Portable Electrochemical Immunosensor Based on a Gold Microblobs-Optimized Screen-Printed Electrode for SARS-CoV-2 Diagnosis
Abstract
1. Introduction
2. Results and Discussion
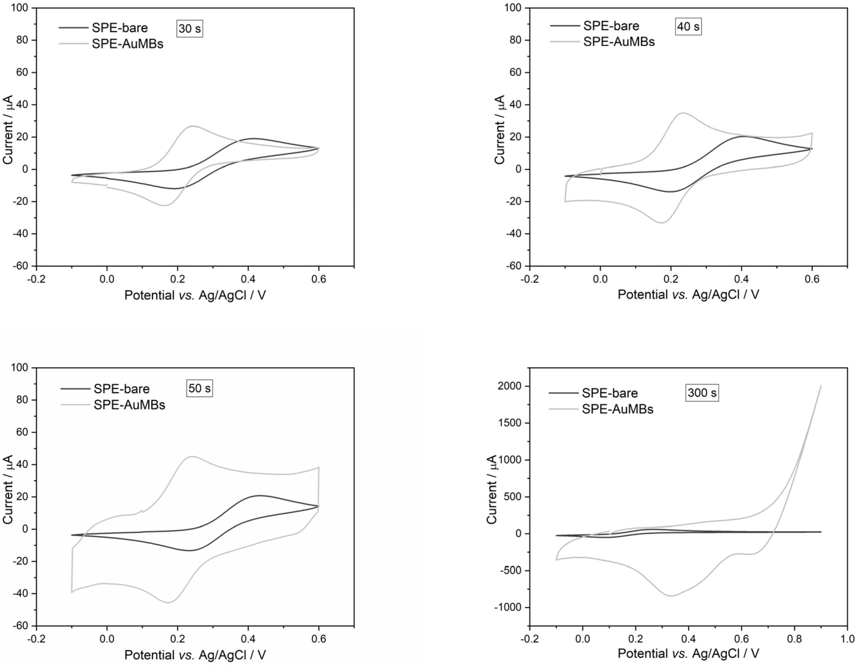
2.1. Optimization of the AuMB Synthesis
2.2. Cysteamine-Activation of SPE-AuMBs
2.3. AB Detection
3. Materials and Methods
3.1. AuMBs Synthesis on SPE
3.2. SPE-AuMBs Amination
3.3. Immobilization of the Spike Protein (Antigen) on the Electrode
3.4. Antibody Detection
4. Conclusions
Author Contributions
Funding
Data Availability Statement
Acknowledgments
Conflicts of Interest
References
- Yan, T.; Zhang, G.; Chai, H.; Qu, L.; Zhang, X. Flexible Biosensors Based on Colorimetry, Fluorescence, and Electrochemistry for Point-of-Care Testing. Front. Bioeng. Biotechnol. 2021, 9, 753692. [Google Scholar] [CrossRef] [PubMed]
- de Eguilaz, M.R.; Cumba, L.R.; Forster, R.J. Electrochemical Detection of Viruses and Antibodies: A Mini Review. Electrochem. Commun. 2020, 116, 106762. [Google Scholar] [CrossRef] [PubMed]
- Brazaca, L.C.; dos Santos, P.L.; de Oliveira, P.R.; Rocha, D.P.; Stefano, J.S.; Kalinke, C.; Abarza Muñoz, R.A.; Bonacin, J.A.; Janegitz, B.C.; Carrilho, E. Biosensing Strategies for the Electrochemical Detection of Viruses and Viral Diseases—A Review. Anal. Chim. Acta 2021, 1159, 338384. [Google Scholar] [CrossRef]
- Wan, X.; Du, H.; Tuo, D.; Qi, X.; Wang, T.; Wu, J.; Li, G. UiO-66/Carboxylated Multiwalled Carbon Nanotube Composites for Highly Efficient and Stable Voltammetric Sensors for Gatifloxacin. ACS Appl. Nano Mater. 2023, 6, 19403–19413. [Google Scholar] [CrossRef]
- Wang, T.; Xia, Y.; Wan, X.; Zhang, Y.; Chen, N.; Jin, Y.; Li, G. A Facile and Efficient Voltammetric Sensor for Marbofloxacin Detection Based on Zirconium-Based Metal-Organic Framework UiO-66/Nitrogen-Doped Graphene Nanocomposite. Microchem. J. 2024, 201, 110673. [Google Scholar] [CrossRef]
- Safitri, E.; Heng, L.Y.; Ahmad, M.; Tan, L.L.; Nazaruddin, N.; Suhud, K.; Chiang, C.P.; Iqhrammullah, M. Electrochemical DNA Biosensor Based on Mercaptopropionic Acid-Capped ZnS Quantum Dots for Determination of the Gender of Arowana Fish. Biosensors 2022, 12, 650. [Google Scholar] [CrossRef]
- Li, X.; Shi, F.; Wang, L.; Zhang, S.; Yan, L.; Zhang, X.; Sun, W. Electrochemical Biosensor Based on Horseradish Peroxidase and Black Phosphorene Quantum Dot Modified Electrode. Molecules 2023, 28, 6151. [Google Scholar] [CrossRef]
- Shao, B.; Chen, W.; Yan, L.; Huang, Y.; Wang, B.; Zou, Q.; Xuan, Y.; Sun, W.; Niu, Y. Preparation and Electrocatalytic Study of Myoglobin Biosensor Based on Platinum-Gold-Three Dimensional Graphene Modified Electrode. Int. J. Electrochem. Sci. 2021, 16, 211039. [Google Scholar] [CrossRef]
- Sheikholeslam, M.; Nanda, P.; Sanati, A.; Pritzker, M.; Chen, P. Direct Electrochemistry of Hemoglobin/Peptide-Carbon Nanotube Modified Electrode for Hydrogen Peroxide Biosensing. Mater. Lett. 2023, 335, 133799. [Google Scholar] [CrossRef]
- Yan, L.; Shi, F.; Zhang, J.; Niu, Y.; Huang, L.; Huang, Y.; Sun, W. Electrochemical DNA Biosensor Based on Platinum-Gold Bimetal Decorated Graphene Modified Electrode for the Detection of Vibrio Parahaemolyticus Specific Tlh Gene Sequence. Curr. Anal. Chem. 2022, 18, 781–789. [Google Scholar] [CrossRef]
- Sun, Y.; Wang, B.; Deng, Y.; Cheng, H.; Li, X.; Yan, L.; Li, G.; Sun, W. Reduced Graphene Oxide/Titanium Carbide MXene Nanocomposite-Modified Electrode for Electrochemical Hemoglobin Biosensor. J. Chin. Chem. Soc. 2021, 68, 2326–2336. [Google Scholar] [CrossRef]
- Wen, Z.; Niu, X.; Li, X.; Zhao, W.; Li, X.; Ma, D.; Deng, Y.; Sun, X.; Sun, W. Application of Nanosized LiFePO4 Modified Electrode to Electrochemical Sensor and Biosensor. Curr. Anal. Chem. 2018, 14, 452–457. [Google Scholar] [CrossRef]
- Zheng, D.; Zhang, R.; Chen, J.; Feng, Z.; Lin, S. A Highly Sensitivity Electrochemistry Biosensor for E. coli DNA Detection Based on Hollow and Porous DCuO@rGO Composite. Inorg. Chem. Commun. 2024, 166, 112621. [Google Scholar] [CrossRef]
- Pusomjit, P.; Teengam, P.; Thepsuparungsikul, N.; Sanongkiet, S.; Chailapakul, O. Impedimetric Determination of Cortisol Using Screen-Printed Electrode with Aptamer-Modified Magnetic Beads. Microchim. Acta 2021, 188, 41. [Google Scholar] [CrossRef] [PubMed]
- Moon, J.; Jiang, H.; Lee, E.C. Physical Surface Modification of Carbon-Nanotube/ Polydimethylsiloxane Composite Electrodes for High-Sensitivity Dna Detection. Nanomaterials 2021, 11, 2661. [Google Scholar] [CrossRef] [PubMed]
- Ye, X.; Li, J.; Jiang, T.; Li, B.; Chen, J. A Portable Electrochemical Impedance Spectroscopy Lab-on-Chip System for Biosensing Applications. In Proceedings of the IEEE International Symposium on Circuits and Systems, Austin, TX, USA, 27 May–1 June 2022; pp. 1347–1351. [Google Scholar] [CrossRef]
- Roberto de Oliveira, P.; Crapnell, R.D.; Garcia-Miranda Ferrari, A.; Wuamprakhon, P.; Hurst, N.J.; Dempsey-Hibbert, N.C.; Sawangphruk, M.; Janegitz, B.C.; Banks, C.E. Low-Cost, Facile Droplet Modification of Screen-Printed Arrays for Internally Validated Electrochemical Detection of Serum Procalcitonin. Biosens. Bioelectron. 2023, 228, 115220. [Google Scholar] [CrossRef]
- Elewi, A.S.; Al-Shammaree, S.A.W.; AL Sammarraie, A.K.M.A. Hydrogen Peroxide Biosensor Based on Hemoglobin-Modified Gold Nanoparticles–Screen Printed Carbon Electrode. Sens. Biosensing Res. 2020, 28, 100340. [Google Scholar] [CrossRef]
- Koudelková, Z.; Sedláčková, E.; Richtera, L.; Švec, P.; Adam, V. Gold Nanoparticles Modified Screen Printed Carbon Electrode as a Tool for Detection of TP53. In Proceedings of the NANOCON 11th International Conference on Nanomaterials—Research & Application, Brno, Czech Republic, 16–18 October 2020; pp. 402–405. [Google Scholar] [CrossRef]
- Mulyani, R.; Yumna, N.; Maksum, I.P.; Subroto, T.; Hartati, Y.W. Optimization of Aptamer-Based Electrochemical Biosensor for ATP Detection Using Screen-Printed Carbon Electrode/Gold Nanoparticles (SPCE/AuNP). Indones. J. Chem. 2022, 22, 1256–1268. [Google Scholar] [CrossRef]
- Hodson, R. Preparing the World for the next Pandemic. Nature 2022, 610, S33. [Google Scholar] [CrossRef]
- Nascimento, E.D.; Fonseca, W.T.; de Oliveira, T.R.; de Correia, C.R.S.T.B.; Faça, V.M.; de Morais, B.P.; Silvestrini, V.C.; Pott-Junior, H.; Teixeira, F.R.; Faria, R.C. COVID-19 Diagnosis by SARS-CoV-2 Spike Protein Detection in Saliva Using an Ultrasensitive Magneto-Assay Based on Disposable Electrochemical Sensor. Sens. Actuators B Chem. 2022, 353, 131128. [Google Scholar] [CrossRef]
- Triastuti, A.; Zakiyyah, S.N.; Gaffar, S.; Anshori, I.; Surawijaya, A.; Hidayat, D.; Wiraswati, H.L.; Yusuf, M.; Hartati, Y.W. CeO2@NH2 Functionalized Electrodes for the Rapid Detection of SARS-CoV-2 Spike Receptor Binding Domain. RSC Adv. 2023, 13, 5874–5884. [Google Scholar] [CrossRef] [PubMed]
- Brazaca, L.C.; Imamura, A.H.; Gomes, N.O.; Almeida, M.B.; Scheidt, D.T.; Raymundo-Pereira, P.A.; Oliveira, O.N.; Janegitz, B.C.; Machado, S.A.S.; Carrilho, E. Electrochemical Immunosensors Using Electrodeposited Gold Nanostructures for Detecting the S Proteins from SARS-CoV and SARS-CoV-2. Anal. Bioanal. Chem. 2022, 414, 5507–5517. [Google Scholar] [CrossRef] [PubMed]
- Karakuş, E.; Erdemir, E.; Demirbilek, N.; Liv, L. Colorimetric and Electrochemical Detection of SARS-CoV-2 Spike Antigen with a Gold Nanoparticle-Based Biosensor. Anal. Chim. Acta 2021, 1182, 338939. [Google Scholar] [CrossRef] [PubMed]
- Zamzami, M.A.; Rabbani, G.; Ahmad, A.; Basalah, A.A.; Al-Sabban, W.H.; Nate Ahn, S.; Choudhry, H. Carbon Nanotube Field-Effect Transistor (CNT-FET)-Based Biosensor for Rapid Detection of SARS-CoV-2 (COVID-19) Surface Spike Protein S1. Bioelectrochemistry 2022, 143, 107982. [Google Scholar] [CrossRef]
- Yang, X.; Yin, Z.Z.; Zheng, G.; Zhou, M.; Zhang, H.; Li, J.; Cai, W.; Kong, Y. Molecularly Imprinted Miniature Electrochemical Biosensor for SARS-CoV-2 Spike Protein Based on Au Nanoparticles and Reduced Graphene Oxide Modified Acupuncture Needle. Bioelectrochemistry 2023, 151, 108375. [Google Scholar] [CrossRef]
- Ayankojo, A.G.; Boroznjak, R.; Reut, J.; Öpik, A.; Syritski, V. Molecularly Imprinted Polymer Based Electrochemical Sensor for Quantitative Detection of SARS-CoV-2 Spike Protein. Sens. Actuators B Chem. 2022, 353, 131160. [Google Scholar] [CrossRef]
- Drobysh, M.; Liustrovaite, V.; Baradoke, A.; Viter, R.; Chen, C.F.; Ramanavicius, A.; Ramanaviciene, A. Determination of RSpike Protein by Specific Antibodies with Screen-Printed Carbon Electrode Modified by Electrodeposited Gold Nanostructures. Biosensors 2022, 12, 593. [Google Scholar] [CrossRef]
- Zeng, W.; Ma, H.; Ding, C.; Yang, Y.; Sun, Y.; Huang, X.; He, W.; Xiang, Y.; Gao, Y.; Jin, T. Characterization of SARS-CoV-2-Specific Antibodies in COVID-19 Patients Reveals Highly Potent Neutralizing IgA. Signal Transduct. Target. Ther. 2021, 6, 35. [Google Scholar] [CrossRef]
- Liv, L.; Kayabay, H. An Electrochemical Biosensing Platform for the SARS-CoV-2 Spike Antibody Detection Based on the Functionalised SARS-CoV-2 Spike Antigen Modified Electrode. ChemistrySelect 2022, 7, e202200256. [Google Scholar] [CrossRef]
- Klein, R.S.; Taniguchi, M.M.; dos Santos, P.D.; Bonafe, E.G.; Martins, A.F.; Monteiro, J.P. Trans-Resveratrol Electrochemical Detection Using Portable Device Based on Unmodified Screen-Printed Electrode. J. Pharm. Biomed. Anal. 2022, 207, 114399. [Google Scholar] [CrossRef]
- Jaewjaroenwattana, J.; Phoolcharoen, W.; Pasomsub, E.; Teengam, P.; Chailapakul, O. Electrochemical Paper-Based Antigen Sensing Platform Using Plant-Derived Monoclonal Antibody for Detecting SARS-CoV-2. Talanta 2023, 251, 123783. [Google Scholar] [CrossRef] [PubMed]
- Primpray, V.; Kamsong, W.; Pakapongpan, S.; Phochakum, K.; Kaewchaem, A.; Sappat, A.; Wisitsoraat, A.; Lomas, T.; Tuantranont, A.; Karuwan, C. An Alternative Ready-to-Use Electrochemical Immunosensor for Point-of-Care COVID-19 Diagnosis Using Graphene Screen-Printed Electrodes Coupled with a 3D-Printed Portable Potentiostat. Talanta Open 2022, 6, 100155. [Google Scholar] [CrossRef] [PubMed]
- Gevaerd, A.; Carneiro, E.A.; Gogola, J.L.; Nicollete, D.R.P.; Santiago, E.B.; Riedi, H.P.; Timm, A.; Predebon, J.V.; Hartmann, L.F.; Ribeiro, V.H.A.; et al. Utilizing COVID-19 as a Model for Diagnostics Using an Electrochemical Sensor. Sensors 2024, 24, 3772. [Google Scholar] [CrossRef] [PubMed]
- Ehsan, M.A.; Khan, S.A.; Rehman, A. Screen-Printed Graphene/Carbon Electrodes on Paper Substrates as Impedance Sensors for Detection of Coronavirus in Nasopharyngeal Fluid Samples. Diagnostics 2021, 11, 1030. [Google Scholar] [CrossRef]
- Malvano, F.; Albanese, D.; Crescitelli, A.; Pilloton, R.; Esposito, E. Impedimetric Label-Free Immunosensor on Disposable Modified Screen-Printed Electrodes for Ochratoxin A. Biosensors 2016, 6, 33. [Google Scholar] [CrossRef]










| Elements | SPE-AuMBs | SPE-AuMBs/-NH2 |
|---|---|---|
| Occurrence Percentage (%) | ||
| Al | 21.0 | 18.4 |
| Si | 47.9 | 43.3 |
| S | -- | 0.2 |
| Cl | 11.9 | 19.8 |
| Ti | 16.4 | 17.3 |
| Au | 2.8 | 1.2 |
| Analyte | Bioreceptor | SPE Type | Electrochemical Technique | LOD | Reference |
|---|---|---|---|---|---|
| Anti-rSpike | rSpike | Carbon | DPV | 0.14 nM | [29] |
| Anti-rSpike | rSpike | Carbon | CV | 0.27 nM | [29] |
| RBD Spike | Monoclonal Anti-RBD Spike on cellulose nanocrystal | Graphene | DPV | 2 fg/mL | [33] |
| RBD Spike | Anti-Horseradish peroxidase-conjugated SARS-CoV-2 RBD | poly(pyrrolepropionic acid)-modified graphene | Amperometry | 2 pg/mL | [34] |
| N Protein | Anti-N protein | Carbon | EIS | 1 ng/mL | [35] |
| RBD Spike | Anti-Spike | Graphene/carbon | EIS | 0.25 fg/mL | [36] |
| Anti-Spike | Spike | Carbon | DPV | 0.25 µg/mL (10 nM) | This Study |
Disclaimer/Publisher’s Note: The statements, opinions and data contained in all publications are solely those of the individual author(s) and contributor(s) and not of MDPI and/or the editor(s). MDPI and/or the editor(s) disclaim responsibility for any injury to people or property resulting from any ideas, methods, instructions or products referred to in the content. |
© 2024 by the authors. Licensee MDPI, Basel, Switzerland. This article is an open access article distributed under the terms and conditions of the Creative Commons Attribution (CC BY) license (https://creativecommons.org/licenses/by/4.0/).
Share and Cite
Giacomet, M.M.; Buzzetti, P.H.M.; Junior, O.O.S.; Martins, A.F.; Bonafe, E.G.; Monteiro, J.P. Portable Electrochemical Immunosensor Based on a Gold Microblobs-Optimized Screen-Printed Electrode for SARS-CoV-2 Diagnosis. Inorganics 2024, 12, 252. https://doi.org/10.3390/inorganics12090252
Giacomet MM, Buzzetti PHM, Junior OOS, Martins AF, Bonafe EG, Monteiro JP. Portable Electrochemical Immunosensor Based on a Gold Microblobs-Optimized Screen-Printed Electrode for SARS-CoV-2 Diagnosis. Inorganics. 2024; 12(9):252. https://doi.org/10.3390/inorganics12090252
Chicago/Turabian StyleGiacomet, Melissa M., Paulo H. M. Buzzetti, Oscar O. S. Junior, Alessandro F. Martins, Elton G. Bonafe, and Johny P. Monteiro. 2024. "Portable Electrochemical Immunosensor Based on a Gold Microblobs-Optimized Screen-Printed Electrode for SARS-CoV-2 Diagnosis" Inorganics 12, no. 9: 252. https://doi.org/10.3390/inorganics12090252
APA StyleGiacomet, M. M., Buzzetti, P. H. M., Junior, O. O. S., Martins, A. F., Bonafe, E. G., & Monteiro, J. P. (2024). Portable Electrochemical Immunosensor Based on a Gold Microblobs-Optimized Screen-Printed Electrode for SARS-CoV-2 Diagnosis. Inorganics, 12(9), 252. https://doi.org/10.3390/inorganics12090252

