Phase Behavior and Defect Structure of HoBaCo2O6-δ
Abstract
:1. Introduction
2. Experimental
3. Results and Discussion
3.1. Sample Characterization and Phase Behavior
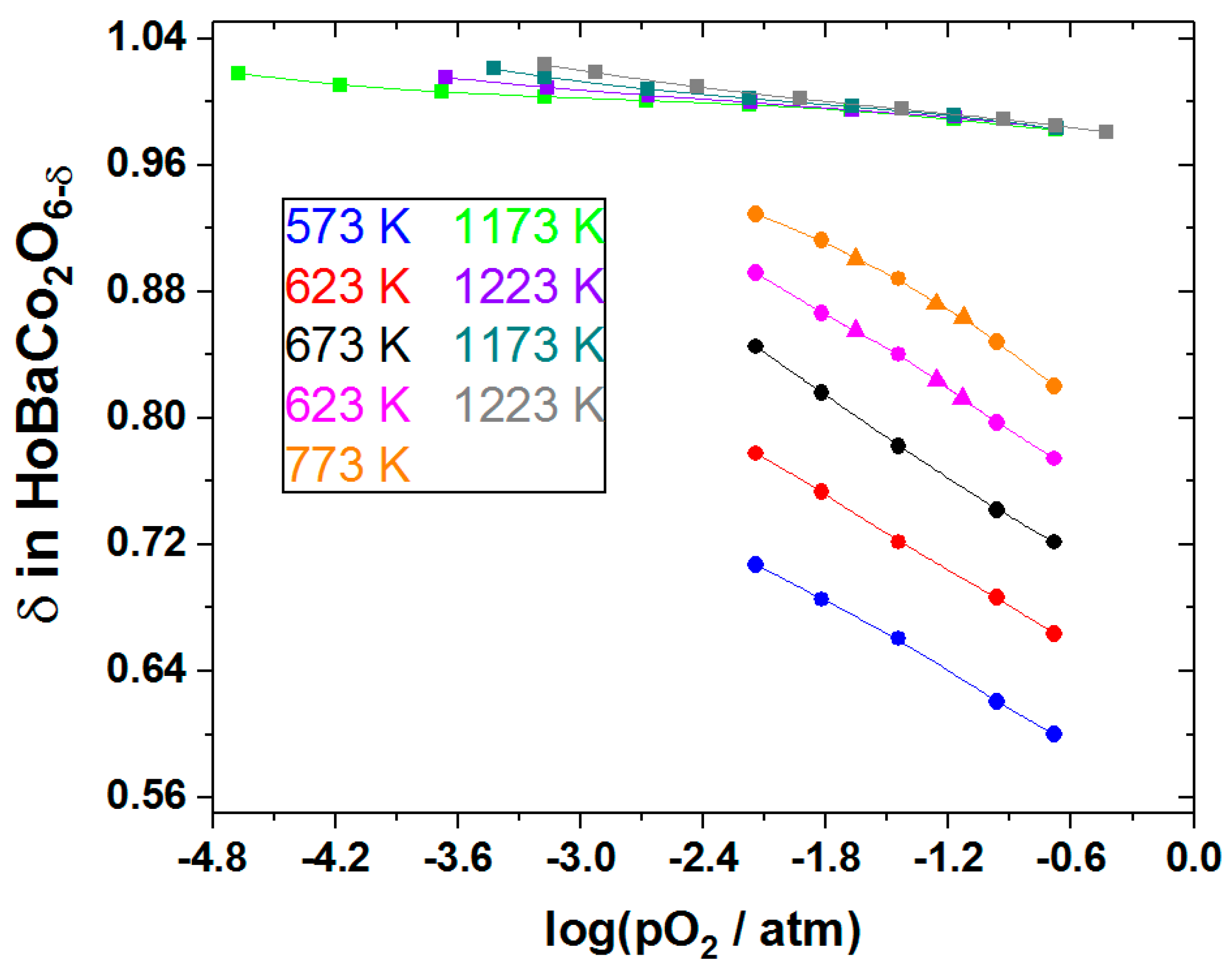
3.2. Oxygen Nonstoichiometry and Defect Structure of HoBaCo2O6-δ
4. Conclusions
Author Contributions
Funding
Data Availability Statement
Acknowledgments
Conflicts of Interest
References
- Klyndyuk, A.I.; Chizhova, E.A.; Kharytonau, D.S.; Medvedev, D.A. Layered Oxygen-Deficient Double Perovskites as Promising Cathode Materials for Solid Oxide Fuel Cells. Materials 2022, 15, 141. [Google Scholar] [CrossRef] [PubMed]
- Rautama, E.-L.; Karppinen, M. R-site varied series of RBaCo2O5.5 (R2Ba2Co4O11) compounds with precisely controlled oxygen content. J. Solid State Chem. 2010, 183, 1102–1107. [Google Scholar] [CrossRef]
- Pelosato, R.; Cordaro, G.; Stucchi, D.; Cristiani, C.; Dotelli, G. Cobalt based layered perovskites as cathode material for intermediate temperature Solid Oxide Fuel Cells: A brief review. J. Power Source 2015, 298, 46–67. [Google Scholar] [CrossRef]
- Shen, M.; Ai, F.; Ma, H.; Xu, H.; Zhang, Y. Progress and prospects of reversible solid oxide fuel cell materials. Iscience 2021, 24, 103464. [Google Scholar] [CrossRef]
- Joung, Y.-H.; Kang, H.-I.; Choi, W.S.; Kim, J.H. Investigation of X-Ray Photoelectron Spectroscopy and Electrical Conductivity Properties of the Layered Perovskite LnBaCo2O5+d (Ln = Pr, Nd, Sm, and Gd) for IT-SOFC. Electron. Mater. Lett. 2013, 9, 463–465. [Google Scholar] [CrossRef]
- Shi, Z.; Xia, T.; Meng, F.; Wang, J.; Lian, J.; Zhao, H.; Bassat, J.-M.; Grenier, J.-C.; Meng, J. A Layered Perovskite EuBaCo2O5+δ for Intermediate-Temperature Solid Oxide Fuel Cell Cathode. Fuel Cells 2014, 14, 979–990. [Google Scholar] [CrossRef]
- Zhang, N.; Li, W.; Berry, D.; Surdoval, W.; Shekhawat, D.; Liu, X. A New Insight into the Oxygen Reduction Reaction on High Performance Cation-Ordered PBCO Perovskite as IT-SOFC Cathode. ECS Trans. 2017, 78, 643–653. [Google Scholar] [CrossRef]
- Zhuravleva, T.A. Electrophysical Properties of Layered Perovskites LnBaCo2 − xCuxO5 + δ (Ln = Sm, Nd) for Solid Oxide Fuel Cells. Russ. J. Electrochem. 2011, 47, 676–680. [Google Scholar] [CrossRef]
- Malyshkin, D.; Novikov, A.; Ivanov, I.; Sereda, V.; Tsvetkov, D.; Zuev, A. The origin of triple conductivity and water uptake in layered double perovskites: A case study on lanthanum-substituted GdBaCo2O6−δ. J. Alloy. Compd. 2020, 845, 156309. [Google Scholar] [CrossRef]
- Kim, J.P.; Pyo, D.W.; Magnone, E.; Park, J.H. Preparation and Oxygen Permeability of ReBaCo2O5+δ (Re = Pr, Nd, Y) Ceramic Membranes. Adv. Mater. Res. 2012, 560–561, 959–964. [Google Scholar] [CrossRef]
- Zhang, K.; Ge, L.; Ran, R.; Shao, Z.; Liu, S. Synthesis, characterization and evaluation of cation-ordered LnBaCo2O5+δ as materials of oxygen permeation membranes and cathodes of SOFCs. Acta Mater. 2008, 56, 4876–4889. [Google Scholar] [CrossRef]
- Kundu, A.K. Magnetic perovskites. In Engineering Materials; Springer: Berlin/Heidelberg, Germany, 2016; 167p. [Google Scholar] [CrossRef]
- Lafkioti, M.; Goering, E.; Gold, S.; Schütz, G.; Barilo, S.N.; Shiryaev, S.V.; Bychkov, G.L.; Lemmens, P.; Hinkov, V.; Deisenhofer, J.; et al. Spin state and orbital moments across the metal–insulator-transition of REBaCo2O5.5 investigated by XMCD. New J. Phys. 2008, 10, 123030. [Google Scholar] [CrossRef]
- Zhu, M.; Guan, D.; Hu, Z.; Lin, H.-J.; Chen, C.-T.; Sheu, H.-S.; Wang, S.; Zhou, J.; Zhou, W.; Shao, Z. Synergistic effects in ordered Co oxides for boosting catalytic activity in advanced oxidation processes. Appl. Catal. B Environ. 2021, 297, 120463. [Google Scholar] [CrossRef]
- Grimaud, A.; May, K.J.; Carlton, C.E.; Lee, Y.-L.; Risch, M.; Hong, W.T.; Zhou, J.; Shao-Horn, Y. Double perovskites as a family of highly active catalysts for oxygen evolution in alkaline solution. Nat. Commun. 2013, 4, 2439. [Google Scholar] [CrossRef]
- Maignan, A.; Martic, C.; Pelloquin, D.; Nguyen, N.; Raveau, B. Structural and Magnetic Studies of Ordered Oxygen-Deficient Perovskites LnBaCo2O5+δ, Closely Related to the “112” Structure. J. Solid State Chem. 1999, 142, 247–260. [Google Scholar] [CrossRef]
- Chavez, E.; Mueller, M.; Mogni, L.; Caneiro, A. Study of LnBaCo2O6-δ (Ln = Pr, Nd, Sm and Gd) double perovskites as new cathode material for IT-SOFC. J. Phys. Conf. Ser. 2009, 167, 012043. [Google Scholar] [CrossRef]
- Mejía Gómez, A.E.; Lamas, D.G.; Leyva, A.G.; Sacanell, J. Nanostructured LnBaCo2O6−δ (Ln = Sm, Gd) with layered structure for intermediate temperature solid oxide fuel cell cathodes. AIP Adv. 2017, 7, 045214. [Google Scholar] [CrossRef]
- Gong, W.; Yadav, M.; Jacobson, A.J. A Comparison of Electrochemical Performance of Double Perovskite REBaCo2O5+x Cathodes in Symmetrical Solid Oxide Fuel Cells. MRS Online Proc. Libr. 2008, 1126, 807. [Google Scholar] [CrossRef]
- Kulka, A.; Hu, Y.; Dezanneau, G.; Molenda, J. Investigation of GdBaCo2-xFexO5.5-δ as a cathode material for intermediate temperature solid oxide fuel cells. Funct. Mater. Lett. 2011, 4, 157–160. [Google Scholar] [CrossRef]
- Suntsov, A.Y.; Leonidov, I.A.; Markov, A.A.; Patrakeev, M.V.; Blinovskov, Y.N.; Kozhevnikov, V.L. Oxygen Nonstoichiometry and the Thermodynamic and Structural Properties of Double Perovskites PrBaCo2−xCuxO5 + δ. Russ. J. Phys. Chem. A 2009, 83, 832–838. [Google Scholar] [CrossRef]
- Yoo, S.; Shin, J.Y.; Kim, G. Thermodynamic and electrical characteristics of NdBaCo2O5+δ at various oxidation and reduction states. J. Mater. Chem. 2011, 21, 439–443. [Google Scholar] [CrossRef]
- Wang, W.; Peh, T.S.; Chan, S.H.; Zhang, T.S. Synthesis and Characterization of LnBaCo2O5+δ Layered Perovskites as Cathodes for Intermediate-Temperature Solid Oxide Fuel Cells. ECS Trans. 2009, 25, 2277–2281. [Google Scholar] [CrossRef]
- Bahout, M.; Pramana, S.S.; Hanlon, J.M.; Dorcet, V.; Smith, R.I.; Paofai, S.; Skinner, S.J. Stability of NdBaCo2–xMnxO5+δ (x = 0, 0.5) layered perovskites under humid conditions investigated by high-temperature in situ neutron powder diffraction. J. Mater. Chem. A 2015, 3, 15420–15431. [Google Scholar] [CrossRef]
- Dong, F.; Ni, M.; Chen, Y.; Chen, D.; Tadé, M.O.; Shao, Z. Structural and oxygen-transport studies of double perovskites PrBa1–xCo2O5+δ (x = 0.00, 0.05, and 0.10) toward their application as superior oxygen reduction electrodes. J. Mater. Chem. A 2014, 2, 20520. [Google Scholar] [CrossRef]
- Kim, J.-H.; Manthiram, A. LnBaCo2O5+δ oxides as cathodes for Intermediate-Temperature Solid Oxide Fuel Cells. J. Electrochem. Soc. 2008, 155, B385–B390. [Google Scholar] [CrossRef]
- Diaz-Fernandez, Y.; Malavasi, L.; Mozzati, M.C. Effect of oxygen content on properties of the HoBaCo2O5+δ layered cobaltite. Phys. Rev. B. 2008, 78, 144405. [Google Scholar] [CrossRef]
- Yagovitin, R.E.; Tsvetkov, D.S.; Ivanov, I.L.; Malyshkin, D.A.; Sereda, V.V.; Zuev, A.Y. Thermodynamics of Formation and Disordering of YBaCo2O6-δ Double Perovskite as a Base for Novel Dense Ceramic Membrane Materials. Membranes 2023, 13, 10. [Google Scholar] [CrossRef] [PubMed]
- Ivanov, I.L.; Zakiryanov, P.O.; Sereda, V.V.; Mazurin, M.O.; Malyshkin, D.A.; Zuev, A.Y.; Tsvetkov, D.S. Nonstoichiometry, Defect Chemistry and Oxygen Transport in Fe-Doped Layered Double Perovskite Cobaltite PrBaCo2-xFexO6-δ; (x = 0–0.6) Membrane Materials. Membranes 2022, 12, 1200. [Google Scholar] [CrossRef]
- Kofstad, P. Nonstoichiometry, Diffusion, and Electrical Conductivity in Binary Metal Oxides; Wiley-Interscience: New York, NY, USA, 1972; p. 382. [Google Scholar]
- Zhang, H.; Guan, D.; Gao, X.; Yu, J.; Chan, G.; Zhou, W.; Shao, Z. Morphology, crystal structure and electronic state one-step co-tuning strategy towards developing superior perovskite electrocatalyst for water oxidation. J. Mater. Chem. A 2019, 7, 19228–19233. [Google Scholar] [CrossRef]
- Cherepanov, V.A.; Gavrilova, L.Y.; Aksenova, T.V.; Urusova, A.S.; Volkova, N.E. Synthesis, structure and properties of LnBa(Co,Me)2O5+δ (Ln = Nd, Sm, Ho and Y; Me = Fe, Ni, Cu) as potential cathodes for SOFCs. Mater. Res. Soc. 2012, 1384, 7. [Google Scholar] [CrossRef]
- Malyshkin, D.; Novikov, A.; Tsvetkov, D.; Zuev, A. Preparation, Oxygen Nonstoichiometry and Defect structure of Double Perovskite LaBaCo2O6–δ. Mater. Lett. 2018, 229, 324–326. [Google Scholar] [CrossRef]
- Tsvetkov, D.S.; Yagovitin, R.E.; Sereda, V.V.; Malyshkin, D.A.; Ivanov, I.L.; Zuev, A.Y.; Maignan, A. Defect structure and redox energetics of NdBaCo2O6-δ. Solid State Ionics 2021, 361, 115549. [Google Scholar] [CrossRef]
- Sereda, V.V.; Malyshkin, D.A.; Ivanov, I.L.; Tsvetkov, D.S.; Zuev, A.Y.; Maignan, A. Redox Thermochemistry, Thermodynamics, and Solar Energy Conversion and Storage Capability of Some Double Perovskite Cobaltites. Inorg. Chem. 2021, 60, 18141–18153. [Google Scholar] [CrossRef] [PubMed]
- Tsvetkov, D.S.; Sednev-Lugovets, A.L.; Sereda, V.V.; Malyshkin, D.A.; Ivanov, I.L.; Zuev, A.Y. Redox energetics and enthalpy increments of GdBaCo2O6-δ. Thermochim. Acta 2020, 686, 178562. [Google Scholar] [CrossRef]
- Sednev-Lugovets, A.L. Thermodynamic Stability and Physico-Chemical Properties of Double Perovskites YBaCo2O6-δ and HoBaCo2O6-δ. Ph.D. Thesis, Ural Federal University, Ekaterinburg, Russia, 2020. [Google Scholar]
- Sednev-Lugovets, A.L.; Tsvetkov, D.S.; Sereda, V.V.; Yagovitin, R.E.; Zuev, A.Y.; Maignan, A. Defect structure and thermochemistry of YBaCo2O6-δ. Thermochim. Acta 2021, 698, 178886. [Google Scholar] [CrossRef]
- Sednev, A.L.; Tsvetkov, D.S. Study and optimization of the synthesis routine of the single phase YBaCo2O6-δ double perovskite. Chim. Techno Acta 2017, 4, 183–190. [Google Scholar] [CrossRef]
- Kim, J.-H.; Kim, Y.N.; Bi, Z.; Manthiram, A.; Paranthaman, M.P.; Huq, A. Overcoming phase instability of RBaCo2O5+δ (R = Y and Ho) by Sr substitution for application as cathodes in solid oxide fuel cells. Solid State Ionics 2013, 253, 81–87. [Google Scholar] [CrossRef]
- Rietica. Available online: http://rietica.org/ (accessed on 24 August 2023).
- Zuev, A.Y.; Tsvetkov, D.S. Conventional methods for measurements of chemo-mechanical coupling. In Electro-Chemo-Mechanics of Solids; Bishop, S.R., Perry, N., Marrocchelli, D., Sheldon, B., Eds.; Springer International Publishing: Berlin, Germany, 2017; pp. 5–35. [Google Scholar]
- Shannon, R.D. Revised Effective Ionic Radii and Systematic Studies of Interatomic Distances in Halides and Chalcogenides. Acta Cryst. 1976, 32, 751. [Google Scholar] [CrossRef]
- Suard, E.; Fauth, F.; Caignaert, V.; Mirebeau, I.; Baldinozzi, G. Charge ordering in the layered Co-based perovskite HoBaCo2O5. Phys. Rev. B 2000, 61, R11871(R). [Google Scholar] [CrossRef]
- Fauth, F.; Suard, E.; Caignaert, V.; Domengès, B.; Mirebeau, I.; Keller, L. Interplay of structural, magnetic and transport properties in the layered Co-based perovskite LnBaCo2O5 (Ln = Tb, Dy, Ho). Eur. Phys. J. B 2001, 21, 163–174. [Google Scholar] [CrossRef]








| No. | Reaction | |||
|---|---|---|---|---|
| 1 | 0 b | 21.6 ± 3.0 a | 0.985 | |
| 2 | 0 b | −115.8 ± 1.3 a | ||
| 3 | 70.2 ± 1.5 a | 66.5 ± 1.5 a |
Disclaimer/Publisher’s Note: The statements, opinions and data contained in all publications are solely those of the individual author(s) and contributor(s) and not of MDPI and/or the editor(s). MDPI and/or the editor(s) disclaim responsibility for any injury to people or property resulting from any ideas, methods, instructions or products referred to in the content. |
© 2023 by the authors. Licensee MDPI, Basel, Switzerland. This article is an open access article distributed under the terms and conditions of the Creative Commons Attribution (CC BY) license (https://creativecommons.org/licenses/by/4.0/).
Share and Cite
Yagovitin, R.E.; Tsvetkov, D.S.; Ivanov, I.L.; Malyshkin, D.A.; Sereda, V.V.; Zuev, A.Y. Phase Behavior and Defect Structure of HoBaCo2O6-δ. Inorganics 2023, 11, 361. https://doi.org/10.3390/inorganics11090361
Yagovitin RE, Tsvetkov DS, Ivanov IL, Malyshkin DA, Sereda VV, Zuev AY. Phase Behavior and Defect Structure of HoBaCo2O6-δ. Inorganics. 2023; 11(9):361. https://doi.org/10.3390/inorganics11090361
Chicago/Turabian StyleYagovitin, Roman E., Dmitry S. Tsvetkov, Ivan L. Ivanov, Dmitry A. Malyshkin, Vladimir V. Sereda, and Andrey Yu. Zuev. 2023. "Phase Behavior and Defect Structure of HoBaCo2O6-δ" Inorganics 11, no. 9: 361. https://doi.org/10.3390/inorganics11090361
APA StyleYagovitin, R. E., Tsvetkov, D. S., Ivanov, I. L., Malyshkin, D. A., Sereda, V. V., & Zuev, A. Y. (2023). Phase Behavior and Defect Structure of HoBaCo2O6-δ. Inorganics, 11(9), 361. https://doi.org/10.3390/inorganics11090361

