structure of noble metal atoms, stabilize single atoms/tuples, and optimize the O2 activation pathway, thereby achieving efficient room-temperature formaldehyde oxidation without increasing the number of noble metals.
Figure 4.
HCHO removal efficiency (a) and CO2 yield rate (b) of Pd/TiO2 and Pd-Ba/TiO2. This figure has been adapted from a previous reference [77].
Figure 5.
AC-TEM of Pd-Ba/TiO2 catalyst (a); locally enlarged image of carrier edge (b,c); partial enlargement of the bulk phase (d,e); monatomic regions and basal lattice fringes (f,g); HRTEM of the Pd-Ba/TiO2 catalyst (h,i). The red circles indicate the location of single-atom Pd. This figure has been adapted from a previous reference [77].
Figure 6.
Pd 3d (a) and O 1s (b) XPS spectra of Pd/TiO2 and Pd-Ba/TiO2 catalysts. This figure has been adapted from a previous reference [77].
Peng et al. [81] prepared Pt/ZrO2 by a modified P123-assisted hydrothermal method [89]. P123 is the abbreviation of polyethylene oxide-polypropylene oxide-polyethylene oxide triblock copolymer (PEO20-PPO70-PEO20), which is a nonionic surfactant commonly used as a template for the synthesis of mesoporous molecular sieves (such as SBA-15). Figure 7 indicates that the optimized Pt-VO-ZrO2 with Pt contents of 0.87 wt.% could display HCHO removal and HCHO conversion (>95%) for 720 min at 20 °C, higher than that of Pt-ZrO2 and ZrO2. Moreover, the concentration of HCHO could be reduced from about 1 ppm to below 0.05 ppm after 580 min. This work first proposed the oxygen vacancy (VO)-controlled surface metal-support interaction (SMSI) interface (Pt-VO-ZrO2) for room-temperature formaldehyde oxidation. Furthermore, it was found that VO on the surface of ZrO2 captures and activates O2, generating O* (with an activation energy of only 0.3 eV). O* acts as an electron transport channel, accelerating the oxidation path of HCHO → formate → CO2.
Figure 7.
(a) HCHO removal as a function of reaction time and (b) HCHO conversion and the specific reaction rates over ZrO2 and 1.32 Pt-Vo-ZrO2 samples. The arrow to the left represents the reaction rate constant (R) of the material, and the arrow to the right represents the formaldehyde removal rate of the material. This figure has been adapted from a previous reference [81].
Zhang et al. [82] prepared the Li-Ag-CoOx catalyst by the co-precipitation method and investigated the effects of Li+, Na+, and K+ on the catalytic oxidation of formaldehyde by Ag-CoOx. It was found that Li+ was the only significant alkaline metal that enhanced the activity (Na+ inhibited, K+ had a limited effect) of Li-5Ag-Co3O4 from Figure 8d. Therefore, alkali metal additives do not necessarily enhance the performance of all catalysts. The specific situation must be explored through experiments.
Figure 8.
Time courses of HCHO removal percentage over the Co3O4, alkali metal-modified catalysts, and their composites with impregnated Ag species: Effects of (a) alkali metal addition and (b,d) further Ag incorporation; (c) Effects of the concentration of impregnation solution. Conditions: ~0.1 g of catalyst, 320–350 mg/m3 HCHO. This figure has been adapted from a previous reference [82].
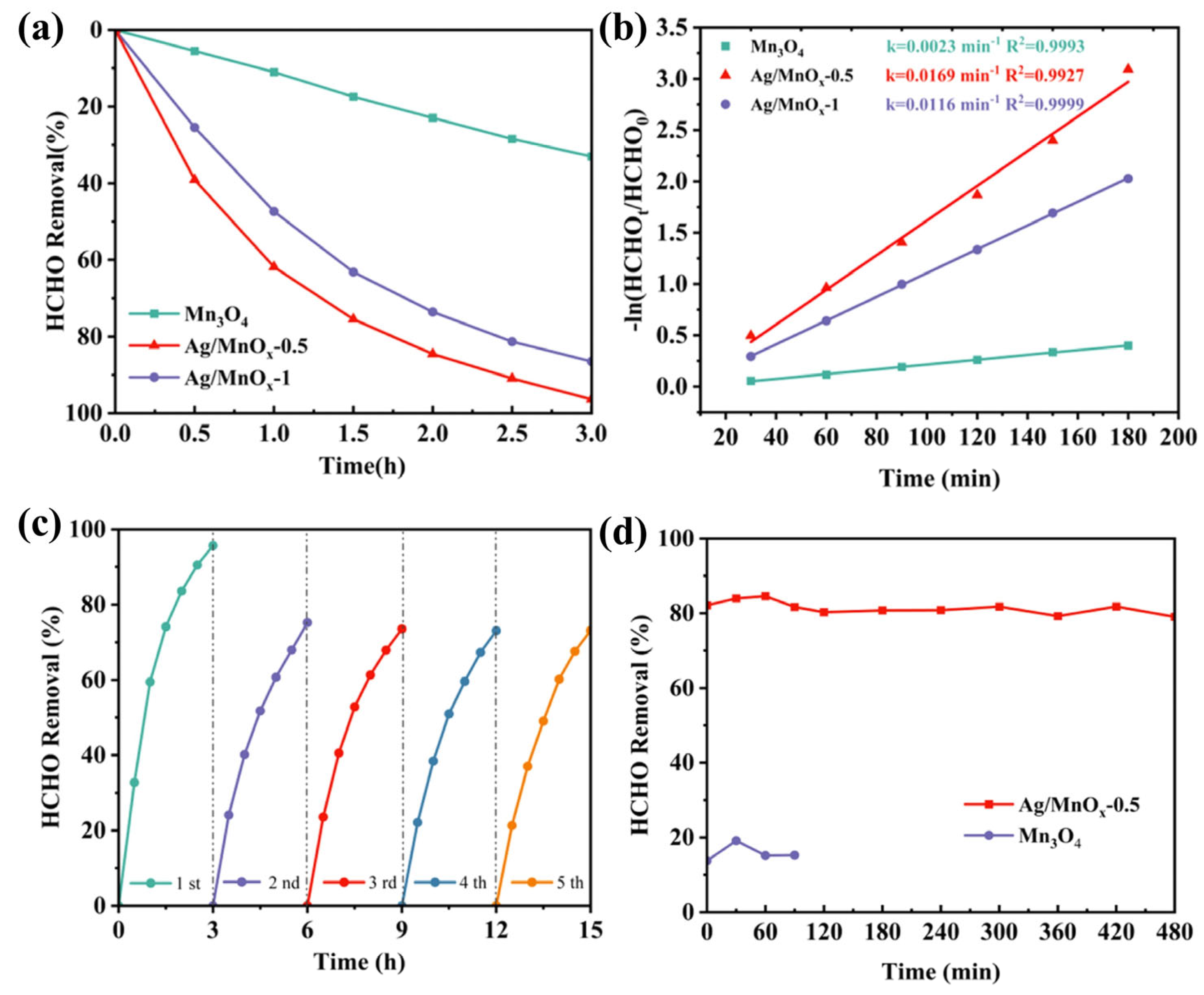
Tang et al. [83] prepared the Ag/MnOX catalyst by a one-step method at room temperature. By adjusting the molar ratio of Ag/Mn (0.1–1), they optimized the contents of Mn4+ and Ag0, thereby regulating the active sites. As shown in Figure 9, the Ag/MnOX-0.5 removal rate reaches 100% within 3 h.
Figure 9.
(a) Variation of HCHO and (b) reaction rate constant (k) of HCHO removal over Mn3O4, Ag/MnOX-0.5, and Ag/MnOX-1 at room temperature in a static test (216 L, ~1 ppm of HCHO). (c) Corresponding HCHO removal on Ag/MnOx-0.5 in five cycles. (d) HCHO removal rate of Mn3O4 and Ag/MnOx-0.5 in a dynamic test (GHSV =150 L/(g·h), ~1 ppm of HCHO, RH = 55%). This figure has been adapted from a previous reference [83].
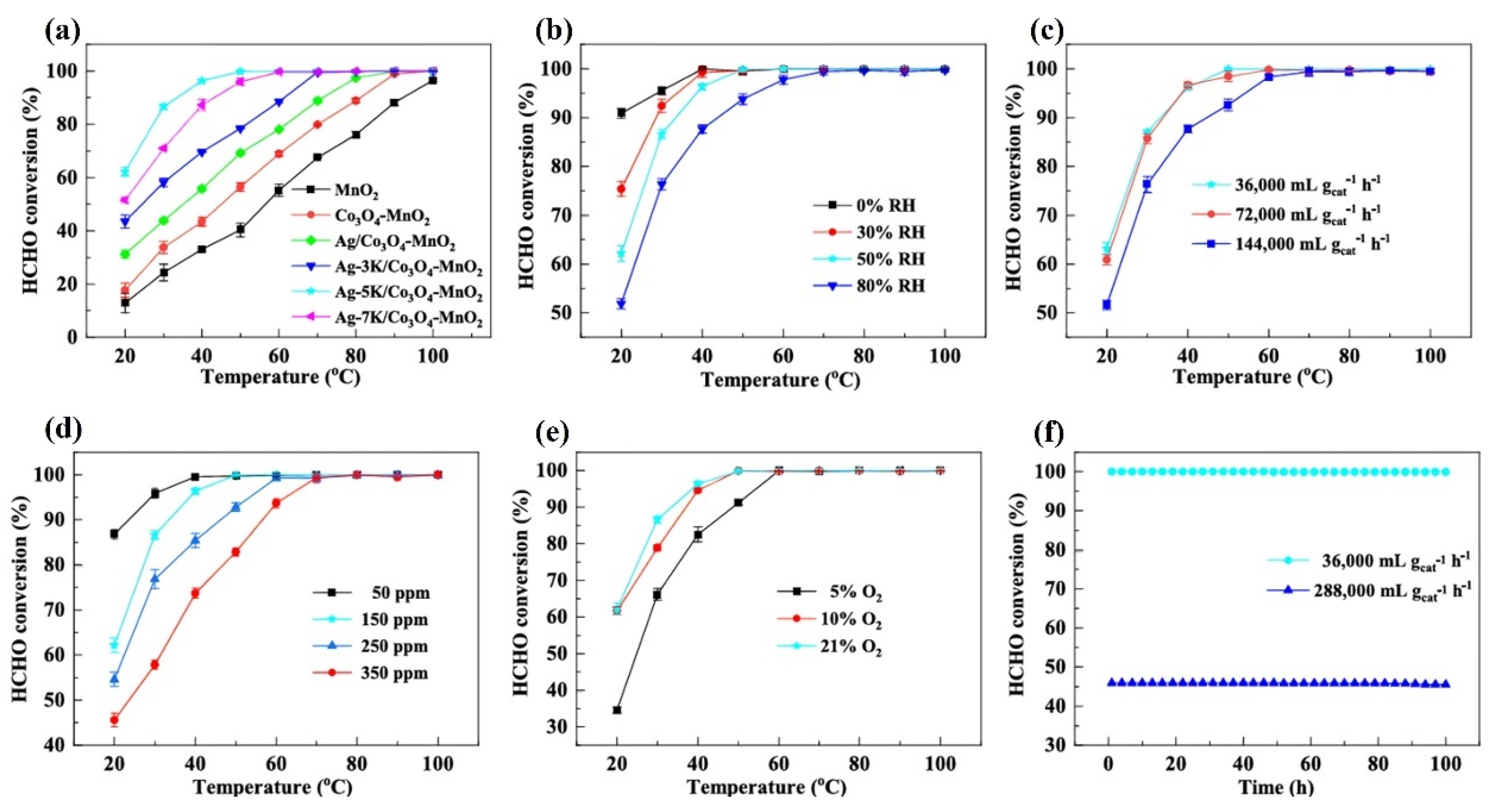
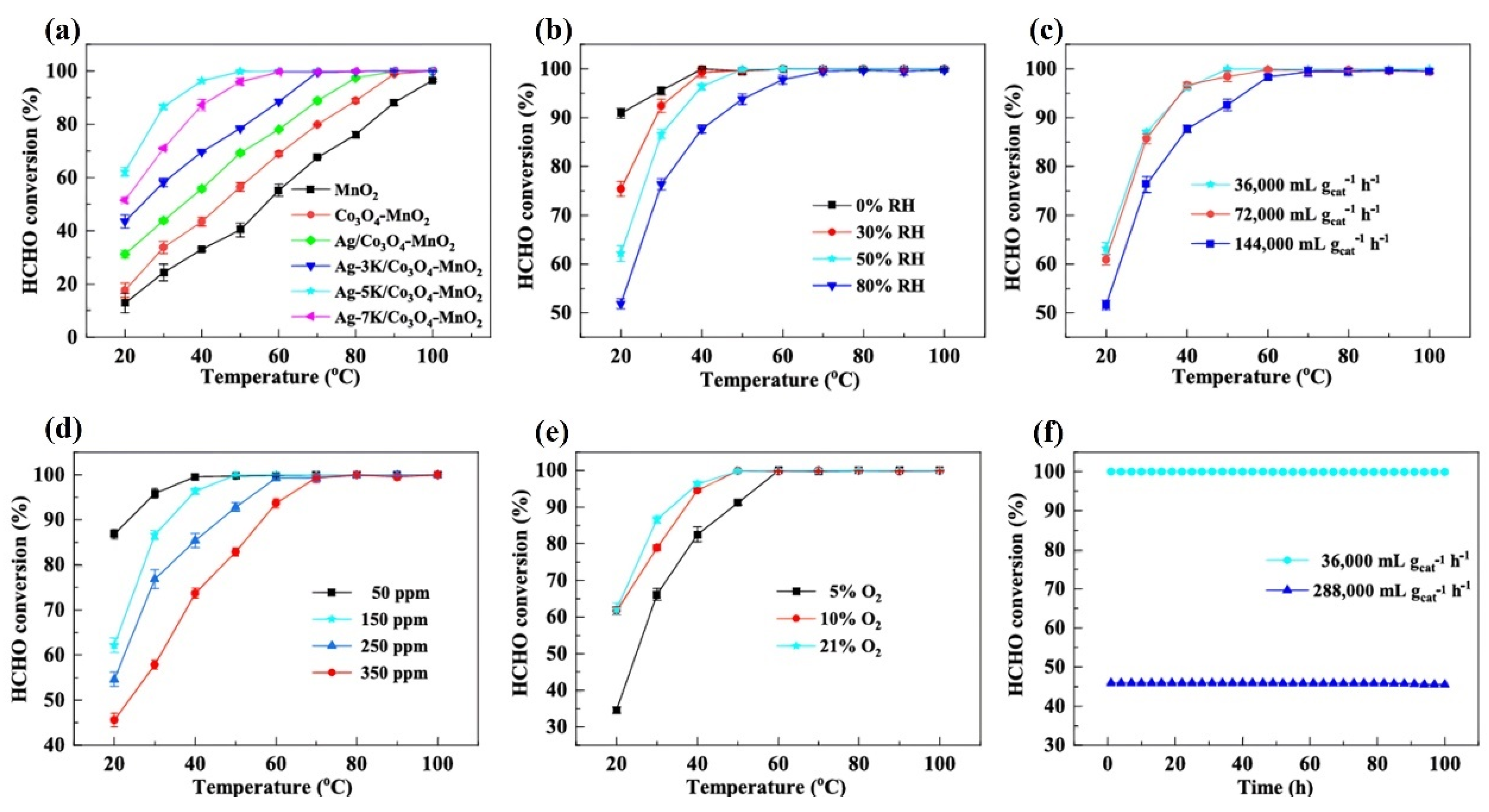
Lu et al. [88] synthesized the hollow sea urchin-shaped Ag-5K/Co3O4-MnO2 through template self-assembly and an impregnation method, as shown in Figure 10a. It achieved a complete conversion of 100 ppm HCHO at 50 °C, and it can maintain a 100% conversion rate even after continuous operation for 100 h. This study achieved efficient catalytic oxidation of formaldehyde (50 °C, 100% conversion) with low Ag loading (3 wt.%) through the design of a hollow sea urchin structure, K regulation of Ag electronic state, and Co-Mn synergy. However, as can be seen from Figure 10b–e, under other reaction conditions, Ag-5K/Co3O4-MnO2 does not have priority. Therefore, the additional amount of the alkali metal catalyst needs to be explored under specific experimental conditions.
Figure 10.
HCHO oxidation of the analyzed catalysts: (a) Effect of reaction temperature. (b) Effect of RH. (c) Effect of WHSV. (d) Effect of HCHO concentration. (e) Effect of O2 concentration. (f) Continuous experiment of HCHO oxidation on Ag-5K/Co3O4-MnO2 catalyst at 50 °C under condition of 150 ppm HCHO, 21 vol% O2/N2, RH =30% or 80%, WHSV =36,000 or 288,000 mL/(g·h)). Error bars represent the standard deviation of three runs. This figure has been adapted from a previous reference [88].
2.2. Non-Metal Oxide Supports
Compared with metal oxide carriers, non-metal oxide carriers have the advantages of high specific surface area, high thermal stability, and low cost of raw materials. They can provide an ideal platform for precious metals with low loading, high activity, and long lifespan. They have also been widely used in the oxidation of formaldehyde reactions. Liu et al. [74] prepared a Pd/USY catalyst with a large specific surface area using the acid treatment and impregnation methods. As can be seen from Figure 11, after being treated with 0.2 M HCl, the Pd/USY catalyst shows a smaller Pd particle size than the others. The Figure 12 shows that the catalyst treated with 0.2 M HCl can completely oxidize formaldehyde into carbon dioxide and water with 6 h under the conditions of 25 °C, 150 ppm HCHO, 20% O2, 35% RH, and WHSV = 150,000 mL/(g·h). This work is the first to apply the acid washing, aluminum removal, and hydroxylation strategy to USY molecular sieves, achieving efficient formaldehyde oxidation at room temperature. In the future, it can be extended to other molecular sieves (Beta, ZSM-5) or metal oxides (TiO2, CeO2) to verify its universality.
Figure 11.
(a,c,e,g) TEM images of the Pd/USY, Pd/USY-0.05, Pd/USY-0.10, and Pd/USY-0.20 catalysts. (b,d,f,h) particle size distributions of the Pd/USY, Pd/USY-0.05, Pd/USY-0.10, and Pd/USY-0.20 catalysts. This figure has been adapted from a previous reference [74].
Figure 12.
HCHO conversion over Pd/USY, Pd/USY-0.05, Pd/USY-0.10, and Pd/USY-0.20 catalysts. This figure has been adapted from a previous reference [74].
Guo et al. [71] employed a one-step solvent heat, impregnation, and calcination combined process to prepare a Pt-CeO2/N-rGO composite catalyst. As shown in Figure 13, the conversion rate of 100 ppm HCHO by Pt-CeO2/N-rGO reached 100% within 1 h at 30 °C and RH of 35. After continuous operation for 48 h, the activity still remained above 80%. This work achieves the synergistic goal of complete oxidation at room temperature and no secondary pollution through a three-pronged strategy of defect engineering, electronic coupling, and microstructure regulation, with low content (0.7%) of precious metals.
Figure 13.
(a) Catalytic activities for HCHO oxidation for the samples. Reaction conditions: 100 ppmV of HCHO, GHSV = 80,000 mL/(g·h), and RH = 35%. (b) Stability test of Pt-CeO2/N-rGO. Reaction conditions: T = 30 °C, 100 ppmV of HCHO, GHSV = 80,000 mL/(g·h), and RH = 35%. This figure has been adapted from a previous reference [71].
Nguyen et al. [72] used Ag nanoparticles as the active phase to systematically investigate the key role of mesoporous scale regulation in the oxidation of formaldehyde (HCHO) using ZSM-5 molecular sieve as the carrier. Through a three-step method of alkali de-silication, ion exchange, and chemical reduction, they constructed the Ag/Meso-ZSM-5 and Ag/ZSM-5 control systems. Figure 14 shows the relationship between the complete conversion rate of HCHO and temperature in the Ag/ZSM-5 and Ag/Meso-ZSM-5 catalysts under a relative humidity of 65%. In both Ag/Meso-ZSM-5 and Ag/ZSM-5, the catalyst activity was not observed until the temperature exceeded 120 °C. When the temperature exceeded 120 °C, Ag/Meso-ZSM-5 exhibited better catalytic performance than Ag/ZSM-5. Particularly at 200 °C, the proportion of HCHO converting to CO2 on Ag/Meso-ZSM-5 reached 70%, while the conversion rate shown by Ag/ZSM-5 was only 20%. This work first quantitatively correlated diffusion limitation with adsorption-desorption behavior, providing a reference structure-activity relationship for catalytic reactions of HCHO at low- and medium-temperature. Therefore, it can be seen that for catalyst carriers of the molecular sieve type, pre-treatment can significantly improve the catalyst’s activity.
Figure 14.
HCHO complete oxidation over Ag/Meso ZSM-5 and Ag/ZSM-5 (RH = 65%). This figure has been adapted from a previous reference [72].
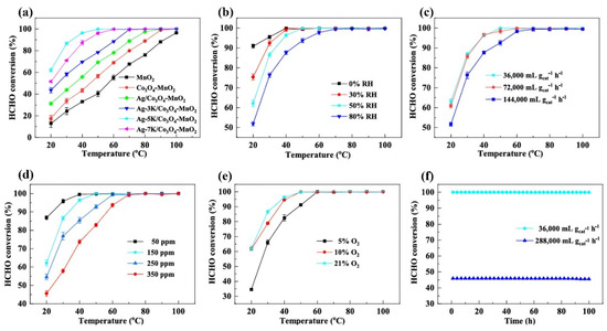
Li et al. [73] broke away from the traditional single active site-surface L-H mechanism approach and for the first time systematically applied the concept of tandem catalysis to the oxidation of low-concentration HCHO, using acidic ZSM-5 zeolite as the upstream activator and Ag/SBA-15 as the downstream oxidizer, as show in the Figure 15a, achieving a 100% conversion rate at 65 °C, with a 50-fold increase in activity compared to a single-functional Ag catalyst, and a significant reduction in the number of precious metals used, and the Figure 15c shows that the optimal mass ratio of ZSM-5 zeolite to Ag/SBA-15 is 1:4. This work provides a new paradigm for the treatment of low-temperature HCHO from the four aspects of design strategy, mechanism discovery, structure-activity relationship, and theoretical verification.
Figure 15.
Bifunctionality of ZSM-5−Ag/SBA-15, ZSM-5, and Ag/SBA-15 catalyst in HCHO conversion to CO2. (a) HCHO conversion to CO2. (b) Reaction activation energy, Ea. Individual ZSM-5 and Ag/SBA-15 components are listed for comparison. (c) Effect of mass ratio of ZSM-5 zeolite to Ag/SBA-15 component and (d) intimacy of the two components in composites. Reaction conditions: 60 °C, 100 ppm HCHO, 20% O2-Ar, and gas hourly space velocity (GHSV) with respect to ZSM-5−Ag/SBA-15 bifunctional catalysts is 36,000 mL/(g·h). This figure has been adapted from a previous reference [73].
3. Transition/Rare Earth Metal Catalysts
Although precious metal catalysts have high activity and selectivity at specific temperatures, their own prices are very high. Moreover, under certain harsh reaction conditions, such as high temperature, high pressure, and strong corrosive reaction environments, the active components of precious metal catalysts may undergo phenomena like sintering, poisoning, or loss, resulting in the deactivation of the catalyst. For instance, in a sulfur-containing environment at high temperature, sulfur atoms may combine with the active components of the precious metal catalyst, causing poisoning of the catalyst and reducing its catalytic performance. In contrast, transition metal catalysts are inexpensive, abundantly available, easy to prepare, highly stable, and have wide applications in VOC treatment. Usually, researchers first examine the catalytic performance of a single transition metal oxide catalyst. If the performance is not satisfactory, they then attempt to incorporate other metal elements such as copper (Cu), zirconium (Zr), cerium (Ce), etc., onto this single metal oxide. Furthermore, some studies have also utilized rare earth metal oxides such as cerium oxide (CeO2) for the catalytic oxidation of formaldehyde. Table 2 presents a summary of the research on the use of transition-metal oxide catalysts for the catalytic oxidation of formaldehyde. However, it cannot be concluded whether the catalytic activity of the composite metal oxide is definitely better than that of the single metal.
Table 2.
Summary of the catalytic oxidation of formaldehyde using transition-metal oxide catalysts.
3.1. Single Metal Oxide Catalysts
Under what circumstances should a single metal oxide catalyst be selected? The answer is high temperature (>80 °C), short operating period (<24 h), and high concentration (instantaneous concentration 200–1000 ppm). Jiao et al. [98] employed a two-step method of electrospinning and temperature-controlled sintering to prepare a Co3O4 porous nanofiber monolithic catalyst (labeled as Co-300 °C). As shown in Figure 16a,b, Co-300 °C exhibited the highest catalytic oxidation activity for HCHO, achieved a removal rate of 99% within 60 min, and maintained a conversion rate of 81.6% within 1600 min.
Figure 16.
(a) Dynamic test of Co3O4 and (b) static activity test of HCHO. This figure has been adapted from a previous reference [98]. Static testing and dynamic testing are conducted in a sealed, airflow-free reaction chamber and under continuous airflow conditions in a fixed bed, respectively.
He et al. [95] conducted a systematic study on how to achieve efficient adsorption and catalytic oxidation of formaldehyde at room temperature by regulating the specific surface area and surface-active oxygen content of MnOx. As shown in Figure 17a,c, MnOx-S-A completely removes HCHO (~1 ppm) within 1.25 h, and after 5 cycles, it still maintains a 100% removal rate. Figure 7b shows that the adsorption capacity of MnOx-S-A is as high as 75% in the initial 0.5 h, which is much better than other samples. In addition, Figure 17d underwent dynamic testing, the result shows that MnOx-S-A maintains a removal rate of >95% for 9 consecutive hours under GHSV = 150 L/(g · h) and ~1 ppm HCHO; In contrast, the activity of other catalysts rapidly decreases. In this article, it is proposed to induce the oxidation-reduction cycle of Mn3+/Mn2+ through acid treatment, simultaneously enhancing the density of oxygen vacancies, surface reactive oxygen species, and the stability of the mesoporous structure. As shown in Figure 16, MnOx-S-A performed the best under all test conditions, featuring high activity at room temperature, high stability, and high adsorption capacity. MnOx-S-A is a type of high specific surface area manganese oxide that regulates oxygen vacancies and reactive oxygen content through acid treatment. It possesses extremely strong adsorption capacity, room-temperature catalytic activity, and long-term stability, and has the potential for large-scale application in air purifiers, household filters, and vehicle deodorization modules. These three catalysts are all based on MnO2-KL and synthesized using different ratios and hydrothermal temperatures.
Figure 17.
(a) HCHO removal rate of MnO2-HS, MnO2-KL, MnOx-S, and MnOx-S-A in a static test (216L, ~1 ppm of HCHO). (b) HCHO removal rate after 0.5 h of the starting reaction for MnO2-HS, MnO2-KL, MnOx-S, and MnOx-S-A. (c) Corresponding HCHO removal on MnOx-S-A in five cycles. (d) HCHO removal rate of MnO2-HS, MnO2-KL, MnOx-S, and MnOx-S-A in a dynamic test (GHSV = 150 L/(g·h), ~1 ppm of HCHO, RH = 55%). This figure has been adapted from a previous reference [95].
Hua et al. [107] investigated the influence of the hydrothermal synthesis temperature on the performance of Co3O4 in catalyzing the oxidation of gaseous formaldehyde. As shown in Figure 18, the activity of the catalyst was tested under different reaction conditions. The Co3O4-RT catalytic activity is the best in an environment with low HCHO concentration, low flow rate, and no water. The Co3O4 synthesized at room temperature (Co3O4-RT) exhibits excellent catalytic oxidation performance for formaldehyde at low temperatures due to its high Co3+ content, abundant oxygen vacancies, good oxygen migration property, and exposed (111) active crystal faces. Moreover, it is cost-effective and has practical application potential.
Figure 18.
FA removal performance of the analyzed Co3O4 catalysts. Light-off curves (FA: 50 ppm in air, WHSV: 100,000 mL/(g·h), H2O content: 0, and O2 concentration: 21% (air)). Error bars represent the standard deviation of two runs. This figure has been adapted from a previous reference [107].
Chang et al. [108] prepared three different morphologies of cerium oxide (CeO2) by the hydrothermal method and systematically studied their performance differences in the catalytic oxidation of formaldehyde (HCHO). As shown in Figure 19, the CeO2-S achieved the highest conversion rate 87% at 120 °C, demonstrating the optimal activity. The CeO2 spherical nanosheet aggregates (CeO2-S) exhibit a high specific surface area, abundant oxygen vacancies, and surface hydroxyl groups. At 120 °C, they achieve an 87% conversion rate of formaldehyde and can be considered suitable for various scenarios of low-temperature formaldehyde purification.
Figure 19.
(a) Catalytic activity of CeO2 with different morphologies in HCHO oxidation. (b) Normalized reaction rates based on specific surface areas at 80 °C. Reaction conditions: [HCHO] = 500 ppm, total flow rate = 40 mL/min, GHSV = 10,000 mL/(g·h). This figure has been adapted from a previous reference [108]. CeO2-S, CeO2-C, and CeO2-R represent spherical, cubic, and rod morphologies of cerium oxide, respectively.
3.2. Composite Metal Oxide Catalysts
The composite metal oxide outperforms the single metal oxide in terms of three key indicators: low-temperature activity, long-term stability, and resistance to water poisoning. It is the preferred solution for catalytic oxidation of formaldehyde at room temperature. Xu et al. [109] synthesized a series of La1-xMnO3 (x = 0–0.4) perovskites via the sol-gel method, introducing A-site cation vacancies (VLa) by adjusting the La/Mn ratio. In Figure 20 and Figure 21, EPR spectra and XPS spectra confirmed that the concentration of defect-induced oxygen vacancies (VO) increases linearly with the increase of La defects (reaching a peak at x = 0.3), but excessive defects (x = 0.4) lead to structural collapse and phase separation of Mn3O4. This study elucidates that A-site cation defects synergistically enhance the low-temperature oxidation activity of La1-xMnO3 perovskite towards HCHO by regulating the concentration of oxygen vacancies, electronic structure, and surface-active oxygen species, providing a new paradigm of defect engineering for the design of low-cost and high-efficiency air purification catalysts. Future efforts are needed to further optimize the low-temperature activity (<100 °C) and large-scale preparation process.
Figure 20.
HCHO catalytic oxidation over the La1-xMnO3 series (x = 0–0.4): (a) HCHO conversion into CO2 and (b) EPR spectra of the La1-xMnO3 series (x = 0–0.4). Inset: linear relationship between the amount of oxygen vacancies and the La-deficiency. This figure has been adapted from a previous reference [109].
Figure 21.
XPS spectra of (a) Mn 3s and (b) O 1s of the La1-xMnO3 series (x = 0–0.4). This figure has been adapted from a previous reference [109].
Yan et al. [110] adopted a three-step method involving co-precipitation, calcination, and NaBH4 reduction to construct Mn-doped cobalt oxide (R-MnxCo3−xO4). Figure 22 shows that Mn ions entered the Co3O4 lattice to replace Co sites, inducing lattice distortion. Figure 23 confirmed that Mn doping reduction increased the Vo concentration to 5.77% (atomic ratio) and the proportion of surface adsorbed oxygen (Oads) to 42.2% (compared to only 15.1% in Co3O4). This study elucidated the intrinsic correlation between oxygen vacancy concentration, electronic structure, and catalytic activity, proposing a synergistic strategy of “atomic doping reduction defect engineering”. This provides a universal design approach for developing non-precious metal, low-cost, high-stability catalysts for low-temperature HCHO purification, combining theoretical value with industrialization potential.
Figure 22.
(a) Raman spectra of Co3O4, MnCo2O4, and R-MnCo2O4 and (b,c) XRD patterns. This figure has been adapted from a previous reference [110]. Figure c is cited from previous publications, and there is no clearer version, please keep it.
Figure 23.
(a) XPS spectra of Co3O4, MnCo2O4 and R-MnCo2O4, (b) Co 2p, (c) Mn 2p and (d) O 1s. This figure has been adapted from a previous reference [110].
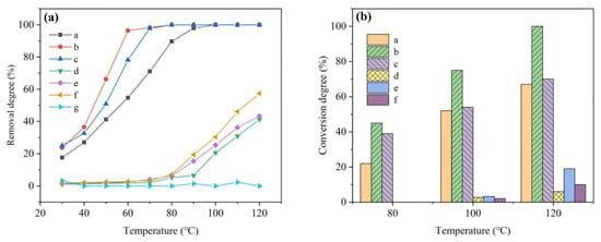
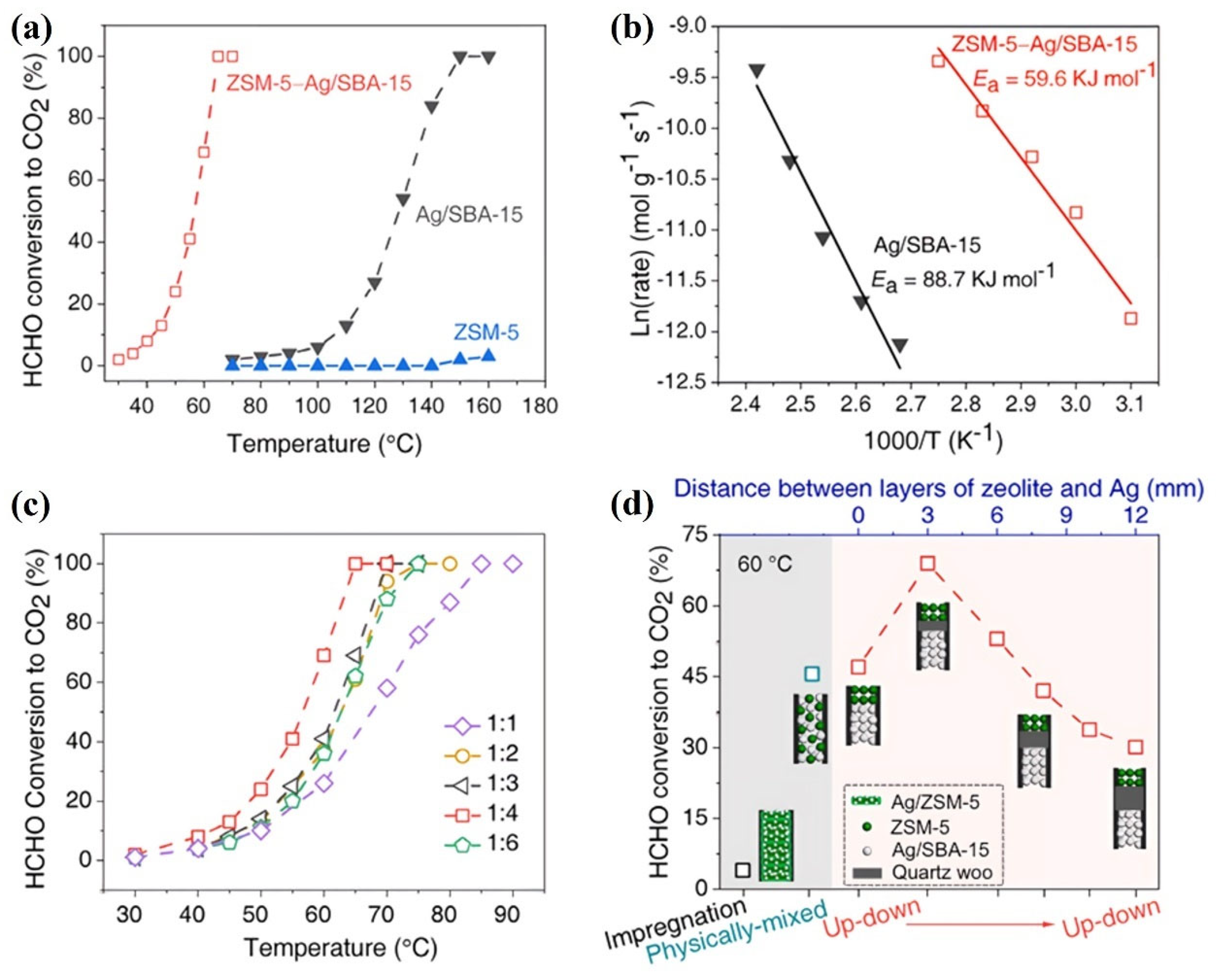
Yu et al. [111] employed a hydrothermal co-precipitation-in-situ redox method to anchor MnOx (δ-MnO2, Mn3O4) onto MgAl-LDH layered supports with varying Mg/Al ratios (1:1, 3:1, 5:1). As shown in the Figure 24, the 10Mn/Mg3Al1-LDH achieved 100% HCHO removal and a 45% CO2 yield at 80 °C, outperforming the 5 wt.% and 20 wt.% samples. 10Mn/Mg3Al1-LDH, with hydrotalcite carrier-manganese oxide-hydroxyl synergy at its core, exhibits excellent HCHO oxidation performance under low temperature, high humidity, and high space velocity conditions, combining low cost with scalability potential. In the future, further optimization of carrier lattice defects and MnOX-carrier interface electronic coupling is needed to reduce the complete oxidation temperature to <60 °C, and to expand to the synergistic purification of other VOCs.
Figure 24.
HCHO removal degree (a) and conversion degree (b) of 10Mn/Mg1Al1-LDH. a, b, c, d, e, f, g represents 10Mn/Mg3Al1-LDH, 10Mn/Mg5Al1-LDH, Mg1Al1-LDH, Mg3Al1-LDH, Mg5Al1-LDH, and blank, respectively. This figure has been adapted from a previous reference [111].
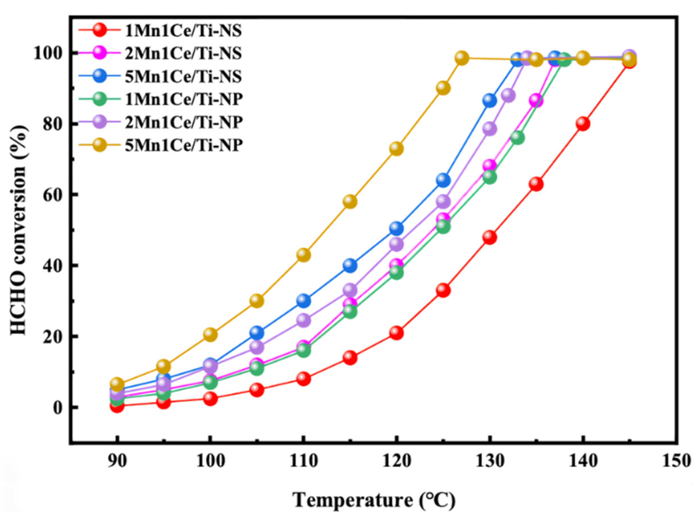
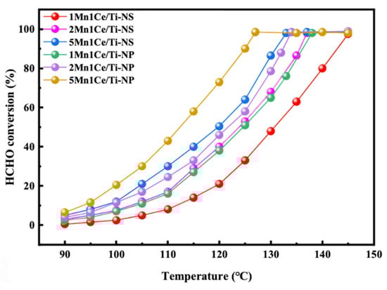
Zheng et al. [112] employed a hydrothermal-impregnation method to anchor active components with varying Mn/Ce ratios (1:1–5:1) onto anatase TiO2 with exposed {001} (Ti-NS) and {101} (Ti-NP) crystal faces. Figure 25 revealed the following activity sequence: 5Mn1Ce/Ti-NP > 5Mn1Ce/Ti-NS, achieving a HCHO conversion rate of 98.5% at 127 °C with the lowest activation energy (80.55 kJ/mol). Figure 26 and Figure 27 indicate that the Ti-NP-supported catalyst possessed higher surface chemisorbed oxygen (28.25%) and stronger Lewis acidic sites, facilitating HCHO adsorption and the stepwise oxidation of dioxymethylene (DOM) to formate to CO2. The study elucidated that the crystal faces of the support dominate the reaction pathway and energy barriers by regulating the electronic structure of the active components, oxygen vacancy density, and surface acidity. It proposed the counterintuitive concept that “the low-activity {101} crystal face actually constructs a high-activity Mn-Ce interface,” offering a universal strategy for optimizing non-precious metal catalysts through crystal face engineering, combining theoretical value with practical prospects.
Figure 25.
Catalytic activity tests for 1Mn1Ce/Ti-NS, 2Mn1Ce/Ti-NS, 5Mn1Ce/Ti-NS, 1Mn1Ce/Ti-NP, 2Mn1Ce/Ti-NP, and 5Mn1Ce/Ti-NP. This figure has been adapted from a previous reference [112].
Figure 26.
(a) O2-TPD and (b) H2-TPR curves for Ti-NS, 1Mn1Ce/Ti-NS, 2Mn1Ce/Ti-NS, 5Mn1Ce/Ti-NS, Ti-NP, 1Mn1Ce/Ti-NP, 2Mn1Ce/Ti-NP, and 5Mn1Ce/Ti-NP. This figure has been adapted from a previous reference [112].
Figure 27.
(a–f) Ce 3d, Mn 2p and O 1 s spectra of 1Mn1Ce/Ti-NS, 2Mn1Ce/Ti-NS, 5Mn1Ce/Ti-NS and 1Mn1Ce/Ti-NP, 2Mn1Ce/Ti-NP, 5Mn1Ce/Ti-NP. This figure has been adapted from a previous reference [112].
4. Main Factors Affecting HCHO Oxidation Efficiency
The catalytic oxidation performance of formaldehyde is influenced by the preparation method of the catalyst, microscopic morphology and structure, active sites, surface oxygen species, and experimental conditions such as reaction temperature, humidity, and gas flow rate. In particular, humidity has a significant impact on the catalytic oxidation of formaldehyde.
4.1. Effect of Preparation Method
The catalysts prepared by different methods have different morphologies (exposing different crystal planes), and therefore have different catalytic activities. In the oxidation of formaldehyde, the catalytic activity is the combined effect of multiple physical and chemical properties of the catalyst, such as surface oxygen vacancies and specific surface area.
Li et al. [101] prepared MnOX/Sep-I, MnOX/Sep-H, and MnOX/Sep-P by the impregnation, hydrothermal, and precipitation methods. It is a material synthesis method that is widely used nowadays. As shown in Figure 28a, the comparison of catalyst activity among the three different preparation methods reveals that Sep-H has the best activity (100% at 85 °C). Figure 28b–d indicate the catalytic activity of Sep-H under different concentrations, humidity, and space velocities. The data show that as the concentration, humidity, and space velocity increase, a higher temperature is required to achieve 100% conversion. Figure 29 represent the H2-TPR, O2-TPD, and CO2-TPD of three catalysts. From the H2-TPR profiles in Figure 29a, the low-temperature peak of Sep-H is the lowest (202 °C), indicating that its surface oxygen is the easiest to be reduced, which is beneficial for the oxidation of HCHO. The O2-TPD spectrum in Figure 28b shows that Sep-H has a lower-temperature peak, indicating that its surface oxygen activation ability is the strongest and it is the key active site for the reaction. The CO2-TPD spectrum in Figure 28c shows that the peak temperature of Sep-H is the lowest (201 °C) and the intensity is the highest, which is conducive to the desorption of CO2 products and prevents the blocking of active sites, thereby improving stability. Figure 30a represents the XPS full spectrum of the catalyst, which is used to confirm all the elements contained in the catalyst. Figure 30b shows that the three oxygen species are lattice oxygen, adsorbed oxygen, and hydroxyl; Figure 30c is the Mn 3s spectrum, which is used to calculate the active oxygen species and obtain the data Sep-H as the highest 2.31, thereby generating more Mn vacancies; Figure 30d is the Mn 2p spectrum, indicating the ratio of Mn3+/Mn4+, and from the fitted data it is concluded that Sep-H’s Mn3+/Mn4+ = 1.67:1, indicating that a high proportion of Mn3+ can promote the formation of oxygen vacancies.
Figure 28.
The performance of the catalytic oxidation of HCHO. (a) The catalytic activity of MnOX/Sep-H, MnOX/Sep-P, and MnOX/Sep-I; (b) Effects of different HCHO concentrations on catalytic oxidation of HCHO over MnOX/Sep-H; (c) Effects of different reaction humidity on catalytic oxidation of HCHO over MnOX/Sep-H; (d) Effects of different GHSV on MnOX/Sep-H catalyst activity. This figure has been adapted from a previous reference [101].
Figure 29.
(a) The H2-TPR, (b) O2-TPD profiles, and (c) CO2-TPD profiles of MnOX/Sep-H, MnOX/Sep-P, and MnOX/Sep-I. This figure has been adapted from a previous reference [101].
Figure 30.
The XPS patterns of wide-scan spectra (a), O 1s (b), Mn 3s (c), and Mn 2p (d) of MnOX/Sep-H, MnOX/Sep-P, and MnOX/Sep-I. This figure has been adapted from a previous reference [101].
It happens that there is a similar case, Li et al. [102] prepared δ-MnO2 by room-temperature co-precipitation, room-temperature in-situ growth method, and hydrothermal method. The highlight of this article is that by introducing GO, the agglomeration of MnO2 is effectively suppressed, resulting in a uniform dispersed nanorod structure, thereby maximizing the exposure of catalytic sites. Moreover, the 2D structure shortens the diffusion path of HCHO molecules and reduces the diffusion resistance, thereby enhancing the reaction mass transfer efficiency. Additionally, the synergistic effect between GO and MnO2 promotes the activation of O2 and H2O, thereby enabling the catalyst to have abundant surface reactive oxygen (ROS) and hydroxyl (-OH). Figure 31a,b shows that δ-MnO2@GO-RT has the best activity, maintaining a 100% conversion rate for over 400 min and with stable CO2 production. However, the conversion rates of other samples decrease significantly over time and have poor stability. Figure 31c,d indicates that δ-MnO2@GO-RT performs best at a relative humidity of 50%. This is because too low a humidity (<50%) will cause insufficient surface-OH, while too high a humidity (>75%) will lead to competition for adsorption by water molecules and occupation of active sites, both of which will result in poor performance. Figure 32a shows that all samples exhibit the δ-MnO2 (birnessite) characteristic peaks (12.3°, 36.8°, 65.7°). However, the peaks of δ-MnO2-RT and δ-MnO2@GO-RT are weaker, indicating an amorphous structure and more defects. Figure 32b shows that all surface samples exhibit Mn-O vibration peaks in the range of 499–637 cm−1, and the peak intensity of δ-MnO2@GO-RT is the weakest and red-shifted, indicating that the Mn-O bond is weaker and more oxygen vacancies are formed. The Mn 2p spectra in Figure 32c,d show that Mn2+, Mn3+, and Mn4+ coexist, and the proportion of Mn3+ in δ-MnO2@GO-RT is the highest (0.48), confirming the maximum number of oxygen vacancies and the strongest activity. As shown in Figure 33a, the reduction peak temperature of δ-MnO2@GO-RT is the lowest (276 °C), indicating that it is the most easily reducible and the active oxygen species are more easily released; and Figure 33b also shows that the oxygen desorption temperature of δ-MnO2@GO-RT is the lowest (150 °C), with the most surface active oxygen species (O2−, O−); Figure 33c indicates that the proportion of adsorbed oxygen (Oads) of δ-MnO2@GO-RT is the highest (0.48), confirming that it has the most oxygen vacancies; Figure 33d shows the adsorption ability of formaldehyde with the catalyst, and the desorption temperature of HCHO from δ-MnO2@GO-RT is the highest (107 °C), indicating that the adsorption capacity of HCHO is the strongest.
Figure 31.
(a) HCHO removal efficiency and (b) corresponding CO2 concentration as a function of time over δ-MnO2 and δ-MnO2@GO samples (HCHO concentration = 100 ppm, air as balance gas, temperature ~ 25 °C, RH =50%, GHSV =72 L/g·h); (c) HCHO removal efficiency and (d) corresponding CO2 concentration as a function of time over δ-MnO2@GO-RT at different relative humidity. (RH =0%, 25%, 50%, 75%, and 100%). This figure has been adapted from a previous reference [102].
Figure 32.
(a) XRD patterns of various δ-MnO2 and GO samples, (b) Raman spectra of various δ-MnO2 samples from 200 to 1000 cm−1 (the inset displays the magnified Raman spectra of δ-MnO2-RT and δ-MnO2@GO-RT), and XPS spectra of various δ-MnO2 samples: (c) survey spectrum and (d) Mn 2p spectrum. This figure has been adapted from a previous reference [102].
Figure 33.
(a) H2-TPR spectra, (b) O2-TPD-MS spectra of various δ-MnO2 and GO samples, (c) O 1s spectra, and (d) HCHO-TPD-MS spectra of various δ-MnO2 samples. This figure has been adapted from a previous reference [102].
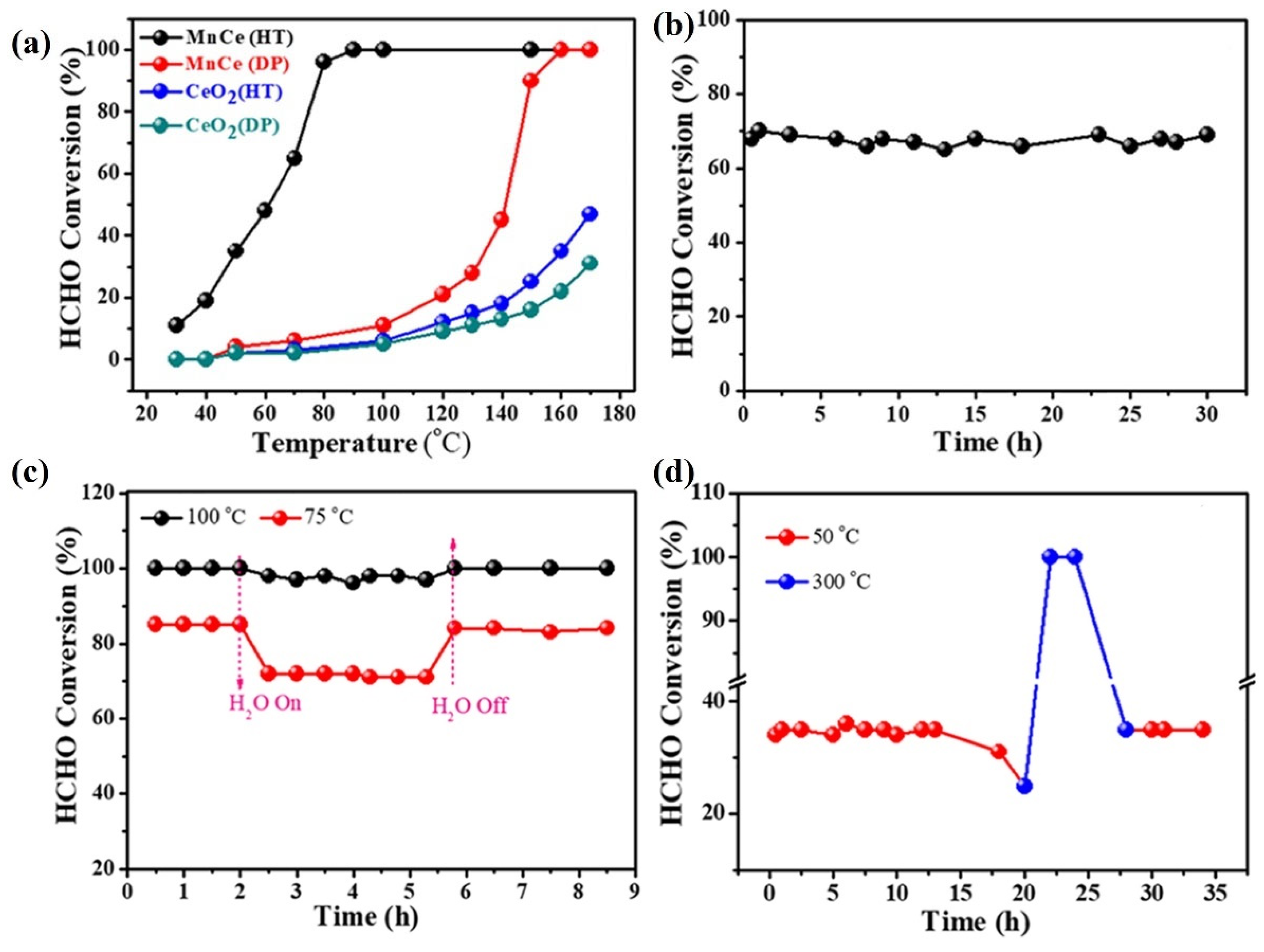
Wang et al. [113] compared the performance differences in the complete oxidation of formaldehyde (HCHO) at low temperatures between MnOX-CeO2 catalysts prepared by the two-step hydrothermal (HT) method and the deposition-precipitation (DP) method. As shown in Figure 34a,b, the MnCe (HT) prepared by the hydrothermal method can achieve 100% HCHO conversion at 90 °C. Its activity is 6 times that of the DP method, and it maintains no deactivation during continuous operation for 30 h at 75 °C, demonstrating excellent stability. Figure 34c shows that when the humidity is 5%, the activity of MnCe (HT) decreases by 10% at 75 °C, and there is almost no effect at 100 °C, indicating that the deactivation is reversible and is mainly due to competitive adsorption of water vapor. Figure 34d indicates the regeneration ability of the catalyst. After running at 50 °C for 10 h, MnCe (HT) can fully restore its activity when heated to 300 °C. Thus, it can be concluded that the MnCe (HT) catalyst prepared by the hydrothermal method has low-temperature high activity, moisture resistance, and reversible regeneration capability. As shown in Figure 35a,b, the peak intensity ratio I646/I458 of Mn-O (646 cm−1) to Ce-O (458 cm−1) for MnCe (HT) and MnCe (DP) is 1.22 and 0.85, respectively. This indicates that the surface of MnCe (HT) has a higher content of Mn-O and more active sites; subsequently, Figure 35c,d confirmed that the MnOX-CeO2(HT) sample exhibits a higher content of surface-active oxygen and a lower lattice oxygen reduction temperature (352 °C vs. 425 °C), indicating stronger oxygen migration capability.
Figure 34.
(a) HCHO oxidation activities of MnCe (HT), MnCe (DP), and reference CeO2 catalysts. (b) Stability of MnCe (HT) catalyst under HCHO oxidation conditions at 75 °C. (c) Effect of 5% of moisture on the catalytic activity. (d) Regeneration of MnCe (HT) catalyst. This figure has been adapted from a previous reference [113].
Figure 35.
(a) Raman spectra, (b) Raman peak intensity ratio of 646 cm−1 and 458 cm−1 (I646/I458), (c) O2-TPD profiles of MnCe (HT) and MnCe (DP), and (d) H2-TPR profiles of MnCe (HT) and MnCe (DP). This figure has been adapted from a previous reference [113].
Figure 36 indicates that the MnOX-CeO2(HT) sample has a higher content of Mn4+ on its surface (49.3% vs. 22.5%), providing more active centers for HCHO oxidation; a higher proportion of Ce3+ (44.9% vs. 20.5%), which induces a large number of oxygen vacancies and chemically adsorbed oxygen (Oα, 58.6% vs. 48.1%) through the synergistic effect of Ce4+ + Mn3+ → Ce3+ + Mn4+.
Figure 36.
(a) Ce 3d, (b) Mn 2p (c) and O 1 s XPS spectra of MnCe (HT) and MnCe (DP) catalysts. This figure has been adapted from a previous reference [113].
4.2. Effect of Reaction Conditions
Different experimental conditions (temperature and humidity, space velocity or flow rate, and the initial HCHO concentration) can lead to different conversion rates. The following provides a summary.
4.2.1. Temperature and Humidity
On one hand, the change in temperature directly regulates the migration ability of surface lattice oxygen and the reaction energy barrier; on the other hand, humidity can either promote the activation of HCHO through hydroxylation or inhibit the performance due to competitive adsorption and pore blockage. Therefore, it is crucial to systematically clarify the effect of temperature-humidity coupling on the catalytic oxidation efficiency of formaldehyde. Xie et al. [114,115] studied the activity of different catalysts within the humidity range of 10–100%. The results (Figure 37a,b) show that increasing the RH from 10–100% and 50–75% improved removal efficiency, which is because surface hydroxyl promotes the activation of HCHO. However, when RH > 50%, the HCHO removal efficiency slightly decreases, which could be attributed to the excessive production of OH groups that partially covered the catalyst surfaces, resulting in less HCHO adsorption/activation. From another perspective, as can be seen from Figure 37, when the humidity remains constant, the HCHO removal efficiency increases as the temperature rises. Chen [90] studied the HCHO removal efficiency at humidity ranges from 35–75% over NiTi-LDH (shown in Figure 37c). Their results show that a HCHO removal efficiency of over 90% can still be maintained at 30–75% humidity (99.2% at 35% RH, 97.4% at 60% RH, 93.2% at 75% RH). Gao [92] demonstrated the effect of temperature on the catalytic process. As shown in Figure 37d, the results showed that the HCHO removal efficiency increased with the rise in temperature until complete removal was achieved. In conclusion, generally, the catalytic activity increases with the rise in temperature and also increases with the increase in humidity within a certain humidity range.

Figure 37.
Influence of moisture relative humidity (RH) on oxidative removal efficiency of HCHO over (a) C-MnO2, (b) Fe-MnO2, (c) NiTi-LDH, and (d) CoCrO4 catalyst. This figure has been adapted from a previous reference, (a) from [114], (b) from [115], (c) from [90], and (d) from [92].
4.2.2. Space Velocity or Total Flow Rate
In the large-scale application of HCHO catalytic oxidation in a fixed bed, the gas space velocity (GHSV) or flow rate often becomes the key factor determining the mass transfer-reaction equilibrium, if the space velocity is too low, the reactants will have a longer residence time on the catalyst surface, which is beneficial for deep oxidation but results in an increase in side reactions; if the space velocity is too high, due to the shortened contact time and increased external diffusion resistance, the penetration phenomenon is prone to occur, and the activity will rapidly decline. Hua [96] studied the effect of flow rate on the HCHO conversion rate (flow rates of 50, 100, 200, 300, and 400 mL/min) over 1-MnCo2O4, Figure 38a show that the conversion rate of formaldehyde over 1-MnCo2O4 at room temperature is as follows: 100% at 50 mL/min (7022 mL/(g·h)) > 31% at 100 mL/min (14,043 mL/(g·h)) > 21% at 200 mL/min (28,087 mL/(g·h)) > 15% at 300 mL/min (42,130 mL/(g·h)) > 14% at 400 mL/min (56,173 mL/(g·h)). Li [101] studied the effect of different GHSV(3000, 6000, 12,000, 30,000 mL/(g·h)) on MnOX/Sep-H catalyst activity at 100 ppm of HCHO and RH of 50% (Figure 38b). results are as follows: 100% at 70 °C and 3000 mL/(g·h)) > 100% at ~80 °C and 6000 mL/(g·h)) > 100% at ~95 °C and 12,000 mL/(g·h)) > 100% at ~120 °C and 30,000 mL/(g·h)).
Figure 38.
Influence of space velocity on oxidative removal efficiency of HCHO over (a) 1-MnCo2O4, (b) MnOX/Sep-H catalyst. This figure has been adapted from a previous reference, (a) from [96], (b) from [101].
4.2.3. Initial HCHO Concentration
In real indoor air scenarios, the HCHO concentration often fluctuates dramatically within the range of several tens to several hundred parts per million (ppm), depending on the season, ventilation mode, and the intensity of pollution sources. This poses an extensive concentration window adaptability requirement for catalytic oxidation systems. Hua [96] studied the effect of different initial HCHO concentrations (50, 250, 500 ppm) on 1-MnCo2O4 catalyst activity. Figure 39a shows that the HCHO is completely converted at 30 °C,90 °C, and 100 °C for 50, 250, and 500 ppm, respectively. Analogously, Hua [97] studied the effect of different initial HCHO concentrations (50, 250, 500 ppm) on 1-CuMn2O4 catalyst activity (Figure 39b), the HCHO complete conversion at 30 °C, 100°C, and 100 °C for 50, 250, 500 ppm, respectively. In conclusion, the conversion rate of formaldehyde decreases as the initial concentration of formaldehyde increases.
Figure 39.
Influence of initial HCHO concentration on oxidative removal efficiency of HCHO over (a) 1-MnCo2O4, (b) 1-CuMn2O4 catalyst. This figure has been adapted from a previous reference, (a) from [96], (b) from [97].
4.2.4. Catalyst Dosage
The amount of catalyst not only directly affects the economic efficiency and operating cost of the reactor, but also has a significant impact on the catalytic activity. An appropriate amount of catalyst can ensure that reactants have sufficient contact with the active sites, thereby increasing the reaction rate and conversion rate; while an excessive or insufficient amount of catalyst may lead to the waste of active sites or incomplete conversion of reactants. Therefore, in-depth exploration of the influence of catalyst dosage on the catalytic oxidation performance of formaldehyde has important scientific significance and application value for the catalytic system. Hua [96] studied the effect of different catalyst dosages (20,40,60 mg) on 1-MnCo2O4 catalyst activity at room temperature, as shown in Figure 40a, the catalytic activity sequence is 100% at 60 mg, 28.8% at 40 mg, and 5.7% at 20 mg. Zhang [82] studied the effect of different catalyst dosage (0.05, 0.1,0.2 g) on Ag5-LCO-I catalyst activity at room temperature. Figure 40c shows that the HCHO removal is ~20%, ~50%, ~60% for 0.05 g, 0.1 g, and 0.2 g, respectively. Hua [97] studied the effect of different catalyst dosages (30, 60, 120 mg) on 1-CuMn2O4 catalyst activity at room temperature. The catalytic activity sequence was 100% at 60 mg and 120 mg, ~20% at 30 mg (Figure 40b). Increasing the amount of catalyst can enhance the removal rate of formaldehyde. However, there is a saturation point beyond which the improvement in removal rate becomes limited.
Figure 40.
Influence of catalyst dosage on oxidative removal efficiency of HCHO over (a) 1-MnCo2O4, (b) 1-CuMn2O4, and (c) Ag5-LCO-I. This figure has been adapted from a previous reference, (a) from [96], (b) from [97], and (c) from [82].
In conclusion, an increase in temperature, moderate humidity (30–75%), low space velocity, low initial concentration, and an appropriate amount of catalyst are conducive to the catalytic oxidation of formaldehyde.
5. Reaction Mechanism
A clear and definite catalytic mechanism for the oxidation of formaldehyde can not only clarify the catalytic performance but also enable researchers to better understand the reaction process and provide guidance for designing efficient catalysts to eliminate formaldehyde. Currently, discussions on the mechanism of catalytic oxidation of formaldehyde have been relatively complete. There are mainly reaction mechanisms for the catalyst system of precious metals and metal oxides.
In the catalytic reaction mechanism, the Eley-Rideal (E-R) mechanism, the Langmuir-Hinshelwood (L-H) mechanism, and the Mars-Van Krevelen (MVK) mechanism respectively correspond to three classic surface reaction models. In the oxidation reaction of formaldehyde, if HCHO and O2 share the same adsorption sites, the reaction mainly proceeds through the E-R mechanism; When the adsorption of HCHO and O2 occurs at separate sites (such as hydroxyl groups and active metals), the reaction proceeds through the L-H mechanism. Additionally, when oxygen vacancies are easily formed on the catalyst surface (such as the oxygen storage-discharge cycle of CeO2), the main reaction mechanism is the MVK mechanism [75,76,116,117].
5.1. Reaction Mechanism on Noble Metal Catalysts
The mechanism of catalytic oxidation of formaldehyde involves multiple steps, including the adsorption, activation, oxidation reaction of formaldehyde molecules, and the desorption of the final products. A thorough understanding of these steps is crucial for the design and optimization of catalysts. Zeng et al. [118] proposed a mechanism for the catalytic oxidation of HCHO over the Pt/NiO-HNF catalyst, as shown in Figure 41. Firstly, HCHO is adsorbed onto the OH groups on the surface of the catalyst through hydrogen bonds, while the O2 molecule is adsorbed onto the Pt nanoparticles and subsequently activated to generate reactive oxygen species. Subsequently, one of the oxygen species participates in the oxidation of HCHO, converting it into dioxymethylene (DOM). Another reactive oxygen species then interacts with one of the hydrogen atoms in DOM to form an OH group, further promoting the oxidation of DOM into formic acid salt substances. Finally, under the action of the active OH group, the formic acid salt substances undergo further oxidation and decomposition, ultimately generating CO2 and H2O, which are released from the catalyst surface and thereby restoring the active sites on the catalyst. Ye [119] proposed a mechanism for the catalytic oxidation of HCHO over the Pt-Au/TiO2 dual noble metal catalyst. Firstly, gold nanoparticles can activate the surface oxygen species on titanium dioxide, while formaldehyde molecules are adsorbed onto the active oxygen species on the titanium dioxide surface and rapidly transformed into dissolved organic matter (DOM) species. Meanwhile, oxygen molecules are adsorbed onto Pt nanoparticles and are activated. Then, the activated oxygen can further oxidize the DOM into formate species. Subsequently, the formate species are completely oxidized to the adsorbed CO2 and H2O under the action of the active oxygen species generated by the Pt nanoparticles. Jiang [45] proposed a mechanism for the catalytic oxidation of HCHO over the Ag/CeO2 catalyst. Interestingly, during the adsorption process, the adsorption occurs through the oxygen vacancy sites on CeO2 rather than through hydrogen bonding; moreover, the main intermediates formed for different morphologies of cerium oxide are also different. For example, on the CeO2-com surface, HCHO mainly forms DOM intermediates, while on the CeO2-rod surface, due to the presence of oxygen vacancies, HCHO is more likely to form formate intermediates. This is quite novel and slightly different from previous studies. Analogously, Bu [50] proposed a mechanism for the catalytic oxidation of HCHO over the Au/CeO2 catalyst. He mentioned that the strong interaction between Au and CeO2 leads to the formation of Au3+ and more oxygen vacancies at the interface, which greatly enhances the activation of formaldehyde. In addition, the strong Au-CeO2 interaction promotes the release of a large amount of active surface oxygen, enhancing the ability to form formate species.
Figure 41.
Schematic diagram of the reaction pathway of HCHO oxidation over (a) Pt/NiO-HNF, (b) Ag/CeO2, (c) Pt-Au/TiO2, and (d) Au/CeO2 catalysts. This figure has been adapted from a previous reference, (a) from [118], (b) from [45], (c) from [119], and (d) from [50]. The blurred parts in Figure c are (CO2)ads, (H2O)ads, Ov, respectively.
In conclusion, first of all, we can observe that the adsorption methods of different materials may vary. For instance, they may be adsorbed through hydrogen bonds or at the oxygen vacancies on the surface. Secondly, different precious metals have different functions. For example, Au can enhance adsorption through interaction with the carrier and form more oxygen vacancies, promoting the release of a large amount of active surface oxygen, while Pt can activate oxygen molecules and provide more oxygen species to facilitate the oxidation reaction.
5.2. Reaction Mechanism on Transition/Rare Earth Metal Catalysts
After discussing the reaction mechanism of the catalytic oxidation of formaldehyde by precious metal catalysts, this chapter will systematically review the interactions between the surface-active sites of non-precious metal catalysts and the formaldehyde molecules, revealing the formation and transformation pathways of reaction intermediates, as well as the generation and desorption processes of the final products. These studies are helpful in understanding the microscopic mechanism of non-precious metal catalysts in the formaldehyde oxidation reaction.
Chang [108] proposed a mechanism for the catalytic oxidation of HCHO over the CeO2 catalyst. It is worth noting, as shown in Figure 42, that they provided a detailed explanation of the three adsorption behaviors of the formaldehyde material surface rather than just one adsorption behavior. The intermediates generated by different adsorption behaviors are slightly different, which is similar to the catalytic oxidation mechanism of formaldehyde by the aforementioned noble metal catalysts. Firstly, HCHO adsorbs onto the surface of CeO2 through hydrogen bonding with the OH on the surface, generating monodentate acids and hydroxide ions. Secondly, HCHO is adsorbed on the bridging sites on the surface of CeO2 by the interaction with the C and O atoms in HCHO and the O and Ce atoms in CeO2. This forms a bidentate acid. Thirdly, the oxygen atom in HCHO will insert into the oxygen vacancy, causing the C-H bond to break and forming the CHO group. Subsequently, the surface oxygen species reacts with CHO to form a monodentate acid. Zheng [120] proposed a mechanism for the catalytic oxidation of HCHO over the Mn/Ti catalyst. They summarized the entire process of formaldehyde catalytic oxidation into a 10-step cycle and pointed out that the MVK reaction pathway was carried out on the Mn/Ti surface. Lu [121] proposed a mechanism for the catalytic oxidation of HCHO over the CeO2@MnO2-5 catalyst. They proposed the reaction mechanisms under both water and non-water conditions. Different conditions led to different adsorption behaviors. In the presence of water, adsorption occurred through hydrogen bonding with the surface hydroxyl groups. In the absence of water, adsorption took place through surface-active oxygen species and Mn sites. The former oxidizes the entire process through the surface hydroxyl groups, while the latter oxidizes the entire process through the surface adsorption of oxygen. Fang [122] proposed a mechanism for the catalytic oxidation of HCHO over the MnO2-Iso catalyst. They explained that oxygen vacancies activate oxygen molecules to generate reactive oxygen species. These reactive oxygen species react with water to form hydroxyl groups, and ultimately, under the action of hydroxyl groups, they are oxidized into carbon dioxide and water.
Figure 42.
Schematic diagram of reaction pathway of HCHO oxidation over (a) CeO2, (b) Mn/Ti, (c) CeO2@MnO2-5, and (d) MnO2-Iso catalyst. This figure has been adapted from a previous reference, (a) from [108], (b) from [120], (c) from [121], and (d) from [122].
6. Conclusions and Outlook
This review provides the latest research in the catalytic oxidation of HCHO over noble metal and Transition oxide catalysts, and the factors affecting the catalytic performance of the catalyst and mechanisms have been discussed. Future research on catalyst development should focus on exploring novel materials and synthesis methods to improve the catalytic performance. For example, designing catalysts with hierarchical structures, core-shell architectures, or nano-sized particles can enhance the surface area and active sites. Additionally, combining experimental studies with theoretical calculations can provide deeper insights into the reaction mechanisms and guide the rational design of catalysts.
For the mechanism study of the HCHO catalytic oxidation process, the first step of the entire catalytic oxidation process is adsorption. This step is in line with the three classic adsorption models (MVK, L-H, E-R). In this paper, we propose a summary that in the presence of water, surface active oxygen species can generate hydroxyl groups. The formaldehyde molecule is adsorbed by hydrogen bonds with surface hydroxyl groups. When there is strong metal interaction, it may adsorb on oxygen vacancies or the bridging points of certain material surface atoms. The entire mechanism process can be summarized as follows: Formaldehyde adsorption, formaldehyde reacts with reactive oxygen species to form DOM, which is then oxidized into formate species. Finally, it may directly generate carbon dioxide and water, or it may first generate carbon monoxide and then be oxidized to indirectly generate carbon dioxide.
In summary, the conclusion is as follows:
- Elevating the temperature is conducive to the catalytic oxidation of formaldehyde. This is not only beneficial for the single aspect of formaldehyde catalytic oxidation, but it can also be extended to the field of catalysis
- Regarding humidity, in the field of catalytic oxidation of formaldehyde, the optimal humidity range is between 30% and 75%. However, this conclusion cannot yet be drawn for other reactions
- Regarding the initial concentration of target pollutants, it is generally believed that the lower the initial concentration, the easier it is to remove. Space velocity is also a major factor affecting catalytic efficiency. When the space velocity is low, the contact time between reactants and catalysts is longer, which is conducive to a more thorough reaction
- The amount of catalyst used is generally appropriate at 100–200 mg, and an increase in dosage does not have a particularly significant impact on the catalytic oxidation efficiency of formaldehyde
Strategies for improving catalyst stability:
- Surface modification and functionalization, the introduction of specific functional groups or protective layers on the surface of catalysts, can improve their resistance to corrosion and poisoning.
- Optimization of carrier structure, by regulating the pore structure, surface defects, or morphology of the carrier, the interaction between the active component and the carrier can be enhanced, inhibiting its migration and agglomeration.
- Doping modification, introducing heteroatoms (such as transition metals or non-metallic elements) into the catalyst, can optimize the electronic structure of the active sites, inhibit sintering, and agglomeration.
- Core-shell structure design, constructing a structure with an active component as the core and an inert material as the shell (such as a carbon shell or an oxide shell) can effectively isolate the reactants from the active sites, preventing their loss or poisoning.
However, there are still some challenges in the field of catalytic oxidation of formaldehyde and catalytic oxidation in general. Therefore, we propose the following outlook for the future:
- Upgrade of catalyst system: noble metals moving towards single atomization: Au, Pt, Pd, etc., will be anchored on defective carriers such as TiO2, CeO2, MnO2, etc., in the form of single atoms or sub-nanometer clusters, capable of completely oxidizing formaldehyde at room temperature or even below 0 °C.
- Defect engineering of transition metal oxides: Utilizing oxygen vacancies, lattice distortions, and interfacial heterojunctions (Co3O4-CeO2, MnOx-Fe2O3) to enhance the concentration of active oxygen species, achieving noble metal-free or low noble metal formulations.
- MOF/COF-derived porous catalysts: By pyrolyzing precursors such as ZIF-8 and MIL-100, N-doped carbon-coated metal nanoparticles are prepared, featuring both high specific surface area and hierarchical pores, addressing the issue of mass transfer limitations.
- Photo-thermal synergistic catalysis: Coupling visible light-responsive Ag/TiO2-x with traditional thermal catalysis, utilizing surface plasmon localized heating to reduce the apparent activation energy, and achieving room temperature natural light-driven formaldehyde oxidation.
Funding
The authors sincerely acknowledge the financial support from Special Fund for the Construction of a Strong Education Province in Jiangsu (Grant No. 1081072501001).
Data Availability Statement
No new data were created or analyzed in this study.
Conflicts of Interest
The authors declare no conflict of interest.
References
- Chen, R.; Sun, Z.; Hardacre, C.; Tang, X.; Liu, Z. The current status of research on the catalytic oxidation of formaldehyde. Catal. Rev. 2024, 66, 1028–1083. [Google Scholar] [CrossRef]
- Chai, L.; Zhai, W.; Liu, X.; Xing, G.; Zhang, B.; Zang, J.; Yang, Y.K.; Ma, J.Z. Room Temperature Catalysts for High Effective Degradation of Formaldehyde: Research Progresses and Challenges. ChemistrySelect 2024, 9, e202304418. [Google Scholar] [CrossRef]
- Chen, D.; Zhai, M.; Zhang, J.; Miao, L.; Li, K.; Wang, Z.; Wang, X. Incorporation of NiO on attapulgite supported Au catalyst for HCHO removal at low temperature. Surf. Interfaces 2025, 60, 106083. [Google Scholar] [CrossRef]
- Faria, D.L.; Scatolino, M.V.; de Oliveira, J.E.; Gonçalves, F.G.; Soriano, J.; de Paula Protásio, T.; Lelis, R.C.C.; de Carvalho, L.M.H.; Mendes, L.M.; Junior, J.B.G. Cardanol-based adhesive with reduced formaldehyde emission to produce particleboards with waste from bean crops. Environ. Sci. Pollut. Res. 2023, 30, 48270–48287. [Google Scholar] [CrossRef]
- Justo Alonso, M.; Madsen, H.; Liu, P.; Jørgensen, R.B.; Jørgensen, T.B.; Christiansen, E.J.; Myrvang, O.A.; Bastien, D.; Mathisen, H.M. Evaluation of low-cost formaldehyde sensors calibration. Build. Environ. 2022, 222, 109380. [Google Scholar] [CrossRef]
- Han, Y.; Lee, J.; Haiping, G.; Kim, K.-H.; Peng, W.; Bhardwaj, N.; Oh, J.-M.; Brown, R.J.C. Plant-based remediation of air pollution: A review. J. Environ. Manag. 2022, 301, 113860. [Google Scholar] [CrossRef]
- Su, G.; Xiong, J.; Li, Q.; Luo, S.; Zhang, Y.; Zhong, T.; Harper, D.P.; Tang, Z.; Xie, L.; Chai, X.; et al. Gaseous formaldehyde adsorption by eco-friendly, porous bamboo carbon microfibers obtained by steam explosion, carbonization, and plasma activation. Chem. Eng. J. 2023, 455, 140686. [Google Scholar] [CrossRef]
- Becker, A.; Nizami, I.; Ehrstein, E.; Lara-Ibeas, I.; Jean-Marc, P.; Louis, B.; Stéphane, L.C. Adsorption of gaseous formaldehyde on Y zeolites and on metal-organic frameworks. Microporous Mesoporous Mater. 2022, 343, 112136. [Google Scholar] [CrossRef]
- Chen, J.; Zhou, Z.; Miao, Y.; Liu, H.; Huang, W.; Chen, Y.; Jia, L.; Zhang, W.; Huang, J. Preparation of CS@BAC composite aerogel with excellent flame-retardant performance, good filtration for PM2.5 and strong adsorption for formaldehyde. Process Saf. Environ. Prot. 2023, 173, 354–365. [Google Scholar] [CrossRef]
- Deng, B.; Chen, Z.; Yang, L.; Guo, J.; Cheng, C.; Li, X.; Zhang, S.; Luo, S. Converting formaldehyde in methanol with MoO2 under irradiation: A pollution-free strategy for cleaning air. J. Hazard. Mater. 2024, 466, 133606. [Google Scholar] [CrossRef]
- Kuk, S.K.; Ji, S.M.; Kang, S.; Dong, S.Y.; Hyuk, J.K.; Min, S.K.; Oh, S.; Hyun, C.L. Singlet-oxygen-driven photocatalytic degradation of gaseous formaldehyde and its mechanistic study. Appl. Catal. B Environ. 2023, 328, 122463. [Google Scholar] [CrossRef]
- Cho, M.-S.; Vikrant, K.; Boukhvalov, D.W.; Kim, K. The Photocatalytic Efficacy of Potassium Hydroxide–Based Modification of Titanium Dioxide in the Oxidative Destruction of Gaseous Formaldehyde. Small 2025, 21, 2501387. [Google Scholar] [CrossRef] [PubMed]
- Wu, Y.; Liu, Y.; Shen, Z.; Song, M. S-scheme heterojunction Bi2MoO6/WO3 toward efficient photocatalytic oxidation of indoor gaseous formaldehyde under indoor temperature, humidity and sunlight irradiation conditions. Build. Environ. 2025, 282, 113297. [Google Scholar] [CrossRef]
- Wang, F.; Xie, J.; Zhang, S.; Huang, C. Superior Performance of the δ-MnO2 Ultrathin Nanoflower for Photocatalytic HCHO Oxidation. Inorg. Chem. 2025, 64, 6275–6285. [Google Scholar] [CrossRef]
- Guo, Y.; Gao, P.; Han, Q.; Feng, L.; Zhang, L. Enhancing visible light degradation of gaseous formaldehyde with CuOx/OVs-TiO2 photocatalyst loaded wallpaper: Preparation, efficacy and mechanism. Chemosphere 2025, 371, 144051. [Google Scholar] [CrossRef]
- Ma, Y.; Zhan, X.; Han, Y.; Cui, W.; Ye, X.; Li, J. The BiOBr/Bi2WO6/2K-g-C3N4 tri-heterojunction photocatalyst efficiently catalyzes the degradation of gaseous formaldehyde. Mater. Sci. Semicond. Process. 2025, 198, 109771. [Google Scholar] [CrossRef]
- Zhao, W.; Wang, G.; Song, S.; Wen, M.; Li, G.; An, T. Enhanced pizeopotential-mediated catalytic oxidation mechanism of formaldehyde and anti-deactivation performance onto ZnO surface. Appl. Catal. B Environ. Energy 2024, 353, 124057. [Google Scholar] [CrossRef]
- Wang, X.; Zhao, J.; Zhao, C.; Zhang, Y.; Mahmud, S.; Zhang, J. Ceramic Fiber Paper-Based Manganese Oxides Catalyst for Room Temperature Formaldehyde Oxidation. Catal. Lett. 2025, 155, 65. [Google Scholar] [CrossRef]
- Zhang, X.; Guo, L.; Wang, Y.; Lv, B.; Huang, Z.; Wu, X.; Zhao, H.; Jing, G.; Shen, H. Y single atoms boost MnO2 for efficient ambient formaldehyde catalytic oxidation. Sep. Purif. Technol. 2025, 362, 131962. [Google Scholar] [CrossRef]
- Chen, M.; Huang, X.; Zhong, Z.; Wang, P. MnO2·MnO nanocrystalline as a highly efficient cooperative catalyst for formaldehyde oxidation. Appl. Surf. Sci. 2025, 705, 163530. [Google Scholar] [CrossRef]
- Wang, F.; Zhang, Z.; Shi, J.; Zhang, K. Facile Synthesis of Highly Active and Ultrastable Palladium Catalysts for Formaldehyde Oxidation. ChemistrySelect 2025, 10, e202405669. [Google Scholar] [CrossRef]
- Hua, Y.; Wang, H.; Ding, Y.; Chang, Y.; Qu, Z. HPMo/SiO2||Ag/Al2O3 bifunctional catalyst for low-temperature formaldehyde oxidation via tandem catalysis. Chem. Eng. J. 2025, 519, 165479. [Google Scholar] [CrossRef]
- Zhong, Z.; Chen, M.; Huang, X.; Wang, P. Design and synthesis of Pt/TiO2 catalyst with abundant surface hydroxyl for formaldehyde oxidation. J. Hazard. Mater. 2025, 487, 137302. [Google Scholar] [CrossRef] [PubMed]
- Liu, X.; Li, J.; Guo, J.; Zhang, Y.; Wang, W.; Wu, F.; You, Z.; Hao, Z.; Zhang, Z. Porous graphitized carbon-supported Pt for catalytic oxidation of carbon monoxide and formaldehyde under ambient conditions. Sep. Purif. Technol. 2025, 361, 131512. [Google Scholar] [CrossRef]
- Zhang, W.; Xu, Y.; Lin, J. Enhanced efficient catalytic oxidation of formaldehyde using lignin-based fibers supported manganese dioxide. J. Mater. Sci. 2025, 60, 5765–5781. [Google Scholar] [CrossRef]
- Chen, T.; Liu, Y.; Li, Z.; Shen, X.; Zhan, J.; Zhou, H.; Yi, X. Alpha-MnO2 catalyst with high formaldehyde oxidation and moisture resistance by joint cerium modification and phosphoric acid post-treatment. Environ. Res. 2025, 279, 121788. [Google Scholar] [CrossRef]
- Wang, R.; Yu, C.; Gong, J.; Su, Q.; Chen, H.; Yang, C.; Sun, S.; Huang, Z.; Shen, H.; Zhao, H.; et al. Identification of active sites for formaldehyde oxidation on mesoporous Pt/CeO2 catalyst at ambient temperature and low humidity. Fuel 2025, 392, 134905. [Google Scholar] [CrossRef]
- Vikrant, K.; Kim, K.-H.; Kwon, E.E. Recent advances in the photothermocatalytic oxidation of formaldehyde in air. Adv. Colloid Interface Sci. 2025, 340, 103446. [Google Scholar] [CrossRef]
- Fan, J.; Wang, J.; Chang, B.; Xie, M.; Zhou, B.; Sun, P.; Dong, X. Nanostructured Cobalt Oxide Catalyst with a Three-Dimensional Flower-Like Structure for Photothermal Purification of Formaldehyde. ACS Appl. Nano Mater. 2025, 8, 6042–6051. [Google Scholar] [CrossRef]
- Ji, W.; Ren, M.; Jin, H.; Lou, Y.; Wang, S.; Fan, X.; Salma, T. Ball milling-assisted synthesis of attapulgite-rice husk biochar composites for efficient formaldehyde removal: Experimental and computational insights. Sep. Purif. Technol. 2025, 367, 132918. [Google Scholar] [CrossRef]
- Xu, K.; Zhou, X.; Zhang, H.; Chen, H. Construction of Hierarchical Porous Composite Aerogel for High-Efficient Removal of Low-Level Gaseous Formaldehyde. Small 2025, 21, 2503361. [Google Scholar] [CrossRef]
- Li, F.; Zhu, T.; Yang, J.; Yuan, B.; Zhang, X.; Ju, Q.; Li, C.; Wang, M.; Zhang, X. Biodegradable porous adsorbent for efficient formaldehyde removal from indoor air. Environ. Res. 2025, 275, 121453. [Google Scholar] [CrossRef]
- Xu, J.; Guo, M.; Lin, M.; Ma, C.; Chen, G. Three-dimensional nitrogen-doped modified activated carbon/graphene composite aerogel for highly efficient removal of indoor formaldehyde. J. Environ. Chem. Eng. 2025, 13, 115576. [Google Scholar] [CrossRef]
- Zheng, H.; Liu, Y.; Liu, Y.; Bai, S.; Ji, J.; Tian, S.; Tang, Z. Formaldehyde and water adsorption in MFI zeolite Channels: A molecular simulation study. J. Mol. Liq. 2025, 431, 127804. [Google Scholar] [CrossRef]
- Zheng, X.; Cui, Y.; Wu, Y.; Zhou, X.; Zhao, K.; Zhang, H.; Fang, L. Revealing the Mechanism of Pore Surface Structure in Adsorption of Trace Formaldehyde by Constructing Monolithic Carbon with Multiple Uniform Micropores and Surface Species. Environ. Sci. Technol. 2025, 59, 12397–12407. [Google Scholar] [CrossRef] [PubMed]
- Lim, D.-H.; Maitlo, H.A.; Younis, S.A.; Kim, K.-H. The practical utility of nitrogen doped TiO2 as a photocatalyst for the oxidative removal of gaseous formaldehyde. Mater. Today Nano 2024, 27, 100499. [Google Scholar] [CrossRef]
- Liu, X.; Ling, C.; Chen, X.; Gu, H.; Zhan, G.; Liang, C.; Wei, K.; Wu, X.; Wang, K.; Wang, G. Single Mn atom modulated molecular oxygen activation over TiO2 for photocatalytic formaldehyde oxidation. J. Colloid Interface Sci. 2024, 666, 12–21. [Google Scholar] [CrossRef]
- Sun, Y.; Feng, B.; Li, Q.; Tian, C.; Ma, L.; Li, Z. The Application of Bi-Doped TiO2 for the Photocatalytic Oxidation of Formaldehyde. Cryst. Res. Technol. 2022, 57, 202100231. [Google Scholar] [CrossRef]
- Bao, Z.; Wang, Y.; Hu, J.; Geng, J.; Ma, S.; Liang, H.; Huang, G.; Tian, B.; Feng, J.; Lu, Y. Heterojunction photocatalyst MnO2-CsSnI3 for highly efficient formaldehyde oxidation at room temperature. Chem. Eng. J. 2024, 497, 154697. [Google Scholar] [CrossRef]
- Huang, X.; Wu, K.; Yang, F.; Fu, R.; Ji, Y.; Kong, W.; Su, C.; Xiao, B. Redox photocatalysis CuFe-BTC for nitrate reduction and formaldehyde oxidation. Chem. Eng. J. 2025, 504, 158995. [Google Scholar] [CrossRef]
- Shi, Y.; Qiao, Z.; Liu, Z.; Zuo, J. Cerium Doped Pt/TiO2 for Catalytic Oxidation of Low Concentration Formaldehyde at Room Temperature. Catal. Lett. 2019, 149, 1319–1325. [Google Scholar] [CrossRef]
- Zheng, Z.; Zhang, C.; Li, J.; Fang, D.; Tan, P.; Fang, Q.; Chen, G. Efficient catalytic oxidation of formaldehyde by defective g–C3N4–anchored single-atom Pt: A DFT study. Chemosphere 2024, 361, 142517. [Google Scholar] [CrossRef] [PubMed]
- Hu, Q.; Liu, K.; Ye, J.; Ming, L.; Xu, J.; Cao, S. Hierarchical Pt/NiCo2O4 nanosheets decorated carbon nanofibers for room-temperature catalytic formaldehyde oxidation. Appl. Surf. Sci. 2023, 623, 157012. [Google Scholar] [CrossRef]
- Duan, C.; Meng, M.; Huang, H.; Wang, H.; Ding, H.; Zhang, Q. Ag-promoted Cr/MnO2 catalyst for catalytic oxidation of low-concentration formaldehyde at room temperature. Phys. Chem. Chem. Phys. 2023, 25, 10155–10165. [Google Scholar] [CrossRef] [PubMed]
- Jiang, G.; Su, Y.; Li, H.; Chen, Y.; Li, S.; Bu, Y.; Zhang, Z. Insight into the Ag-CeO2 interface and mechanism of catalytic oxidation of formaldehyde. Appl. Surf. Sci. 2021, 549, 149277. [Google Scholar] [CrossRef]
- Lu, S.; Su, C.; Wang, G.; Wang, H.; Xia, W.; Cui, J.; Zhu, Q. Metal–organic frameworks derived Ag/Co3O4–MnO2 for the catalytic oxidation of formaldehyde. React. Kinet. Mech. Catal. 2022, 135, 687–703. [Google Scholar] [CrossRef]
- Dong, N.; Fu, J.; Ye, Q.; Chen, M.; Fu, Z.; Dai, H. Effect of Preparation Method on Catalytic Performance of Ag/OMS-2 for the Oxidation of Ethyl Acetate and Formaldehyde. Catal. Surv. Asia 2020, 24, 259–268. [Google Scholar] [CrossRef]
- Li, Y.; Wang, C.; Zhang, C.; He, H. Formaldehyde Oxidation on Pd/TiO2 Catalysts at Room Temperature: The Effects of Surface Oxygen Vacancies. Top. Catal. 2020, 63, 810–816. [Google Scholar] [CrossRef]
- Tomar, S.; Bhadoria, B.S.; Jeong, H.; Choi, J.H.; Lee, S.-C.; Bhattacharjee, S. Single-Atom Pd Catalyst on a CeO2 (111) Surface for Methane Oxidation: Activation Barriers and Reaction Pathways. J. Phys. Chem. C 2024, 128, 8580–8589. [Google Scholar] [CrossRef]
- Bu, Y.; Chen, Y.; Jiang, G.; Hou, X.; Li, S.; Zhang, Z. Understanding of Au-CeO2 interface and its role in catalytic oxidation of formaldehyde. Appl. Catal. B Environ. Energy 2020, 260, 118138. [Google Scholar] [CrossRef]
- Chen, D.; Shi, J.; Shen, H. High-dispersed catalysts of core-shell structured Au@SiO2 for formaldehyde catalytic oxidation. Chem. Eng. J. 2020, 385, 123887. [Google Scholar] [CrossRef]
- He, T.; Rong, S.; Ding, D.; Zhou, Y.; Zhang, N.; He, W. Facet-Controlled Synthesis of Mn3O4 Nanorods for Photothermal Synergistic Catalytic Oxidation of Carcinogenic Airborne Formaldehyde. ACS Catal. 2023, 13, 8049–8062. [Google Scholar] [CrossRef]
- Kim, W.-K.; Verma, S.; Ahmadi, Y.; Cho, M.-S.; Kim, K.-H. The effects of metal-oxide content in MnO2-activated carbon composites on reactive adsorption and catalytic oxidation of formaldehyde and toluene in air. Sci. Total Environ. 2024, 926, 172137. [Google Scholar] [CrossRef]
- Wang, Y.; Liu, K.; Wu, J.; Hu, Z.; Huang, L.; Zhou, J.; Ishihara, T.; Guo, L. Unveiling the Effects of Alkali Metal Ions Intercalated in Layered MnO2 for Formaldehyde Catalytic Oxidation. ACS Catal. 2020, 10, 10021–10031. [Google Scholar] [CrossRef]
- Wang, X.; Wang, J.; Song, D.; Feng, J.; Li, Z. Highly unsaturated oxygen promotes formaldehyde catalytic oxidation on the defective Co3O4 (111) surface: A DFT study. J. Catal. 2025, 448, 116172. [Google Scholar] [CrossRef]
- Fan, Z.; Zhang, Z.; Fang, W.; Yao, X.; Zou, G.; Shangguan, W. Low-temperature catalytic oxidation of formaldehyde over Co3O4 catalysts prepared using various precipitants. Chin. J. Catal. 2016, 37, 947–954. [Google Scholar] [CrossRef]
- Liu, X.; Wang, C.; Li, Y.; He, H. Acid pretreatment of support promotes Pd/SiO2 activity for formaldehyde oxidation at room temperature. Catal. Sci. Technol. 2022, 12, 6540–6547. [Google Scholar] [CrossRef]
- Liu, X.; Lu, Y.; Chi, Y.; Lin, C.; Chen, X.; Qin, Q. Synthesis of Pd/SiO2 catalyst with outstanding ambient-temperature formaldehyde decomposition via NH3 treatment of silica supports. J. Environ. Sci. 2025, 154, 774–783. [Google Scholar] [CrossRef]
- Dong, H.; Yang, H.; Ning, Y.; Liu, F.; Bradley, R.; Zhao, B.; Wu, W. Large-scale facile green synthesis of porous silver nanocubes on monolithic activated carbon for room-temperature catalytic oxidation of formaldehyde. Appl. Phys. A 2022, 128, 976. [Google Scholar] [CrossRef]
- Wang, S.; Yuan, F.; Liang, J.; Peng, L.; Li, C.; Sun, Q.; Sun, Z. Enhanced photo-assisted thermal catalytic oxidation of formaldehyde via abundant surface adsorbed oxygen in Co3O4 with the assistance of natural zeolite. Microporous Mesoporous Mater. 2024, 382, 113401. [Google Scholar] [CrossRef]
- Yu, L.; Ji, J.; Dong, T.; Liu, B.; Li, K.; Huang, H. Dual function catalysis of Pd/desilicated-ZSM-5 for formaldehyde oxidation at ambient temperature. Appl. Catal. B Environ. Energy 2025, 365, 124981. [Google Scholar] [CrossRef]
- Yang, H.; Zhou, Y.; Cheng, X.; Lu, B.; Liu, X.; Deng, B.; Peng, S.; Duan, Z. Preparation of MnO2@MPIA catalysts with a controlled oxygen vacancy for the efficient catalytic oxidation of formaldehyde at room temperature. J. Environ. Chem. Eng. 2024, 12, 112813. [Google Scholar] [CrossRef]
- Zhang, L.; Bao, Q.; Zhang, B.; Zhang, Y.; Wan, S.; Wang, S.; Lin, J.; Xiong, H.; Mei, D.; Wang, Y. Distinct Role of Surface Hydroxyls in Single-Atom Pt1/CeO2 Catalyst for Room-Temperature Formaldehyde Oxidation: Acid–Base Versus Redox. JACS Au 2022, 2, 1651–1660. [Google Scholar] [CrossRef]
- Bai, B.; Li, J. Positive Effects of K+ Ions on Three-Dimensional Mesoporous Ag/Co3O4 Catalyst for HCHO Oxidation. ACS Catal. 2014, 4, 2753–2762. [Google Scholar] [CrossRef]
- Chen, Y.; Zhang, S.; Yang, X. Interfacial adsorption and catalysis of single-atom Pt-loaded ZrO2 surfaces for enhancing formaldehyde oxidation. Surf. Interfaces 2024, 52, 104871. [Google Scholar] [CrossRef]
- Chen, D.; Zhang, G.; Wang, M.; Li, N.; Xu, Q.; Li, H.; He, J.; Lu, J. Pt/MnO2 Nanoflowers Anchored to Boron Nitride Aerogels for Highly Efficient Enrichment and Catalytic Oxidation of Formaldehyde at Room Temperature. Angew. Chem. Int. Ed. 2020, 60, 6377–6381. [Google Scholar] [CrossRef] [PubMed]
- Cui, W.; Liu, L.; Yang, J.; Tan, N. Effect of preparation method on the catalytic performance of formaldehyde oxidation over octahedral Fe3O4 microcrystals supported Pt catalysts. J. Dispers. Sci. Technol. 2019, 41, 1831–1838. [Google Scholar] [CrossRef]
- Tan, H.; Wang, J.; Yu, S.; Zhou, K. Support Morphology-Dependent Catalytic Activity of Pd/CeO2 for Formaldehyde Oxidation. Environ. Sci. Technol. 2015, 49, 8675–8682. [Google Scholar] [CrossRef]
- Li, Y.; Zhang, C.; He, H. Significant enhancement in activity of Pd/TiO2 catalyst for formaldehyde oxidation by Na addition. Catal. Today 2017, 281, 412–417. [Google Scholar] [CrossRef]
- Lu, S.; Sun, N.; He, N.; Zheng, F.; Jiang, Y.; Fu, H.; Liu, J.; Fang, Y. Mesoporous Ag-K-Al2O3 catalysts prepared via a one-pot evaporation induced self-assembly approach and their application in catalytic oxidation of formaldehyde. Appl. Surf. Sci. 2024, 679, 161203. [Google Scholar] [CrossRef]
- Guo, Y.; Di, Z.; Guo, X.; Wei, Y.; Zhang, R.; Jia, J. N/Ce doped graphene supported Pt nanoparticles for the catalytic oxidation of formaldehyde at room temperature. J. Environ. Sci. 2022, 125, 135–147. [Google Scholar] [CrossRef] [PubMed]
- Nguyen Tan, L.; Le Nguyen Quang, T.; Quang, L.N. Catalytic oxidation of formaldehyde over silver supported on ZSM-5: The role of Ag and mesopores. IOP Conf. Ser. Earth Environ. Sci. 2022, 964, 012026. [Google Scholar] [CrossRef]
- Li, N.; Dong, X.; Luo, J.; Wang, Y.; Wang, H.; Miao, D.; Pan, Y.; Jiao, F.; Xiao, J.; Qu, Z. Bifunctional zeolites-silver catalyst enabled tandem oxidation of formaldehyde at low temperatures. Nat. Commun. 2022, 13, 2209. [Google Scholar] [CrossRef]
- Liu, X.; Wang, C.; Chen, Y.; Qin, Q.; Li, Y.; He, H. Formaldehyde oxidation on Pd/USY catalysts at room temperature: The effect of acid pretreatment on supports. J. Environ. Sci. 2022, 125, 811–822. [Google Scholar] [CrossRef]
- Sun, Y.; Wang, F.; He, L.; Cai, T.; Wang, X.; Zhang, T.; Wang, N.; Sun, Q. Integration of Ultrasmall Pt Clusters With Silanol Groups in Pure Silica Zeolites for Robust Formaldehyde Oxidation. Chem.-A Eur. J. 2025, 31, e202500405. [Google Scholar] [CrossRef]
- Zhu, D.; Huang, Y.; Shi, X.; Li, R.; Wang, Z.; Peng, W.; Cao, J.; Lee, S. Enhancing molecular oxygen activation by nitrogen-doped carbon encapsulating FeNi alloys with ultra-low Pt loading. PNAS Nexus 2025, 4, 594. [Google Scholar] [CrossRef]
- Chen, X.; Qin, Q.; Wang, J.; Wen, W.; Liu, X.; Wang, C.; Zhou, L.; Deng, H.; Li, Y. Strong interaction between promoter and metal in Pd-Ba/TiO2 catalysts for formaldehyde oxidation. J. Colloid Interface Sci. 2025, 678, 520–531. [Google Scholar] [CrossRef]
- Rengga, W.D.P.; Purwanto, W.W.; Sudibandriyo, M.; Nasikin, M. Mesopore Catalytic Activated-Carbon to Reduce Harmful Gases Indoors: Adsorption, Catalytic Oxidation, and Prediction Mechanism. Environ. Qual. Manag. 2024, 34, 22294. [Google Scholar] [CrossRef]
- Liu, X.; Chen, X.; Wang, C.; Xie, S.; Wang, J.; Li, Y.; Liu, F.; He, H. Diverse impacts of water on Pd/SiO2 catalysts for formaldehyde oxidation: Unraveling the crucial role of support defects. Appl. Catal. B Environ. Energy 2025, 364, 124843. [Google Scholar] [CrossRef]
- Ousji, R.; Bouabdellah, M.A.; Ksibi, Z.; Ghorbel, A.; Fontaine, C. Enhancing Low-Temperature HCHO Oxidation: Investigation selectivity and Catalytic Activity of Ag, Co, Mo, and Cr Catalysts Supported on γ-Al2O3. Chem. Afr. 2024, 7, 4005–4015. [Google Scholar] [CrossRef]
- Peng, S.; Li, R.; Huang, Y.; Zhang, Y.; Cao, J.; Lee, S. Interfacial dependent reactive oxygen species generation over Pt-ZrO2 nanoparticles for catalytic oxidation of formaldehyde at room temperature. Appl. Surf. Sci. 2022, 600, 154056. [Google Scholar] [CrossRef]
- Zhang, S.; Zhan, J.; Zhou, H.; Niu, M.; Yang, H.; Zhou, X.; Yi, X.; Liu, Y. Lithium promotes Ag-CoOx composite for formaldehyde oxidation at ambient temperature: Chemically adsorbed oxidative oxygen formed by the interaction between AgCoO2 and catalyst parent. J. Environ. Chem. Eng. 2022, 10, 108844. [Google Scholar] [CrossRef]
- Tang, J.; He, H.; Yang, X.; Chen, J.; Wang, R. One-step synthesis of efficient silver-manganese catalyst with tunable dual active site content for formaldehyde removal at room temperature. Mol. Catal. 2025, 582, 115207. [Google Scholar] [CrossRef]
- Badshah, M.; Mehdi, S.; Alam, K.; Khan, K.I.; Abbas, I.; Iezzi, L.; Segneri, V.; Stoller, M. Room temperature oxidation of gaseous formaldehyde over silver-doped manganese oxide catalyst. Chem. Pap. 2024, 78, 4383–4393. [Google Scholar] [CrossRef]
- Gong, J.; Wang, X.; W, H.; Dong, X.; Li, J.; Yang, F.; Yuan, A.; Ji, H. MnCo-Layered double hydroxides nanosheets supported Pd nanoparticles for complete catalytic oxidation of formaldehyde at room temperature. Appl. Surf. Sci. 2022, 606, 154702. [Google Scholar] [CrossRef]
- Liu, Q.; Wang, Y.; Wen, M.; Guo, Y.; Wei, Y.; Li, G.; An, T. Catalytic oxidation of formaldehyde over a Au@Co3O4 nanocomposite catalyst enhanced by visible light: Moisture indispensability and reaction mechanism. Environ. Sci. Nano 2022, 9, 4162–4176. [Google Scholar] [CrossRef]
- Gong, J.; Zhang, M.; Li, J.; Wang, X.; Zhou, Y.; Yang, C.; Hua, Y.; Wang, C.; Yuan, A. Lattice-confined Ag over MnCoLDH accelerated catalytic oxidation of formaldehyde at ambient temperature: The novel pathway with different oxygen species. Appl. Surf. Sci. 2024, 669, 160513. [Google Scholar] [CrossRef]
- Lu, S.; Sun, N.; Gong, L.; Xu, C.; Guo, R.; Li, Y.; Wang, S.; Liu, J.; Fang, Y.; Liu, G. Constructing hollow urchin-like Ag-K/Co3O4-MnO2 spheres with low Ag loading as a highly efficient catalyst for formaldehyde oxidation. Fuel 2025, 398, 135522. [Google Scholar] [CrossRef]
- Ilunga, A.K.; Mamba, B.B.; Nkambule, T.T.I. Fabrication of palladium and platinum nanocatalysts stabilized by polyvinylpyrrolidone and their use in the hydrogenolysis of methyl orange. React. Kinet. Mech. Catal. 2020, 129, 991–1005. [Google Scholar] [CrossRef]
- Chen, L.; Li, K.; Xue, T.; Yang, Y.; Gong, Z.; Dong, F. Efficient and Durable Oxidation Removal of Formaldehyde over Layered Double Hydroxide Catalysts at Room Temperature. Environ. Sci. Technol. 2024, 58, 10378–10387. [Google Scholar] [CrossRef]
- Cheng, Z.; Lu, J.; Zhang, H.; Liu, F.; Ran, W.; Xu, W.; Yu, T.; Chen, S.; Rong, S. Sodium alginate-mediated engineering of 3D-MnO2 architectures for efficient room-temperature formaldehyde catalytic decomposition. Sep. Purif. Technol. 2025, 370, 133200. [Google Scholar] [CrossRef]
- Gao, E.; Jin, Q.; Zhang, T.; Han, L.; Li, N.; Xu, J.; Yao, S.; Wu, Z.; Li, J.; Zhu, J.; et al. Unraveling the promotional effects of K-doping on the mobility of surface oxygen species of CoCr2O4 for improved formaldehyde catalytic oxidation: The weakened metal-oxygen bond strength. Chem. Eng. J. 2023, 474, 145618. [Google Scholar] [CrossRef]
- Gao, Y.; Zhou, A.; Min, J.; Yu, C. Effects of Doping First Main Group Elements on the Structure and Catalytic Performance of δ-MnO2. Catal. Lett. 2023, 154, 1173–1183. [Google Scholar] [CrossRef]
- Han, Z.; Zou, X.; Wang, C.; Liu, H.; Chen, T.; Zhang, P.; Chen, D.; Wang, Q.; Chen, J.; Huang, A.; et al. Frenkel defects facilitate oriented 1O2 formation in birnessite for enhanced catalytic oxidation of formaldehyde. Appl. Catal. B Environ. Energy 2025, 362, 124744. [Google Scholar] [CrossRef]
- He, H.; Chen, Q.; Deng, X.; Tang, J.; Zhang, J.; Wang, G.; Wang, R.; Chen, J. Formaldehyde Adsorption and Degradation at Room Temperature Boosted by Increasing the Specific Surface Area and Surface-Active Oxygen Content of Manganese Oxides. Ind. Eng. Chem. Res. 2024, 63, 10501–10511. [Google Scholar] [CrossRef]
- Hua, Y.; Vikrant, K.; Kim, K.-H.; Heynderickx, P.M.; Boukhvalov, D.W. The catalytic efficacy of modified manganese-cobalt oxides for room-temperature oxidation of formaldehyde in air. J. Hazard. Mater. 2024, 476, 135016. [Google Scholar] [CrossRef]
- Hua, Y.; Vikrant, K.; Kim, K.-H.; Heynderickx, P.M.; Boukhvalov, D.W. Alkali-modified copper manganite spinel for room temperature catalytic oxidation of formaldehyde in air. Chin. J. Catal. 2024, 60, 337–350. [Google Scholar] [CrossRef]
- Jiao, Y.; Jing, C.; Wang, Y.; Yao, F.; Ye, G.; Wang, X.; Zhao, G.; Peng, W.; Huang, H.; Ye, D. Electrospinning synthesis of Co3O4 porous nanofiber monolithic catalysts for the room-temperature indoor catalytic oxidation of formaldehyde at low concentrations. Appl. Surf. Sci. 2023, 639, 158215. [Google Scholar] [CrossRef]
- Kim, W.-K.; Vikrant, K.; Younis, S.A.; Kim, K.-H.; Heynderickx, P.M. Metal oxide/activated carbon composites for the reactive adsorption and catalytic oxidation of formaldehyde and toluene in air. J. Clean. Prod. 2023, 387, 135925. [Google Scholar] [CrossRef]
- Kuang, Y.; Li, C.; Liu, X.; Du, X.; Zhu, Y.; Zhang, Y.; Zhao, J.; Huang, L.; Zhang, Z.; Hu, M. Mixed-phase MnOx on modified hydroxyapatite for synergistic removal of toluene and formaldehyde: From aquaculture waste to catalysts. J. Environ. Chem. Eng. 2025, 13, 117066. [Google Scholar] [CrossRef]
- Li, D.; Liu, H.; He, X.; Yao, Y.; Liu, H.; Chen, J.; Deng, B.; Lan, X. Sepiolite-Supported Manganese Oxide as an Efficient Catalyst for Formaldehyde Oxidation: Performance and Mechanism. Molecules 2024, 29, 2826. [Google Scholar] [CrossRef] [PubMed]
- Li, Y.; Dong, T.; Huang, P.; Ji, J.; Huang, H. Efficient HCHO oxidation at room temperature via maximizing catalytic sites in 2D coralloid δ-MnO2@GO. Appl. Catal. B Environ. Energy 2024, 341, 123322. [Google Scholar] [CrossRef]
- Liu, J.; Zhang, D.; Zhou, H.; Yi, X.; Liu, Y. Effective formaldehyde elimination over pyrolusite-manganite hybrid catalysts promoted by Keggin acid decoration: Tungsten doping and chemically adsorbed active oxygen. J. Environ. Chem. Eng. 2024, 12, 112541. [Google Scholar] [CrossRef]
- Lu, S.; Zheng, F.; Wang, H.; Wei, J.; Wang, X.; Liu, Y.; Liu, J.; Fang, Y. Engineering MnO2 Nanotubes@Co3O4 Polyhedron Composite with Cross-linked Network Structure for Efficient Catalytic Oxidation of Formaldehyde. Catal. Lett. 2023, 154, 2949–2962. [Google Scholar] [CrossRef]
- Ma, Z.; Li, Y.; Sun, K.; Ahmed, J.; Tian, W.; Xu, J. Insights into the roles of superficial lattice oxygen in formaldehyde oxidation on birnessite. Nanoscale 2024, 16, 12541–12549. [Google Scholar] [CrossRef]
- Nie, L.; Xin, S.; Fang, C.; Chen, H.; Yang, Y. Fabrication of cobalt (II, III) oxide @nitrogen doped carbon/honeycomb ceramics with porous structure for room-temperature formaldehyde oxidation. Chem. Eng. J. 2024, 479, 147830. [Google Scholar] [CrossRef]
- Hua, Y.; Vikrant, K.; Kim, K.-H.; Weon, S.; Boukhvalov, D.W. Thermocatalytic oxidation potential of cobalt (II, III) oxide against gaseous formaldehyde in relation to hydrothermal synthesis temperature. Chem. Eng. J. 2024, 494, 152778. [Google Scholar] [CrossRef]
- Chang, T.; Wang, Z.; An, H.; Li, F.; Xue, W.; Wang, Y. Morphology effects of CeO2 for catalytic oxidation of formaldehyde. J. Environ. Chem. Eng. 2022, 10, 108053. [Google Scholar] [CrossRef]
- Xu, Y.; Dhainaut, J.; Dacquin, J.-P.; Lamonier, J.-F.; Zhang, H.; Royer, S. On the role of cationic defects over the surface reactivity of manganite-based perovskites for low temperature catalytic oxidation of formaldehyde. Appl. Catal. B Environ. Energy 2023, 342, 123400. [Google Scholar] [CrossRef]
- Yan, G.; Du, X.; Guo, X.; Cao, X.; Shi, H. NaBH4 reduced Mn-doped cobalt tetroxide R-MnxCo3−xO4 catalysts with plentiful oxygen vacancies for HCHO oxidation at low temperature. New J. Chem. 2024, 48, 8314–8323. [Google Scholar] [CrossRef]
- Yu, X.; Sun, Q.; Tian, J.; Wan, J.; Liu, Y.; Wang, X.; Kan, J.; Yang, X.; Wu, G. Construction of Supported MnOx/MgAl Hydrotalcite Catalysts and Their Highly Efficient Catalytic Performance for Low-Temperature Formaldehyde Removal. Catalysts 2023, 13, 1283. [Google Scholar] [CrossRef]
- Zheng, Z.; Zhang, C.; Li, J.; Fang, D.; Tan, P.; Fang, Q.; Chen, G. Insight into the effect of exposed crystal facets of anatase TiO2 on HCHO catalytic oxidation of Mn-Ce/TiO2. J. Hazard. Mater. 2024, 474, 134710. [Google Scholar] [CrossRef]
- Wang, M.; Hong, X.; Chen, J.; Li, J.; Chen, X.; Mi, J.; Liu, Z.; Xiong, S. Two-step hydrothermal synthesis of highly active MnOx-CeO2 for complete oxidation of formaldehyde. Chem. Eng. J. 2022, 440, 135854. [Google Scholar] [CrossRef]
- Xie, J.; Liu, Q.; Chen, C.; Shen, T.; Tian, X.; Shi, W.; Wang, F. Promoting active oxygen species on MnO2 by doping Fe for performance enhancement of formaldehyde oxidation. Fuel 2025, 379, 133136. [Google Scholar] [CrossRef]
- Xie, J.; Shen, T.; Fan, W.; Shi, W.; Wang, F. Efficient oxidative removal of formaldehyde over C-doped MnO2 catalysts at low temperatures. Chem. Eng. Sci. 2025, 304, 121002. [Google Scholar] [CrossRef]
- Sun, Y.; Zhang, Y.; Hou, B.; He, Y.; Weng, W.; Zhu, Y.; Wang, Z. Catalytic Ozonation of Formaldehyde with an Oxygen-Vacancy-Rich MnOx/γ-Al2O3 Catalyst at Room Temperature. J. Catal. 2024, 14, 885. [Google Scholar] [CrossRef]
- Zhou, J.; Qin, L.; Xiao, W.; Zeng, C.; Li, N.; Lv, T.; Zhu, H. Oriented growth of layered-MnO2 nanosheets over α-MnO2 nanotubes for enhanced room-temperature HCHO oxidation. Appl. Catal. B Environ. Energy 2017, 207, 233–243. [Google Scholar] [CrossRef]
- Zeng, X.; Zeng, Z.; Hu, Q.; Liu, K.; Ming, L.; Cheng, B.; Wang, W.; Luo, G.; Cao, S. Hierarchical Pt/NiO hollow nanofibers for catalytic oxidation of HCHO at room temperature. Chin. J. Struct. Chem. 2025, 44, 100575. [Google Scholar] [CrossRef]
- Ye, J.; Zhu, B.; Cheng, B.; Jiang, C.; Wageh, S.; Al-Ghamdi, A.A.; Yu, J. Synergy between Platinum and Gold Nanoparticles in Oxygen Activation for Enhanced Room-Temperature Formaldehyde Oxidation. Adv. Funct. Mater. 2022, 32, 2110423. [Google Scholar] [CrossRef]
- Zheng, Z.; Zhang, C.; Li, J.; Zhao, Y.; Fang, D.; Han, A.; Tan, P.; Fang, Q.; Chen, G. Catalytic oxidation of formaldehyde by MnOx-decorated anatase TiO2 {001}: Investigation of the effect of calcination temperature on catalytic activity and reaction mechanism. J. Environ. Chem. Eng. 2024, 12, 112578. [Google Scholar] [CrossRef]
- Lu, S.; He, N.; Xu, C.; Sun, N.; Jiang, Y.; Fu, H.; Wang, H.; Liu, J.; Fang, Y.; Liu, G. Controlled growth of villiform MnO2 over CeO2 nanorods for the efficient catalytic oxidation of formaldehyde. J. Environ. Chem. Eng. 2025, 13, 116984. [Google Scholar] [CrossRef]
- Fang, R.; Huang, X.; Luo, X.; Sun, Y.; Liu, Z.; Ao, L.; Dong, F.; Huang, H. Excellent stability for catalytic oxidation formaldehyde over defective δ-MnO2 nanoparticles at room temperature. J. Environ. Chem. Eng. 2023, 11, 109064. [Google Scholar] [CrossRef]
Disclaimer/Publisher’s Note: The statements, opinions and data contained in all publications are solely those of the individual author(s) and contributor(s) and not of MDPI and/or the editor(s). MDPI and/or the editor(s) disclaim responsibility for any injury to people or property resulting from any ideas, methods, instructions or products referred to in the content. |
© 2025 by the authors. Licensee MDPI, Basel, Switzerland. This article is an open access article distributed under the terms and conditions of the Creative Commons Attribution (CC BY) license (https://creativecommons.org/licenses/by/4.0/).










































