Functionalization of Strontium Ferrite Nanoparticles with Novel Chitosan–Schiff Base Ligand for Efficient Removal of Pb(II) Ions from Aqueous Media
Abstract
1. Introduction
2. Results and Discussion
2.1. Characterization of the Chitosan–Schiff Base–SrFe12O19 Nanocomposite
2.2. Removal of Pb(II) Ions from Aqueous Media
2.2.1. Effect of pH
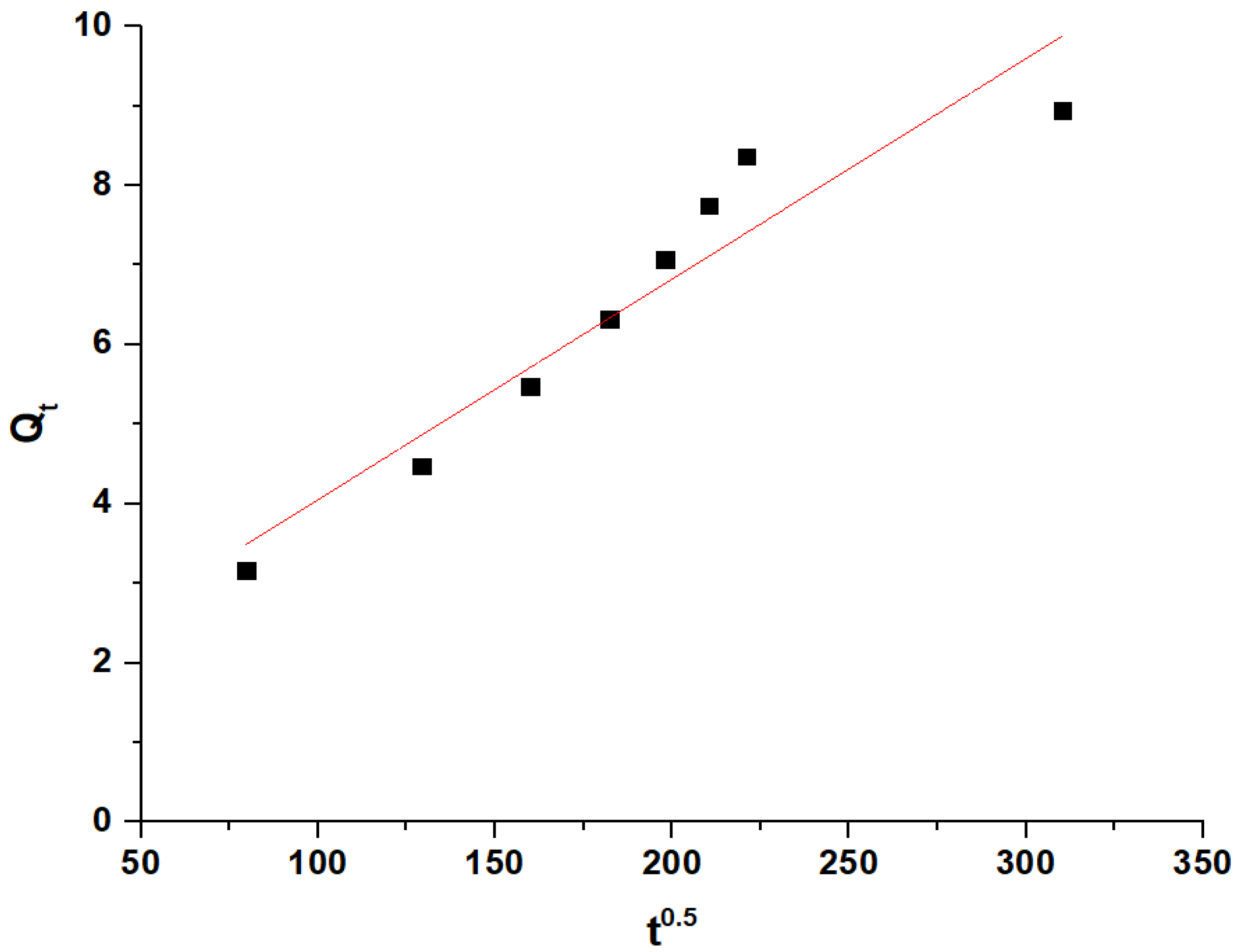
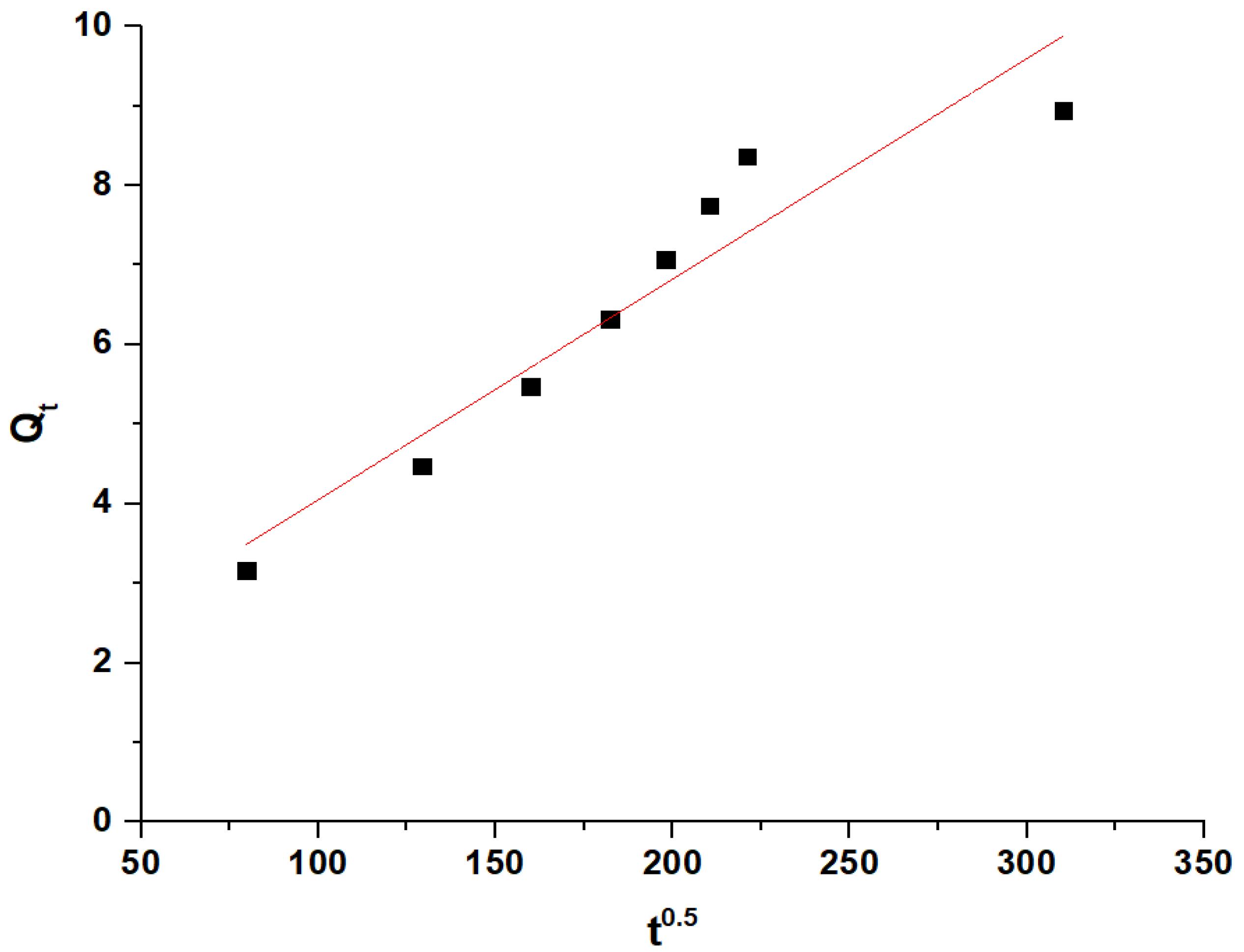
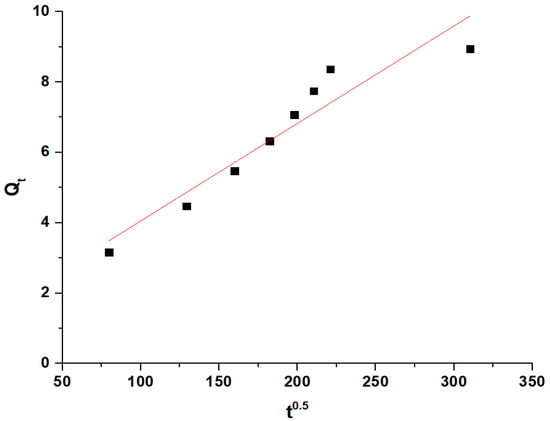
2.2.2. Effect of Contact Time
2.2.3. Effect of Temperature
2.2.4. Effect of Concentration
2.2.5. Reusability
3. Experiment
3.1. Chemicals
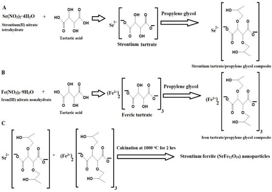
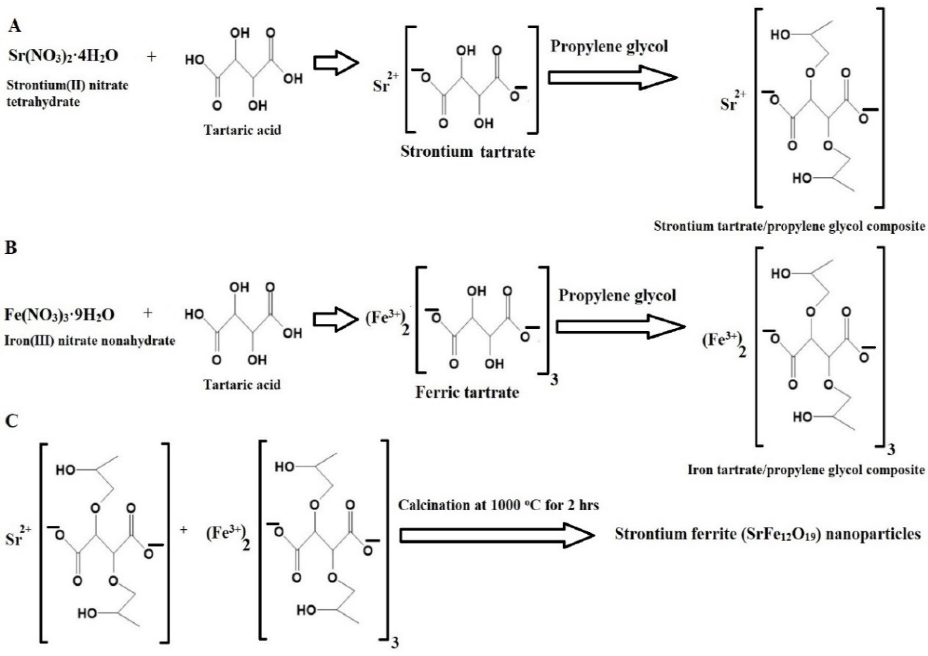
3.2. Synthesis of Strontium Ferrite (SrFe12O19) Nanoparticles
3.3. Functionalization of Strontium Ferrite Nanoparticles with Novel Chitosan–Schiff Base Ligand
3.4. Instrumentation
3.5. Removal of Pb(II) Ions from Aqueous Media
3.6. Point of Zero Charge (pHPZC)
4. Conclusions
Author Contributions
Funding
Data Availability Statement
Acknowledgments
Conflicts of Interest
References
- Järup, L. Hazards of Heavy Metal Contamination. Br. Med. Bull. 2003, 68, 167–182. [Google Scholar] [CrossRef] [PubMed]
- Joshi, N.C.; Joshi, A.; Mitra, D.; Gururani, P.; Kumar, N.; Joshi, H.K. Removal of Heavy Metals Using Cellulose-Based Materials: A Mini-Review. Environ. Nanotechnol. Monit. Manag. 2024, 21, 100942. [Google Scholar] [CrossRef]
- Singh, A.; Shah, S.S.; Sharma, C.; Gupta, V.; Sundramoorthy, A.K.; Kumar, P.; Arya, S. An Approach towards Different Techniques for Detection of Heavy Metal Ions and Their Removal from Waste Water. J. Environ. Chem. Eng. 2024, 12, 113032. [Google Scholar] [CrossRef]
- Phouthavong, V.; Hagio, T.; Park, J.H.; Nijpanich, S.; Duangkhai, K.; Rujiravanit, R.; Thaveemas, P.; Chounlamany, V.; Kong, L.; Li, L.; et al. Removal of Heavy Metals by BEA Zeolite/Fe3O4 Composite Prepared via Dry-Gel Conversion Method Using Agrowaste-Derived Raw Material. Solid State Sci. 2024, 149, 107473. [Google Scholar] [CrossRef]
- Vesali-Naseh, M.; Vesali Naseh, M.R.; Ameri, P. Adsorption of Pb (II) Ions from Aqueous Solutions Using Carbon Nanotubes: A Systematic Review. J. Clean. Prod. 2021, 291, 125917. [Google Scholar] [CrossRef]
- Hussin, F.; Aroua, M.K.; Szlachta, M. Biochar Derived from Fruit By-Products Using Pyrolysis Process for the Elimination of Pb (II) Ion: An Updated Review. Chemosphere 2022, 287, 132250. [Google Scholar] [CrossRef]
- Chen, Q.; Yao, Y.; Li, X.; Lu, J.; Zhou, J.; Huang, Z. Comparison of Heavy Metal Removals from Aqueous Solutions by Chemical Precipitation and Characteristics of Precipitates. J. Water Process Eng. 2018, 26, 289–300. [Google Scholar] [CrossRef]
- Al-Shannag, M.; Al-Qodah, Z.; Bani-Melhem, K.; Qtaishat, M.R.; Alkasrawi, M. Heavy Metal Ions Removal from Metal Plating Wastewater Using Electrocoagulation: Kinetic Study and Process Performance. Chem. Eng. J. 2015, 260, 749–756. [Google Scholar] [CrossRef]
- Xiang, H.; Min, X.; Tang, C.J.; Sillanpää, M.; Zhao, F. Recent Advances in Membrane Filtration for Heavy Metal Removal from Wastewater: A Mini Review. J. Water Process Eng. 2022, 49, 103023. [Google Scholar] [CrossRef]
- Huang, H.; Li, Z.; Wang, H.; Xia, C.; Yan, P.; Zhang, Q.; Meng, Z. Adsorption Performance of Layered Double Hydroxides for Heavy Metals Removal in Soil with the Presence of Microplastics. J. Environ. Chem. Eng. 2022, 10, 108733. [Google Scholar] [CrossRef]
- Zhang, Y.; Luo, J.; Zhang, H.; Li, T.; Xu, H.; Sun, Y.; Gu, X.; Hu, X.; Gao, B. Synthesis and Adsorption Performance of Three-Dimensional Gels Assembled by Carbon Nanomaterials for Heavy Metal Removal from Water: A Review. Sci. Total Environ. 2022, 852, 158201. [Google Scholar] [CrossRef] [PubMed]
- Mamah, S.C.; Goh, P.S.; Ng, B.C.; Abdullah, M.S.; Ismail, A.F.; Samavati, Z.; Ahmad, N.A.; Raji, Y.O. The Utilization of Chitin and Chitosan as Green Modifiers in Nanocomposite Membrane for Water Treatment. J. Water Process Eng. 2024, 62, 105394. [Google Scholar] [CrossRef]
- Rostami, M.S.; Khodaei, M.M. Recent Advances in Chitosan-Based Nanocomposites for Adsorption and Removal of Heavy Metal Ions. Int. J. Biol. Macromol. 2024, 270, 132386. [Google Scholar] [CrossRef] [PubMed]
- Doyo, A.N.; Kumar, R.; Barakat, M.A. Recent Advances in Cellulose, Chitosan, and Alginate Based Biopolymeric Composites for Adsorption of Heavy Metals from Wastewater. J. Taiwan Inst. Chem. Eng. 2023, 151, 105095. [Google Scholar] [CrossRef]
- Al-Hazmi, G.A.A.M.; Alayyafi, A.A.A.; El-Desouky, M.G.; El-Bindary, A.A. Chitosan-Nano CuO Composite for Removal of Mercury (II): Box-Behnken Design Optimization and Adsorption Mechanism. Int. J. Biol. Macromol. 2024, 261, 129769. [Google Scholar] [CrossRef] [PubMed]
- Guo, Z.; Zhou, J.; Hou, H.; Wu, X.; Li, Y. Recyclable Mg-MOF-74@cellulose Aerogel Composites for Efficient Removal of Heavy Metals from Wastewater. J. Solid State Chem. 2023, 323, 124059. [Google Scholar] [CrossRef]
- Sun, R.; Gao, S.; Zhang, K.; Cheng, W.T.; Hu, G. Recent Advances in Alginate-Based Composite Gel Spheres for Removal of Heavy Metals. Int. J. Biol. Macromol. 2024, 268, 131853. [Google Scholar] [CrossRef]
- Umpuch, C.; Fakthaisongdechakul, T. Application of Response Surface Methodology for Optimization of Reactive Black 5 Removal by Gelatin Beads Containing TTAB Modified Montmorillonite Clay. Case Stud. Chem. Environ. Eng. 2024, 9, 100758. [Google Scholar] [CrossRef]
- Begum, S.; Yuliana, N.; Saleh, N. Review of Chitosan Composite as a Heavy Metal Adsorbent: Material Preparation and Properties. Carbohydr. Polym. 2021, 259, 117613. [Google Scholar] [CrossRef]
- Upadhyay, U.; Sreedhar, I.; Singh, S.A.; Patel, C.M.; Anitha, K.L. Recent Advances in Heavy Metal Removal by Chitosan Based Adsorbents. Carbohydr. Polym. 2021, 251, 117000. [Google Scholar] [CrossRef]
- Zhang, Y.; Zhao, M.; Cheng, Q.; Wang, C.; Li, H.; Han, X.; Fan, Z.; Su, G.; Pan, D.; Li, Z. Chemosphere Research Progress of Adsorption and Removal of Heavy Metals by Chitosan and Its Derivatives: A Review. Chemosphere 2021, 279, 130927. [Google Scholar] [CrossRef]
- Yuvaraja, G.; Pang, Y.; Chen, D.; Kong, L.; Mehmood, S.; Wen, J.; Mallikarjuna, G. International Journal of Biological Macromolecules Modi Fi Cation of Chitosan Macromolecule and Its Mechanism for the Removal of Pb (II) Ions from Aqueous Environment. Int. J. Biol. Macromol. 2019, 136, 177–188. [Google Scholar] [CrossRef]
- Yan, Y.; Yuvaraja, G.; Liu, C.; Kong, L.; Guo, K.; Reddy, G.M.; Zyryanov, G.V. Removal of Pb (II) Ions from Aqueous Media Using Epichlorohydrin Crosslinked Chitosan Schiff’ s Base @ Fe3O4 (ECCSB @ Fe3O4). Int. J. Biol. Macromol. 2018, 117, 1305–1313. [Google Scholar] [CrossRef] [PubMed]
- Ortiz-Oliveros, H.B.; Ouerfelli, N.; Cruz-Gonzalez, D.; Avila-Pérez, P.; Bulgariu, L.; Flaifel, M.H.; Abouzeid, F.M. Modeling of the Relationship between the Thermodynamic Parameters ΔH° and ΔS° with Temperature in the Removal of Pb Ions in Aqueous Medium: Case Study. Chem. Phys. Lett. 2023, 814, 140329. [Google Scholar] [CrossRef]
- Baykal, A. Solvothermal Synthesis of Pure SrFe12O19 Hexaferrite Nanoplatelets. J. Supercond. Nov. Magn. 2014, 27, 877–880. [Google Scholar] [CrossRef]
- Sahoo, J.K.; Konar, M.; Rath, J.; Kumar, D. Hexagonal Strontium Ferrite: Cationic Dye Adsorption and Antibacterial Activity. Sep. Sci. Technol. 2019, 55, 415–430. [Google Scholar] [CrossRef]
- Al-wasidi, A.S.; Abdelrahman, E.A. Simple Synthesis and Characterization of Cobalt Ferrite Nanoparticles for the Successful Adsorption of Indigo Carmine Dye from Aqueous Media. Inorganic 2023, 11, 453. [Google Scholar] [CrossRef]
- Alhalili, Z.; Abdelrahman, E.A. Facile Synthesis and Characterization of Manganese Ferrite Nanoparticles for the Successful Removal of Safranine T Dye from Aqueous Solutions. Inorganic 2024, 12, 30. [Google Scholar] [CrossRef]
- Weijiang, Z.; Yace, Z.; Yuvaraja, G.; Jiao, X. Adsorption of Pb (II) Ions from Aqueous Environment Using Eco-Friendly Chitosan Schiff’s Base@Fe3O4 (CSB@Fe3O4) as an Adsorbent; Kinetics, Isotherm and Thermodynamic Studies. Int. J. Biol. Macromol. 2017, 105, 422–430. [Google Scholar] [CrossRef]
- Roohani, E.; Arabi, H.; Sarhaddi, R.; Sudkhah, S.; Shabani, A. Effect of Annealing Temperature on Structural and Magnetic Properties of Strontium Hexaferrite Nanoparticles Synthesized by Sol Gel Auto-Combustion Method. Int. J. Mod. Phys. B 2015, 29, 1550190. [Google Scholar] [CrossRef]
- Lior, P.S.; Yosef, S.; Avner, Y.; Aharon, S. Facile Sonochemical Preparation and Magnetic Properties of Strontium Hexaferrite (SrFe12O19) Nanoparticles. J. Mater. Sci. Mater. Electron. 2016, 27, 5707–5714. [Google Scholar] [CrossRef]
- Pawariya, V.; De, S.; Dutta, J. Synthesis and Characterization of Citric Acid-Modified Chitosan Schiff Base with Enhanced Antibacterial Properties for the Elimination of Bismarck Brown R and Rhodamine B Dyes from Wastewater. Int. J. Biol. Macromol. 2024, 264, 130664. [Google Scholar] [CrossRef] [PubMed]
- El, N.; Abdalla, S.; Ikhlas, M.K.; Ehab, A.M. Facile Synthesis of Sodium Iron Silicate/Sodium Iron Oxide Silicate Nanostructures from Canned Beans and Rice Husk Wastes for Efficient Removal of Cd (II) Ions from Aqueous Media. Silicon 2024, 16, 2955–2970. [Google Scholar] [CrossRef]
- Al-Wasidi, A.S.; Basha, M.T.; Alghanmi, R.M.; Al-Farraj, E.S.; Abdelrahman, E.A. Functionalization of Sodium Magnesium Silicate Hydroxide/Sodium Magnesium Silicate Hydrate Nanostructures Using 2,3-Dihydroxybenzaldehyde as a Novel Nanocomposite for the Efficient Removal of Cd (II) and Cu (II) Ions from Aqueous Media. Separations 2023, 10, 88. [Google Scholar] [CrossRef]
- Shahraki, S.; Delarami, H.S.; Khosravi, F. Synthesis and Characterization of an Adsorptive Schiff Base-Chitosan Nanocomposite for Removal of Pb (II) Ion from Aqueous Media. Int. J. Biol. Macromol. 2019, 139, 577–586. [Google Scholar] [CrossRef] [PubMed]
- Guarnieri, A.; Triunfo, M.; Scieuzo, C.; Ianniciello, D.; Tafi, E.; Hahn, T.; Zibek, S.; Salvia, R.; De Bonis, A.; Falabella, P. Antimicrobial Properties of Chitosan from Different Developmental Stages of the Bioconverter Insect Hermetia illucens. Sci. Rep. 2022, 12, 8084. [Google Scholar] [CrossRef] [PubMed]
- Abdelrahman, E.A.; Hegazey, R.M.; El-Azabawy, R.E. Efficient Removal of Methylene Blue Dye from Aqueous Media Using Fe/Si, Cr/Si, Ni/Si, and Zn/Si Amorphous Novel Adsorbents. J. Mater. Res. Technol. 2019, 8, 5301–5313. [Google Scholar] [CrossRef]
- Chen, A.H.; Liu, S.C.; Chen, C.Y.; Chen, C.Y. Comparative Adsorption of Cu(II), Zn(II), and Pb (II) Ions in Aqueous Solution on the Crosslinked Chitosan with Epichlorohydrin. J. Hazard. Mater. 2008, 154, 184–191. [Google Scholar] [CrossRef] [PubMed]
- Joseph, I.V.; Tosheva, L.; Doyle, A.M. Journal of Environmental Chemical Engineering Simultaneous Removal of Cd (II), Co (II), Cu (II), Pb (II), and Zn (II) Ions from Aqueous Solutions via Adsorption on FAU-Type Zeolites Prepared from Coal Fl y Ash. J. Environ. Chem. Eng. 2020, 8, 103895. [Google Scholar] [CrossRef]
- Roy, A.; Bhattacharya, J. Removal of Cu (II), Zn (II) and Pb (II) from Water Using Microwave-Assisted Synthesized Maghemite Nanotubes. Chem. Eng. J. 2012, 211–212, 493–500. [Google Scholar] [CrossRef]
- Kenawy, I.M.; Hafez, M.A.H.; Ismail, M.A.; Hashem, M.A. Adsorption of Cu (II), Cd (II), Hg (II), Pb (II) and Zn (II) from Aqueous Single Metal Solutions by Guanyl-Modified Cellulose. Int. J. Biol. Macromol. 2018, 107, 1538–1549. [Google Scholar] [CrossRef] [PubMed]
- Singh, S.; Basavaraju, U.; Kumar, T.S.S.; Kumar, S.; Khan, N.A.; Singh, J.; Singh, L.; Ramamurthy, P.C. Graphene Oxide-Based Novel MOF Nanohybrid for Synergic Removal of Pb (II) Ions from Aqueous Solutions: Simulation and Adsorption Studies. Environ. Res. 2023, 216, 114750. [Google Scholar] [CrossRef] [PubMed]
- Mehdi, M.; Shokuhi, A.; Ardjmand, M.; Mirabi, A. Preparation of Magnetic Nanocomposite Based on Polyaniline/Fe3O4 towards Removal of Lead (II) Ions from Real Samples. Synth. Met. 2018, 245, 1–9. [Google Scholar] [CrossRef]
- Bagdat, S.; Tokay, F.; Demirci, S.; Yilmaz, S.; Sahiner, N. Removal of Cd (II), Co (II), Cr (III), Ni (II), Pb (II) and Zn (II) Ions from Wastewater Using Polyethyleneimine (PEI) Cryogels. J. Environ. Manag. 2023, 329, 117002. [Google Scholar] [CrossRef] [PubMed]
- Waly, S.M.; El-wakil, A.M.; El-maaty, W.M.A.; Awad, F.S. Efficient Removal of Pb (II) and Hg (II) Ions from Aqueous Solution by Amine and Thiol Modified Activated Carbon. J. Saudi Chem. Soc. 2021, 25, 101296. [Google Scholar] [CrossRef]
- Alghanmi, R.M.; Abdelrahman, E.A. Simple Production and Characterization of ZnO/MgO Nanocomposite as a Highly Effective Adsorbent for Eliminating Congo Red Dye from Water-Based Solutions. Inorg. Chem. Commun. 2024, 161, 112137. [Google Scholar] [CrossRef]



















| QExp (mg/g) | Pseudo-First-Order Model | Pseudo-Second-Order Model | ||||
|---|---|---|---|---|---|---|
| K1 (1/min) | Q (mg/g) | R2 | K2 (g/mg·min) | Q (mg/g) | R2 | |
| 310.22 | 0.0155 | 250.17 | 0.9759 | 0.000112 | 311.53 | 0.9998 |
| ΔHo (KJ/mol) | ΔSo (KJ/molK) | ΔGo (KJ/mol) | |||
|---|---|---|---|---|---|
| 298 | 308 | 318 | 328 | ||
| 44.97 | 0.1662 | −49.53 | −51.19 | −52.85 | −54.51 |
| Langmuir | Freundlich | |||||
|---|---|---|---|---|---|---|
| Qmax (mg/g) | KL (L/mg) | R2 | Qmax (mg/g) | KF (mg/g)(L/mg)1/n | 1/n | R2 |
| 390.63 | 0.4539 | 0.9998 | 456.89 | 148.53 | 0.2121 | 0.6598 |
| Adsorbent | Qmax (mg/g) | Ref |
|---|---|---|
| Chitosan cross-linked with epichlorohydrin | 34.13 | [38] |
| Zeolite | 109.89 | [39] |
| Maghemite nanotubes | 71.42 | [40] |
| Guanyl-modified cellulose | 52.00 | [41] |
| Graphene oxide-based novel MOF nanohybrid | 254.45 | [42] |
| Polyaniline/Fe3O4 nanocomposite | 111.00 | [43] |
| Polyethyleneimine cryogels | 21.49 | [44] |
| 2-aminothiazole-modified activated carbon | 310.9 | [45] |
| Chitosan–Schiff base–SrFe12O19 nanocomposite | 390.63 | This work |
Disclaimer/Publisher’s Note: The statements, opinions and data contained in all publications are solely those of the individual author(s) and contributor(s) and not of MDPI and/or the editor(s). MDPI and/or the editor(s) disclaim responsibility for any injury to people or property resulting from any ideas, methods, instructions or products referred to in the content. |
© 2024 by the authors. Licensee MDPI, Basel, Switzerland. This article is an open access article distributed under the terms and conditions of the Creative Commons Attribution (CC BY) license (https://creativecommons.org/licenses/by/4.0/).
Share and Cite
Al-Wasidi, A.S.; Abdelrahman, E.A. Functionalization of Strontium Ferrite Nanoparticles with Novel Chitosan–Schiff Base Ligand for Efficient Removal of Pb(II) Ions from Aqueous Media. Inorganics 2024, 12, 148. https://doi.org/10.3390/inorganics12060148
Al-Wasidi AS, Abdelrahman EA. Functionalization of Strontium Ferrite Nanoparticles with Novel Chitosan–Schiff Base Ligand for Efficient Removal of Pb(II) Ions from Aqueous Media. Inorganics. 2024; 12(6):148. https://doi.org/10.3390/inorganics12060148
Chicago/Turabian StyleAl-Wasidi, Asma S., and Ehab A. Abdelrahman. 2024. "Functionalization of Strontium Ferrite Nanoparticles with Novel Chitosan–Schiff Base Ligand for Efficient Removal of Pb(II) Ions from Aqueous Media" Inorganics 12, no. 6: 148. https://doi.org/10.3390/inorganics12060148
APA StyleAl-Wasidi, A. S., & Abdelrahman, E. A. (2024). Functionalization of Strontium Ferrite Nanoparticles with Novel Chitosan–Schiff Base Ligand for Efficient Removal of Pb(II) Ions from Aqueous Media. Inorganics, 12(6), 148. https://doi.org/10.3390/inorganics12060148

