Next Article in Journal
The Homopolyatomic Sulfur Cation [S20]2+
Next Article in Special Issue
Insights into Contribution of Active Ceria Supports to Pt-Based Catalysts: Doping Effect (Zr; Pr; Tb) on Catalytic Properties for Glycerol Selective Oxidation
Previous Article in Journal
Unveiling the Electrocatalytic Performances of the Pd-MoS2 Catalyst for Methanol-Mediated Overall Water Splitting
 
 
Font Type:
Arial Georgia Verdana
Font Size:
Aa Aa Aa
Line Spacing:
Column Width:
Background:
Article

Understanding Dioxygen Activation in the Fe(III)-Promoted Oxidative Dehydrogenation of Amines: A Computational Study

by
Ricardo D. Páez-López
1,
Miguel Á. Gómez-Soto
2,
Héctor F. Cortés-Hernández
3,
Alejandro Solano-Peralta
1,
Miguel Castro
2,
Peter M. H. Kroneck
4 and
Martha E. Sosa-Torres
1,*
1
Departamento de Química Inorgánica y Nuclear, Facultad de Química, Universidad Nacional Autónoma de México, Ciudad Universitaria, Mexico City 04510, Mexico
2
Departamento de Física y Química Teórica, Facultad de Química, Universidad Nacional Autónoma de México, Ciudad Universitaria, Mexico City 04510, Mexico
3
GIFAMol, Grupo de Investigación en Fisicoquímica Aplicada y Modelamiento Molecular, Escuela de Tecnología Química, Universidad Tecnológica de Pereira, Pereira 660003, Colombia
4
Department of Biology, University of Konstanz, D-78457 Konstanz, Germany
*
Author to whom correspondence should be addressed.
Inorganics 2025, 13(1), 22; https://doi.org/10.3390/inorganics13010022
Submission received: 10 December 2024 / Revised: 8 January 2025 / Accepted: 11 January 2025 / Published: 15 January 2025
(This article belongs to the Special Issue Transition Metal Catalysts: Design, Synthesis and Applications)

Abstract

Hydrogenation and dehydrogenation reactions are fundamental in chemistry and essential for all living organisms. We employ density functional theory (DFT) to understand the reaction mechanism of the oxidative dehydrogenation (ODH) of the pyridyl-amine complex [FeIIIL3]3+ (L3, 1,9-bis(2′-pyridyl)-5-[(ethoxy-2″-pyridyl)methyl]-2,5,8-triazanonane) to the mono-imine complex [FeIIL4]2+ (L4, 1,9-bis(2′-pyridyl)-5-[(ethoxy-2″-pyridyl)methyl]-2,5,8-triazanon-1-ene) in the presence of dioxygen. The nitrogen radical [FeIIL3N8•]2+, formed by deprotonation of [FeIIIL3]3+, plays a crucial role in the reaction mechanism derived from kinetic studies. O2 acts as an oxidant and is converted to H2O. Experiments with the deuterated ligand L3 reveal a primary C-H kinetic isotope effect, kCH/kCD = 2.30, suggesting C-H bond cleavage as the rate-determining step. The DFT calculations show that (i) 3O2 abstracts a hydrogen atom from the α-pyridine aliphatic C-H moiety, introducing a double bond regio-selectively at the C7N8 position, via the hydrogen atom transfer (HAT) mechanism, (ii) O2 does not coordinate to the iron center to generate a high-valent Fe oxo species observed in enzymes and biomimetic complexes, and (iii) the experimental activation parameters (ΔH = 20.38 kcal mol−1, ΔS = −0.018 kcal mol−1 K−1) fall within in the range of values reported for HAT reactions and align well with the computational results for the activated complex [FeIIL3N8•]2+···3O2.

Graphical Abstract

1. Introduction

Oxidative dehydrogenation (ODH) reactions of alcohols and amines play vital roles in all living organisms. Through evolutionary refinement, nature has evolved enzymes that host transition metals, e.g., iron (Fe), copper (Cu), and zinc (Zn), as well as redox non-innocent ligands at the active site, to oxidize these substrates [1,2,3,4]. Current research focuses on creating affordable biomimetic metal catalysts to functionalize C-H bonds. This task poses a considerable challenge for synthetic chemists, particularly when it comes to controlling regio- and site selectivity during the synthesis and transformation of molecules [5]. Dioxygen (O2), or hydrogen peroxide (H2O2) typically serve as oxidizing agents to perform reactions under mild conditions [6,7]. For example, the Fe(II) complex [Fe(H)(BH4)(CO)(HN{CH2CH2P(iPr)2}2] catalyzes the ODH of secondary alcohols to ketones, with good yields in the presence of O2. A base is necessary to facilitate ligand activation, forming a Fe(II)-amido intermediate that can abstract hydrogen atoms from C-H bonds in alcohols through a concerted outer-sphere mechanism [8]. Similarly, Fe(II) complexes with NNN donor azo-aromatic pincer ligands catalyze the oxidation of benzylic alcohols to carbonyls. In this instance, the ligand undergoes a one-electron reduction initiated by ethoxide N-H deprotonation. This forms an azo-anion radical intermediate, which then reacts by abstracting an H atom from the α-carbon of coordinated alcohol [9] through hydrogen atom transfer (HAT) [10].
We are interested in gaining a deeper understanding of transition metal-promoted ODH reactions in the presence of dioxygen. Specifically, we aim to understand the conversion of the paramagnetic complex [FeIIIL3]3+ (1) (L3, 1,9-bis(2’-pyridyl)-5-[(ethoxy-2″-pyridyl)methyl]-2,5,8-triazanonane) to the diamagnetic complex [FeIIL4]2+ (2) (L4, 1,9-bis(2′-pyridyl)-5-[(ethoxy-2″-pyridyl)methyl]-2,5,8-triazanon-1-ene) characterized by multinuclear NMR spectroscopy and X-ray crystallography (CCDC ref 286407) (Figure 1) [11,12,13].
The Fe(III) complex (1) is unique due to its ODH reactivity in anoxic (Equation (1)) and oxic (Equation (2)) conditions (Figure 1) [12,13].
2 [FeIIIL3]3+ + 2 C2H5O → [FeIIL4]2+ + [FeIIL3]2+ + 2 C2H5OH
4 [FeIIIL3]3+ + O2 + 4 C2H5O → 4 [FeIIL4]2+ + 2 H2O + 4 C2H5OH
Notably, only one double bond is introduced at position C7N8 of ligand L3, in contrast to the reports for numerous polydentate amine complexes [14]. Conjugation of the C=N double bond to the pyridine ring stabilizes the FeII oxidation state via its π-acceptor capability, consistent with the high redox potential reported [11,12]. The ODH reaction proceeds faster with O2 and does not show the N-H kinetic isotope effect (KIE) observed in N2 (kNH/kND = 1.73) [12]. Both reactions, performed in dry ethanol, require a base, C2H5O. Deprotonation of complex (1) leads to the nitrogen radical [FeIIL3N8•]2+ (2a) which has been suggested to reduce O2 via four consecutive outer-sphere single electron transfer steps to H2O [13]. With the deuterated pyridyl-amine ligand L3-D, we observed a C-H KIE kCH/kCD with a value of 2.30 for the rate-determining step of the ODH reaction. 2H NMR analysis of the deuterated mono-imine product [FeIIL4-D]2+ (2) indicates regio-selective C-H cleavage by O2 at the C7N8 position through the hydrogen atom transfer (HAT) mechanism, generating the HO2 radical [15].
With the results of these kinetic studies in hand, we have proposed that nitrogen N8• in radical [FeIIL3N8•]2+ (2a) transfers charge to the Fe(II) center, lowering the dissociation energy of the C7-Ha bond. In the transition state (TS) the iron complex exhibits a biradical character and facilitates hydrogen atom transfer (HAT) to 3O2 in the rate-determining step (Figure 2), consistent with the observed C-H KIE and the experimentally determined third-order rate law in Equation (3). The final product of the ODH reaction, the diamagnetic mono-imine [FeIIL4]2+ (2), has already been characterized by spectroscopic techniques and X-ray crystallography using tetraphenyl borate as a counter anion [12,13,15].
d F e I I I L 3 3 + d t = k O D H F e I I I L 3 3 + O 2 C 2 H 5 O
The current work presents a computational study to validate the proposed reaction mechanism (Figure 2). We aim to understand the pathway of the ODH reaction of Fe(III) complex (1) with external oxidant O2 and the crucial role of nitrogen radical (2a). We are also interested in identifying the preferred site for the O2 attack leading to regio-selective dehydrogenation and imine formation. In this study, we describe various calculated structures, geometries, spin states, and conceptual DFT analyses to determine the most favorable configuration for hydrogen atom transfer.

2. Results

2.1. Ligands and Iron Complexes

The pyridyl-amine Fe(III) complex (1) is formed by mixing solutions of ligand L2-H/L2-D (L2, 1-[3-aza-4-(2-pyridyl)-butyl]-2-(2-pyridyl)-3-[(2-pyridyl)-methyl] imidazolidine/deuterated analog) and dimethyl sulfoxide complex [FeIII(C2H6OS)6](NO3)3 in ethanol. The imidazolidine ligand L2 undergoes a ring-opening reaction to form the low-spin complex [FeIIIL3]3+ (1) (M = 2; λmax 366 nm/3390 M−1 cm−1, 582 nm/528 M−1 cm−1) followed by its deprotonation to the nitrogen radical (2a) and the ODH reaction to the mono-imine complex [FeIIL4]2+ (2) (M = 10; λmax 398 nm/8036 M−1 cm−1, 573 nm/6984 M−1 cm−1) [12,13].
Synthesis of L2-D leads to a 1:1-mixture of the imidazolidine isomers L2-C7DHC15HH and L2-C7HHC15DH, and its reaction with [FeIII(C2H6OS)6](NO3)3 results in two Fe(III) complexes (1) mono-deuterated at either carbon C7 or carbon C15 [15]. As mentioned, only one double bond is introduced at position C7N8 of the hexadentate ligand L3 to produce L4. Furthermore, there is no evidence for the in situ generation of singlet oxygen, 1O2 (M = 1), by EPR spectroscopy employing the trapping agent 2,2,6,6-tetramethyl-4-piperidinol (TEMP) [16], in contrast to reports on the dehydrogenation of Ir(III) amino acid complexes under blue light [17], or the in situ production of 1O2 by dioxygen activation on iron phosphide for advanced oxidation processes [18]. Therefore, the primary focus of the computational studies will be on the C7N8 region of Fe(III) complex (1) and its reactivity with triplet oxygen, 3O2 (M = 3).
The optimized structures of Fe(III) complex (1) (Figure A1) and nitrogen radical (2a) (Figure 3) were calculated using the DFT-PBE-Def2SVP method, as implemented in the Gaussian 09 program [19]. The X-ray coordinates of [FeIIL4][C6H5)4]2 (CCDC-286407) were chosen for the initial input geometry.

2.2. Nitrogen Radical [FeIIL3N8•]2+ and Site for O2 Attack

First, the total energies for the reactants and products of the ODH reaction (Figure 2) have been calculated. For both the starting Fe(III) complex (1) and Fe(II) radical (2a), a doublet ground state (M = 2) was found to have the minimum energy, and a singlet ground state (M = 1), for the mono-imine Fe(II) complex (2) (Table 1).
According to the DFT calculations, complex [FeIIIL3]3+ (1) undergoes deprotonation of the N8-H bond with the base C2H5O, resulting in the formation of the radical [FeIIL3N8•]2+ (2a), with an energy = −1,629,517.246 kcal mol−1. On the other hand, deprotonation of N14-H leads to the formation of radical [FeIIL3N14•]2+, which has an energy = −1,629,502.347 kcal mol−1. Thus, the formation of radical [FeIIL3N8•]2+ is favored by 14.9 kcal mol−1. One explanation for this result is the intramolecular hydrogen bonding of the oxygen in the OC2H5 sidearm with the hydrogens of carbon C13 (2.30 and 2.65 Å), adjacent to nitrogen N14. The angle formed with carbon C15, nitrogen N14, and carbon C13 is 116.08°, while in radical [FeIIL3N8•]2+ there is no influence from the OC2H5 sidearm, as indicated by the corresponding angle C7-N8-C9, of 121.27°. The nitrogen atom N8 in the radical [FeIIL3N8•]2+ exhibits more sp2 character, which favors the formation of this radical [20] (Figure 3).
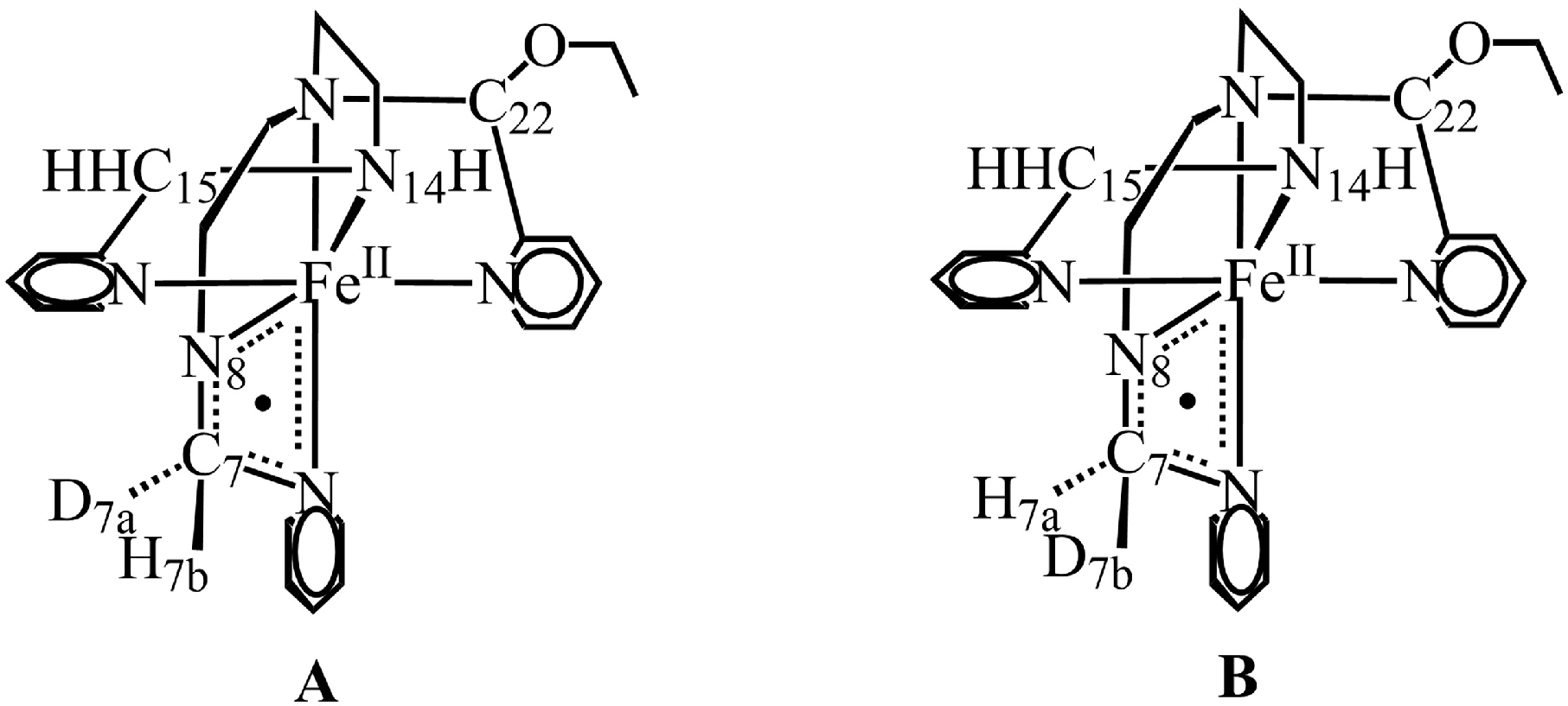
An interesting observation arises from comparing the individual C-H bond lengths in the N8 and N14 regions (Table 2). A value of 1.12(2) Å was found for the C7-H7a bond of radical [FeIIL3N8•]2+ (vs. 1.11(7) Å for C15-H15a in [FeIIL3N14•]2+) which is the longest among all the C-H bonds in both [FeIIL3N14•]2+ and [FeIIL3N8•]2+, and it is this bond that is attacked by dioxygen in the ODH reaction. Analysis of the vibrational frequencies for the methylene groups C7H7aH7b and C15H15aH15b reveals that the C7H7aH7b moiety in the radical [FeIIL3N8•]2+ has lower frequency values, indicating that this fragment is the most reactive. Note that mono-deuterated carbon atoms C7 and C15 of Fe(III) complex (1) and corresponding nitrogen radicals (2a) have an asymmetric carbon center, as illustrated for radical [FeIIL3N8•]2+ (Figure 4) [15].
Additionally, a Natural Bond Orbital (NBO) population analysis has been conducted for the radical (2a), with the unpaired electron residing on either nitrogen N8 or N14, to obtain the condensed Fukui indices through vertical calculations. They provide insight into the properties of chemical bonds related to their nucleophilic, electrophilic, or radical reactivity [21,22,23,24,25,26]. The NBO analysis helps us pinpoint the most susceptible site to attack by O2, showing the dual descriptor Δf for the methylene groups of carbon atoms C7 and C15 (Table 3). The results indicate that only the hydrogen atom H7a (or deuterium atom D7a) of radical [FeIIL3N8•]2+ serves as a suitable site for electrophilic attack, with a positive value of Δf, in contrast to hydrogen atoms H15a and H15b of radical [FeIIL3N14•]2+. The NBO analysis results agree well with our experimental findings, showing that the imine double bond is introduced regio-selectively at position C7N8 (Figure 1). Hydrogen atoms H7a and H7b are not equivalent; their Δf values indicate that H7a is the more reactive hydrogen atom (H7a 0.023 vs. H7b 0.012). In calculating the attack of 3O2 on C7-H7b, after several collisions, the O2 molecule will orient itself towards the C7-H7a…3O2 reaction pathway consistent with the Fukui index analysis (Table 3). The ligand pyridine rings provide electronic repulsion against O2 attacking C7-Hb, in favor of the cleavage of the C7-H7a bond.

2.3. Hydrogen Atom Transfer [FeIIL3N8•]2+ + 3O2 → [FeIIL4]2+ + HO2

2.3.1. Transition State {[FeIIL3N8• C7•]2+---H7a---3O2}

In the transition state {[FeIIL3N8• C7•]2+---H7a---3O2} (M = 4) (Figure 5), the interaction with 3O2 (M = 3) defines the C7H7a-O2 angular geometry, with distances Fe-O2 4.02 Å, O-O 1.30 Å vs. starting distances Fe-O2 4.06 Å, O-O 1.21 Å. The intramolecular hydrogen bond between the oxygen and the methylene C12H12aH12b group (distance O---H 2.33 Å, bond angle 98.4°) will enhance the structural stability of the {[FeIIL3N8• C7•]2+---H7a---3O2} transition state. Steric crowding from the peripheral atoms restricts O2 access to the metal center, inhibiting the formation of high-valent Fe-oxo species (Figure 3).

2.3.2. Spin Density, Charge Density, and Frontier Orbitals

Valuable information on the radical [FeIIL3N8•]2+ and its reactivity towards 3O2 (M = 3) is derived from the spin density population analysis (Figure 6). In the starting complex [FeIIIL3]3+ (1, state (i)), the spin density of the unpaired electron is entirely localized on the Fe(III) center, with no significant contributions from other atoms in the molecule. In state (ii)/(iii), after deprotonation of the N8-H bond in complex (1), the radical [FeIIL3N8•]2+ (2a) (M = 2) is formed, with the spin density mainly found on the metal via delocalization between Fe(II) and nitrogen atom N8 (Table A1), with a negative, close to zero, value on the target carbon C7; O2 in the vicinity of [FeIIL3N8•]2+, with a non-bonding distance of ≈2 Å, does not lead to a significant change in spin density distribution. In state (iv), when O2 is in the proximity of [FeIIL3N8•]2+, the transition state is formed through the hydrogen atom H7a positioned between carbon C7 and O2 (Figure 5); spin density is transferred from O2 to the Fe(II) radical while H7a is detached from C7, which significatively increases the spin density on carbon C7. Remarkably, in the transition state, the Fe(II) complex shows a biradical character, as outlined in the proposed reaction mechanism (Figure 2). Finally, in state (v), the H7a atom is no longer bound to C7, and the diamagnetic final product, mono-imine complex, [FeIIL4]2+, (2) (M = 1) is formed with the consecutive release of HO2. In summary, spin and charge density transfer analysis provides an important contribution to our understanding of the ODH reaction, with 3O2 as an oxidant, following the HAT mechanism.
Next, the Natural Bond Order approach has been used to study the transfer of charge from [FeIIL3N8•]2+ (M = 2) to 3O2 (M = 3) (Figure 7). Analysis of the initial Fe(III) complex (1, state (i)) shows a large charge value located on Fe(III) (+0.657e). Notably, Fe(III) induces the polarization of the coordinated amine N8 (−0.592e)-H8 (+0.432e), with H8 susceptible to deprotonation. The nitrogen radical (ii)/(iii) shows the delocalization of the electron density over the methylpyridine fragment, with the larger values on Fe(II) (+0.447e) and the coordinated N atoms (−0.418e/−0.425e); additionally, carbon C7 shows a value of −0.274e, which indicates its tendency to donate electrons. At a distance of 2.0 Å between 3O2 and radical (2a) the partial charges do not change. In transition state (iv) (Figure 5), charge transfer occurs from (2a) to 3O2; this process begins through the C7-H7a moiety. As a result, both the carbon atom C7 and the hydrogen atom H7a become more positively charged. The negative charge on the oxygen atoms increases significantly (−0.223e, −0.152e) showing a partial reduction of the O2 molecule, while N8 becomes more negative. As H7a is detached from C7 in the transition state, the values on C7 and H7a increase, showing the electron density donation from the C7-H7a fragment towards O2. Note that part of the initial electron density of the C7-H7a bond shifts towards nitrogen N8. Finally, in stage (v), the H7a atom is no longer bound to C7, and HO2 is formed. In summary, spin and charge density transfer analysis provides an important contribution to our understanding of the ODH reaction, with 3O2 as an oxidant, following the HAT mechanism.
An important aspect highlighted in the NBO charge population analysis (Figure 7) concerns the charge transfer from C7H7a to 3O2 in the transition state (M = 4), involving 0.37 electrons. The HOMO orbitals of the [FeIIL3N8•)]2+ radical (A) exhibit signatures in the C7H7a region, which is where 3O2 interacts (Figure 8). As an open-shell system, [FeIIL3N•]2+ (M = 2) has two different possibilities for the molecular orbitals arising from its spin configuration. These are α and β, giving two pairs of frontier molecular orbitals HOMO-α/LUMO-α and HOMO-β/LUMO-β, with an energy difference of 0.11 eV (2.5367 kcal mol−1) between HOMO-α and HOMO-β. Thus, both orbitals might contribute to transferring electrons of C7H7a to 3O2 in the transition state. For the LUMO-α and LUMO-β orbitals, we observe an energy gap of 0.84 eV (19.37 kcal mol−1), with LUMO-β showing a greater propensity to accept electrons from O2 in the region where the imine bond is formed. The significantly lower energy gap of 1.21 eV (27.90 kcal mol−1) for HOMO-β and LUMO-β, compared to 1.94 eV (44.74 kcal mol−1) for HOMO-α and LUMO-α, suggests that HOMO-β and LUMO-β play a major role in charge transfer. This transfer occurs from C7H7a to O2 and from O2 back to C7H7a during the imine formation process.

3. Discussion

Extensive kinetic studies have led to the development of a mechanism for the oxidative dehydrogenation (ODH) of [FeIIIL3]3+ (1), using O2 as the oxidant. This mechanism identifies the radical [FeIIL3N8•]2+ as a crucial component and follows the hydrogen atom transfer (HAT) pathway (see Figure 2; kinetic equations including the final third-order rate law can be found in A2) [15]. As mentioned, a C-H KIE kCH/kCD with a value of 2.30 was observed for the rate-determining step of the ODH reaction when using the deuterated pyridyl-amine ligand L3-D.
The nitrogen radical reacts with 3O2, resulting in the transition state denoted as {[FeIIL3N8• C7•]2+---H7a---3O2}. In this state, the spin density is observed on nitrogen N8 (0.274) and carbon C7 (0.308) (Figure 6A). This is followed by the formation of a C7N8 double bond in the final mono-imine product [FeIIL4]2+, along with the release of HO2. In the transition state, the hydrogen atom H7a is intermediate between C7 and O2, defining the reaction coordinate C7---H7a---O2, with an associated stretching imaginary vibrational frequency of −390 cm−1. It’s important to emphasize that the transition state has just one imaginary frequency, as this is precisely what we anticipate in such cases.
There is no evidence for the formation of a high-valent iron-oxo species, likely because the metal center in [FeIIIL3]3+ and [FeIIL3N8•]2+ is deeply buried (Figure A1). This species is a key player in nonheme iron dioxygenases that perform C-H oxidation reactions by transferring hydrogen atoms to the [FeIV=O]2+ site [27,28,29,30,31].
The data compiled in Table 1 allow us to calculate the energy profile of the ODH reaction, including the activation parameters for the formation of the mono-imine [FeIIL4]2+ by the HAT mechanism (Figure 9). The activation energy, Ea (Δ EE + ZPE TS—reactants) = 19.34 kcal mol−1, and the activation parameters ΔH (Δ EE + TEC TS—reactants) = 19.19 kcal mol−1 and ΔS (ΔS TS—reactants) = −0.034 kcal mol−1 K−1. These estimated values are close to the experimental results, Ea = 21.04 kcal mol−1, ΔH = 20.38 kcal mol−1 and ΔS = −0.018 kcal mol−1 K−1 (Figure 9) [15].
The amine-imine oxidation reaction discussed in this work (Figure 1) starts with the deprotonation of the N8-H bond in [FeIIIL3]3+ (1), resulting in the formation of the nitrogen radical [FeIIL3N8•]2+ (2a), a key player in the process. The main themes of this process are typical to many amine-imine oxidations involving Ru(II) and Fe(III) complexes. Two basic types of mechanisms have been proposed for the amine-imine 2e/2H+ transfer process [14]: (i) 2e-step reactions involving high-valent metal centers [27,28,29,30,31], and (ii) 1e-step reactions involving ligand-radical intermediates [32,33,34,35,36]. Nevertheless, the reaction from [FeIIIL3]3+ (1) to [FeIIL4]2+ (2) was noted as novel since it occurred spontaneously without requiring an external oxidant, and it appeared representative of similar systems involving fundamental proton and electron transfer steps [37].
The interest in the (bio)chemistry of radicals, transient or stable, has skyrocketed over the past four decades [38,39]. In particular, the chemistry of nitrogen-centered radicals has found plentiful applications in organic synthesis, which is not surprising since the nitrogen atom is common in many important (bio)molecules and is essential for fine-tuning their physicochemical properties [20,40,41]. Metal-coordinated nitrogen-centered radicals are generally more stable than free organic nitrogen-centered radicals; thus they open the door to powerful catalytic applications [42,43]. In metal radical complexes, the localization of the unpaired electron can take on distinct forms. It may reside predominantly at the nitrogen atom, resulting in aminyl radicals (designated as LMm+-NR2), or it may be associated with the metal itself, as seen in amidyl radicals (indicated as LMm+1-N••R2). This key distinction is exemplified in the aminyl radical Rh(I) complex, which shows reactivity with a variety of hydrogen atom donors [42]. The topic has been meticulously discussed by Kaim, shedding light on the nuances of these fascinating complexes with redox-active ligands showing non-innocent behavior [44].
The computational analysis of the Fe(III)-promoted oxidative dehydrogenation of amines supports the findings of the kinetic results [15]. We demonstrate that the cleavage of the C-H bond occurs through a hydrogen atom transfer (HAT) mechanism. The nitrogen radical [FeIIL3N8•]2+ (2a) plays a crucial role in the regio-selective abstraction of hydrogen atoms by O2, leading to the subsequent formation of the hydroperoxyl radical, HO2. In summary, understanding the Fe(III)-promoted ODH reaction enhances catalyst development for controlled C-H bond activation and functionalization, which remains a major challenge in synthetic chemistry.

4. Materials and Methods

The Fe(III)-promoted ODH reaction in the presence of O2 as oxidant, and the radical [FeIIL3N8•]2+ (2a) as key intermediate, was analyzed using density functional theory (DFT). All electron calculations were performed at the PBE level of theory [45,46,47], coupled with Def2SVP basis sets and including GD3 empirical dispersion correction [48,49,50]. The quantum chemical software Gaussian 09 was used [19]. The geometry of the radical (2a) was established based on the X-ray structure of [FeIIL4][B(C6H5)4]2 (2) [12,13], CCDC reference number 286407. This initial structure was relaxed using a geometry optimization procedure. A strict convergence criterion was applied for the total energy minimized to 10−8 a.u.; structures were relaxed with 10−5 eV/Å as a threshold criterion for force convergence. The interaction of 3O2, (M = 3), with [FeIIL3N8•]2+ (2a) (M = 2) was analyzed for structures of different geometries and multiplicities. Several pathways of O2, approaching the C-H/C-D groups, were investigated to identify the most energetically favorable configuration for H/D atom transfer [FeIIL3N8•]2+3O2, resulting in the formation of the Fe(II) imine complex (2) and the O2H/D radical. We employed conceptual DFT to study the electronic and structural properties and the chemical reactivity of the systems of interest (atomic charge, condensed Fukui index, Natural Bond Orbital population analysis, dual descriptor, and HOMO-LUMO gap, SI). To test and calibrate the procedure, we calculated (i) the structure and ground state of the Fe(II) imine complex (2) and (ii) the molecular geometry of the hydroperoxyl radical HO2, with results in excellent agreement with the reported experimental data [12,13,51].

5. Conclusions

Many biological and chemical processes employ dioxygen as an oxidant, involving metal-dependent C−H activation and functionalization as critical steps. One prime example is the heme-dependent enzyme cytochrome P450, a catalyst with a remarkable substrate range and an enormous potential for industrial applications [52]. Exploring its reaction mechanism through chemical, spectroscopic, and computational methods has resulted in significant research aimed at developing efficient catalytic systems [53]. Non-heme iron complexes, particularly those with pyridyl-alkylamine ligands, have received significant attention due to their inspiration from the active sites of metalloenzymes [27,28,29,30]. In this research, we have performed a DFT theoretical study to enhance our understanding of the oxygen-dependent dehydrogenation of the Fe(III) pyridyl-amine complex (1) into the stable Fe(II) mono-imine complex (2). Before the computational studies, the reaction was thoroughly investigated using kinetic methods, multinuclear NMR spectroscopy, and X-ray crystallography. It has been proposed that the cleavage of the C-H bond occurs via hydrogen atom transfer (HAT) [15]. High-valent Fe oxo species are not observed in the dehydrogenation reaction because steric hindrance from surrounding atoms prevents the direct coordination of O2 with the iron center. The preferred site for the O2 attack on the nitrogen radical [FeIIL3N8•]2+ has been identified, which plays a crucial role in the hydrogen atom transfer (HAT) mechanism. It allows for regio-selective hydrogen atom abstraction by O2, ultimately resulting in the formation of the hydroperoxyl radical HO2 in line with the experimental findings. The theoretical results regarding the transition state indicate significant effects related to the transfer of spin density from the O2 molecule to [FeIIL3N8•]2+, which defines the reactive site in the hydrogen atom transfer (HAT) mechanism. Additionally, the charge transfer to the O2 molecule also is important in the reaction HAT step. The calculated transition state is characterized by notable spin populations on the C7 atom and the N8 atom of the ligand, suggesting the formation of a biradical species. The calculated parameters align closely with the experimental values: activation energy (Ea) is 19.34 kcal mol−1 vs. 21.04 kcal mol−1; the enthalpy of activation (ΔH) is 19.19 kcal mol−1 vs. 20.38 kcal mol−1; and the entropy of activation (ΔS) is −0.034 kcal mol−1 K−1 vs. −0.018 kcal mol−1 K−1. These results underscore the reliability of the computational approach and convincingly document the role of computational chemistry as an integral and essential component of chemical research [54].

Author Contributions

Conceptualization, M.E.S.-T.; methodology, R.D.P.-L., A.S.-P., H.F.C.-H., M.Á.G.-S. and M.C.; investigation, R.D.P.-L., A.S.-P., H.F.C.-H., M.Á.G.-S. and M.C.; writing—original draft preparation, M.E.S.-T. and P.M.H.K.; writing—review and editing, R.D.P.-L., M.E.S.-T., M.C. and P.M.H.K.; supervision, M.E.S.-T. and M.C.; project administration, M.E.S.-T. and M.C.; funding acquisition, M.E.S.-T. and M.C. All authors have read and agreed to the published version of the manuscript.

Funding

This research was funded by CONACYT, grants 129821 and 41128-Q, DGAPA-UNAM, grant PAPIIT IN-102622, and Facultad de Química UNAM, grant PAIP-FQ 50009048.

Data Availability Statement

The X-ray coordinates of mono-imine complex [FeIIL4][C6H5)4]2 can be found on the Cambridge Structural Database (CCDC-286407). The original contributions presented in the study are included in the article; further inquiries can be directed to the corresponding author.

Acknowledgments

The authors wish to thank the Dirección General de Cómputo y de Tecnologías de la Información (DGTIC-UNAM) for providing access to the Miztli supercomputer, grants LANCAD-UNAM-DGTIC-315 and LANCAD-UNAM-DGTIC-063; R.D.P.-L thanks CONACYT for Ph.D. grant 817411.

Conflicts of Interest

The authors declare no conflicts of interest.

Appendix A

Figure A1. Optimized structure of Fe(III) complex (1) [FeIIIL3]3+ calculated with Gaussian 09 (DFT-PBEPBE-Def2SVP) using the X-ray coordinates of [FeIIL4][C6H5)4]2 (CCDC-286407); Fe orange, H white, C grey, N blue, O red.
Figure A1. Optimized structure of Fe(III) complex (1) [FeIIIL3]3+ calculated with Gaussian 09 (DFT-PBEPBE-Def2SVP) using the X-ray coordinates of [FeIIL4][C6H5)4]2 (CCDC-286407); Fe orange, H white, C grey, N blue, O red.
Inorganics 13 00022 g0a1
Table A1. Spin density population for selected atoms of nitrogen radicals [FeIIL3N8•]2+ and [FeIIL3N14•]2+ shown in Figure 3. Note that the N14 site has a slightly larger spin density (0.379) than N8 (0.359). However, the Fukui function results indicate that N8 is the preferred reactive site, consistent with the fact that the [FeIIL3N8•]2+ radical is 14.9 kcal mol−1 more stable.
Table A1. Spin density population for selected atoms of nitrogen radicals [FeIIL3N8•]2+ and [FeIIL3N14•]2+ shown in Figure 3. Note that the N14 site has a slightly larger spin density (0.379) than N8 (0.359). However, the Fukui function results indicate that N8 is the preferred reactive site, consistent with the fact that the [FeIIL3N8•]2+ radical is 14.9 kcal mol−1 more stable.
[FeIIL3N8•]2+[FeIIL3N14•]2+
AtomSpin DensityAtomSpin Density
Fe0.628Fe0.638
N80.359N140.379
C7−0.021C15−0.019
H7a0.034H15a0.021
H7b0.015H15b−0.001
N14−0.011N8−0.008
H140.001H80.000
C150.002C70.004
H15a0.000H7a0.000
H15b0.000H7b0.003
Third-Order Rate law A2. Kinetic equations developed for the oxidative dehydrogenation of Fe(III) complex (1) [FeIIIL3]3+, with O2 as an oxidant.
4 ( F e I I I L 3 ) 3 + + 4 C 2 H 5 O k 1 k 1   4 ( F e I I L 3 N 8 ) 2 + + 4 C 2 H 5 O H
  ( F e I I L 3 N 8 ) 2 + + O 2 k 2 H A T       ( F e I I L 4 ) 2 + + H O 2
( F e I I L 3 N 8 ) 2 + + H O 2 k 3   ( F e I I L 4 ) 2 + + H 2 O 2
  ( F e I I L 3 N 8 ) 2 + + H 2 O 2 k 4       ( F e I I L 4 ) 2 + + H O + H 2 O
( F e I I L 3 N 8 ) 2 + + H O k 5 ( F e I I L 4 ) 2 + + H 2 O
Applying the steady-state approximation to the radical species [(FeIIL3N8•)]2+ results in Equation (A6).
d ( F e I I I L 3 ) 3 + d t = 4 k   1 k 2 F e I I I L 3 3 + O 2 C 2 H 5 O k 1 4   k 2 O 2  
Within the limit k−1 >> k2[O2], the rate law in Equation (A6) simplifies to the rate law presented in Equation (A7), consistent with the experimentally determined third-order rate equation; k1/k−1 is the acid-base equilibrium constant K, resulting in the final rate law and k2 is the rate-determining step (Equation (A8)).
d ( F e I I I L 3 ) 3 + d t = 4 k 1 k 2 k 1 F e I I I L 3 3 + O 2 C 2 H 5 O
d ( F e I I I L 3 ) 3 + d t = 4   K k 2 F e I I I L 3 3 + O 2 C 2 H 5 O

References

  1. Crichton, R.R. Biological Inorganic Chemistry. A New Introduction to Molecular Structure and Function, 3rd ed.; Academic Press: Cambridge, MA, USA, 2019. [Google Scholar] [CrossRef]
  2. Solomon, E.I.; Goudarzi, S.; Sutherlin, K.D. O2 Activation by Non-Heme Iron Enzymes. Biochemistry 2016, 55, 6363–6374. [Google Scholar] [CrossRef]
  3. Maret, W. Zinc Biochemistry: From a Single Zinc Enzyme to a Key Element of Life. Adv. Nutr. 2013, 4, 82–91. [Google Scholar] [CrossRef] [PubMed]
  4. Koschorreck, K.; Alpdagtas, S.; Urlacher, V.B. Copper-radical oxidases: A diverse group of biocatalysts with distinct properties and a broad range of biotechnological applications. Appl. Eng. Microbiol. 2022, 2, 100037. [Google Scholar] [CrossRef] [PubMed]
  5. Jiao, Y.; Chen, X.-Y.; Stoddart, J.F. Weak bonding strategies for achieving regio- and site-selective transformations. Chem 2022, 8, 414–438. [Google Scholar] [CrossRef]
  6. Dalton, T.; Faber, T.; Glorius, F. C−H Activation: Toward Sustainability and Applications. ACS Cent. Sci. 2021, 7, 245–261. [Google Scholar] [CrossRef]
  7. Kumar Sinha, S.; Guin, S.; Maiti, S.; Prasad Biswas, J.; Porey, S.; Maiti, D. Toolbox for Distal C−H Bond Functionalizations in Organic Molecules. Chem. Rev. 2022, 122, 5682–5841. [Google Scholar] [CrossRef]
  8. Budweg, S.; Wei, Z.; Jiao, H.; Junge, K.; Beller, M. Iron-PNP Pincer-Catalyzed Transfer Dehydrogenation of Secondary Alcohols. ChemSusChem 2019, 12, 2988–2993. [Google Scholar] [CrossRef] [PubMed]
  9. Sinha, S.; Das, S.; Sikari, R.; Parua, S.; Brandaõ, P.; Demeshko, S.; Meyer, F.; Paul, N.D. Redox Noninnocent Azo-Aromatic Pincers and Their Iron Complexes. Isolation, Characterization, and Catalytic Alcohol Oxidation. Inorg. Chem. 2017, 56, 14084–14100. [Google Scholar] [CrossRef]
  10. Darcy, J.W.; Koronkiewicz, B.; Parada, G.A.; Mayer, J.M. A Continuum of Proton-Coupled Electron Transfer Reactivity. Acc. Chem. Res. 2018, 51, 2391–2399. [Google Scholar] [CrossRef] [PubMed]
  11. Ugalde-Saldívar, V.M.; Sosa-Torres, M.E.; Ortiz-Frade, L.; Bernès, S.; Höpfl, H. Novel iron(II) complexes with hexadentate nitrogen ligands obtained via intramolecular redox reactions. Dalton Trans. 2001, 20, 3099–3107. [Google Scholar] [CrossRef]
  12. Saucedo-Vázquez, J.P.; Ugalde-Saldívar, V.M.; Toscano, A.R.; Kroneck, P.M.H.; Sosa-Torres, M.E. On the Mechanism of Iron(III)-Dependent Oxidative Dehydrogenation of Amines. Inorg. Chem. 2009, 48, 1214–1222. [Google Scholar] [CrossRef] [PubMed]
  13. Saucedo-Vázquez, J.P.; Kroneck, P.M.H.; Sosa-Torres, M.E. The role of molecular oxygen in the iron(III)-promoted oxidative dehydrogenation of amines. Dalton Trans. 2015, 44, 5510–5519. [Google Scholar] [CrossRef]
  14. Keene, F.R. Metal-ion promotion of the oxidative dehydrogenation of coordinated amines and alcohols. Coord. Chem. Rev. 1999, 187, 121–149. [Google Scholar] [CrossRef]
  15. Páez-López, R.D.; Gómez-Soto, M.Á.; Cortés-Hernández, H.F.; Solano-Peralta, A.; Castro, M.; Kroneck, P.M.H.; Sosa-Torres, M.E. Fe(III)-promoted oxidative dehydrogenation of amines by O2—mediated cleavage of C-H bond proceeds via hydrogen atom transfer (HAT). Inorg. Chim. Acta 2025, 578, 122516. [Google Scholar] [CrossRef]
  16. Victória, H.F.; Ferreira, D.C.; José Filho, B.G.; Martins, D.C.; Pinheiro, M.V.; de AMSáfar, G.; Krambrock, K. Detection of singlet oxygen by EPR: The instability of the nitroxyl radicals. Free Rad. Biol. Med. 2022, 180, 143–152. [Google Scholar] [CrossRef]
  17. Peng, H.-L.; Chen, X.-Y.; Li, L.-P.; Ye, B.-H. Mechanism study on photo-oxidation dehydrogenation of cyclometalated Ir (III) amino acid complexes. Inorg. Chim. Acta 2020, 513, 119939. [Google Scholar] [CrossRef]
  18. Zheng, N.; He, X.; Hu, R.; Wang, R.; Zhou, Q.; Lian, Y.; Hu, Z. In-situ production of singlet oxygen by dioxygen activation on iron phosphide for advanced oxidation processes. Appl. Catal. B Environ. 2022, 307, 121157. [Google Scholar] [CrossRef]
  19. Frisch, M.J.; Trucks, G.W.; Schlegel, H.B.; Scuseria, G.E.; Robb, M.A.; Cheeseman, J.R.; Scalmani, G.; Barone, V.; Mennucci, B.; Petersson, G.A.; et al. Gaussian 09, Revision A.02; Gaussian, Inc.: Wallingford, CT, USA, 2009.
  20. Gao, S.; Li, F. Neutral Stable Nitrogen-Centered Radicals: Structure, Properties, and Recent Functional Application Progress. Adv. Funct. Mater. 2023, 33, 2304291. [Google Scholar] [CrossRef]
  21. Weinhold, F. Natural bond orbital analysis: A critical overview of relationships to alternative bonding perspectives. J. Comp. Chem. 2012, 33, 2363–2379. [Google Scholar] [CrossRef]
  22. Glendening, E.D.; Hiatt, D.M.; Weinhold, F. Natural Bond Orbital Analysis of Chemical Structure, Spectroscopy, and Reactivity: How it Works. Compr. Comput. Chem. 2024, 2, 406–421. [Google Scholar] [CrossRef]
  23. Reed, A.E.; Curtiss, L.A.; Weinhold, F. Intermolecular interactions from a natural bond orbital, donor-acceptor viewpoint. Chem. Rev. 1988, 88, 899–926. [Google Scholar] [CrossRef]
  24. Zamora, P.P.; Bieger, K.; Cuchillo, A.; Tello, A.; Muena, J.P. Theoretical determination of a reaction intermediate: Fukui function analysis, dual reactivity descriptor and activation energy. J. Mol. Struct. 2021, 1227, 129369. [Google Scholar] [CrossRef]
  25. Zaklika, J.; Hładyszowski, J.; Ordon, P.; Komorowski, L. From the Electron Density Gradient to the Quantitative Reactivity Indicators: Local Softness and the Fukui Function. ACS Omega 2022, 7, 7745–7758. [Google Scholar] [CrossRef]
  26. Pucci, R.; Angilella, G.G.N. Density functional theory, chemical reactivity, and the Fukui functions. Found. Chem. 2022, 24, 59–71. [Google Scholar] [CrossRef]
  27. Nam, W.; Lee, Y.-M.; Fukuzumi, S. Tuning Reactivity and Mechanism in Oxidation Reactions by Mononuclear Nonheme Iron(IV)-Oxo Complexes. Acc. Chem. Res. 2014, 47, 1146–1154. [Google Scholar] [CrossRef]
  28. Kal, S.; Que, L. Dioxygen activation by nonheme iron enzymes with the 2-His-1-carboxylate facial triad that generate high-valent oxoiron oxidants. J. Biol. Inorg. Chem. 2017, 22, 339–365. [Google Scholar] [CrossRef]
  29. De Visser, S.P.; Mukherjee, G.; Ali, H.S.; Sastri, C.V. Local Charge Distributions, Electric Dipole Moments, and Local Electric Fields Influence Reactivity Patterns and Guide Regioselectivities in α-Ketoglutarate-Dependent Non-heme Iron Dioxygenases. Acc. Chem. Res. 2022, 55, 65–74. [Google Scholar] [CrossRef]
  30. Hou, K.; Börgel, J.; Jiang, H.Z.H.; SantaLucia, D.J.; Kwon, H.; Zhuang, H.; Chakarawet, K.; Rohde, R.C.; Taylor, J.W.; Dun, C.; et al. Reactive high-spin iron (IV)-oxo sites through dioxygen activation in a metal–organic framework. Science 2023, 382, 547–553. [Google Scholar] [CrossRef] [PubMed]
  31. Ali, H.S.; Henchman, R.H.; de Visser, S.P. Mechanism of Oxidative Ring-Closure as Part of the Hygromycin BiosynthesisStep by a Nonheme Iron Dioxygenase. ChemCatChem 2021, 13, 3054–3066. [Google Scholar] [CrossRef]
  32. Goto, M.; Takeshita, M.; Kanda, N.; Sakai, T.; Goedken, V.L. Stoichiometry and Kinetics of Base-Promoted Disproportionation with Concomitant Ligand Oxidation of Tetracyano(l,2-diamine)ferrate(III). Inorg. Chem. 1985, 24, 582–587. [Google Scholar] [CrossRef]
  33. Barefield, E.K.; Mocella, M.T. Mechanism of Base Promoted Reduction of Nickel(III) Complexes of Macrocyclic Amines. A Coordinated Ligand Radical Intermediate. J. Am. Chem. Soc. 1975, 97, 4238–4246. [Google Scholar] [CrossRef]
  34. Da Costa Ferreira, A.M.; Toma, H.E. Electron-transfer Kinetics and Mechanism of Di-imine Bond Formation in Tetracyano (et hylenediamine) ferrate (II). J. Chem. Soc. Dalton Trans. 1983, 9, 2051–2055. [Google Scholar] [CrossRef]
  35. Raleigh, C.J.; Martell, A.E. Oxidative Dehydrogenation of Coordinated l,9-Bis(2-pyridyl)-2,5,8-triazanonane through Formation of a Cobalt Dioxygen Complex intermediate. Inorg. Chem. 1985, 24, 142–148. [Google Scholar] [CrossRef]
  36. Morgenstern-Badarau, I.; Lambert, F.; Philippe Renault, J.; Cesario, M.; Maréchal, J.-D.; Maseras, F. Amine conformational change and spin conversion induced by metal-assisted ligand oxidation: From the seven-coordinate iron(II)–TPAA complex to the two oxidized iron(II)–(py)3tren isomers. Characterization, crystal structures, and density functional study. Inorg. Chim. Acta 2000, 297, 338–350. [Google Scholar] [CrossRef]
  37. Christian, G.J.; Arbuse, A.; Fontrodon, X.; Angeles Martinez, M.; Llobet, A.; Maseras, F. Oxidative dehydrogenation of an amine group of a macrocyclic ligand in the coordination sphere of a CuII complex. Dalton Trans. 2009, 30, 6013–6020. [Google Scholar] [CrossRef] [PubMed]
  38. Stubbe, J.A.; van der Donk, W.A. Protein Radicals in Enzyme Catalysis. Chem. Rev. 1998, 98, 705–762. [Google Scholar] [CrossRef] [PubMed]
  39. Mandal, A. Radical Chemistry: A Brief History and Overview. Asian J. Chem. 2023, 35, 1539–1562. [Google Scholar] [CrossRef]
  40. Zard, S.Z. Recent progress in the generation and use of nitrogen-centred radicals. Chem. Soc. Rev. 2008, 37, 1603–1618. [Google Scholar] [CrossRef]
  41. Pratley, C.; Fenner, S.; Murphy, J.A. Nitrogen-Centered Radicals in Functionalization of sp2 Systems: Generation, Reactivity, and Applications in Synthesis. Chem. Rev. 2022, 122, 8181–8260. [Google Scholar] [CrossRef] [PubMed]
  42. Büttner, T.; Geier, J.; Frison, G.; Harmer, J.; Calle, C.; Schweiger, A.; Schönberg, H.; Grützmacher, H. A Stable Aminyl Radical Metal Complex. Science 2005, 307, 235–238. [Google Scholar] [CrossRef] [PubMed]
  43. Olivos Suarez, A.I.; Lyaskovskyy, V.; Reek, J.N.H.; van der Vlugt, J.I.; de Bruin, B. Complexes with Nitrogen-Centered Radical Ligands: Classification, Spectroscopic Features, Reactivity, and Catalytic Applications. Angew. Chem. Int. Ed. 2013, 52, 12510–12529. [Google Scholar] [CrossRef] [PubMed]
  44. Kaim, W. Manifestations of Noninnocent Ligand Behavior. Inorg. Chem. 2011, 50, 9752–9765. [Google Scholar] [CrossRef]
  45. Becke, A.D. Density-functional exchange-energy approximation with correct asymptotic behavior. Phys. Rev. A 1988, 38, 3098–3100. [Google Scholar] [CrossRef] [PubMed]
  46. Perdew, J.P.; Wang, Y. Accurate and simple analytic representation of the electron-gas correlation energy. Phys. Rev. B 1992, 45, 13244–13249. [Google Scholar] [CrossRef]
  47. Perdew, J.P.; Burke, K.; Ernzerhof, M. Generalized gradient Approximation Made Simple. Phys. Rev. Lett. 1996, 77, 3865–3868. [Google Scholar] [CrossRef]
  48. Raghavachari, K.; Trucks, G.W. Highly correlated systems. Excitation energies of first row transition metals Sc–Cu. J. Chem. Phys. 1989, 91, 1062–1065. [Google Scholar] [CrossRef]
  49. Hehre, W.J.; Ditchfield, R.; Pople, J.A. Self—Consistent Molecular Orbital Methods. XII. Further Extensions of Gaussian—Type Basis Sets for Use in Molecular Orbital Studies of Organic Molecules. J. Chem. Phys. 1972, 56, 2257–2261. [Google Scholar] [CrossRef]
  50. Frisch, M.J.; People, J.A.; Binkley, J.S. Self-consistent molecular orbital methods 25. Supplementary functions for Gaussian basis sets. J. Chem. Phys. 1984, 80, 3265–3269. [Google Scholar] [CrossRef]
  51. Liskow, D.H.; Schaefer III, H.F.; Bender, C.F. Geometry and Electronic Structure of the Hydroperoxyl Radical. J. Am. Chem. Soc. 1971, 93, 6734–6737. [Google Scholar] [CrossRef]
  52. Castro Martínez, F.M.; Páez López, R.D.; Sarmiento Pavía, P.D.; Sosa Torres, M.E.; Kroneck, P.M.H. Cytochrome P450. The Dioxygen-Activating Heme Thiolate. Met. Ions Life Sci. 2020, 20, 165–197. [Google Scholar] [CrossRef]
  53. Arnold, F.H. Directed Evolution: Bringing New Chemistry to Life. Angew. Chem. Int. Ed. 2018, 57, 4143–4148. [Google Scholar] [CrossRef] [PubMed]
  54. Neese, F. A perspective on the future of quantum chemical software: The example of the ORCA program package. Faraday Discuss. 2024, 254, 295–314. [Google Scholar] [CrossRef] [PubMed]
Figure 1. Oxidative dehydrogenation of pyridyl–amine Fe(III) complex (1), [FeIIIL3]3+, to mono–imine Fe(II) complex (2), [FeIIL4]2+, and (3), [FeIIL3]2+ in anoxic (N2, no external oxidant) and oxic (oxidant O2) conditions.
Figure 1. Oxidative dehydrogenation of pyridyl–amine Fe(III) complex (1), [FeIIIL3]3+, to mono–imine Fe(II) complex (2), [FeIIL4]2+, and (3), [FeIIL3]2+ in anoxic (N2, no external oxidant) and oxic (oxidant O2) conditions.
Inorganics 13 00022 g001
Figure 2. A mechanistic proposal for the oxidative dehydrogenation of pyridyl–amine Fe(III) complex [FeIIIL3]3+ (1) in the presence of dioxygen. (i) [FeIIIL3]3+ (1) is attacked by C2H5O producing the amido compound (ii), described as the delocalized “resonance” nitrogen radical (2a) (iii) which then is attacked by O2 via HAT in the rate limiting step, k2 (Equation (A2)), to form the transition state (iv). Note that there is a regioselective hydrogen abstraction (H7a) to produce the final compounds (2) and HO2.
Figure 2. A mechanistic proposal for the oxidative dehydrogenation of pyridyl–amine Fe(III) complex [FeIIIL3]3+ (1) in the presence of dioxygen. (i) [FeIIIL3]3+ (1) is attacked by C2H5O producing the amido compound (ii), described as the delocalized “resonance” nitrogen radical (2a) (iii) which then is attacked by O2 via HAT in the rate limiting step, k2 (Equation (A2)), to form the transition state (iv). Note that there is a regioselective hydrogen abstraction (H7a) to produce the final compounds (2) and HO2.
Inorganics 13 00022 g002
Figure 3. Optimized structures of nitrogen radicals (2a): [FeIIL3N8•]2+ and [FeIIL3N14•]2+ calculated using the X–ray coordinates of [FeIIL4][C6H5)4]2 (CCDC–286407); Fe orange, H white, C grey, N blue, O red.
Figure 3. Optimized structures of nitrogen radicals (2a): [FeIIL3N8•]2+ and [FeIIL3N14•]2+ calculated using the X–ray coordinates of [FeIIL4][C6H5)4]2 (CCDC–286407); Fe orange, H white, C grey, N blue, O red.
Inorganics 13 00022 g003
Figure 4. Stereoisomers [FeIIL3N8•–C7D7aH7b]2+ (A) and [FeIIL3N8•–C7H7aD7b]2+ (B).
Figure 4. Stereoisomers [FeIIL3N8•–C7D7aH7b]2+ (A) and [FeIIL3N8•–C7H7aD7b]2+ (B).
Inorganics 13 00022 g004
Figure 5. Optimized structure of the transition state {[FeIIL3N8• C7•]2+---H7a---3O2} (M = 4); TS distances Fe–O2 4.02 Å, C7H7a–O2 1.08 Å, O–O 1.30 Å vs. starting distances Fe–O2 4.06 Å, O–O 1.21 Å; Fe orange, H white, C grey, N blue, O red.
Figure 5. Optimized structure of the transition state {[FeIIL3N8• C7•]2+---H7a---3O2} (M = 4); TS distances Fe–O2 4.02 Å, C7H7a–O2 1.08 Å, O–O 1.30 Å vs. starting distances Fe–O2 4.06 Å, O–O 1.21 Å; Fe orange, H white, C grey, N blue, O red.
Inorganics 13 00022 g005
Figure 6. (A). Spin density population analysis of the reactive fragments of [FeIIL3N8•]2+, (2a) (M = 2) and 3O2 (M = 3) undergoing hydrogen atom transfer; spin density values in black, bond lengths (Ǻ) in blue. (B). Spin density contour plots for the reactive fragments of [FeIIL3N8•]2+, (2a) (M = 2) and 3O2 (M = 3) undergoing hydrogen atom transfer; the imine product, [FeIIL4]2+, species (v) in (A), has zero spin and is diamagnetic (M = 1); blue region, spin up; red region, spin down.
Figure 6. (A). Spin density population analysis of the reactive fragments of [FeIIL3N8•]2+, (2a) (M = 2) and 3O2 (M = 3) undergoing hydrogen atom transfer; spin density values in black, bond lengths (Ǻ) in blue. (B). Spin density contour plots for the reactive fragments of [FeIIL3N8•]2+, (2a) (M = 2) and 3O2 (M = 3) undergoing hydrogen atom transfer; the imine product, [FeIIL4]2+, species (v) in (A), has zero spin and is diamagnetic (M = 1); blue region, spin up; red region, spin down.
Inorganics 13 00022 g006
Figure 7. Natural Bond Order charge population analysis of the reactive fragment of [FeIIL3N8•]2+, (2a) (M = 2) and 3O2 (M = 3) undergoing hydrogen atom transfer; charge population red, bond length (Å) blue.
Figure 7. Natural Bond Order charge population analysis of the reactive fragment of [FeIIL3N8•]2+, (2a) (M = 2) and 3O2 (M = 3) undergoing hydrogen atom transfer; charge population red, bond length (Å) blue.
Inorganics 13 00022 g007
Figure 8. Frontier orbitals (HOMO–LUMO) of nitrogen radical [FeIIL3N8•]2+ (2a). The significantly lower energy gap of 1.21 eV for HOMO–β and LUMO–β, compared to 1.94 eV for HOMO–α and LUMO–α, suggests that HOMO–β and LUMO–β play a major role in charge transfer, occurring from C7H7a to O2 and from O2 back to C7H7a during the imine formation process. Green and red stands for the bonding and antibonding regions of the frontier HOMO and LUMO molecular orbitals.
Figure 8. Frontier orbitals (HOMO–LUMO) of nitrogen radical [FeIIL3N8•]2+ (2a). The significantly lower energy gap of 1.21 eV for HOMO–β and LUMO–β, compared to 1.94 eV for HOMO–α and LUMO–α, suggests that HOMO–β and LUMO–β play a major role in charge transfer, occurring from C7H7a to O2 and from O2 back to C7H7a during the imine formation process. Green and red stands for the bonding and antibonding regions of the frontier HOMO and LUMO molecular orbitals.
Inorganics 13 00022 g008
Figure 9. Energy profile calculated for the ODH reaction [FeIIIL3]3+ + 3O2 + C2H5O → [FeIIL4]2+ + HO2 + C2H5OH (see HAT mechanism outlined in Figure 2); Ea = 19.34 kcal mol−1; ΔH = 19.19 kcal mol−1; ΔS = –0.034 kcal mol−1 K−1. Electronic energies corrected for ZPE (Table 1).
Figure 9. Energy profile calculated for the ODH reaction [FeIIIL3]3+ + 3O2 + C2H5O → [FeIIL4]2+ + HO2 + C2H5OH (see HAT mechanism outlined in Figure 2); Ea = 19.34 kcal mol−1; ΔH = 19.19 kcal mol−1; ΔS = –0.034 kcal mol−1 K−1. Electronic energies corrected for ZPE (Table 1).
Inorganics 13 00022 g009
Table 1. Calculated energies (kcal mol−1) for [FeIIIL3]3+ (1), C2H5O, [FeIIL3N8•]2+ (2a), C2H5OH, O2, {[FeIIL3N8• C7•]2+---H7a---3O2} (TS), [FeIIL4]2+ (2), and HO2; M, multiplicity; EE, electronic energy; ZPE, zero–point energy; TEC, thermal enthalpy correction; TS, transition state.
Table 1. Calculated energies (kcal mol−1) for [FeIIIL3]3+ (1), C2H5O, [FeIIL3N8•]2+ (2a), C2H5OH, O2, {[FeIIL3N8• C7•]2+---H7a---3O2} (TS), [FeIIL4]2+ (2), and HO2; M, multiplicity; EE, electronic energy; ZPE, zero–point energy; TEC, thermal enthalpy correction; TS, transition state.
SpeciesMEE + ZPE (kcal mol−1)EE + TEC (kcal mol−1)
[FeIIIL3]3+, (1)2−1,629,611.901−1,629,593.709
4−1,629,599.929−1,629,581.205
6−1,629,597.183−1,629,577.986
C2H5O1−96,657.889−96,654.857
[FeIIL3N8•]2+ (2a)2−1,629,517.246−1,629,499.171
4−1,629,500.632−1,629,481.836
6−1,629,495.890−1,629,476.821
C2H5OH1−97,041.209−97,037.904
O23−94,164.405−94,162.330
{[FeIIL3N8• C7•]2+---H7a---3O2} (TS)4−1,723,662.304−1,723,642.314
[FeIIL4]2+ (2)1−1,629,159.347−1,629,141.605
3−1,629,138.195−1,629,119.575
5−1,629,138.422−1,629,119.446
HO22−94,518.050−94,515.661
Table 2. Calculated bond lengths and vibrational frequencies of the nitrogen radicals [FeIIL3N8•]2+ and [FeIIL3N14•]2+; asymmetric stretching band νas, symmetric stretching band νs.
Table 2. Calculated bond lengths and vibrational frequencies of the nitrogen radicals [FeIIL3N8•]2+ and [FeIIL3N14•]2+; asymmetric stretching band νas, symmetric stretching band νs.
IsomerBondLength (Å)Frequency (cm−1)
[FeIIL3N8•]2+N8-C71.43(8)
C7-H7a1.12(2)2937.73 (H7a-C7-H7b νas)
C7-H7b1.11(7)2873.72 (H7a-C7-H7b νs)
N14-C151.48(2)
C15-H15a1.11(1)3023.81 (H15a-C15-H15b νas)
C15-H15b1.11(2)2976.22 (H15a-C15-H15b νs)
[FeIIL3N14•]2+N8-C71.47(9)
C7-H7a1.11(1)3031.81 (H7a-C7-H7b νas)
C7-H7b1.11(1)2978.06 (H7a-C7-H7b νs)
N14-C151.44(7)
C15-H15a1.11(7)2989.45 (H15a-C15-H15b νas)
C15-H15b1.11(2)2924.56 (H15a-C15-H15b νs)
Table 3. Fukui indices of selected atoms in radicals [FeIIL3N8•]2+ and [FeIIL3N14•]2+.
Table 3. Fukui indices of selected atoms in radicals [FeIIL3N8•]2+ and [FeIIL3N14•]2+.
AtomFukui Indices
[FeIIL3N8•]2+f +f −Δf
N8−0.156−0.1810.025
C70.0170.0110.006
H7b−0.030−0.0420.012
H7a−0.038−0.0610.023
C60.0100.015−0.005
[FeIIL3N14•]2+f +f −Δf
N14−0.200−0.099−0.101
C150.0160.0110.005
H15a−0.024−0.0250.001
H15b−0.038−0.026−0.012
C160.0060.0010.005
Disclaimer/Publisher’s Note: The statements, opinions and data contained in all publications are solely those of the individual author(s) and contributor(s) and not of MDPI and/or the editor(s). MDPI and/or the editor(s) disclaim responsibility for any injury to people or property resulting from any ideas, methods, instructions or products referred to in the content.

Share and Cite

MDPI and ACS Style

Páez-López, R.D.; Gómez-Soto, M.Á.; Cortés-Hernández, H.F.; Solano-Peralta, A.; Castro, M.; Kroneck, P.M.H.; Sosa-Torres, M.E. Understanding Dioxygen Activation in the Fe(III)-Promoted Oxidative Dehydrogenation of Amines: A Computational Study. Inorganics 2025, 13, 22. https://doi.org/10.3390/inorganics13010022

AMA Style

Páez-López RD, Gómez-Soto MÁ, Cortés-Hernández HF, Solano-Peralta A, Castro M, Kroneck PMH, Sosa-Torres ME. Understanding Dioxygen Activation in the Fe(III)-Promoted Oxidative Dehydrogenation of Amines: A Computational Study. Inorganics. 2025; 13(1):22. https://doi.org/10.3390/inorganics13010022

Chicago/Turabian Style

Páez-López, Ricardo D., Miguel Á. Gómez-Soto, Héctor F. Cortés-Hernández, Alejandro Solano-Peralta, Miguel Castro, Peter M. H. Kroneck, and Martha E. Sosa-Torres. 2025. "Understanding Dioxygen Activation in the Fe(III)-Promoted Oxidative Dehydrogenation of Amines: A Computational Study" Inorganics 13, no. 1: 22. https://doi.org/10.3390/inorganics13010022

APA Style

Páez-López, R. D., Gómez-Soto, M. Á., Cortés-Hernández, H. F., Solano-Peralta, A., Castro, M., Kroneck, P. M. H., & Sosa-Torres, M. E. (2025). Understanding Dioxygen Activation in the Fe(III)-Promoted Oxidative Dehydrogenation of Amines: A Computational Study. Inorganics, 13(1), 22. https://doi.org/10.3390/inorganics13010022

Note that from the first issue of 2016, this journal uses article numbers instead of page numbers. See further details here.

Article Metrics

Back to TopTop