Influence of Sintering Additives on Modified (Ba,Sr)(Sn,Ti)O3 for Electrocaloric Application
Abstract
1. Introduction
2. Experimental Procedure
3. Results
3.1. Sintering Behavior
3.2. Microstructural Analysis
3.3. Phase Analysis
3.4. Dielectric Properties
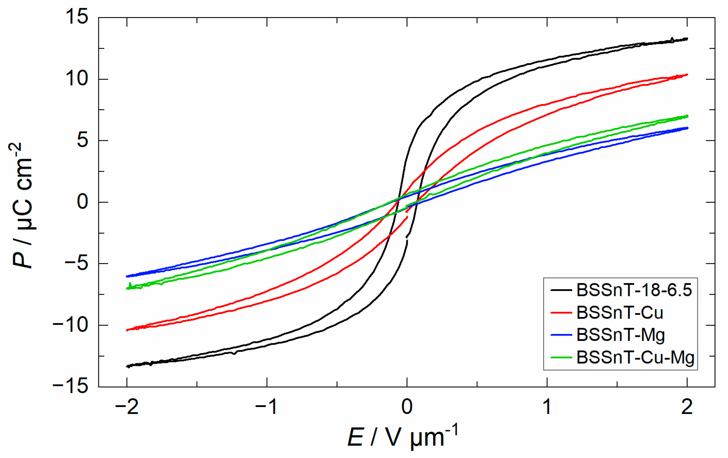
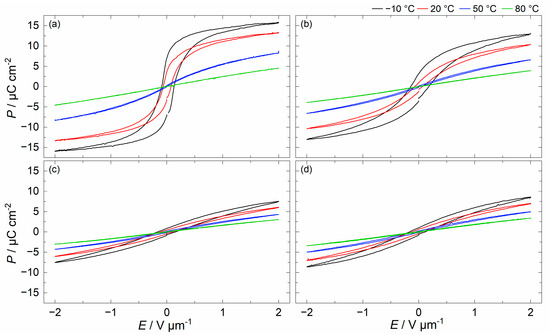
3.5. Ferroelectric Properties
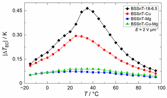
3.6. Electrocaloric Properties
4. Conclusions
Supplementary Materials
Author Contributions
Funding
Data Availability Statement
Conflicts of Interest
References
- Correia, T.; Zhang, Q. Electrocaloric Materials; Springer: Berlin/Heidelberg, Germany, 2014. [Google Scholar]
- Fähler, S.; Rößler, U.K.; Kastner, O.; Eckert, J.; Eggeler, G.; Emmerich, H.; Entel, P.; Müller, S.; Quandt, E.; Albe, K. Caloric Effects in Ferroic Materials: New Concepts for Cooling. Adv. Eng. Mater. 2012, 14, 10–19. [Google Scholar] [CrossRef]
- Valant, M. Electrocaloric materials for future solid-state refrigeration technologies. Prog. Mater. Sci. 2012, 57, 980–1009. [Google Scholar] [CrossRef]
- Bai, Y.; Qin, S.; Nie, W.; Li, J.; Li, J.; Wang, H.; Qiao, L.; Guo, D. Influence of microstructure features on electrocaloric effect in ferroelectric ceramics. Ceram. Int. 2018, 44, 8263–8269. [Google Scholar] [CrossRef]
- Patel, S.; Kumar, M. Influence of grain size on the electrocaloric and pyroelectric properties in non-reducible BaTiO3 ceramics. AIP Adv. 2020, 10, 85302. [Google Scholar] [CrossRef]
- Kartashev, A.V.; Bondarev, V.S.; Flerov, I.N.; Gorev, M.V.; Pogorel’tsev, E.I.; Shabanov, A.V.; Molokeev, M.S.; Guillemet-Fritsch, S.; Raevskii, I.P. Study of the Physical Properties and Electrocaloric Effect in the BaTiO3 Nano- and Microceramics. Phys. Solid State 2019, 61, 1052–1061. [Google Scholar] [CrossRef]
- Uršič, H.; Fulanović, L.; Vrabelj, M.; Kutnjak, Z.; Rožič, B.; Drnovšek, S.; Malič, B. Electrocaloric properties of 0.7Pb(Mg1/3Nb2/3)O3–0.3PbTiO3 ceramics with different grain sizes. Adv. Appl. Ceram. 2016, 115, 77–80. [Google Scholar] [CrossRef]
- Vrabelj, M.; Uršič, H.; Kutnjak, Z.; Rožič, B.; Drnovšek, S.; Benčan, A.; Bobnar, V.; Fulanović, L.; Malič, B. Large electrocaloric effect in grain-size-engineered 0.9Pb(Mg1/3Nb2/3)O3–0.1PbTiO3. J. Eur. Ceram. Soc. 2016, 36, 75–80. [Google Scholar] [CrossRef]
- Lu, B.; Li, P.; Tang, Z.; Yao, Y.; Gao, X.; Kleemann, W.; Lu, S.-G. Large Electrocaloric Effect in Relaxor Ferroelectric and Antiferroelectric Lanthanum Doped Lead Zirconate Titanate Ceramics. Sci. Rep. 2017, 7, 45335. [Google Scholar] [CrossRef] [PubMed]
- Shebanov, L.A.; Borman, K. On lead-scandium tantalate solid solutions with high electrocaloric effect. Ferroelectrics 1992, 127, 143–148. [Google Scholar] [CrossRef]
- Xiao, D.Q.; Wang, Y.C.; Zhang, R.L.; Peng, S.Q.; Zhu, J.G.; Yang, B. Electrocaloric properties of (1 − x)Pb(Mg1/3Nb2/3)O3–xPbTiO3 ferroelectric ceramics near room temperature. Mater. Chem. Phys. 1998, 57, 182–185. [Google Scholar] [CrossRef]
- Bell, A.J.; Deubzer, O. Lead-free piezoelectrics—The environmental and regulatory issues. MRS Bull. 2018, 43, 581–587. [Google Scholar] [CrossRef]
- Directorate-General for Environment; ECORYS; Ramboll. Support for the Evaluation of Directive 2011/65/EU on the Restriction of the Use of Certain Hazardous Substances in Electrical and Electronic Equipment; 2021; Available online: https://op.europa.eu/en/publication-detail/-/publication/5b807311-9d93-11eb-b85c-01aa75ed71a1/language-en/format-PDF/source-278322860 (accessed on 28 March 2023).
- Zhao, C.; Yang, J.; Huang, Y.; Hao, X.; Wu, J. Broad-temperature-span and large electrocaloric effect in lead-free ceramics utilizing successive and metastable phase transitions. J. Mater. Chem. A 2019, 7, 25526–25536. [Google Scholar] [CrossRef]
- Bai, Y.; Zheng, G.-P.; Shi, S.-Q. Abnormal electrocaloric effect of Na0.5Bi0.5TiO3–BaTiO3 lead-free ferroelectric ceramics above room temperature. Mater. Res. Bull. 2011, 46, 1866–1869. [Google Scholar] [CrossRef]
- Kumar, R.; Singh, S. Enhanced electrocaloric response and high energy-storage properties in lead-free (1 − x) (K0.5Na0.5)NbO3—xSrZrO3 nanocrystalline ceramics. J. Alloys Compd. 2018, 764, 289–294. [Google Scholar] [CrossRef]
- Tang, H.; Tang, X.-G.; Li, M.-D.; Liu, Q.-X.; Jiang, Y.-P. Pyroelectric energy harvesting capabilities and electrocaloric effect in lead-free SrxBa1-xNb2O6 ferroelectric ceramics. J. Alloys Compd. 2019, 791, 1038–1045. [Google Scholar] [CrossRef]
- Molin, C.; Richter, T.; Gebhardt, S.E. Tailoring electrocaloric properties of Ba1-xSrxSnyTi1-yO3 ceramics by compositional modification. J. Eur. Ceram. Soc. 2022, 42, 140–146. [Google Scholar] [CrossRef]
- Molin, C.; Neumeister, P.; Neubert, H.; Gebhardt, S.E. Multilayer Ceramics for Electrocaloric Cooling Applications. Energy Technol. 2018, 6, 1543–1552. [Google Scholar] [CrossRef]
- Fulanović, L.; Drnovšek, S.; Uršič, H.; Vrabelj, M.; Kuščer, D.; Makarovič, K.; Bobnar, V.; Kutnjak, Z.; Malič, B. Multilayer 0.9Pb(Mg1/3Nb2/3)O3–0.1PbTiO3 elements for electrocaloric cooling. J. Eur. Ceram. Soc. 2017, 37, 599–603. [Google Scholar] [CrossRef]
- Nair, B.; Usui, T.; Crossley, S.; Kurdi, S.; Guzmán-Verri, G.G.; Moya, X.; Hirose, S.; Mathur, N.D. Large electrocaloric effects in oxide multilayer capacitors over a wide temperature range. Nature 2019, 575, 468–472. [Google Scholar] [CrossRef]
- Tunkasiri, T.; Rujijanagul, G. Dielectric strength of fine grained barium titanate ceramics. J. Mater. Sci. Lett. 1996, 15, 1767–1769. [Google Scholar] [CrossRef]
- Cai, Z.; Wang, X.; Hong, W.; Luo, B.; Zhao, Q.; Li, L. Grain-size–dependent dielectric properties in nanograin ferroelectrics. J. Am. Ceram. Soc. 2018, 101, 5487–5496. [Google Scholar] [CrossRef]
- Jo, W.; Ollagnier, J.-B.; Park, J.-L.; Anton, E.-M.; Kwon, O.-J.; Park, C.; Seo, H.-H.; Lee, J.-S.; Erdem, E.; Eichel, R.-A.; et al. CuO as a sintering additive for (Bi1/2Na1/2)TiO3–BaTiO3–(K0.5Na0.5)NbO3 lead-free piezoceramics. J. Eur. Ceram. Soc. 2011, 31, 2107–2117. [Google Scholar] [CrossRef]
- Chen, T.; Zhang, T.; Wang, G.; Zhou, J.; Zhang, J.; Liu, Y. Effect of CuO on the microstructure and electrical properties of Ba0.85Ca0.15Ti0.90Zr0.10O3 piezoceramics. J. Mater. Sci. 2012, 47, 4612–4619. [Google Scholar] [CrossRef]
- Sakabe, Y.; Wada, N.; Hiramatsu, T.; Tonogaki, T. Dielectric Properties of Fine-Grained BaTiO3 Ceramics Doped with CaO. Jpn. J. Appl. Phys. 2002, 41, 6922–6925. [Google Scholar] [CrossRef]
- Boumous, S.; Belkhiat, S.; Kharchouche, F. MgO Effect on The Dielectric Properties of BaTiO3. Eng. Technol. Appl. Sci. Res. 2019, 9, 4092–4099. [Google Scholar] [CrossRef]
- Lin, Y.T.; Ou, S.F.; Lin, M.H.; Song, Y.R. Effect of MgO addition on the microstructure and dielectric properties of BaTiO3 ceramics. Ceram. Int. 2018, 44, 3531–3535. [Google Scholar] [CrossRef]
- Derling, S.; Müller, T.; Abicht, H.-P.; Felgner, K.-H.; Langhammer, H.T. Copper oxide as a sintering agent for barium titanate based ceramics. J. Mater. Sci. 2001, 36, 1425–1431. [Google Scholar] [CrossRef]
- Jeong, J.; Han, Y.H. Effects of MgO-Doping on Electrical Properties and Microstructure of BaTiO3. Jpn. J. Appl. Phys. 2004, 43, 5373–5377. [Google Scholar] [CrossRef]
- Chen, W.; Zhao, X.; Sun, J.; Zhang, L.; Zhong, L. Effect of the Mn doping concentration on the dielectric and ferroelectric properties of different-routes-fabricated BaTiO3-based ceramics. J. Alloys Compd. 2016, 670, 48–54. [Google Scholar] [CrossRef]
- Wang, X.; Liang, P.; Chao, X.; Yang, Z. Dielectric Properties and Impedance Spectroscopy of MnCO3 -Modified (Ba0.85Ca0.15)(Zr0.1Ti0.9)O3 Lead-Free Ceramics. J. Am. Ceram. Soc. 2015, 98, 1506–1514. [Google Scholar] [CrossRef]
- Su, B.; Button, T.W. Microstructure and dielectric properties of Mg-doped barium strontium titanate ceramics. J. Appl. Phys. 2004, 95, 1382–1385. [Google Scholar] [CrossRef]
- Uchino, K.; Nomura, S. Critical exponents of the dielectric constants in diffused-phase-transition crystals. Ferroelectrics 1982, 44, 55–61. [Google Scholar] [CrossRef]
- Raddaoui, Z.; El Kossi, S.; Dhahri, J.; Abdelmoula, N.; Taibi, K. Study of diffuse phase transition and relaxor ferroelectric behavior of Ba0.97Bi0.02Ti0.9Zr0.05Nb0.04O3 ceramic. RSC Adv. 2019, 9, 2412–2425. [Google Scholar] [CrossRef] [PubMed]
- Skulski, R.; Wawrzala, P. The results of computerized simulation of the influence of dislocations on the degree of phase transition diffusion in BaTiO3. Phys. B Condens. Matter 1997, 233, 173–178. [Google Scholar] [CrossRef]
- Cai, W.; Fu, C.; Gao, J.; Lin, Z.; Deng, X. Effect of hafnium on the microstructure, dielectric and ferroelectric properties of Ba[Zr0.2Ti0.8]O3 ceramics. Ceram. Int. 2012, 38, 3367–3375. [Google Scholar] [CrossRef]
- Mahajan, S.; Thakur, O.P.; Bhattacharya, D.K.; Sreenivas, K. Ferroelectric relaxor behaviour and impedance spectroscopy of Bi2O3-doped barium zirconium titanate ceramics. J. Phys. D Appl. Phys. 2009, 42, 65413. [Google Scholar] [CrossRef]
- Buscaglia, V.; Buscaglia, M.T.; Viviani, M.; Mitoseriu, L.; Nanni, P.; Trefiletti, V.; Piaggio, P.; Gregora, I.; Ostapchuk, T.; Pokorný, J.; et al. Grain size and grain boundary-related effects on the properties of nanocrystalline barium titanate ceramics. J. Eur. Ceram. Soc. 2006, 26, 2889–2898. [Google Scholar] [CrossRef]
- Martirena, H.T.; Burfoot, J.C. Grain-size effects on properties of some ferroelectric ceramics. J. Phys. C Solid State Phys. 1974, 7, 3182. [Google Scholar] [CrossRef]
- Zhao, Z.; Buscaglia, V.; Viviani, M.; Buscaglia, M.T.; Mitoseriu, L.; Testino, A.; Nygren, M.; Johnsson, M.; Nanni, P. Grain-size effects on the ferroelectric behavior of dense nanocrystalline BaTiO3 ceramics. Phys. Rev. B 2004, 70, 24107. [Google Scholar] [CrossRef]
- Mao, C.; Yan, S.; Cao, S.; Yao, C.; Cao, F.; Wang, G.; Dong, X.; Hu, X.; Yang, C. Effect of grain size on phase transition, dielectric and pyroelectric properties of BST ceramics. J. Eur. Ceram. Soc. 2014, 34, 2933–2939. [Google Scholar] [CrossRef]
- Buscaglia, M.T.; Viviani, M.; Buscaglia, V.; Mitoseriu, L.; Testino, A.; Nanni, P.; Zhao, Z.; Nygren, M.; Harnagea, C.; Piazza, D.; et al. High dielectric constant and frozen macroscopic polarization in dense nanocrystalline BaTiO3 ceramics. Phys. Rev. B 2006, 73, 64114. [Google Scholar] [CrossRef]
- Mudinepalli, V.R.; Feng, L.; Lin, W.-C.; Murty, B.S. Effect of grain size on dielectric and ferroelectric properties of nanostructured Ba0.8Sr0.2TiO3 ceramics. J. Adv. Ceram. 2015, 4, 46–53. [Google Scholar] [CrossRef]
- Diamond, H. Variation of Permittivity with Electric Field in Perovskite-Like Ferroelectrics. J. Appl. Phys. 1961, 32, 909–915. [Google Scholar] [CrossRef]











| Sample | |||
|---|---|---|---|
| BSSnT-18-6.5 | 0 | 0 | 1400 |
| BSSnT-Cu | 2 | 0 | 1150 |
| BSSnT-Mg | 0 | 1 | 1400 |
| BSSnT-Cu-Mg | 2 | 1 | 1200 |
| Sample | |||||
|---|---|---|---|---|---|
| BSSnT-18-6.5 | 27 | 25,300 | 0.0040 | 1.7 | 4.4 |
| BSSnT-Cu | 19 | 12,900 | 0.0074 | 1.6 | 6.5 |
| BSSnT-Mg | −11 | 4900 | 0.0119 | 1.9 | 21.4 |
| BSSnT-Cu-Mg | −1 | 4700 | 0.0187 | 1.7 | 23.5 |
| Sample | |||
|---|---|---|---|
| BSSnT-18-6.5 | 13.38 | 3.30 | 4.72 |
| BSSnT-Cu | 10.40 | 0.82 | 5.18 |
| BSSnT-Mg | 6.06 | 0.42 | 8.57 |
| BSSnT-Cu-Mg | 6.95 | 0.58 | 4.77 |
| Sample | T/°C | |||
|---|---|---|---|---|
| BSSnT-18-6.5 | 35 | 0.47 | 4.4 | 465 |
| BSSnT-Cu | 25 | 0.29 | 8.7 | 458 |
| BSSnT-Mg | 20 | 0.08 | 7.7 | 450 |
| BSSnT-Cu-Mg | 35 | 0.09 | 6.7 | 459 |
Disclaimer/Publisher’s Note: The statements, opinions and data contained in all publications are solely those of the individual author(s) and contributor(s) and not of MDPI and/or the editor(s). MDPI and/or the editor(s) disclaim responsibility for any injury to people or property resulting from any ideas, methods, instructions or products referred to in the content. |
© 2023 by the authors. Licensee MDPI, Basel, Switzerland. This article is an open access article distributed under the terms and conditions of the Creative Commons Attribution (CC BY) license (https://creativecommons.org/licenses/by/4.0/).
Share and Cite
Li, Z.; Molin, C.; Gebhardt, S.E. Influence of Sintering Additives on Modified (Ba,Sr)(Sn,Ti)O3 for Electrocaloric Application. Inorganics 2023, 11, 151. https://doi.org/10.3390/inorganics11040151
Li Z, Molin C, Gebhardt SE. Influence of Sintering Additives on Modified (Ba,Sr)(Sn,Ti)O3 for Electrocaloric Application. Inorganics. 2023; 11(4):151. https://doi.org/10.3390/inorganics11040151
Chicago/Turabian StyleLi, Zhenglyu, Christian Molin, and Sylvia E. Gebhardt. 2023. "Influence of Sintering Additives on Modified (Ba,Sr)(Sn,Ti)O3 for Electrocaloric Application" Inorganics 11, no. 4: 151. https://doi.org/10.3390/inorganics11040151
APA StyleLi, Z., Molin, C., & Gebhardt, S. E. (2023). Influence of Sintering Additives on Modified (Ba,Sr)(Sn,Ti)O3 for Electrocaloric Application. Inorganics, 11(4), 151. https://doi.org/10.3390/inorganics11040151

