Complexes of 2-Amino-3-methylpyridine and 2-Amino-4-methylbenzothiazole with Ag(I) and Cu(II): Structure and Biological Applications
Abstract
1. Introduction
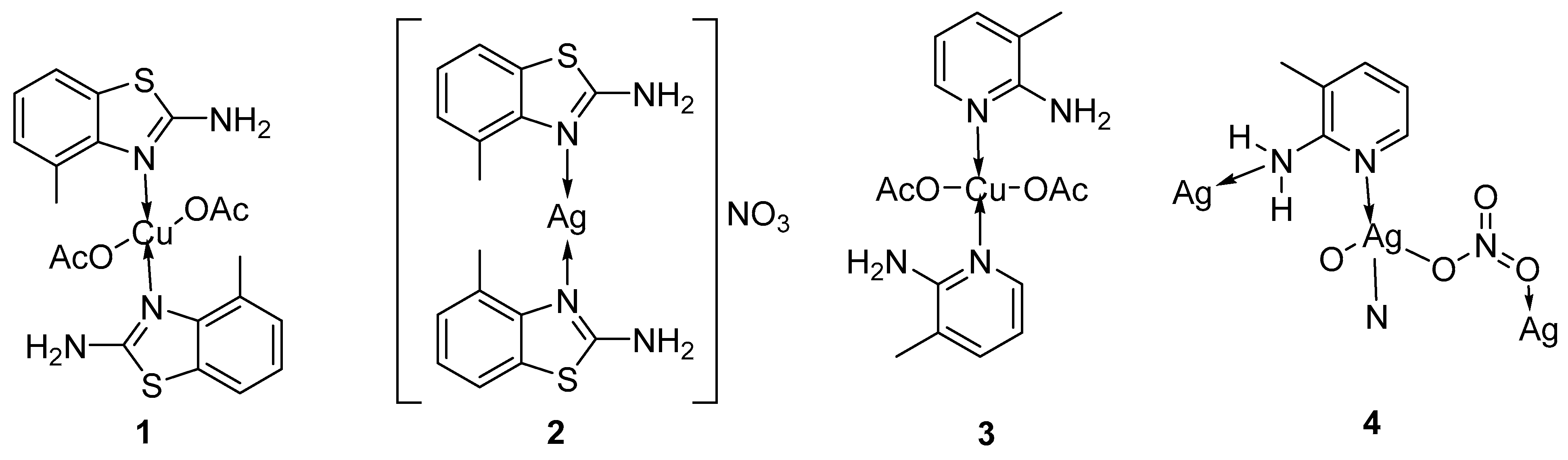
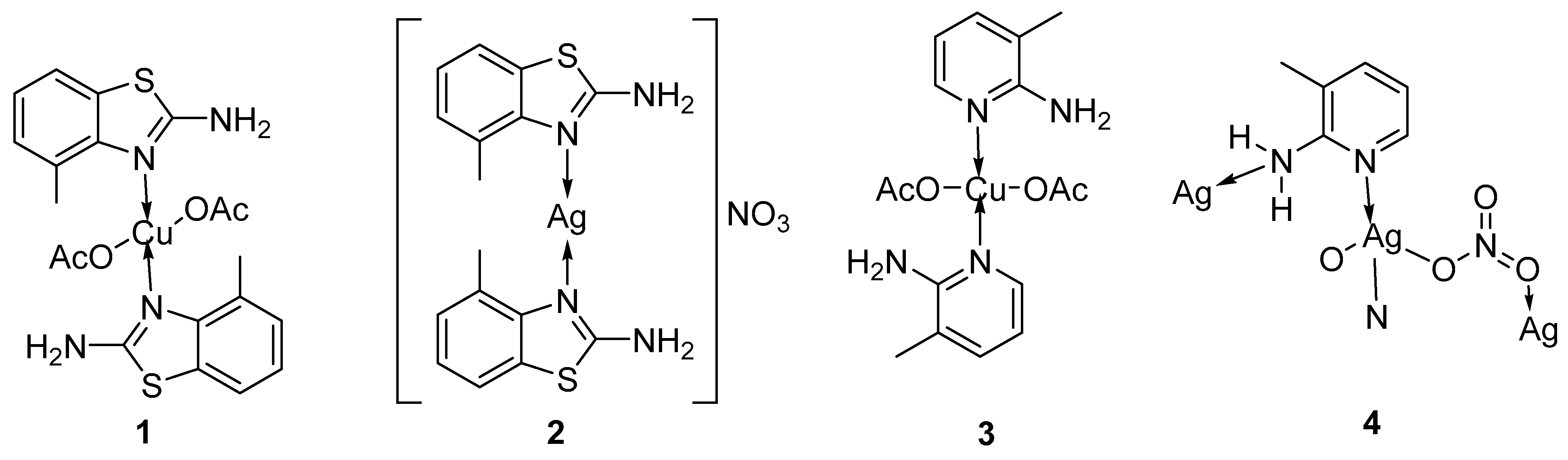
2. Results and Discussion
2.1. UV-Visible Spectroscopic Studies of Complexes 1–4
2.2. FT-IR Spectra of Compounds 1–4
2.3. XRD Structural Description of Complexes 2 and 4
2.4. Structure Description of Compound 4
2.5. Antibacterial Activity
2.6. Free Radical Scavenger Studies
2.7. Enzyme Inhibition Studies of Compounds
2.8. Luminescence Study of Complexes 1–4
3. Materials and Methods
3.1. Hirshfeld Surface Analysis of Crystalline Complexes
3.2. Luminescence, Antibacterial, Antioxidant and Enzyme Inhibition Studies of 1–4
3.3. Synthesis of Coordination Complexes (1–4)
4. Conclusions
Supplementary Materials
Author Contributions
Funding
Data Availability Statement
Acknowledgments
Conflicts of Interest
References
- Craciunescu, D.G.; Furlani, A.; Scarcia, V.; Doadrio, A. Synthesis, Cytostatic, and Antitumor Properties of New Rh(I) Thiazole Complexes. Biol. Trace Element Res. 1985, 8, 251–261. [Google Scholar] [CrossRef] [PubMed]
- Karatepe, M.; Karatas, F. Antioxidant, pro-oxidant effect of the thiosemicarbazone derivative Schiff base (4-(1-phenylmethylcyclobutane-3-yl)-2-(2-hydroxybenzylidenehydrazino) thiazole) and its metal complexes on rats. Cell Biochem. Funct. 2006, 24, 547–554. [Google Scholar] [CrossRef] [PubMed]
- Xu, H.; Yu, K.; Su, Z.; Zhou, B.; Wang, C.; Wang, C.; Zhou, B. A 3D K–Cu heterometal–organic coordination polymer with luminescent properties constructed from two kinds of Cu-cyanide complex units and binuclear K oxo-cluster. Inorg. Chem. Commun. 2016, 65, 54–58. [Google Scholar] [CrossRef]
- Dominelli, B.; Correia, J.D.; Kuehn, F.E. Medicinal applications of gold (I/III)-based complexes bearing N-heterocyclic carbene and phosphine ligands. J. Organomet. Chem. 2018, 866, 153–164. [Google Scholar] [CrossRef]
- Wang, S.; Shao, W.; Li, H.; Liu, C.; Wang, K.; Zhang, J. Synthesis, characterization and cytotoxicity of the gold(III) complexes of 4,5-dihydropyrazole-1-carbothioamide derivatives. Eur. J. Med. Chem. 2011, 46, 1914–1918. [Google Scholar] [CrossRef]
- Coluccia, M.; Nassi, A.; Loseto, F.; Boccarelli, A.; Mariggio, M.A.; Giordano, D.; Intini, F.P.; Caputo, P.; Natile, G. A trans-platinum complex showing higher antitumor activity than the cis congeners. J. Med. Chem. 1993, 36, 510–512. [Google Scholar] [CrossRef]
- Orbell, J.D.; Marzilli, L.G.; Kistenmacher, T.J. Preparation, hydrogen-1 NMR spectrum and structure of cis-diamminebis(1-methylcytosine)platinum(II) nitrate-1-methylcytosine. Cis steric effects in pyrimidine ring-bound cis-bis(nucleic acid base)platinum(II) compounds. J. Am. Chem. Soc. 1981, 103, 5126–5133. [Google Scholar] [CrossRef]
- Wachter, E.; Zamora, A.; Heidary, D.K.; Ruiz, J.; Glazer, E.C. Geometry matters: Inverse cytotoxic relationship for cis/trans-Ru (ii) polypyridyl complexes from cis/trans-[PtCl2(NH3)2]. Chem. Commun. 2016, 52, 10121–10124. [Google Scholar] [CrossRef]
- Sullivan, B.P.; Calvert, J.M.; Meyer, T.J. Cis-trans isomerism in (trpy)(PPh3)RuC12. Comparisons between the chemical and physical properties of a cis-trans isomeric pair. Inorg. Chem. 1980, 19, 1404–1407. [Google Scholar] [CrossRef]
- Trávnícek, Z.; Maloň, M.; Šindelář, Z.; Dolezal, K.; Rolčík, J.; Krystof, V.; Strnad, M.; Marek, J. Preparation, physicochemical properties and biological activity of copper(II) complexes with 6-(2-chlorobenzylamino)purine (HL1) or 6-(3-chlorobenzylamino)purine (HL2). The single-crystal X-ray structure of [Cu(H+L2)2Cl3]Cl·2H2O. J. Inorg. Biochem. 2001, 84, 23–32. [Google Scholar] [CrossRef]
- Ren, C.X.; Ye, B.H.; He, F.; Cheng, L.; Chen, X.M. Syntheses, structures, and photoluminescence studies of [2: 2] metallomacrocyclic silver (I) complexes with 1, 3-bis (4, 5-dihydro-1H-imidazol-2-yl) benzene. Cryst. Eng. Comm. 2004, 6, 200–206. [Google Scholar] [CrossRef]
- Arslan, H.; Duran, N.; Börekçi, G.; Ozer, C.K.; Akbay, C. Antimicrobial Activity of Some Thiourea Derivatives and Their Nickel and Copper Complexes. Molecules 2009, 14, 519–527. [Google Scholar] [CrossRef]
- Rauf, M.K.; Din, I.U.; Badshah, A.; Gielen, M.; Ebihara, M.; De Vos, D.; Ahmed, S. Synthesis, structural characterization and in vitro cytotoxicity and anti-bacterial activity of some copper(I) complexes with N,N′-disubstituted thioureas. J. Inorg. Biochem. 2009, 103, 1135–1144. [Google Scholar] [CrossRef]
- Kismali, G.; Emen, F.M.; Yesilkaynak, T.; Meral, O.; Demirkiran, D.; Sel, T.; Külcü, N. The cell death pathway induced by metal halide complexes of pyridine and derivative ligands in hepatocellular carcinoma cells-necrosis or apoptosis? Eur. Rev. Med. Pharmacol. Sci. 2012, 16, 1001–1012. [Google Scholar] [PubMed]
- Budzisz, E.; Lorenz, I.-P.; Mayer, P.; Paneth, P.; Szatkowski, L.; Krajewska, U.; Rozalski, M.; Miernicka, M. Synthesis, crystal structure, theoretical calculation and cytotoxic effect of new Pt(ii), Pd(ii) and Cu(ii) complexes with pyridine-pyrazoles derivatives. New J. Chem. 2008, 32, 2238–2244. [Google Scholar] [CrossRef]
- Jansson, P.J.; Sharpe, P.C.; Bernhardt, P.V.; Richardson, D.R. Novel Thiosemicarbazones of the ApT and DpT Series and Their Copper Complexes: Identification of Pronounced Redox Activity and Characterization of Their Antitumor Activity. J. Med. Chem. 2010, 53, 5759–5769. [Google Scholar] [CrossRef]
- Maity, B.; Roy, M.; Banik, B.; Majumdar, R.; Dighe, R.R.; Chakravarty, A.R. Ferrocene-Promoted Photoactivated DNA Cleavage and Anticancer Activity of Terpyridyl Copper(II) Phenanthroline Complexes. Organometallics 2010, 29, 3632–3641. [Google Scholar] [CrossRef]
- Khan, E. Pyridine Derivatives as Biologically Active Precursors; Organics and Selected Coordination Complexes. Chemistryselect 2021, 6, 3041–3064. [Google Scholar] [CrossRef]
- Shirodkar, S.G.; Mane, P.S.; Chondhekar, T.K. Synthesis and fungitoxic studies of Mn (II), Co (II), Ni (II) and Cu (II) with some heterocyclic Schiff base ligands. Indian J. Chem. Sect. A 2001, 40A, 1114–1117. [Google Scholar]
- Issa, R.M.; Khedr, A.M.; Rizk, H. 1H NMR, IR and UV/VIS Spectroscopic Studies of Some Schiff Bases Derived from 2-Aminobenzothiazole and 2-Amino-3-Hydroxypyridine. J. Chin. Chem. Soc. 2008, 55, 875–884. [Google Scholar] [CrossRef]
- Raman, N.; Raja, J.D.; Sakthivel, A. Synthesis, spectral characterization of Schiff base transition metal complexes: DNA cleavage and antimicrobial activity studies. J. Chem. Sci. 2007, 119, 303–310. [Google Scholar] [CrossRef]
- Ershad, S.; Sagathforoush, L.; Karim-Nezhad, G.; Kangari, S. Electrochemical behavior of N2SO Schiff-base Co (II) complexes in non-aqueous media at the surface of solid electrodes. Int. J. Electrochem. Sci. 2009, 4, 846–854. [Google Scholar]
- Singh, D.; Kumar, R.; Singh, J. Synthesis and spectroscopic studies of biologically active compounds derived from oxalyldihydrazide and benzil, and their Cr(III), Fe(III) and Mn(III) complexes. Eur. J. Med. Chem. 2009, 44, 1731–1736. [Google Scholar] [CrossRef] [PubMed]
- Jafari, M.; Salehi, M.; Kubicki, M.; Arab, A.; Khaleghian, A. DFT studies and antioxidant activity of Schiff base metal complexes of 2-aminopyridine. Crystal structures of cobalt(II) and zinc(II) complexes. Inorg. Chim. Acta 2017, 462, 329–335. [Google Scholar] [CrossRef]
- Hanif, M.; Khan, E.; Khalid, M.; Tahir, M.N.; Morais, S.F.D.A.; Braga, A.A.C. 2-Amino-3-methylpyridinium, 2-amino-4-methylbenzothiazolium and 2-amino-5-chloropyridinium salts. Experimental and theoretical findings. J. Mol. Struct. 2020, 1222, 128914. [Google Scholar] [CrossRef]
- Bellamy, L. The Infra-Red Spectra of Complex Molecules, 3rd ed.; Shapman and Hall: London, UK, 2013; pp. 277–290. [Google Scholar]
- Varsányi, G. Vibrational Spectra of Benzene Derivatives; Elsevier: New York, NY, USA, 2012. [Google Scholar]
- Guan, X.; Chen, G.; Shang, C. ATR-FTIR and XPS study on the structure of complexes formed upon the adsorption of simple organic acids on aluminum hydroxide. J. Environ. Sci. 2007, 19, 438–443. [Google Scholar] [CrossRef]
- Hanif, M.; Kosar, N.; Mahmood, T.; Muhammad, M.; Ullah, F.; Tahir, M.N.; Ribeiro, A.I.; Khan, E. Schiff Bases Derived from 2-Amino-6-methylbenzothiazole, 2-Amino-5-chloropyridine and 4-Chlorobenzaldehyde: Structure, Computational Studies and Evaluation of Biological Activity. ChemistrySelect 2022, 7, e202203386. [Google Scholar] [CrossRef]
- Coates, J.P. The Interpretation of Infrared Spectra: Published Reference Sources. Appl. Spectrosc. Rev. 1996, 31, 179–192. [Google Scholar] [CrossRef]
- Socrates, G. Infrared and Raman Characteristic Group Frequencies: Tables and Charts, 3rd ed.; John Wiley Sons: New York, NY, USA, 2004. [Google Scholar]
- Blanckenberg, A.; Aliwaini, S.; Kimani, S.; van Niekerk, A.; Neumann-Mufweba, A.; Prince, S.; Mapolie, S. Preparation, characterization and evaluation of novel 1,3,5-triaza-7-phosphaadamantane (PTA)-based palladacycles as anti-cancer agents. J. Organomet. Chem. 2017, 851, 68–78. [Google Scholar] [CrossRef]
- Lu, H.-Y.; Shen, A.; Li, Y.-Q.; Hu, Y.-C.; Ni, C.; Cao, Y.-C. N-heterocyclic carbene-palladium-imine complex catalyzed α-arylation of ketones with aryl and heteroaryl chlorides under air atmosphere. Tetrahedron Lett. 2020, 61, 152124. [Google Scholar] [CrossRef]
- Wang, B.-H.; Yan, B. Tunable multi-color luminescence and white emission in lanthanide ion functionalized polyoxometalate-based metal–organic frameworks hybrids and fabricated thin films. J. Alloys Compd. 2018, 777, 415–422. [Google Scholar] [CrossRef]
- Gul, Z.; Din, N.U.; Khan, E.; Ullah, F.; Tahir, M.N. Synthesis, molecular structure, anti-microbial, anti-oxidant and enzyme inhibition activities of 2-amino-6-methylbenzothiazole and its Cu(II) and Ag(I) complexes. J. Mol. Struct. 2020, 1199, 126956. [Google Scholar] [CrossRef]
- Khan, E.; Gul, Z.; Shahzad, A.; Jan, M.S.; Ullah, F.; Tahir, M.N.; Noor, A. Coordination compounds of 4,5,6,7-tetrahydro-1H-indazole with Cu(II), Co(II) and Ag(I): Structural, antimicrobial, antioxidant and enzyme inhibition studies. J. Co-ord. Chem. 2017, 70, 4054–4069. [Google Scholar] [CrossRef]
- Khan, E.; Khan, S.A.; Zahoor, M.; Tahir, M.N.; Noor, A.; Altaf, A.A. Cu(II) coordination polymers stabilized by pyridine-2,6-dicarboxylate anion and pyrazole derivatives through ligand hydrolysis. J. Co-ord. Chem. 2018, 71, 2658–2673. [Google Scholar] [CrossRef]
- Khan, E.; Shahzad, A.; Tahir, M.N.; Noor, A. Antioxidant potential and secondary reactivity of bis f diphenyl(2-pyridyl)phosphino g copper(II) complex. Turk. J. Chem. 2018, 42, 1299–1309. [Google Scholar] [CrossRef]
- Khan, E.; Ahmad, T.; Gul, Z.; Ullah, F.; Tahir, M.N.; Noor, A. Methyl-substituted 2-aminothiazole--based cobalt (II) and silver (I) complexes: Synthesis, X-ray structures, and biological activities. Turk. J. Chem. 2019, 43, 857–868. [Google Scholar] [CrossRef]
- Liu, C.S.; Sun, G.H.; Li, M.; Guo, L.Q.; Zhou, L.M.; Fang, S.M. A Double-Helical Silver (I) Coordination Polymer Based on 1-(4-pyridylmethyl)-1H-benzotriazole: Synthesis, Crystal Structure and Luminescent Property. Open Crystallogr. J. 2008, 1, 24–30. [Google Scholar] [CrossRef]
- Meundaeng, N.; Rujiwatra, A.; Prior, T.J. Crystal structure of (1, 3-thiazole-2-carboxylato-κN)(1, 3-thiazole-2-carboxylic acid-κN) silver (I). Acta Crystallogr. Sect. E. 2019, 75, 185–188. [Google Scholar] [CrossRef]
- Rogovoy, M.I.; Frolova, T.S.; Samsonenko, D.G.; Berezin, A.S.; Bagryanskaya, I.Y.; Nedolya, N.A.; Artem’ev, A.V. 0D to 3D Coordination Assemblies Engineered on Silver (I) Salts and 2-(Alkylsulfanyl) azine Ligands: Crystal Structures, Dual Luminescence, and Cytotoxic Activity. Eur. J. Inorg. Chem. 2020, 2020, 1635–1644. [Google Scholar] [CrossRef]
- Rogovoy, M.I.; Samsonenko, D.G.; Rakhmanova, M.I.; Artem’Ev, A.V. Self-assembly of Ag(I)-based complexes and layered coordination polymers bridged by (2-thiazolyl)sulfides. Inorganica Chim. Acta 2019, 489, 19–26. [Google Scholar] [CrossRef]
- Liu, H.-M.; Zhang, W.; Zheng, Y.; Ma, G.-C.; Zhang, W.-Q. Synthesis and crystal structure of trans-2,2′-(1,4-but-2-enediyldithio)-1,3-dithiazole and its Ag(I) complex with two-dimensional framework. J. Mol. Struct. 2005, 752, 40–44. [Google Scholar] [CrossRef]
- Bidlack, J.M.; Khimich, M.; Parkhill, A.; Sumagin, S.; Sun, B.; Tipton, C.M. Opioid Receptors and Signaling on Cells from the Immune System. J. Neuroimmune Pharmacol. 2006, 1, 260–269. [Google Scholar] [CrossRef] [PubMed]
- Sakiyan, I.; Özdemir, R.; Ogutcu, H. Synthesis, characterization, and antimicrobial activities of new N-(2-hydroxy-1-naphthalidene)-amino acid (L-Tyrosine, L-Arginine, and L-Lysine) Schiff bases and their manganese (III) complexes. Synth. React. Inorg. Met.-Org. Nano-Met. Chem. 2014, 44, 417–423. [Google Scholar] [CrossRef]
- Shakibapour, N.; Sani, F.D.; Beigoli, S.; Sadeghian, H.; Chamani, J. Multi-spectroscopic and molecular modeling studies to reveal the interaction between propyl acridone and calf thymus DNA in the presence of histone H1: Binary and ternary approaches. J. Biomol. Struct. Dyn. 2019, 37, 359–371. [Google Scholar] [CrossRef] [PubMed]
- Moosavi-Movahedi, A.A.; Golchin, A.R.; Nazari, K.; Chamani, J.; Saboury, A.A.; Bathaie, S.Z.; Tangestani-Nejad, S. Microcalorimetry, energetics and binding studies of DNA–dimethyltin dichloride complexes. Thermochim. Acta 2004, 414, 233–241. [Google Scholar] [CrossRef]
- Khan, E.; Hanif, M.; Akhtar, M.S. Schiff bases and their metal complexes with biologically compatible metal ions; biological importance, recent trends and future hopes. Rev. Inorg. Chem. 2022, 42, 307–325. [Google Scholar] [CrossRef]
- Mazur-Marzec, H.; Błaszczyk, A.; Felczykowska, A.; Hohlfeld, N.; Kobos, J.; Toruńska-Sitarz, A.; Węgrzyn, G. Baltic cyanobacteria–a source of biologically active compounds. Eur. J. Phycol. 2015, 50, 343–360. [Google Scholar] [CrossRef]
- Rahman, F.; Bibi, M.; Khan, E.; Shah, A.; Muhammad, M.; Tahir, M.; Shahzad, A.; Ullah, F.; Zahoor, M.; Alamery, S.; et al. Thiourea Derivatives, Simple in Structure but Efficient Enzyme Inhibitors and Mercury Sensors. Molecules 2021, 26, 4506. [Google Scholar] [CrossRef]
- Gul, Z.; Khan, S.; Khan, E. Organic Molecules Containing N, S and O Heteroatoms as Sensors for the Detection of Hg(II) Ion; Coordination and Efficiency toward Detection. Crit. Rev. Anal. Chem. 2022, 1–22, in press. [Google Scholar] [CrossRef]
- Spek, A.L. Structure validation in chemical crystallography. Acta Crystallogr. Sect. D 2009, 65, 148–155. [Google Scholar] [CrossRef]
- Farrugia, L.J. WinGX suite for small-molecule single-crystal crystallography. J. Appl. Crystallogr. 1999, 32, 837–838. [Google Scholar] [CrossRef]
- Farrugia, L.J. WinGX and ORTEP for Windows: An update. J. Appl. Crystallogr. 2012, 45, 849–854. [Google Scholar] [CrossRef]
- Altomare, A.; Burla, M.C.; Camalli, M.; Cascarano, G.L.; Giacovazzo, C.; Guagliardi, A.; Moliterni, A.G.G.; Polidori, G.; Spagna, R. SIR97: A new tool for crystal structure determination and refinement. J. Appl. Crystallogr. 1999, 32, 115–119. [Google Scholar] [CrossRef]
- Sheldrick, G.M. Crystal structure refinement with SHELXL. Acta Crystallogr. Sect. C Struct. Chem. 2015, 71, 3–8. [Google Scholar] [CrossRef]
- Noor, A.; Shahzad, A.; Khan, E.; Tahir, M.N.; Khan, G.S.; Rashid, A.U.; Said, M. Polynuclear Cu (I) and Ag (I) Complexes of 1, 3-Diisobutyl Thiourea, Synthesis, Crystal Structure and Antioxidant Potentials. Inorganics 2022, 10, 185. [Google Scholar] [CrossRef]
- Turner, M.J.; McKinnon, J.J.; Wolff, S.K.; Grimwood, D.J.; Spackman, P.R.; Jayatilaka, D.; Spackman, M.A. CrystalExplorer17. Univ. West. Aust. 2017, 108, 76730. [Google Scholar]
- Andrews, J.M. Determination of minimum inhibitory concentrations. J. Antimicrob. Chemother. 2002, 49, 1049. [Google Scholar] [CrossRef]
- Blois, M.S. Antioxidant Determinations by the Use of a Stable Free Radical. Nature 1958, 181, 1199–1200. [Google Scholar] [CrossRef]
- Dingova, D.; Leroy, J.; Check, A.; Garaj, V.; Krejci, E.; Hrabovska, A. Optimal detection of cholinesterase activity in biological samples: Modifications to the standard Ellman’s assay. Anal. Biochem. 2014, 462, 67–75. [Google Scholar] [CrossRef]
- Rahman, F.U.; Bibi, M.; Altaf, A.A.; Tahir, M.N.; Ullah, F.; Rehman, Z.U.; Khan, E. Zn, Cd and Hg complexes with unsymmetric thiourea derivatives; syntheses, free radical scavenging and enzyme inhibition essay. J. Mol. Struct. 2020, 1211, 128096. [Google Scholar] [CrossRef]
- Hanif, M. Schiff Bases as Bidentate N, O-Donor Ligands, Their Coordination Compounds with Copper and Silver for Selected Biological Applications. Ph.D. thesis, University of Malakand, HEC, Pakistan, 2021; pp. 1–181. [Google Scholar]








| Compound | λmax | εmax |
|---|---|---|
| 1 | 230 | – |
| 292 | – | |
| 2 | 230 | 1,754,123 |
| 264 | 2,382,020 | |
| 3 | 238 | 923,295 |
| 292 | 1402,698 | |
| 4 | 240 | 344,745 |
| 296 | 650,567 |
| Compound No. | 2 | 4 |
|---|---|---|
| Formula weight | 498.33 | 527.02 |
| Empirical formula | C16H16N4O3S2Ag | C6H8N4O4Ag3 |
| Temperature (K) | 296 | |
| Wave length (Å) | 0.71073 | |
| Space group | P21/c | P212121 |
| Crystal system | Monoclinic | Orthorhombic |
| a(Å) | 11.147 (2) | 5.2969 (3) |
| b(Å) | 12.488 (3) | 8.8341 (4) |
| c(Å) | 13.491 (2) | 18.6386 (12) |
| Z | 4 | |
| Volume (A3) | 1801.3 (6) | 872.16 (8) |
| Density (Mgm−3) | 1.838 | 2.117 |
| wR(F2) | 0.077 | 0.087 |
| 0.031 | 0.033 | |
| Theta (max) | 27.0 | 29.9 |
| (h, k, l)max | (14, 14, 17) | (6, 10, 16) |
| (h, k, l)min | (−14, −15, −16) | (−5, −11, −24) |
| R (reflection) | 3887 | 2038 |
| F (000) | 1000 | 544 |
| µ (mm−1) | 1.38 | 2.29 |
| Goodness of Fit | 1.03 | 1.04 |
| Compound 2 | Compound 4 | ||
|---|---|---|---|
| Bond Lengths | Bond Lengths | ||
| N(1)-Ag(1) | 2.207 (2) | Ag(1)-N(1) | 2.218 (5) |
| N(3)-Ag(1) | 2.192 (2) | Ag(1)-O(1) | 2.494 (4) |
| S(1)-C(1) | 1.751 (3) | Ag(1)-O(2) | 2.348 (5) |
| S(1)-C(3) | 1.735 (2) | O(1)-N(3) | 1.242 (6) |
| N(1)-C(1) | 1.311 (3) | O(2)-N(3) | 1.256 (6) |
| N(1)-C(2) | 1.397 (3) | O(3)-N(3) | 1.233 (7) |
| N(3)-C(9) | 1.304 (3) | N(1)-C(1) | 1.339 (7) |
| Bond Angles | Bond Angles | ||
| N(1)-Ag(1)-N(3) | 158.65 (7) | N(1)-Ag(1)-O(2) | 143.81 (16) |
| C(1)-N(1)-Ag(1) | 121.99 (16) | N(1)-Ag(1)-O(1) | 127.61 (15) |
| C(2)-N(1)-Ag(1) | 122.26 (15) | O(2)-Ag(1)-O(1) | 77.39 (14) |
| C(9)-N(3)-Ag(1) | 121.57 (17) | N(3)-O(1)-Ag(1) | 109.8 (3) |
| C(10)-N(3)-Ag(1) | 127.41 (16) | O(3)-N(3)-O(2) | 119.4 (5) |
| C(3)-S(1)-C(1) | 89.05 (12) | O(3)-N(3)-O(1) | 121.0 (5) |
| C(11)-S(2)-C(9) | 89.27 (12) | O(1)-N(3)-O(2) | 119.6 (5) |
| Compound | λmax Excitation (nm) | λmax Emission (nm) |
|---|---|---|
| 2 | 311 | 337 |
| 3 | 335 | 369 |
| 4 | 295 | 352 |
Disclaimer/Publisher’s Note: The statements, opinions and data contained in all publications are solely those of the individual author(s) and contributor(s) and not of MDPI and/or the editor(s). MDPI and/or the editor(s) disclaim responsibility for any injury to people or property resulting from any ideas, methods, instructions or products referred to in the content. |
© 2023 by the authors. Licensee MDPI, Basel, Switzerland. This article is an open access article distributed under the terms and conditions of the Creative Commons Attribution (CC BY) license (https://creativecommons.org/licenses/by/4.0/).
Share and Cite
Hanif, M.; Noor, A.; Muhammad, M.; Ullah, F.; Tahir, M.N.; Khan, G.S.; Khan, E. Complexes of 2-Amino-3-methylpyridine and 2-Amino-4-methylbenzothiazole with Ag(I) and Cu(II): Structure and Biological Applications. Inorganics 2023, 11, 152. https://doi.org/10.3390/inorganics11040152
Hanif M, Noor A, Muhammad M, Ullah F, Tahir MN, Khan GS, Khan E. Complexes of 2-Amino-3-methylpyridine and 2-Amino-4-methylbenzothiazole with Ag(I) and Cu(II): Structure and Biological Applications. Inorganics. 2023; 11(4):152. https://doi.org/10.3390/inorganics11040152
Chicago/Turabian StyleHanif, Muhammad, Awal Noor, Mian Muhammad, Farhat Ullah, Muhammad Nawaz Tahir, Gul Shahzada Khan, and Ezzat Khan. 2023. "Complexes of 2-Amino-3-methylpyridine and 2-Amino-4-methylbenzothiazole with Ag(I) and Cu(II): Structure and Biological Applications" Inorganics 11, no. 4: 152. https://doi.org/10.3390/inorganics11040152
APA StyleHanif, M., Noor, A., Muhammad, M., Ullah, F., Tahir, M. N., Khan, G. S., & Khan, E. (2023). Complexes of 2-Amino-3-methylpyridine and 2-Amino-4-methylbenzothiazole with Ag(I) and Cu(II): Structure and Biological Applications. Inorganics, 11(4), 152. https://doi.org/10.3390/inorganics11040152

