Research on Modification of Oxygen-Producing Adsorbents for High-Altitude and Low-Pressure Environments
Abstract
1. Introduction
2. Experimental Section
2.1. Materials
2.2. Preparation of Sorbents
2.3. Nitrogen and Oxygen Adsorption Performance Analysis
3. Results and Discussion
3.1. Specific Surface Area and Pore Size Analysis of Modified Adsorbents
3.2. Pore Size Distribution Analysis
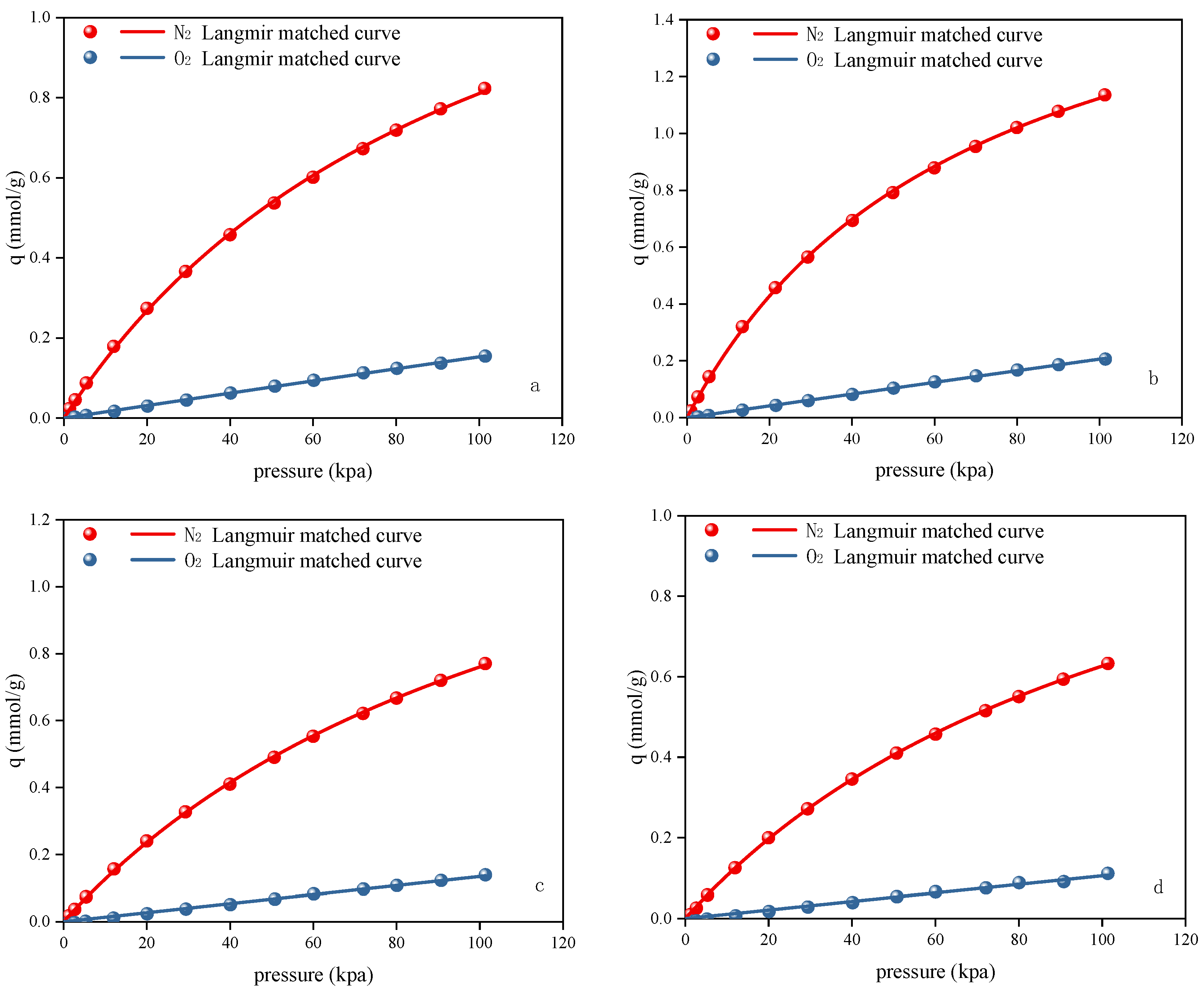
3.3. Study of Nitrogen–Oxygen Separation Performance of Modified Adsorbent
3.4. Nitrogen and Oxygen Adsorption and Separation Performance of Adsorbent under High Altitude and Low Air Pressure
4. Future Perspectives
5. Conclusions
Supplementary Materials
Author Contributions
Funding
Data Availability Statement
Conflicts of Interest
References
- Zhang, Q.; Liu, Y.; Li, Z. Experimental study on oxygen concentrator with wide product flow rate range: Individual parametric effect and process improvement strategy. Sep. Purif. Technol. 2021, 274, 118918. [Google Scholar] [CrossRef]
- Fu, Y.; Liu, Y.; Li, Z. Insights into adsorption separation of N2/O2 mixture on FAU zeolites under plateau special conditions: A molecular simulation study. Sep. Purif. Technol. 2020, 215, 117405. [Google Scholar] [CrossRef]
- Baksh, M.S.A.; Kikkinides, E.S.; Yang, R.T. Lithium Type X Zeolite as a Superior Sorbent for Air Separation. Sep. Sci. Technol. 1992, 27, 277–294. [Google Scholar] [CrossRef]
- Kirner, J.F. Nitrogen Adsorption with Highly Li Exchanged X-Zeolites with Low Si/Al ratio. U.S. Patent 5268023, 17 December 1993. [Google Scholar]
- Liu, Y.; Zhang, Q.; Cao, Y. Effect of intermittent purge on O2 production with rapid pressure swing adsorption technology. Adsorption 2020, 27, 181–189. [Google Scholar] [CrossRef]
- Coe, C.G.; Kirner, J.F.; Pierantozzi, R.; White, T.R. Nitrogen Adsorption with a Ca and/or Sr Exchanged Lithium X-Zeolite. U.S. Patent US07/811,404, 6 October 1992. [Google Scholar]
- Epiepang, F.E.; Yang, X.; Li, J. Air Separation Sorbents: Mixed-Cation Zeolites with Minimum Lithium and Silver. Chem. Eng. Sci. 2019, 198, 43–51. [Google Scholar] [CrossRef]
- Yang, R.T.; Chen, Y.D.; Peck, J.D.; Chen, N. Zeolites Containing Mixed Cations for Air Separation by Weak Chemisorption-Assisted Adsorption. Ind. Eng. Chem. Res. 1996, 35, 3093–3099. [Google Scholar] [CrossRef]
- Yang, X.; Epiepang, F.E.; Liu, Y. Heats of adsorption on mixed-cation LiNa-LSX: Estimating SIII site occupancy by Li. Chem. Eng. Sci. 2018, 178, 194–198. [Google Scholar] [CrossRef]
- Oka, H.; Kasahara, S.; Okada, T.; Yoshida, S.; Harada, A.; Ohki, H.; Okuda, T. Characterization of lithium sites in dehydrated LiCaNaKLSX by 7Li MAS NMR spectroscopy. Microporous Mesoporous Mater. 2002, 51, 1–5. [Google Scholar] [CrossRef]
- Rege, S.; Yang, R.A. Simple Parameter for Selecting an Adsorbent for Gas Separation by Pressure Swing Adsorption. Sep. Sci. Technol. 2001, 36, 3355–3365. [Google Scholar] [CrossRef]
- Hutson, N.D.; Rege, S.U.; Yang, R.T. Mixed Cation Zeolites Li-Ag-X as a Superior xy Adsorbent for Air Separation. AIChE J. 1999, 45, 724–734. [Google Scholar] [CrossRef]
- Panezai, H.; Sun, J.; Jin, X. Influence of alternative cations distribution in AgxLi96-x-LSX on dehydration kinetics and its selective adsorption performance for N2 and O2. AIP Adv. 2016, 6, 125115. [Google Scholar] [CrossRef]
- Fan, M.; Panezai, H.; Sun, J.; Bai, S.; Wu, X. Thermal and Kinetic Performance of Water Desorption for N2 Adsorption in Li-LSX Zeolite. Phys. Chem. C 2014, 18, 23761–23767. [Google Scholar] [CrossRef]
- Ferreira, D.; Magalhães, R.; Bessa, J.; Taveira, P.; Sousa, J.; Whitley, R.D.; Mendes, A. Study of AgLiLSX for Single-Stage High-Purity Oxygen Production. Ind. Eng. Chem. Res. 2014, 53, 15508–15516. [Google Scholar] [CrossRef]
- Jasra, R.V.; Choudary, N.V.; Bhat, S.G.T. Effect of presorbed water and temperature on adsorption of nitrogen and oxygen in NaCaA and NaMgA zeolites. Indian J. Chem. Sect. B. Org. Incl. Med. 1995, 34, 15–21. [Google Scholar] [CrossRef]
- Rege, S.U.; Yang, R.T. Limits for Air Separation by Adsorption with LiX Zeolite. Ind. Eng. Chem. Res. 1997, 36, 5358–5365. [Google Scholar] [CrossRef]
- Jasra, R.V.; Choudary, N.V.; Bhat, S. Correlation of Sorption Behavior of Nitrogen, Oxygen, and Argon with Cation Locations in Zeolite X. Ind. Eng. Chem. Res. 1996, 35, 4221–4229. [Google Scholar] [CrossRef]
- Fu, Y.; Liu, Y.; Yang, X. Thermodynamic analysis of molecular simulations of N2 and O2 adsorption on zeolites under plateau special conditions. Appl. Surf. Sci. 2019, 480, 868–875. [Google Scholar] [CrossRef]
- Wozniak, A.; Marler, B.; Angermund, K. Water and Cation Distribution in Fully and Partially Hydrated Li-LSX Zeolite. Chem. Mater. A Publ. Am. Chem. Soc. 2008, 20, 5968–5976. [Google Scholar] [CrossRef]
- Sebastian, J.; Jasra Raksh, V. Anomalous adsorption of nitrogen and argon in silver exchanged zeolite A. Chem. Commun. 2003, 2, 268–269. [Google Scholar] [CrossRef] [PubMed]
- Yang, R.T. Adsorbents: Fundamentals and Applications; John Wiley & Sons, Inc.: Hoboken, NJ, USA, 2003; pp. 131–156. [Google Scholar] [CrossRef]
- Remy, T.; Peter, S.A.; Van Tendeloo, L. Correction to Adsorption and Separation of CO2 on KFI Zeolites: Effect of Cation Type and Si/Al Ratio on Equilibrium and Kinetic Properties. J. Langmuir 2014, 30, 2968. [Google Scholar] [CrossRef]







| Adsorbent | Adsorption Capacity (mL/g) | S1 | S2 | S3 | |||||
|---|---|---|---|---|---|---|---|---|---|
| N2 | O2 | ||||||||
| Li-LSX | 24.68 | 3.48 | 7.09 | 11.58 | 11.23 | 2.5694 | 37.788 | 0.0074 | 0.00004 |
| AgLi-LSX-1 | 27.92 | 4.56 | 6.12 | 30.82 | 18.77 | 1.5123 | 3.4369 | 0.0438 | 0.0006 |
| AgLi-LSX-2 | 23.09 | 3.71 | 6.22 | 28.78 | 18.04 | 1.2676 | 2.8760 | 0.0397 | 0.0006 |
| AgLi-LSX-3 | 22.79 | 4.82 | 4.73 | 23.06 | 10.63 | 1.2675 | 203.98 | 0.0376 | 0.00001 |
| AgLi-LSX-4 | 10.32 | 2.99 | 3.45 | 10.24 | 6.92 | 0.6360 | 1.8434 | 0.0233 | 0.0008 |
| CaLi-LSX-1 | 23.11 | 4.40 | 5.25 | 11.18 | 8.87 | 2.5607 | 5.5616 | 0.0070 | 0.0003 |
| CaLi-LSX-2 | 25.83 | 4.22 | 6.12 | 12.21 | 11.74 | 2.1566 | 1.4702 | 0.0118 | 0.0016 |
| CaLi-LSX-3 | 14.94 | 3.15 | 4.74 | 8.23 | 7.85 | 1.4178 | 1.2574 | 0.0227 | 0.0020 |
| CaLi-LSX-4 | 9.13 | 2.86 | 3.20 | 5.15 | 4.32 | 1.2269 | 1.2594 | 0.0298 | 0.0013 |
| Adsorbent | Working Capacities (mL/g) | S4 | |
|---|---|---|---|
| N2 | O2 | ||
| Li-LSX | 18.80 | 5.43 | 40 |
| AgLiLSX-1 | 9.31 | 5.86 | 44 |
| AgLiLSX-2 | 6.34 | 5.07 | 35 |
| AgLiLSX-3 | 6.53 | 6.92 | 22 |
| AgLiLSX-4 | 4.06 | 4.05 | 10 |
| CaLiLSX-1 | 13.92 | 6.15 | 25 |
| CaLiLSX-2 | 14.91 | 6.47 | 25 |
| CaLiLSX-3 | 10.56 | 4.09 | 21 |
| CaLiLSX-4 | 7.51 | 4.02 | 9 |
| Altitudes (m) | 50 | 2000 | 3000 | 4000 | 5000 | |
|---|---|---|---|---|---|---|
| S4 | Li-LSX | 24.44 | 31.13 | 38.53 | 44.27 | 49.36 |
| AgLi-LSX-1 | 20.85 | 28.91 | 38.53 | 47.61 | 57.00 | |
| AgLi-LSX-2 | 16.60 | 22.78 | 30.97 | 38.81 | 47.02 | |
| CaLi-LSX-1 | 14.29 | 18.65 | 23.59 | 27.70 | 31.55 | |
| CaLi-LSX-2 | 15.26 | 19.11 | 23.34 | 26.91 | 30.28 |
Disclaimer/Publisher’s Note: The statements, opinions and data contained in all publications are solely those of the individual author(s) and contributor(s) and not of MDPI and/or the editor(s). MDPI and/or the editor(s) disclaim responsibility for any injury to people or property resulting from any ideas, methods, instructions or products referred to in the content. |
© 2024 by the authors. Licensee MDPI, Basel, Switzerland. This article is an open access article distributed under the terms and conditions of the Creative Commons Attribution (CC BY) license (https://creativecommons.org/licenses/by/4.0/).
Share and Cite
Li, Y.; Yue, H.; Zhang, Q.; Yan, D.; Li, Z.; Liu, Z.; Liu, Y.; Wang, Y.; Wang, S.; Yang, X. Research on Modification of Oxygen-Producing Adsorbents for High-Altitude and Low-Pressure Environments. Inorganics 2024, 12, 250. https://doi.org/10.3390/inorganics12090250
Li Y, Yue H, Zhang Q, Yan D, Li Z, Liu Z, Liu Y, Wang Y, Wang S, Yang X. Research on Modification of Oxygen-Producing Adsorbents for High-Altitude and Low-Pressure Environments. Inorganics. 2024; 12(9):250. https://doi.org/10.3390/inorganics12090250
Chicago/Turabian StyleLi, Ye, Huiqing Yue, Quanli Zhang, Dumin Yan, Ziyi Li, Zhiwei Liu, Yingshu Liu, Yongyan Wang, Shifeng Wang, and Xiong Yang. 2024. "Research on Modification of Oxygen-Producing Adsorbents for High-Altitude and Low-Pressure Environments" Inorganics 12, no. 9: 250. https://doi.org/10.3390/inorganics12090250
APA StyleLi, Y., Yue, H., Zhang, Q., Yan, D., Li, Z., Liu, Z., Liu, Y., Wang, Y., Wang, S., & Yang, X. (2024). Research on Modification of Oxygen-Producing Adsorbents for High-Altitude and Low-Pressure Environments. Inorganics, 12(9), 250. https://doi.org/10.3390/inorganics12090250

