Abstract
In this review, we want to explain how the burning of fossil fuels is pushing us towards green energy. Actually, for a long time, we have believed that everything is profitable, that resources are unlimited and there are no consequences. However, the reality is often disappointing. The use of non-renewable resources, the excessive waste production and the abandonment of the task of recycling has created a fragile thread that, once broken, may never restore itself. Metaphors aside, we are talking about our planet, the Earth, and its unique ability to host life, including ourselves. Our world has its balance; when the wind erodes a mountain, a beach appears, or when a fire devastates an area, eventually new life emerges from the ashes. However, humans have been distorting this balance for decades. Our evolving way of living has increased the number of resources that each person consumes, whether food, shelter, or energy; we have overworked everything to exhaustion. Scientists worldwide have already said actively and passively that we are facing one of the biggest problems ever: climate change. This is unsustainable and we must try to revert it, or, if we are too late, slow it down as much as possible. To make this happen, there are many possible methods. In this review, we investigate catalysts for using water as an energy source, or, instead of water, alcohols. On the other hand, the recycling of gases such as CO2 and N2O is also addressed, but we also observe non-catalytic means of generating energy through solar cell production.
1. Introduction
Let us put into context the relationship of energy with the human being. The Earth is about 4.5 billion years old and the oldest known fossil is about 3.8 billion years old. This gives a rough estimate of when life began. Our ancestors have proliferated for only 6 million years, and our species, the Homo Erectus, evolved about 2 million years ago. Human civilization began 6000 years ago, followed by the industrialization of mankind. This started in the 18th century, just 260 years ago. Despite having existed on our planet for such a short time, we have been able to modify the entire ecosystem by ourselves in this period of 260 years.
Currently, we face many global problems that have arisen due to our carelessness, and the only way to solve them before it is too late is to try to combine all the efforts of humanity. Here we summarize how the environment has been damaged by combustion of fossil fuels and how evolution is pushing towards green energies [1,2], especially H2 from green sources other than natural gas [3,4].
We need industrial processes such as food factories, vehicle production, IT businesses, etc. They require the use of all our resources, such as clean air, water and soil, on a daily basis. We pollute the air because of the tons of CO2, N2O and other harmful gases we release, resulting from all our motorized vehicles and production plants’ exhaust pipes without any environmental concern [5,6]. Our soil is absorbing all the waste and the water it contain [7], including the material generated by the industry, such as red mud; an iron-containing mud formed by the extraction of the aluminum in bauxite, which currently has no useful utility, this creates vast wastelands, and leaks its iron contents into the soil, leaving it sterile [8]. We also pollute our water due to accidental spills such as the Kuwait oil fires [9], which leaked 136 million tons of crude oil into the Persian Gulf Sea in 2000.
In addition, the enormous amounts of plastics dumped into the ocean are enough to create the Great Pacific garbage patch [10]. This is an island made entirely of plastic waste that is about 1.6 million square kilometers long, approximately twice the total length of France. These problems arose to serve the needs of people, but there are more than eight billion humans on Earth, and the number is growing, which portends a dangerous future.
With this impact on our planet, it is clear that all the aforementioned issues are intertwined, becoming global problems that affect everyone simultaneously, not only the group closest to each polluting site. Together, we have developed a notable and notorious problem that is gaining more recognition: climate change.
To explain what climate change is, we have first to define the term climate: a set of weather patterns related to a specific location that will remain the same for long periods (thousands of years). The atmosphere obtains most of its energy from the Sun and a small part from the Earth’s core. The energy balance is simple; if the energy taken from the Sun and the Earth is greater than the heat going out into outer space, we obtain a Global Warming effect (Figure 1), while the opposite creates a Global Cooling effect. In general, we define climate change as the change in weather patterns (climate) of a specified region, in this case, the whole planet itself, depending on the input and output of energy from the biosphere.
Figure 1.
Global warming effect (left). The addition of significant amounts of CO2 to the atmosphere increases the radiation bouncing back to Earth, heating it more than it should be (right).
According to this data, even though climate change has been occurring since the beginning, as individuals we should barely be able to see it or not see it at all, since the climate has remained stable for periods longer than our individual life. However, we must consider the work of humanity. The reason that the Earth can harbor life is because, first, it orbits in the habitable zone of our solar system and, second, it was able to create an atmosphere, a gas distribution of the different elements that are part of the air (N2, H2, O2, CO2, O3, …). The planet retains these components thanks to its gravity and one of the essential jobs they do is to insulate the Sun’s radiation.
As previously stated, the vast majority of the planet’s energy comes from the Sun in the form of radiation. Without an atmosphere, all the radiation would reach the ground, a tiny fraction would be absorbed, and then the rest would bounce off into outer space. This phenomenon would not be enough to heat the planet and it would become an icy rock. Thanks to the atmosphere, we do not receive all the radiation on the Earth’s surface, and most UV radiation is dangerous to life, because it can damage cells. In addition, the atmosphere acts as a radiation mirror that bounces it off the surface, meaning it heats the surface again, instead of losing the energy all at once. Human industrialization can alter the amounts and composition of the atmosphere to extraordinary limits. The combustion of fossil fuel and other industrial processes have considerably increased the proportion of carbon dioxide [11], nitrous oxide, sulfur oxide, and other gases such as the chlorofluorocarbons (CFCs) [12]. These changes in composition create different problems, some of which we explain in the following sections.
2. Carbon Dioxide and Global Warming
The gas with the largest contribution to the global warming is carbon dioxide. Any combustion process such as the use of fossil fuels or breathing produces it (Figure 2) [13,14]. CO2 is a very inert gas that is not directly harmful to life, although the daily anthropogenic contribution is astronomical [15]. One of particularities of this gas is that it is an excellent infrared reflector, or in other words, it is a heat mirror [16]. Instead of letting the radiation leave the planet, only a fraction makes it, and the rest returns to Earth to reheat it again. With larger amounts of CO2, more radiation is sent to reheat the planet. This process is the Greenhouse effect [17]. For reference, according to the National Oceanic and Atmospheric Administration, NOAA, if we did not have greenhouse gases, the temperature of our planet would be −18 °C on average, while thanks to them we can be comfortable at 20 °C in our life everyday [18].
Figure 2.
Annual global CO2 emission in millions of tons over 200 years (Adapted from Ref. [13]).
The abuse of our production and consumption methods has led us to higher temperatures that are steadily increasing every year. In September 2019, the average surface temperature was 0.95 °C above that of the entire 20th century (Figure 3). Almost 1 °C may not seem like much, but to put this in perspective, in the past 150 years we have been warming the oceans at about a thousand times the annual global energy consumption, or 1.5 Hiroshima nuclear bombs per second [19,20]. The temperature will continue to rise by between 1.4 to 5.6 °C during the current century [21].
Figure 3.
Annual anomaly temperature in Celsius recorded by NASA, NOAA, the Berkeley Earth research group, the Met Office Hadley Centre (UK), and the Cowtan and Way analysis since 1880. Figures obtained from NASA webpage (Adapted from Ref. [22]).
Figure 3.
Annual anomaly temperature in Celsius recorded by NASA, NOAA, the Berkeley Earth research group, the Met Office Hadley Centre (UK), and the Cowtan and Way analysis since 1880. Figures obtained from NASA webpage (Adapted from Ref. [22]).

In addition to moving further into less optimal temperatures for sustainable living, we see other problems caused by Global Warming. We see anomalies nowadays and natural disasters, such as hurricane Dorian, category 5, which hit the Bahamas in September 2019 [23], or the melting of the ice caps, which, if they disappeared entirely, would raise the water level by approximately 70 m [24]. In this case, we must also consider that the amount of fresh water introduced into the ocean could change the marine currents of our oceans, drastically altering the weather of the entire planet [25,26].
All in all, the real issue worldwide lies in moving away from burning fossil fuels and towards CO2 recycling or storage to avoid the worst possible outcome.
3. Nitrous and Sulfur Oxides and Acid Rain
Carbon dioxide is undoubtedly one of the most notorious gases we produce every day, responsible for more than 60% of the greenhouse effect, but others to consider such as nitrous and sulfur oxides (N2O and SO2), when combined with water, create acid rain.
Nitrous oxide has a steady-state lifetime of 120 years, which means that it has been accumulating in the air for the past few decades [25]. The Environmental Protection Agency of the United States (EPA) recorded in 2010 that, of the 29.5 tons emitted of N2O into the atmosphere, 36% is the responsibility of humanity [26]. Due to the proportionally low amount of N2O emitted compared to the amount of CO2, we could consider it as a minor problem. However, N2O is 300 times as efficient as CO2 at reflecting infrared radiation [27]. This means that the only reason carbon dioxide is the main problem for the greenhouse effect are the mass quantities produced. Various developments and research have helped to control the CFCs [28], but nitrous oxide is a major cause of the hole in the ozone layer.
We can find another critical gas, sulfur dioxide, at atmospheric concentrations of 1 ppm and with a useful life of days to weeks. Concentrated emissions can occur mainly due to volcanic activity that releases about 20 million tons of SO2 [29]. Fortunately, in an industrial process such as coal burning, where we find high amounts of sulfur, we have already found solutions to avoid the creation of this gas. The Claus process can produce sulfur as a byproduct [30], while the Stretford process can remove it from the fuel before it is burned. In addition, we have retained most of the SO2 formed in power plants burning sulfur-containing coal thanks to calcium oxide (CaO) filters [31]. When both react, we obtain calcium sulfite (CaSO3) in order to recover, after oxidation, calcium sulfate (CaSO4).
Acid rain is the combination of the two gases in the atmosphere with water droplets. Sulfur dioxide converts to sulfuric acid, while nitrous oxide (and any other nitrogen oxide) is converted to nitric or nitrous acid [28]. This rain can reach very acidic pHs, as in the Poás Volcano in Costa Rica or the Kilauea in Hawaii (pH = 2), and affect its environment [32,33]. These acidic conditions can kill most, if not all, fish species and microbiological life living in lakes or rivers affected by the rain. Although animals can be irritated or even burnt by exposure to rain, they are indirectly affected due to the soil pH. The plants that feed on the soil nutrients can die due to nutrients leaching and the mobilization of toxic ions such as aluminum to the surface [34,35], along with the prolonged acid exposure.
While sulfur dioxide is controlled and monitored, the impact of the N2O we emit may not be obvious, but the potential risks are evident. Therefore, it is in our main interest to find ways to use this gas.
4. Chlorofluorocarbons and the Ozone Layer
As for the final category of gases, the CFCs, we know them for their usefulness: creating bubbles in rigid plastics, grease or glue cleaners, or as vaporizers for pesticides, spray paint, etc. [36]. However, once these gases release into the atmosphere, they perform a photometric reaction, which gives a chloride radical. This radical has an excellent affinity for ozone (O3), and to make things worse, it has a catalytic reaction, which means that a single chlorine radical can break up to 100,000 O3 molecules. Ozone is the best UV radiation absorber enveloping the Earth, giving us protection. We denominate the ozone layer for this reason. Without it, we would surely perish. Thankfully, we have stopped most of these CFC usage that created a hole in the Ozone layer and have begun the required environmental repairs [37,38], see Figure 4.
Figure 4.
Satellite observations from Antarctic of the Ozone layer by NASA (Information obtained from ref. [21]).
5. Energy Dependence
The environmental impact discussed in the previous section involves many different variables, such as factory production. However, one of the most prominent issues in this excessive carbon dioxide production is the energy needs of society. With innovation and technology, we need more energy to power our vehicles, phones and computers, creating a growing energy demand. Energy production in a power plant needs either fossil fuels or renewable resources to operate.
Fossil fuels are a non-renewable source of energy generated over millions of years from organic matter buried in the ground, where we can mainly distinguish three different sources: natural gas, crude oil, and coal. All sources contain carbon atoms in varying amounts, which, if burnt, generate carbon dioxide. They are a good source of profit, as we only need to collect, refine and burn them to produce large amounts of energy. Even if they are non-renewable, there are massive deposits worldwide; however, we have steadily depleted them during our industrialization process that began 260 years ago. The scientific community has estimated that in 2042 we would run out of crude oil, in 2044 of natural gas, and in 2112 of coal [39]. We may have underestimated these values, since there are factors such as the industrialization of developing countries or the increase in population that could quickly reduce the amount we have left (Figure 5) [40,41,42]. This means that, at best, we currently have between 20 and 25 years before we will not be able to drive diesel or gas cars, since there will be no remaining fuel. Even earlier, the price that would arrive near its depletion would become astronomical, so it is clear that the less wealthy already have less time than the rest. Looking optimistically, if we end up burning all the non-renewable sources of our planet, at least we will no longer have the power to affect our atmosphere as much as we do now.
Figure 5.
Global fossil fuel consumption between 1800 and 2021 (Image updated from ref. [41]).
The best option right now is to use renewable energy sources. These sources must be clean, unlimited, and rich in energy. We are developing the technology to do this efficiently; therefore, they are more expensive and less profitable than fossil fuels. Even so, we have different options to pursue, such as harnessing the kinetic energy of water in hydroelectric power plants. This type of power station is built on large rivers or dams, containing large amounts of water that run through a set of turbines, creating electricity when released. However, it has a crucial flaw: the water needs to go through the turbine; it is not a reliable energy income since dry seasons can be expected; therefore, there may not be enough water to feed the plant. Another option is that of wind turbines, which can collect the kinetic energy of the wind, as the name suggests. Once again, these face the same problem as hydroelectric plants: there may not be enough wind to fill our energy quota. In addition, they have other problems, such as wind direction. Since they are big fans, they will only be moved by the wind parallel to the blades. They also contribute to so-called visual pollution, since the size and quantity of wind turbines required to produce sufficient energy tend to transform the landscape, leaving a frightening sight for Don Quixote (Figure 6).
Figure 6.
Group of wind turbines that represent visual pollution.
These two previous sources are not reliable enough yet to use as our primary energy source because they are neither constant nor energy rich. However, there is one thriving and reliable source: nuclear power. In nuclear power plants, we use the heat produced in nuclear fission (Figure 7) to heat water, turn it into steam and run it through a turbine. Technically, it is clean energy because it does not produce carbon dioxide; however, nuclear fission requires radioactive materials. To carry out nuclear fission, we have an assembly of neutron-enriched uranium put together in the reactor. We take advantage of their radioactivity to release free neutrons that will hit nearby enriched atoms, splitting them into two. By doing so, we get an incredible amount of energy from this exothermic reaction which is converted into kinetic energy for the particles involved and thermic energy that will heat water to convert it to steam. Although this is a very energetic process, the result is that we consume this radioactive material until radioactive isotopes appear that we can no longer use them for energy production. These radioactive isotopes are what we call nuclear waste. Once again, there is a problem: it will remain radioactive for tens of thousands of years. Thus, we cannot just store it. To lessen the impact of the radiation, we seal the waste in large lead barrels and then bury them deep in the ground, creating nuclear cemeteries. Of course, this is not flawless. Over the years, the radioactive material will begin to emit into the soil and permeate its environment. In addition, the security risks it entails include long-lasting radiation that will damage the affected area, such as Fukushima [43] or Chernobyl [44], and provokes the fear of the population and possible future damage to the ecosystem.
Figure 7.
Nuclear fission of 235U (U = uranium; Ba = barium; Kr = krypton).
The ideal solution would be to have a process as energetic as a nuclear reaction without dealing with all the waste and risks that comes with it. Fortunately, we have had one from the beginning: a perennial self-sustaining nuclear reactor, so far away that the described problems are non-existent: the Sun. This fulfills its role as an unlimited source, since we want to use the radiation emitted by its reactions, and if the Sun ever runs out, we would no longer need the energy. It is clean and very energetic, ideal for our needs. The main problem is how to collect its energy for our consumption.
There are two possible approaches; one is direct, converting the radiation we receive into electricity. A clear example are solar cells, which scientists develop using different materials such as fullerenes [45,46,47]. The other is indirect, creating clean fuels with this radiation, such as hydrogen production [48] from the water oxidation reaction for later consumption.
6. Catalysts
Before going into further details and considering that we want to be more efficient, we need to connect the solar radiation with a specific reaction. If we use water oxidation as an example, this happens slowly. If it were to occur naturally at the required rate, water would be a very scarce resource. This is not the case, though, so we need something to speed it up. This “something” should be selective for our target reaction; it should be able to do this as many times as possible before decomposing, it should be as environmentally friendly as possible, and most importantly it should be able to decrease the energy demands of our target reaction and perform it at our desired speed (Figure 8). This desired molecule is known as a catalyst.
Figure 8.
Effect of a catalyst on the potential energy surface of a reaction (R = reactant/s; TS = transition state; P = product/s; Normal means that no catalyst is applied).
Tailoring catalysts to specific needs is an art and we must take advantage of solar radiation. Therefore, we need to connect them with photons; however, it is not necessary to entangle catalyst efficiency with them, as photons can become an electron source in our media and these electrons will later get involved in the catalyst mechanism. For instance, in the chloroplast stroma of a chlorophyll pigment, located on a leaf, we can observe Photosystems I and II. These systems can capture a photon and use it to excite an electron to a higher energy level, which is transferred to an electron-acceptor molecule, pheophytin. Once we have promoted the electron, a chain of reactions occurs leading towards the chloroplast’s light-dependent reactions. These chain reactions are nature’s answer to light conversion into chemical energy. Therefore, the goal is to reproduce their effects with a human-made light acceptor that can release excited electrons. Therefore, it is possible to focus on catalyst design and optimization while thinking about the light to obtain the necessary electrons.
7. Hydrogen Production
From an indirect approach of sunlight conversion into a useful chemical, choosing what to produce is mandatory. It must be highly energetic and easy to produce and when burned to produce energy it must not generate carbon dioxide in the process. This ideal implies discarding all carbon-based fuels. A fine choice is molecular hydrogen (H2), in the sense that its combustion will only produce water (Equation (1)).
Compared to hydrocarbon fuels, 1 kg of hydrogen produces the same amount of energy as 2.8 kg of gasoline [49]. This seems to be ideal, since with less fuel we obtain the same energy and the combustion products are non-toxic. However, this is far from reality. It is imperative to understand this statement to know the properties of hydrogen [50]. First, hydrogen is a gas, which means that it fills the entire available container and, in order to increase the amount stored, it must be pressurized. The hydrogen density under ambient temperature and pressure is 0.00009 kg/L; thus, storing 1 kg of hydrogen requires a container of over 10 thousand liters, which is not practical. If hydrogen is pressurized to 700 atm, its density becomes 0.038 kg/L, so we could use a 26 l tank for 1 kg. Another option is to liquefy it by cooling to lower temperatures than 20 K, obtaining thus a density of 0.07 kg/L, where a 14 l tank would be sufficient [51,52]. Altogether, we obtain the same amount of energy from a 14 l liquefied H2 tank at 20 K than a 3.8 l tank of gasoline at room temperature. In addition, there are further problems with hydrogen, such as the liquid’s boil-off, which increases the tank’s pressure and loses 1% of its contents per day [53], or the high risk of explosion, as it is extremely flammable [54]. One of the most notable hydrogen accidents in history is the Hindenburg disaster, New Jersey, 1937, where the German zeppelin LZ 129 Hindenburg ignited, with 36 victims. If hydrogen must become a reliable energy source, the development of better storage conditions is imperative for safer fuel storage in our vehicles; actually, producing hydrogen on site according to need would cause the problem with storage to disappear [55,56]. Many materials ranging from carbon nanotubes [57], glass arrays [58] and activated carbons [59] have been tested for storage, but they suffer from either low absorption (requiring more material for storage) or too high absorption (not possible to recover the H2) [60].
Currently, the best catalysts for hydrogen production depend on the specific method of hydrogen production being used [1,4,61]. The most common catalysts used in hydrogen production are summarized in the following list: (1) Electrolysis: iridium, platinum, and palladium are commonly used as catalysts in electrolysis; (2) Steam Methane Reforming (SMR): nickel is the most commonly used catalyst in steam methane reforming; (3) Biomass Gasification: iron and copper-based catalysts are often used in biomass gasification to produce hydrogen; (4) Photocatalytic water splitting: titanium dioxide (TiO2) is a commonly used photocatalyst in water splitting for hydrogen production; (5) Alkaline water electrolysis: platinum, palladium, and nickel are commonly used catalysts in alkaline water electrolysis. It is important to note that the efficiency and cost-effectiveness of the catalyst can vary based on factors such as the specific method of hydrogen production, operating conditions and the type of catalyst used.
Nevertheless, among the list of solutions the aim should be to produce hydrogen on site according to our needs. With this approach, storage would not be a problem if the source of hydrogen were secure. Fortunately, water is a source of hydrogen. It is often safer to store water in a deposit than compressed or liquefied hydrogen. Moreover, if we use water as a source, we obtain it due to H2 combustion; this is the definition of a renewable source of energy. There are two main pathways to obtain hydrogen from water: water splitting [62] and water oxidation.
8. Water-Splitting
We define the water-splitting reaction as water breaking down into both hydrogen and oxygen:
This reaction is also present in the photosynthesis at Photosystem II (PSII, Figure 9) [63]. In the light-dependent phase, a photon is absorbed in PSII, which excites an electron, starting an electron chain reaction that will convert CO2 into sugars and oxygen gas. Water dissociates into oxygen gas and protons to recover the excited electron in PSII. This reaction loads the inner part of the membrane with protons and creates a gradient. The ATP synthase uses this gradient and releases the protons to the outside. Once on the outer part of the membrane, the protons react with ferredoxin-NADP reductase (FNR), where they convert NADP into NADPH.
Figure 9.
Representation of the photosynthesis mechanism in a thylakoid membrane [5].
They also return to the plastoquinone to reduce it into plastoquinol, thus restarting the whole process.
Photosynthesis is a refined process of several steps that we would like to reproduce, more precisely, water dissociation through light. However, scaling it for commercial use has its flaws. There are several ways to produce water splitting, including electrolysis, radiolysis, and thermal decomposition [64,65].
Water electrolysis occurs once we apply an electric current of at least 1.23 V into the water through two electrodes. This energy can split water into H2 and O2 gas and it is pH independent. However, the energy required to produce H2 gas is higher than that produced by burning the hydrogen obtained, and since the efficiency of the reaction is not 100%, it needs even more. The correct approach would be to place solar panels that produce electricity, which we want to store as chemical energy, but even so, neither electrolysis nor solar cells are very efficient, resulting in a net energy loss. However, a production plant for hydrogen storage could be the right choice if we need the gas for synthesis.
Radiolysis benefits from nuclear radiation, more specifically alpha radiation (He+2 nuclei emitted from larger radioactive material). When alpha radiation is used to split water, it is converted into different radicals and ions (Equation (3)) [66].
As seen above, water radiolysis gives both ions, radicals, and hydrogen. Although the possible combinations could lead to water or ozone, it is possible to recover and reuse them until the desired hydrogen production is increased. As it is based on alpha radiation, it could be a possible solution for nuclear waste, producing hydrogen while containing the waste, with all the risks considered. Although this can be an efficient option for producing and storing molecular hydrogen, as on-site production it is not the best.
The thermal decomposition of water involves high temperatures to dissociate it into a combination of H2 and O2 gas and H, O and OH radicals [67]. There are solar-thermal hydrogen producers that concentrate the sun’s rays using mirrors to reach 1000 K, combining gas diffusion gradient optimizations to produce ~1 kg of H2 per hour, which is approximately 33.3 Kw/h.
Water splitting requires significant amounts of energy to occur. Nevertheless, there is still a possibility to use catalysts, or even better, photocatalysts. These catalysts focus on the reduction and oxidation of water, hydrogen and oxygen. The main goal is to mimic the efficiency of Photosystem II and use light to promote the movement of electrons through media. We show the target reaction in Equation (4).
This reaction is only the half-reaction of water splitting, since we get protons and electrons separately [68], and it combines with the second half-reaction as Equation (5).
Therefore, we aim to split water through two redox processes, water oxidation and proton reduction. Equation (4) shows the water oxidation step.
Among the catalysts able to perform water splitting [4,69], the best metals are the following, ordered by efficiency: (1) platinum is considered one of the best catalysts for water splitting due to its high activity and stability; (2) iridium has similar properties to platinum and is often used as a replacement due to its lower cost; (3) cobalt has been shown to be an effective catalyst, particularly in combination with other metals such as nickel and iron; (4) ruthenium is another metal that has been shown to be an effective catalyst for water splitting due to its stability and durability; (5) other metals, including nickel due to its high activity and low cost, which is also valid for manganese, compensating for lower activity with more availability, whereas iron, zinc, and aluminum have been found to be poorly active.
9. Water Oxidation Catalysis
As stated in the previous section, water oxidation catalysis (WOC) separates the water-splitting reaction into its half-reactions consisting of the oxidation of water and the reduction of protons to hydrogen (Equations (4) and (5)).
There is a step where two water molecules must combine to form the oxygen molecule. Depending on how they interact and the catalyst’s design, the reaction goes through the Interaction of two Metal-oxide centers (I2M) or through a Water Nucleophilic Attack (WNA). First, to have either I2M or WNA, the catalyst must interact with a water molecule and deprotonate it to generate the reaction center where the other water molecule binds.
According to the I2M mechanism, it needs two reactive centers, as the name suggests. The typical procedure is that a water molecule attacks the catalyst’s metal center and then releases protons and electrons from the water into the media. This procedure is repeated twice in order to obtain the two necessary M = O units that will react later. The design of the catalysts based on this mechanism can be monometallic [70], which means that the I2M mechanism is intermolecular, or bimetallic [71]; thus, the mechanism is intramolecular (Figure 10).
Figure 10.
Intermolecular vs. Intramolecular I2M.
On the other hand, there is the WNA mechanism. As its name suggests, this occurs when a water molecule reacts nucleophilically due to the oxygen polarization. This means that an electrophilic counterpart must be present, and since we want an O-O bond, another water molecule must be converted into this electrophilic reagent. As water interacts with the metal center, it releases protons and electrons, meaning it goes from a neutral H2O to a hydroxyl (-OH) and then to an oxide (=O). To do this, the metal center is oxidized to high oxidation states (for Ru, it reaches a +5 oxidation state).
This electron deficiency in the metal tightens all the electrons in the surrounding bonds and results in electrophilic oxygen, perfect for WNA. Once the water attacks the metal oxide center, the deprotonation continues, creating hydroperoxide (-OOH) and finally peroxide (-OO) bonds, which ultimately releases oxygen (Figure 11).
Figure 11.
WNA and subsequent deprotonation.
Of course, having either I2M or WNA does not exclude the other. Some catalysts can perform both mechanisms simultaneously, since both mechanisms are based on the same M=O bond (Figure 12). There are many ways to distinguish between mechanisms and know which one regulates water oxidation. Monometallic catalysts can attach to a surface and attempt to carry out the reaction. If there are no results, or the reaction barely occurs, but works when the catalyst is free in the media, it would show a clear preference towards I2M. Distinguishing between mechanisms is more difficult for bimetallic catalysts or if both I2M and WNA occur on a given catalyst [72,73]. In general, research should tailor the catalysts according to their efficiency and pathways.
Figure 12.
The general mechanism for a catalyst that can perform both I2M and WNA.
Historically, when reproducing the Photosystem II activity, as previously mentioned, nature is the first reference. In this case, the water oxidation of the PSII is the target mechanism. Between 1982 and 1985, Meyer and coworkers reported the first catalyst that performed WOC [74,75], known as “the blue dimer” because of its color (Figure 13).
Figure 13.
Structure representation of the blue dimer for WOC.
This catalyst was the starting point for the development of further water oxidation catalysts with different metal centers such as Ru [76,77], Mn [78,79], or Ir [70,80]. Unfortunately, the TurnOver Numbers (TON) and TurnOver Frequencies (TOF) of these catalysts were not enough. The blue dimer had a TON of 13 and a TOF of 0.004 s−1, meaning that it was slow and had a short life. Until 2005, the catalysts were bimetallic [81,82], but Thummel and Zong [83] were able to report a monometallic catalyst. In 2009, carboxylate ligands were introduced to the Ru catalysts [84], increasing ten-fold the TONs obtained until that moment, while also increasing the TOFs up to 41 s−1 [85]. In 2012, Sun and coworkers reported a colossal leap in WOC [86], a Ru catalyst with a TON of 8360 and a TOF of 303 s−1 (Figure 14) [87]. This is indeed comparable to the PSII, with a TOF between 100–400 s−1 [88]. Attempts to move towards first row transition metals [89] still show poorer performance [90,91,92,93].
Figure 14.
3D view of the Ru(bda)(pic)2 catalyst. Colored atoms: C grey, H white, N blue, O red, Ru yellow.
Why is this new catalyst so good? What is the reason for this leap in efficiency? The revolutionary step was to use Bipyridine-6,6′-dicarboxylate (bda) as a ligand. This bda ligand binds to the Ru metal center through the two carboxylates’ oxygens and the pyridine’s nitrogen, forming a tetradentate chelate. The most crucial characteristic of this ligand is that the angle O-Ru-O formed is wider than in a standard octahedral compound (123° vs. 90° respectively). This larger angle allows a water molecule to interact with the metal center, creating a 7-coordinated Ru. This geometry creates a very reactive metal oxide center, which develops into the fast catalysis stated above. Although this is indeed a great discovery, this catalytic mechanism had yet to be fully understood. Thus, the first objective is to determine the mechanism of the best WOC catalyst known to date.
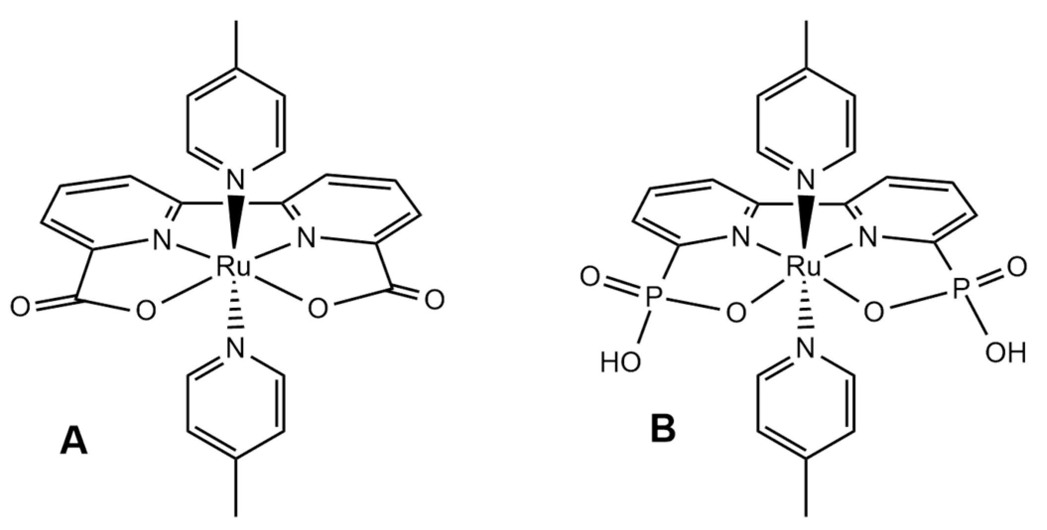
Still, there is a good basis for improving the catalyst and there are already several articles trying to do so [94,95,96]. Since the most remarkable feature is the 7-coordinated Ru center, some researchers have focused on changing the axial ligands [97]. Their research shows that including more π-π interactions increases the dimers’ stability formed through the I2M mechanism and improves the TON of the catalyst. Other reports have changed carboxylates to phosphonates [98], which are quite similar and include a fascinating property for the catalyst—pH dependence. This dependence is available thanks to the phosphonate ligands’ protonation, which translates into different catalytic activities according to the pH. In 2016, Concepcion et al. [99] and Grotjahn et al. [100] reported a phosphonated catalyst (B), Ru(2,2′-bipyridine-6,6′-diphosphonato)(picoline)2, and compared it with the carboxylated (A) (Figure 15). Other researchers have also studied this catalyst, experimentally [101,102,103] and computationally [104,105].
Figure 15.
WOC catalysts (A) (with dicarboxylate ligand) and (B) (with diphosphonate ligand).
Computational analysis determined that B had lower barriers in the known rate-determining step, either the dimerization of the I2M or the second water attacking through WNA, which should translate into faster reactions, but the experimental results pointed in the opposite direction. The phosphonated catalyst had worse activity than the carboxylated. Is this difference related to the pH dependence, or is it due to the mechanism’s oxidant? Understanding this difference is vital, as the rate determining step (rds) may not be the same depending on the ligand; no report includes a comprehensive overview of the mechanism at different pH which is able to explain this. As for the carboxylated catalyst (A) mechanism, it would be possible to replicate it with the phosphonated ligands and include all possible pathways, achieving a meaningful result. In addition, the full mechanism at different pH should be determined for the phosphonated catalyst (B), comparing it with the mechanism of the carboxylated counterpart (A), and finding an answer to the disparity of the experimental and computational results. In detail, determining the full mechanism for the Ru(2,2′-bipyridine-6,6′-dicarboxylato)(4-picoline)2 WOC catalyst at acid (1) and basic (8) pH, we revealed that, at different pH, the intermediates of the mechanism are not the same [106]. The lower pH enables some species’ deprotonation, but the final monomer previous to the rate-determining step is the same at both pHs. We ruled out the previous mechanistic proposal via an intermediate predicted by Concepción and coworkers, since the energy barriers were much higher than the most well-known path [107]. Next, we found the mechanism of the Ru(2,2′-bipyridine-6,6′-diphosphonato)(4-picoline)2 WOC catalyst, which is the phosphonated analogous of the previous catalyst. There are three possible biphosphonate conformations according to the pH: biprotonated, monoprotonated and deprotonated. At pH = 1, the two proton coupled electron transfers (PCETs) [108] of the mechanism occur through the monoprotonated state, but the rest of the species involved are biprotonated. At pH = 8, the deprotonated state predominates over the mechanism. The pH is critical in the determination of the rds since the media’s oxidant, Cerium Ammonium Nitrate (CAN), only works under acidic conditions. In the absence of CAN, at pH = 8, the rds goes through an I2M path. The high energy barrier combined with the catalyst dimerization correlates with the poor to inexistent experimental catalytic activity. In the presence of CAN in excess, the mechanism does not undergo WNA despite its low energy barrier, since the water would not be able to deprotonate afterward. We hypothesized an I2M between CAN-catalyst that could explain the need of CAN to increase the catalytic activity. and providing all necessary experimental evidence. Since CAN could be part of the catalysis [109], lower amounts could reduce the reaction chemical waste.
Overall, the best metals for WOC are iridium for excellent oxygen evolution activities, high stability and durability, while ruthenium-based catalysts are known for their high stability and low overpotential, making them ideal for water oxidation catalysis [88,110,111]. Ruthenium-based catalysts have been found to have high activities in acidic and alkaline environments, while platinum-based catalysts have been found to have excellent activity and stability in acidic and alkaline environments. Other metals that have been successful in WOC are cobalt and nickel. Nevertheless, the most promising applications for industry come from nanoparticles [112], or metal oxides, using iron, manganese or cobalt due to their high stability and ability to generate high oxidizing potentials.
10. Acceptorless Dehydrogenative Coupling
In addition to water splitting and water oxidation, there are other possible routes to creating hydrogen-like industrial refining processes. With a few changes, they can produce H2 for storage or to help power the factory. An exciting reaction that can fulfill this role is dehydrogenative cross-coupling (Figure 16) [113].
Figure 16.
General cross-coupling reaction of arenes with alkenes.
This reaction leads to C-C bond formation between reagents. The hydrogens attached to the carbon atoms involved must be removed by an H2 acceptor. This agent is usually an alkene that hydrogenates, ending up as a side-product or waste that must be isolated from the main product, causing efficiency drops due to the additional steps required. A significant improvement for this reaction is acceptorless dehydrogenative coupling (ADC) [114,115], which can perform a dehydrogenative step without the need for an acceptor [116]. Therefore, it produces hydrogen gas as a side-product, with no additional steps required to separate it from the target product (Figure 17).
Figure 17.
General acceptorless dehydrogenative coupling reaction of arenes with alkenes.
Although this is a positive improvement towards green chemistry, ADC catalysts usually contain heavy transition metals, such as Rh [117], Ir [118], or Pd [119], that are both expensive and scarce. In 2017, Milstein et al. reported [120,121] an unprecedented efficient α olefination of nitriles via ADC of nitriles and alcohols. They compared a few tests with current catalysts, and one of them stood out from the rest: a Mn-based catalyst. The Mn center is an excellent find as it is the third most abundant metal resource on Earth. It reduces the catalyst’s production cost and the impact of its extraction is less than that of the scarce metals such as Pd. In addition, this is also a catalyst that produces acrylo-nitriles while also generating hydrogen in the process. As an observation, acrylo-nitriles are widely used in different areas, mainly as precursors for the synthesis of pyrroles [122], benzonitriles [123], or to synthesize drugs for medical treatments such as malaria [124], and are produced in large quantities. Therefore, aiming for production with less waste and more abundant metals such as Mn is a necessity, because of the need for eco/cost-friendly catalysts involving this reaction that produces hydrogen for its storage or production in situ. This catalyst is included in a group of high performing catalysts, which share a particularity: its phosphorous-nitrogen-phosphorous (PNP) pincer ligand. PNP pincer ligands have been a hot topic for many years [125,126,127,128] since they have multiple uses in metal center activation or catalysis. It is possible to tune the PNP ligands as preferred, as we can functionalize the backbone of the ligand to obtain different reactivity. Following the aforementioned work with the Mn metal center PNP catalyst, along with DFT calculations [129], and to look towards its diverse functionality, other hydrogen-producing catalysts were considered for mechanistic studies [130], leading to aldimines from the interaction of alcohols with amines [131].
Overall, there are several catalysts that have been found to be effective in ADC reactions [132], including a broad range of metals, from noble metals like palladium and platinum to first row transition metals, such as copper, manganese, nickel, cobalt, and iron.
11. Reuse of Atmospheric Gases for Waste Management
Apart from the production of hydrogen as a target fuel for its clean combustion and chemical energy storage, there are more issues to be targeted in green chemistry. Carbon dioxide and nitrous oxide are growing problems, the latter being the most important, especially due to their 120-year stationary life, which indicates that, although their production is based on appearing as a byproduct in small quantities, over recent decades a problem has arisen. One of the known ways of removing nitrous oxide is by hydrogenating it:
This is a simple reaction where nitrous oxide is converted into water and nitrogen, environmentally neutral gases that serve different purposes such as the synthesis of ammonia in the Haber-Bosch process [133]. To make this reaction fast and viable, one type of catalyst is making an impact in integral catalysis due to its flexibility and selectivity and is included in Figure 18 [134], owing also to a PNP pincer ligand.
Figure 18.
Hydrogenation of N2O by the PNP-pincer Ru based catalyst (P = P(iPr)2) (Reprinted with permission from Ref. [134]).
Actually, Milstein’s group reported a set of catalysts with ligand variations that could perform this hydrogenation [135]. Thanks to their extensive experimental work, they defined a hypothetical mechanism, but some parts were obscure. Thus, they labeled them as a complicated mixture. In their experimental tests, they also compared different phosphorous ligands with isopropyl, tert-butyl, and phenyl substituents, and according to their data on the other catalysts, isopropyl was the best choice from the three, as the TON increased ten-fold. Despite not having apparent involvement with the metal center, it is clear that the ligands played an essential role in this catalysis, but there was no explanation for this phenomenon.
On the other hand, manly from a quantitative point of view, the giant of global warming, CO2, is a growing problem that we must face head on [136,137]. Although there are many ways to reuse it, they often require high temperatures and pressures or use reactants that produce high amounts of CO2 to obtain them. Therefore, we want to confront a relevant procedure: the cycloaddition of epoxides into cyclic carbonates by experiments [138,139,140,141] and calculations [142], or both approaches [143,144,145]. Basically, CO2 recycling is based on using it as a building block for other carbon-based compounds [146,147]. However, the use of electrocatalysts [148,149] for CO2 reduction in mild conditions is a research strategy.
12. Solar Cells and Batteries
Regarding future energy production, the above discussion has focused on using catalysts to synthesize clean fuels like hydrogen and derive them in the catalytic recycling of both nitrous oxide and carbon dioxide. According to the clean fuel production section, hydrogen is the fuel of the future. Even with its flaws, it can store large amounts of energy, reused by combustion. However, converting power into chemical storage and back to power is inefficient [150,151,152,153]. It is well known that all chemical reactions have different yields, either through the formation of side-products or, in this case, through the loss of energy.
Suppose we obtain an efficient catalyst that can produce hydrogen like those explained above. This would obtain the electron transfers it needs through sunlight. Even if we obtain the best possible catalyst, there is a net loss of energy in the process, either due to the overpotential of energy required to perform redox reactions [154], due to side-products, or conversion of a part of the energy into heat, known as heat dissipation. In general, chemical reactions involve energy loss. A reasonable question would be: why bother designing complicated mechanisms and catalysis to create chemical compounds that we want to convert into energy if we could directly transform sunlight into energy through other technologies such as solar cells? [155,156] This reasoning usually leads to using batteries to store the energy so as not lose as much energy as in the chemical process. To answer this, another question appears: how do we produce those batteries? As the level of technology increases, energy needs not only become more extensive but also constant. Almost all everyday tasks require batteries: mobile phones, laptops, TVs, cars and, of course, power reserves for distribution among the population. Newer technologies also tend to demand more energy; in 1946, the first cellphone had a battery life of 30 min [157], but in 2019, with more energy demanding devices with internet, apps, videos, etc., the battery lasts from a full day if used extensively to several if it is not.
Batteries increase their capacity thanks to materials engineering and a particular small alkali metal: lithium. This has a wide variety of applications, but the best known is in cell batteries [158,159,160]. Unfortunately, working with lithium is a challenging task; its extraction is too polluting as it can poison groundwater supplies, permanently damage the soil, and produce air pollution [161]. Furthermore, even if all these problems were solved and included automation to avoid human harm, there is still a finite amount of lithium, between 20 and 40 million tons [162]. Given such a large amount, it could last another 365 years, but when it runs out, what is the plan? The last 250 years of non-stop burning of fossil fuels showed that it is not a good idea to deplete resources until it is too late. Therefore, while it is crucial to develop other technologies that rely on lithium or other metals, it is vital to have a backup plan. Hydrogen production is available in power plants that are not using their full capacity, which means they can automatically store energy. When the demand is low, we could direct all the surplus energy produced into hydrogen production, therefore with less power loss in the meantime. Hydrogen is just another type of “battery”, like lithium, but renewable.
The take home message is that it is essential to look for as many energy production methods as possible, among them, promising direct solar energy conversion to electricity, are solar cells, an exciting technology for creating energy, based entirely on the materials and their disposition. To build a solar cell, we need different materials depending on their conductivity. There are three types of materials according to their conductivity: conductor, semiconductor, and insulator. They differ only in the energy gap between the highest occupied energy state of their valence electrons, which is formed due to the combination of all the bonding orbitals of the material. The lowest unoccupied energy states result from the combination of all the anti-bonding orbitals (Figure 19).
Figure 19.
Formation of positive and negatives bands through the interaction of the electron orbitals in a given material.
The difference in conductivity depends on the size of the bandgap. If the negative and positive bands overlap, it acts as a conductor, as the electrons are free to move from one band to the other. If the bandgap does not overlap, it is either a semiconductor or an insulator. In this situation, it needs an external energy source to promote electrons from the negative (N)-band towards the positive (P)-band. The insulating or semiconducting property depends on the energy applied. If it can promote the electron, it becomes a semiconductor; while if the energy were little, it would be an insulator. A common insulator is cork produced from cork tree, but it is only an insulator for the voltage used at home, since the application of high enough voltages, like lightning, would allow the electrons to pass through the band gap.
Solar cells work with this feature but through two different layers of materials. One layer is rich in electrons, the N-layer, while the other layer is lacking, the P-layer. Combined, they have a bandgap small enough so that a photon to excite an electron; therefore, they are semiconductors. Once they make contact, electrons from the N-band of the N-layer rush to fill the gaps in the P-band of the P-layer to equilibrium at the junction. The opposite charge at the junction creates an electric field that acts as a diode, allowing only electron movement from the P-layer to the N-layer, causing the flow of electrons to stop. Now, sunlight comes into play in the form of photons. When a photon hits an electron close to this electric field, it has enough energy to excite it and create a free electron and a hole. The electric field between layers will push this free electron towards the N-layer, and the hole will go into the P-layer. Neither layer is in equilibrium anymore, so they will try to recombine the electron and the hole, but now the N-layer cannot give this electron back to the P-layer because of the junction electric field. By providing a passage in the form of a cable through one layer to another, it is possible to take advantage of the electron gradient and move electrons through the wire. This current, combined with the generated electric field voltage, provides useful electrical power (Figure 20).
Figure 20.
Solar cell electron-hole movement.
Because solar cells depend on the gap between layers, they rely on their materials’ properties. There are three categories, starting with the first generation of solar cells [163], based on crystalline silicones such as polycrystalline silicon. They are very expensive to produce since their production is based on growth controlled silicon crystals, but they are the best sellers worldwide since their research came first [164]. Second-generation solar cells [165] are also called thin-layer or thin-film solar cells due to their technology, which consists of micrometer-thick layers of material that function like a complete solar cell. However, even if they are much cheaper than the first generation, their efficiencies pale in comparison. The latest technology in solar cells is the third generation [166], which consists mainly of organic materials such as dyes [167,168], polymers [169], and quantum dots [170]. They are very cheap to mass-produce as the target is to print them like paper, while also having the best efficiency of all generations (up to 47.1%) [171]. Unfortunately, they are still in research and have not yet been commercially available. Among the third-generation solar cells, there are the dye-sensitized solar cells [172]. They show quite good efficiency (12.0~12.5%) and physical properties [171]: flexible and semi-transparent, which enable various applications, including printing by conventional roll-printing techniques. These properties mean that their cost is minimum and mass production possible. Thus, they are perfect candidates to compete with fossil fuels due to their reduced price. Other efforts are devoted to silicon-based solar cells; however, they have a significant difference. While the silicon acts as an electron carrier and donor, these roles are separated in the dye-sensitized solar cell. The first layer includes a dye, a material that can absorb a photon and excite it to allow its transfer. This electron is not transferred through the dye itself. Instead, a charge separation process occurs between the dye and a semiconductor. A set of titanium oxide (TiO2) particles acts as both scaffold and semiconductor. Once the electron has moved unto the TiO2, it diffuses into the desired circuit. When the electron returns, it returns through a platinum electrode, and this is where the most significant difference between silicon and dye-based solar cells occurs; the platinum and the TiO2 do not touch. In fact, they are connected via an I−/I3− electrolyte. The triiodide ion takes electrons from the platinum cathode and is reduced to iodide. This iodide is oxidized to the triiodide on contact with the dye that was initially photoexcited, completing the circuit (Figure 21).
Figure 21.
Dye-sensitized solar cell general mechanism.
Although they require expensive metals such as platinum for the electrode or ruthenium for the dyes [173], the amount needed is minimal. Since these cells do not need complex assembly or materials like silicon cells, they are also one of the cheapest options for the future. These cells have technical problems. However, the charge transfer between dye and the scaffold is lower, one of the reasons for its low efficiency. Furthermore, the electrolyte is a liquid; thus, high and low temperatures can expand or freeze it, respectively, potentially damaging the cell or further reducing its efficiency. As a critical observation, the dyes are usually in the nanometer spectrum; therefore, to absorb as many photons as possible, their density through the surface must be high. It needs scaffolds with large surface areas, hence the reason for the TiO2 nanoparticles. Different nanoparticles can vary the efficiency of the process, depending on their charge transfer capabilities. With this in mind, there is an emerging field: carbon nanostructures, including fullerenes [174] and even combined with perovskites [175,176].
13. Limitations and Perspectives
Water splitting, water oxidation catalysis, and acceptorless dehydrogenative coupling are important processes in the field of electrochemistry and materials science. Despite their potential for applications in energy conversion and storage, there are several limitations associated with these processes that need to be overcome in order to achieve their full potential. One of the main challenges in water splitting is to develop efficient catalysts that can reduce the overpotential required to split water into hydrogen and oxygen. Additionally, the stability and durability of these catalysts are also important factors that need to be addressed. Another limitation in water oxidation catalysis is the low turnover rate of catalysts, which limits the practical efficiency of this process. Additionally, the catalysts used for water oxidation tend to corrode quickly, reducing their efficiency and lifespan [88]. Slightly differently, one of the main challenges in acceptorless dehydrogenative coupling is to achieve high selectivity and efficiency in the reaction, as this process often results in the formation of a variety of byproducts. Additionally, the lack of good electron acceptors can also limit the practical efficiency of this process. In summary, these limitations must be addressed through further research and development in order to achieve the full potential of these processes and their applications in energy conversion and storage. Anyway, recently several promising materials have proved valuable in widespread electrocatalytic fields due to their efficiency as electrocatalysts for hydrogen or oxygen evolution reaction [177,178,179]. This could lead to industrial applications working with the water splitting, especially when dealing with low overpotentials.
Knowing the electroreduction of carbon dioxide (CO2) is a process in which CO2 is reduced to useful chemicals and fuels using electrical energy, this process can help mitigate the impact of greenhouse gas emissions by converting excess CO2 into valuable products: formic acid, methanol, ethylene, and others, and even to carbon-rich products [148]. However, there are still some technical challenges to overcome in order to make the electroreduction of CO2 a viable and economically competitive process, but ongoing research and development efforts are working towards this goal.
CO2 can also be used as a feedstock in the production of chemicals and fuels, replacing traditional feedstocks such as fossil fuels. Using CO2 as a feedstock in this way has the potential to close the carbon cycle and reduce the net release of CO2 into the atmosphere. This approach also offers an opportunity to use renewable energy sources to produce chemicals and fuels, as the electrical energy used in the electroreduction process can come from renewable sources such as solar and wind power.
14. Conclusions
Considering the problems of burning fossil fuels, we review green solutions. It is vital to have better optimized catalysis towards an environmentally friendly chemistry, but it is also necessary to use as raw materials the unwanted products of the industry that we already have in order to avoid waste. In dealing with global pollution, one of the causes of climate change is nitrous oxide, which is not as present as carbon dioxide but has a much greater impact.
Starting from the catalysis of water to produce hydrogen, we analyzed the best molecular catalysts involved in water oxidation catalysis, with some clues on solar cells. The next option present is the dehydrogenative reaction with a first row transition metal catalyst that enabled it to become acceptorless, since this type of reaction usually requires a sacrificial molecule, or acceptor, to accept the free hydrogens.
On the other hand, the waste must be recycled, involving carbon dioxide or nitrogen based oxides, the gases most responsible for climate change. It is particularly efficient to recycle the atmospheric CO2 with the cyclization of epoxides to obtain cyclic carbonates. In general, we discuss several families of catalysts in a move towards green chemistry and we demonstrate that it is possible to improve their related industrial processes to save our planet.
Author Contributions
Writing, review and editing, J.A.L.-U., T.O.-G., M.S. and A.P. All authors have read and agreed to the published version of the manuscript.
Funding
This research was funded by the Spanish Ministerio de Ciencia e Innovación (projects PID2021-127423NB-I00 to A.P. and PID2020-113711GB-I00 to M.S.) and the Generalitat de Catalunya (project 2021 SGR0623 and ICREA Academia prize 2019 to A.P.).
Institutional Review Board Statement
Not applicable.
Informed Consent Statement
Not applicable.
Data Availability Statement
No new data were created or analyzed in this study. Data sharing is not applicable to this article.
Acknowledgments
A.P. is a Serra Húnter Fellow and thanks the ICREA Academia prize 2019.
Conflicts of Interest
The authors declare no conflict of interest.
Abbreviations
| ADC | Acceptorless Dehydrogenative Coupling |
| ATP | Adenosine TriPhosphate |
| bda | 2,2′-Bipyridine-6,6′-Dicarboxylic Acid |
| CFC | ChloroFluoroCarbons |
| DFT | Density Functional Theory |
| FNR | Ferredoxin NADP Reductase |
| I2M | Interaction between 2 Metal-oxo centers |
| NADP | Nicotinamide Adenine Dinucleotide Phosphate |
| NADPH | Hydrogenated NADP |
| NOAA | National Oceanic and Atmospheric Administration |
| PCET | Proton Coupled Electron Transfer |
| PNP | Phosphorous-Nitrogen-Phosphorous |
| PSII | Photosystem II |
| SMR | Steam Methane Reforming |
| TOF | TurnOver Frequency |
| TON | TurnOver Number |
| WNA | Water Nucleophilic Attack |
| WOC | Water Oxidation Catalysis |
References
- Turner, J.A. Sustainable hydrogen production. Science 2004, 305, 972–974. [Google Scholar] [CrossRef]
- Luque Urrutia, J.A. Computational Studies Oriented towards the Development of a Greener Chemistry. Ph.D. Thesis, Universitat de Girona, Girona, Spain, 2021. [Google Scholar]
- Ruocco, C.; Martino, M. Catalysts for Sustainable Hydrogen Production: Preparation, Applications and Process Integration. Catalysts 2022, 12, 322. [Google Scholar] [CrossRef]
- Martino, M.; Ruocco, C.; Meloni, E.; Pullumbi, P.; Palma, V. Main hydrogen production processes: An overview. Catalysts 2021, 11, 547. [Google Scholar] [CrossRef]
- Somepics. Available online: https://commons.wikimedia.org/w/index.php?curid=38088695 (accessed on 1 February 2023).
- Gregg, J.S.; Andres, R.J.; Marland, G. China: Emissions pattern of the world leader in CO2 emissions from fossil fuel consumption and cement production. Geophys. Res. Lett. 2008, 35, L08806. [Google Scholar] [CrossRef]
- Das, T.K.; Poater, A. Review on Use of Heavy Metal Deposits from Water Treatment Waste towards Catalytic Chemical Syntheses. Int. J. Mol. Sci. 2021, 22, 13383. [Google Scholar] [CrossRef] [PubMed]
- Sushil, S.; Batra, V.S. Catalytic applications of red mud, an aluminium industry waste: A review. Appl. Catal. B-Environ. 2008, 81, 64–77. [Google Scholar] [CrossRef]
- Husain, T. Extinguishing of Kuwaiti oil fires—Challenges, technology, and success. Atmos. Environ. 1994, 28, 2139–2147. [Google Scholar] [CrossRef]
- Lebreton, L.; Slat, B.; Ferrari, F.; Sainte-Rose, B.; Aitken, J.; Marthouse, R.; Hajbane, S.; Cunsolo, S.; Schwarz, A.; Levivier, A.; et al. Evidence that the Great Pacific Garbage Patch is rapidly accumulating plastic. Sci. Rep. 2018, 8, 4666. [Google Scholar] [CrossRef]
- Gong, Q.; Wang, Y.; Ren, X.; He, C.; Liu, J.; Zhang, Q. Ultra-low-loaded Ni−Fe Dimer Anchored to Nitrogen/Oxygen Sites for Boosting Electroreduction of Carbon Dioxide. ChemSusChem 2021, 14, 4499–4506. [Google Scholar] [CrossRef]
- Jackson, R.B.; Friedlingstein, P.; Andrew, R.M.; Canadell, J.G.; Le Quéré, C.; Peters, G.P. Persistent fossil fuel growth threatens the Paris Agreement and planetary health. Environ. Res. Lett. 2019, 14, 121001. [Google Scholar] [CrossRef]
- Marland, G.; Boden, T.A.; Andres, R.J. Global, Regional, and National CO2 Emissions. In Trends: A Compendium of Data on Global Change; Carbon Dioxide Information Analysis Center, Oak Ridge National Laboratory, U.S. Department of Energy: Oak Ridge, TN, USA, 2003. [Google Scholar]
- Feng, C.; Zheng, C.-J.; Shan, M.-L. The clarification for the features, temporal variations, and potential factors of global carbon dioxide emissions. J. Clean. Prod. 2020, 255, 120250. [Google Scholar] [CrossRef]
- Yang, S.; Lei, L.; Zeng, Z.; He, Z.; Zhong, H. An Assessment of Anthropogenic CO2 Emissions by Satellite-Based Observations in China. Sensors 2019, 19, 1118. [Google Scholar] [CrossRef] [PubMed]
- Charlock, T.P. CO2-induced climatic change and spectral variations in the outgoing terrestrial infrared radiation. Tellus B 2017, 36, 139–148. [Google Scholar] [CrossRef]
- Thacker, I.; Sinatra, G. Visualizing the Greenhouse Effect: Restructuring Mental Models of Climate Change Through a Guided Online Simulation. Educ. Sci. 2019, 9, 14. [Google Scholar] [CrossRef]
- National Oceanic and Atmospheric Administration. Climate at a Glance: Global Mapping. Available online: https://www.ncdc.noaa.gov/cag/ (accessed on 17 February 2023).
- Zanna, L.; Khatiwala, S.; Gregory, J.M.; Ison, J.; Heimbach, P. Global reconstruction of historical ocean heat storage and transport. Proc. Natl. Acad. Sci. USA 2019, 116, 1126–1131. [Google Scholar] [CrossRef] [PubMed]
- Carrington, D. Global Warming of Oceans Equivalent to an Atomic Bomb per Second. Available online: https://www.theguardian.com/environment/2019/jan/07/global-warming-of-oceans-equivalent-to-an-atomic-bomb-per-second (accessed on 17 February 2023).
- Collins, M.; Knutti, R.; Arblaster, J.; Dufresne, J.-L.; Fichefet, T.; Friedlingstein, P.; Gao, X.; Gutowski, W.J.; Johns, T.; Krinner, G.; et al. Long-Term Climate Change Projections, Commitments and Irreversibility. In Climate Change 2013—The Physical Science Basis; Cambridge University Press: Cambridge, UK, 2013; pp. 1029–1136. [Google Scholar]
- Cole, S.; Jacobs, P. NASA, NOAA Analyses Reveal 2019 Second Warmest Year on Record. Available online: https://www.giss.nasa.gov/research/news/20200115/ (accessed on 1 February 2023).
- Shultz, J.M.; Sands, D.E.; Kossin, J.P.; Galea, S. Double Environmental Injustice—Climate Change, Hurricane Dorian, and the Bahamas. N. Engl. J. Med. 2020, 382, 1564–1567. [Google Scholar] [CrossRef] [PubMed]
- Moon, T.; Ahlstrom, A.; Goelzer, H.; Lipscomb, W.; Nowicki, S. Rising Oceans Guaranteed: Arctic Land Ice Loss and Sea Level Rise. Curr. Clim. Chang. Rep. 2018, 4, 211–222. [Google Scholar] [CrossRef] [PubMed]
- Prather, M.J.; Hsu, J.; DeLuca, N.M.; Jackman, C.H.; Oman, L.D.; Douglass, A.R.; Fleming, E.L.; Strahan, S.E.; Steenrod, S.D.; Sovde, O.A.; et al. Measuring and modeling the lifetime of nitrous oxide including its variability. J. Geophys. Res. Atmos. 2015, 120, 5693–5705. [Google Scholar] [CrossRef]
- United States Environmental Protection Agency. Methane and Nitrous Oxide Emissions from Natural Sources. Available online: https://nepis.epa.gov/Exe/ZyNET.exe/P100717T.TXT?ZyActionD=ZyDocument&Client=EPA&Index=2006+Thru+2010&Docs=&Query=&Time=&EndTime=&SearchMethod=1&TocRestrict=n&Toc=&TocEntry=&QField=&QFieldYear=&QFieldMonth=&QFieldDay=&IntQFieldOp=0&ExtQFieldOp=0&XmlQuery=&File=D%3A%5Czyfiles%5CIndex%20Data%5C06thru10%5CTxt%5C00000017%5CP100717T.txt&User=ANONYMOUS&Password=anonymous&SortMethod=h%7C-&MaximumDocuments=1&FuzzyDegree=0&ImageQuality=r75g8/r75g8/x150y150g16/i425&Display=hpfr&DefSeekPage=x&SearchBack=ZyActionL&Back=ZyActionS&BackDesc=Results%20page&MaximumPages=1&ZyEntry=1&SeekPage=x&ZyPURL (accessed on 1 February 2023).
- Cassia, R.; Nocioni, M.; Correa-Aragunde, N.; Lamattina, L. Climate Change and the Impact of Greenhouse Gasses: CO2 and NO, Friends and Foes of Plant Oxidative Stress. Front. Plant. Sci. 2018, 9, 273. [Google Scholar] [CrossRef]
- CICA. Nitrogen Oxides (NOx), Why and How They Are Controlled; ITPID, Ed.; Environmental Protection Agency: Washington, DC, USA, 1999; p. 24.
- Lee, C.; Martin, R.V.; van Donkelaar, A.; Lee, H.; Dickerson, R.R.; Hains, J.C.; Krotkov, N.; Richter, A.; Vinnikov, K.; Schwab, J.J. SO2 emissions and lifetimes: Estimates from inverse modeling using in situ and global, space-based (SCIAMACHY and OMI) observations. J. Geophys. Res. 2011, 116, D06304. [Google Scholar]
- Mehmood, A.; Alhasani, H.; Alamoodi, N.; AlWahedi, Y.F.; Ibrahim, S.; Raj, A.C. An evaluation of kinetic models for the simulation of Claus reaction furnaces in sulfur recovery units under different feed conditions. J. Nat. Gas Sci. Eng. 2020, 74, 103106. [Google Scholar] [CrossRef]
- Marsh, D.W.; Ulrichson, D.L. Rate and diffusional study of the reaction of calcium oxide with sulfur dioxide. Chem. Eng. Sci. 1985, 40, 423–433. [Google Scholar] [CrossRef]
- Brantley, S.L.; Borgiatt, A.; Rowe, G.; Fernandez, J.F.; Reynolds, J.R. Poás volcano crater lake acts as a condenser for acid metal-rich brine. Nature 1987, 330, 470–472. [Google Scholar] [CrossRef]
- Nachbar-Hapai, M.; Siegel, B.Z.; Russell, C.; Siegel, S.M.; Siy, M.L.; Priestley, D. Acid rain in the kilauea Volcano area (Hawaii). Arch. Environ. Con. Tox. 1989, 18, 65–73. [Google Scholar] [CrossRef]
- Grennfelt, P.; Engleryd, A.; Forsius, M.; Hov, O.; Rodhe, H.; Cowling, E. Acid rain and air pollution: 50 years of progress in environmental science and policy. Ambio 2020, 49, 849–864. [Google Scholar] [CrossRef] [PubMed]
- Singh, A.; Agrawal, M. Acid rain and its ecological consequences. J. Environ. Biol. 2008, 29, 15–24. [Google Scholar] [PubMed]
- Busenberg, E.; Plummer, L.N. Use of chlorofluorocarbons (CCl3F and CCl2F2) as hydrologic tracers and age-dating tools: The alluvium and terrace system of central Oklahoma. Water Resour. Res. 1992, 28, 2257–2283. [Google Scholar] [CrossRef]
- Buis, A. The Atmosphere: Tracking the Ongoing Recovery of Earth’s Ozone Hole. Available online: https://climate.nasa.gov/news/2916/the-atmosphere-tracking-the-ongoing-recovery-of-earths-ozone-hole/ (accessed on 1 February 2023).
- Soni, P. The Year That Was. Available online: https://secondsguru.com/top-environmental-news-2019/ (accessed on 1 February 2023).
- Shafiee, S.; Topal, E. When will fossil fuel reserves be diminished? Energy Policy 2009, 37, 181–189. [Google Scholar] [CrossRef]
- BP. BP Statistical Review of World Energy; BP Website: London, UK, 2019; p. 64. [Google Scholar]
- Smil, V. Energy Transitions: Global and National Perspectives, 2nd ed.; Praeger: Westport, CT, USA, 2016. [Google Scholar]
- Ritchie, H.; Roser, M. Fossil Fuels. 2017. Available online: https://ourworldindata.org/fossil-fuels (accessed on 1 February 2023).
- Nagatani, K.; Kiribayashi, S.; Okada, Y.; Otake, K.; Yoshida, K.; Tadokoro, S.; Nishimura, T.; Yoshida, T.; Koyanagi, E.; Fukushima, M.; et al. Emergency response to the nuclear accident at the Fukushima Daiichi Nuclear Power Plants using mobile rescue robots. J. Field Robot. 2013, 30, 44–63. [Google Scholar] [CrossRef]
- Cardis, E.; Hatch, M. The Chernobyl accident—An epidemiological perspective. Clin. Oncol. (R. Coll. Radiol.) 2011, 23, 251–260. [Google Scholar] [CrossRef]
- Lee, H.K.H.; Telford, A.M.; Röhr, J.A.; Wyatt, M.F.; Rice, B.; Wu, J.; de Castro Maciel, A.; Tuladhar, S.M.; Speller, E.; McGettrick, J.; et al. The role of fullerenes in the environmental stability of polymer:fullerene solar cells. Energy Environ. Sci. 2018, 11, 417–428. [Google Scholar] [CrossRef]
- Zhang, F.; Inganäs, O.; Zhou, Y.; Vandewal, K. Development of polymer–fullerene solar cells. Nat. Sci. Rev. 2016, 3, 222–239. [Google Scholar] [CrossRef]
- Thompson, B.C.; Frechet, J.M. Polymer-fullerene composite solar cells. Angew. Chem. Int. Ed. 2008, 47, 58–77. [Google Scholar] [CrossRef]
- Javaid, R. Catalytic hydrogen production, storage and application. Catalysts 2021, 11, 836. [Google Scholar] [CrossRef]
- Alternative Fuels Data Center. Fuel Properties Comparison. Available online: https://afdc.energy.gov/fuels/fuel_comparison_chart.pdf (accessed on 1 February 2023).
- Andersson, J.; Grönkvist, S. Large-scale storage of hydrogen. Int. J. Hydrogen Energy 2019, 44, 11901–11919. [Google Scholar] [CrossRef]
- Takeno, K.; Okabayashi, K.; Kouchi, A.; Nonaka, T.; Hashiguchi, K.; Chitose, K. Dispersion and explosion field tests for 40 MPa pressurized hydrogen. Int. J. Hydrogen Energy 2007, 32, 2144–2153. [Google Scholar] [CrossRef]
- Zuttel, A. Hydrogen storage methods. Sci. Nat. 2004, 91, 157–172. [Google Scholar] [CrossRef]
- Rödl, A.; Wulf, C.; Kaltschmitt, M. Assessment of selected hydrogen supply chains—Factors determining the overall GHG emissions. Hydrog. Supply Chain 2018, 2018, 81–109. [Google Scholar]
- Crowl, D.A.; Jo, Y.-D. The hazards and risks of hydrogen. J. Loss Prevent. Proc. 2007, 20, 158–164. [Google Scholar] [CrossRef]
- Wan, C.; Zhou, L.; Xu, S.; Jin, B.; Ge, X.; Qian, X.; Xu, L.; Chen, F.; Zhan, X.; Yang, Y.; et al. Defect engineered mesoporous graphitic carbon nitride modified with AgPd nanoparticles for enhanced photocatalytic hydrogen evolution from formic acid. Chem. Eng. J. 2022, 429, 132388. [Google Scholar] [CrossRef]
- Wang, Y.; Zhong, S.; Sun, F. Research Progress in Vehicular High Mass Density Solid Hydrogen Storage Materials. Chin. J. Rare Met. 2022, 46, 796–812. [Google Scholar]
- Cheng, H.-M.; Yang, Q.-H.; Liu, C. Hydrogen storage in carbon nanotubes. Carbon 2001, 39, 1447–1454. [Google Scholar] [CrossRef]
- Zhevago, N.K.; Denisov, E.I.; Glebov, V.I. Experimental investigation of hydrogen storage in capillary arrays. Int. J. Hydrogen Energy 2010, 35, 169–175. [Google Scholar] [CrossRef]
- Jordá-Beneyto, M.; Suárez-García, F.; Lozano-Castelló, D.; Cazorla-Amorós, D.; Linares-Solano, A. Hydrogen storage on chemically activated carbons and carbon nanomaterials at high pressures. Carbon 2007, 45, 293–303. [Google Scholar] [CrossRef]
- Puszkiel, J.; Garroni, S.; Milanese, C.; Gennari, F.; Klassen, T.; Dornheim, M.; Pistidda, C. Tetrahydroborates: Development and Potential as Hydrogen Storage Medium. Inorganics 2017, 5, 74. [Google Scholar] [CrossRef]
- Luo, H.; Barrio, J.; Sunny, N.; Li, A.; Steier, L.; Shah, N.; Stephens, I.E.L.; Titirici, M.-M. Progress and Perspectives in Photo- and Electrochemical-Oxidation of Biomass for Sustainable Chemicals and Hydrogen Production. Adv. Energy Mater. 2021, 11, 2101180. [Google Scholar] [CrossRef]
- Mun, S.J.; Park, S.-J. Graphitic carbon nitride materials for photocatalytic hydrogen production via water splitting: A short review. Catalysts 2019, 9, 805. [Google Scholar] [CrossRef]
- McEvoy, J.P.; Brudvig, G.W. Water-splitting chemistry of photosystem II. Chem. Rev. 2006, 106, 4455–4483. [Google Scholar] [CrossRef]
- Srinivasan, N.K.; Michael, J.V. The thermal decomposition of water. Int. J. Chem. Kinet. 2006, 38, 211–219. [Google Scholar] [CrossRef]
- Baykara, S. Hydrogen production by direct solar thermal decomposition of water, possibilities for improvement of process efficiency. Int. J. Hydrogen Energy 2004, 29, 1451–1458. [Google Scholar] [CrossRef]
- Le Caër, S. Water Radiolysis: Influence of Oxide Surfaces on H2 Production under Ionizing Radiation. Water 2011, 3, 235–253. [Google Scholar] [CrossRef]
- Wang, X.; Bi, S.; Zhang, J.; Tao, H. Towards the Rational Design of Stable Electrocatalysts for Green Hydrogen Production. Catalysts 2022, 12, 204. [Google Scholar] [CrossRef]
- Bokareva, O.S.; Mohle, T.; Neubauer, A.; Bokarev, S.I.; Lochburnner, S.; Kuhn, O. Chemical Tuning and Absorption Properties of Iridium Photosensitizers for Photocatalytic Applications. Inorganics 2017, 5, 23. [Google Scholar] [CrossRef]
- Wang, S.; Lu, A.; Zhong, C.-J. Hydrogen production from water electrolysis: Role of catalysts. Nano Converg. 2021, 8, 4. [Google Scholar] [CrossRef] [PubMed]
- Hetterscheid, D.G.; Reek, J.N. Mononuclear water oxidation catalysts. Angew. Chem. Int. Ed. 2012, 51, 9740–9747. [Google Scholar] [CrossRef] [PubMed]
- Sameera, W.M.; McKenzie, C.J.; McGrady, J.E. On the mechanism of water oxidation by a bimetallic manganese catalyst: A density functional study. Dalton Trans. 2011, 40, 3859–3870. [Google Scholar] [CrossRef] [PubMed]
- Kang, R.; Chen, K.; Yao, J.; Shaik, S.; Chen, H. Probing ligand effects on O-O bond formation of Ru-catalyzed water oxidation: A computational survey. Inorg. Chem. 2014, 53, 7130–7136. [Google Scholar] [CrossRef]
- Liu, T.; Li, G.; Shen, N.; Wang, L.; Timmer, B.J.J.; Kravchenko, A.; Zhou, S.; Gao, Y.; Yang, Y.; Yang, H.; et al. Promoting Proton Transfer and Stabilizing Intermediates in Catalytic Water Oxidation via Hydrophobic Outer Sphere Interactions. Chem. Eur. J. 2022, 28, e202104562. [Google Scholar] [CrossRef]
- Gilbert, J.A.; Eggleston, D.S.; Murphy, W.R.; Geselowitz, D.A.; Gersten, S.W.; Hodgson, D.J.; Meyer, T.J. Structure and redox properties of the water-oxidation catalyst [(bpy)2(OH2)RuORu(OH2)(bpy)2]4+. J. Am. Chem. Soc. 1985, 107, 3855–3864. [Google Scholar] [CrossRef]
- Gersten, S.W.; Samuels, G.J.; Meyer, T.J. Catalytic oxidation of water by an oxo-bridged ruthenium dimer. J. Am. Chem. Soc. 1982, 104, 4029–4030. [Google Scholar] [CrossRef]
- Zhang, B.; Sun, L. Ru-bda: Unique Molecular Water-Oxidation Catalysts with Distortion Induced Open Site and Negatively Charged Ligands. J. Am. Chem. Soc. 2019, 141, 5565–5580. [Google Scholar] [CrossRef] [PubMed]
- Tong, L.; Duan, L.; Xu, Y.; Privalov, T.; Sun, L. Structural modifications of mononuclear ruthenium complexes: A combined experimental and theoretical study on the kinetics of ruthenium-catalyzed water oxidation. Angew. Chem. Int. Ed. 2011, 50, 445–449. [Google Scholar] [CrossRef] [PubMed]
- Najafpour, M.M.; Rahimi, F.; Aro, E.M.; Lee, C.H.; Allakhverdiev, S.I. Nano-sized manganese oxides as biomimetic catalysts for water oxidation in artificial photosynthesis: A review. J. R. Soc. Interface 2012, 9, 2383–2395. [Google Scholar] [CrossRef] [PubMed]
- Yagi, M.; Kaneko, M. Molecular catalysts for water oxidation. Chem. Rev. 2001, 101, 21–35. [Google Scholar] [CrossRef] [PubMed]
- Grotjahn, D.B.; Brown, D.B.; Martin, J.K.; Marelius, D.C.; Abadjian, M.C.; Tran, H.N.; Kalyuzhny, G.; Vecchio, K.S.; Specht, Z.G.; Cortes-Llamas, S.A.; et al. Evolution of iridium-based molecular catalysts during water oxidation with ceric ammonium nitrate. J. Am. Chem. Soc. 2011, 133, 19024–19027. [Google Scholar] [CrossRef]
- Zong, R.; Thummel, R.P. 2,9-Di-(2′-pyridyl)-1,10-phenanthroline: A tetradentate ligand for Ru(II). J. Am. Chem. Soc. 2004, 126, 10800–10801. [Google Scholar] [CrossRef]
- Sens, C.; Romero, I.; Rodriguez, M.; Llobet, A.; Parella, T.; Benet-Buchholz, J. A new Ru complex capable of catalytically oxidizing water to molecular dioxygen. J. Am. Chem. Soc. 2004, 126, 7798–7799. [Google Scholar] [CrossRef]
- Zong, R.; Thummel, R.P. A new family of Ru complexes for water oxidation. J. Am. Chem. Soc. 2005, 127, 12802–12803. [Google Scholar] [CrossRef]
- Xu, Y.; Akermark, T.; Gyollai, V.; Zou, D.; Eriksson, L.; Duan, L.; Zhang, R.; Akermark, B.; Sun, L. A new dinuclear ruthenium complex as an efficient water oxidation catalyst. Inorg. Chem. 2009, 48, 2717–2719. [Google Scholar] [CrossRef]
- Duan, L.; Fischer, A.; Xu, Y.; Sun, L. Isolated seven-coordinate Ru(IV) dimer complex with [HOHOH]- bridging ligand as an intermediate for catalytic water oxidation. J. Am. Chem. Soc. 2009, 131, 10397–10399. [Google Scholar] [CrossRef]
- Nyhlen, J.; Duan, L.; Akermark, B.; Sun, L.; Privalov, T. Evolution of O2 in a seven-coordinate Ru(IV) dimer complex with a [HOHOH]− bridge: A computational study. Angew. Chem. Int. Ed. 2010, 49, 1773–1777. [Google Scholar] [CrossRef] [PubMed]
- Duan, L.; Bozoglian, F.; Mandal, S.; Stewart, B.; Privalov, T.; Llobet, A.; Sun, L. A molecular ruthenium catalyst with water-oxidation activity comparable to that of photosystem II. Nat. Chem. 2012, 4, 418–423. [Google Scholar] [CrossRef] [PubMed]
- Matheu, R.; Ertem, M.Z.; Gimbert-Suriñach, C.; Sala, X.; Llobet, A. Seven Coordinated Molecular Ruthenium-Water Oxidation Catalysts: A Coordination Chemistry Journey. Chem. Rev. 2019, 119, 3453–3471. [Google Scholar] [CrossRef] [PubMed]
- Luque-Urrutia, J.A.; Gimferrer, M.; Casals-Cruañas, È.; Poater, A. In silico switch from second- to first-row transition metals in olefin metathesis: From Ru to Fe and from Rh to Co. Catalysts 2017, 7, 389. [Google Scholar] [CrossRef]
- Codolà, Z.; Gamba, I.; Acuna-Pares, F.; Casadevall, C.; Clemancey, M.; Latour, J.M.; Luis, J.M.; Lloret-Fillol, J.; Costas, M. Design of Iron Coordination Complexes as Highly Active Homogenous Water Oxidation Catalysts by Deuteration of Oxidation-Sensitive Sites. J. Am. Chem. Soc. 2019, 141, 323–333. [Google Scholar] [CrossRef]
- Gimbert-Suriñach, C.; Moonshiram, D.; Francàs, L.; Planas, N.; Bernales, V.; Bozoglian, F.; Guda, A.; Mognon, L.; López, I.; Hoque, M.A.; et al. Structural and Spectroscopic Characterization of Reaction Intermediates Involved in a Dinuclear Co-Hbpp Water Oxidation Catalyst. J. Am. Chem. Soc. 2016, 138, 15291–15294. [Google Scholar] [CrossRef]
- Poater, A. Environmental friendly Fe substitutive of Ru in water oxidation catalysis. Catal. Commun. 2014, 44, 2–5. [Google Scholar] [CrossRef]
- Gil-Sepulcre, M.; Garrido-Barros, P.; Oldengott, J.; Funes-Ardoiz, I.; Bofill, R.; Sala, X.; Benet-Buchholz, J.; Llobet, A. Consecutive Ligand-Based Electron Transfer in New Molecular Copper-Based Water Oxidation Catalysts. Angew. Chem. Int. Ed. 2021, 60, 18639–18644. [Google Scholar] [CrossRef]
- Ezhov, R.; Karbakhsh Ravari, A.; Page, A.; Pushkar, Y. Water Oxidation Catalyst cis-[Ru(bpy)(5,5′-dcbpy)(H2O)2]2+ and Its Stabilization in Metal–Organic Framework. ACS Catal. 2020, 10, 5299–5308. [Google Scholar] [CrossRef]
- De Palo, A.; La Ganga, G.; Nastasi, F.; Guelfi, M.; Bortoluzzi, M.; Pampaloni, G.; Puntoriero, F.; Campagna, S.; Marchetti, F. Ru(ii) water oxidation catalysts with 2,3-bis(2-pyridyl)pyrazine and tris(pyrazolyl)methane ligands: Assembly of photo-active and catalytically active subunits in a dinuclear structure. Dalton Trans. 2020, 49, 3341–3352. [Google Scholar] [CrossRef]
- Masllorens, E.; Rodriguez, M.; Romero, I.; Roglans, A.; Parella, T.; Benet-Buchholz, J.; Poyatos, M.; Llobet, A. Can the disproportion of oxidation state III be favored in RuII−OH2/RuIV=O systems? J. Am. Chem. Soc. 2006, 128, 5306–5307. [Google Scholar] [CrossRef] [PubMed]
- Vereshchuk, N.; Matheu, R.; Benet-Buchholz, J.; Pipelier, M.; Lebreton, J.; Dubreuil, D.; Tessier, A.; Gimbert-Surinach, C.; Ertem, M.Z.; Llobet, A. Second Coordination Sphere Effects in an Evolved Ru Complex Based on Highly Adaptable Ligand Results in Rapid Water Oxidation Catalysis. J. Am. Chem. Soc. 2020, 142, 5068–5077. [Google Scholar] [CrossRef] [PubMed]
- Shaffer, D.W.; Xie, Y.; Szalda, D.J.; Concepcion, J.J. Lability and Basicity of Bipyridine-Carboxylate-Phosphonate Ligand Accelerate Single-Site Water Oxidation by Ruthenium-Based Molecular Catalysts. J. Am. Chem. Soc. 2017, 139, 15347–15355. [Google Scholar] [CrossRef] [PubMed]
- Xie, Y.; Shaffer, D.W.; Lewandowska-Andralojc, A.; Szalda, D.J.; Concepcion, J.J. Water Oxidation by Ruthenium Complexes Incorporating Multifunctional Bipyridyl Diphosphonate Ligands. Angew. Chem. Int. Ed. 2016, 55, 8067–8071. [Google Scholar] [CrossRef]
- Kamdar, J.M.; Marelius, D.C.; Moore, C.E.; Rheingold, A.L.; Smith, D.K.; Grotjahn, D.B. Ruthenium Complexes of 2,2′-Bipyridine-6,6′-diphosphonate Ligands for Water Oxidation. ChemCatChem 2016, 8, 3045–3049. [Google Scholar] [CrossRef]
- Matheu, R.; Ertem, M.Z.; Benet-Buchholz, J.; Coronado, E.; Batista, V.S.; Sala, X.; Llobet, A. Intramolecular Proton Transfer Boosts Water Oxidation Catalyzed by a Ru Complex. J. Am. Chem. Soc. 2015, 137, 10786–10795. [Google Scholar] [CrossRef]
- Hoque, M.A.; Gil-Sepulcre, M.; de Aguirre, A.; Elemans, J.; Moonshiram, D.; Matheu, R.; Shi, Y.; Benet-Buchholz, J.; Sala, X.; Malfois, M.; et al. Water oxidation electrocatalysis using ruthenium coordination oligomers adsorbed on multiwalled carbon nanotubes. Nat. Chem. 2020, 12, 1060–1066. [Google Scholar] [CrossRef]
- Luque-Urrutia, J.A.; Solà, M.; Poater, A. WOC Mechanism by a Ru(bda) catalyst switches with pH. Catal. Today 2020, 358, 278–283. [Google Scholar] [CrossRef]
- Richmond, C.J.; Escayola, S.; Poater, A. Axial Ligand effects of Ru-BDA Complexes in the O-O Bond Formation via the I2M Bimolecular Mechanism in Water Oxidation Catalysis. Eur. J. Inorg. Chem. 2019, 2019, 2101–2108. [Google Scholar] [CrossRef]
- Richmond, C.J.; Matheu, R.; Poater, A.; Falivene, L.; Benet-Buchholz, J.; Sala, X.; Cavallo, L.; Llobet, A. Supramolecular water oxidation with Ru–bda-based catalysts. Chem. Eur. J. 2014, 20, 17282–17286. [Google Scholar] [CrossRef]
- Luque-Urrutia, J.A.; Kamdar, J.M.; Grotjahn, D.B.; Solà, M.; Poater, A. Understanding the Performance of a Bisphosphonate Ru Water Oxidation Catalyst. Dalton Trans. 2020, 49, 14052–14060. [Google Scholar] [CrossRef] [PubMed]
- Concepcion, J.J.; Zhong, D.K.; Szalda, D.J.; Muckerman, J.T.; Fujita, E. Mechanism of water oxidation by [Ru(bda)(L)2]: The return of the “blue dimer”. Chem. Commun. 2015, 51, 4105–4108. [Google Scholar] [CrossRef]
- Huynh, M.H.; Meyer, T.J. Proton-coupled electron transfer. Chem. Rev. 2007, 107, 5004–5064. [Google Scholar] [PubMed]
- Bucci, A.; Menendez Rodriguez, G.; Bellachioma, G.; Zuccaccia, C.; Poater, A.; Cavallo, L.; Macchioni, A. An Alternative Reaction Pathway for Iridium-Catalyzed Water Oxidation Driven by Cerium Ammonium Nitrate (CAN). ACS Catal. 2016, 6, 4559–4563. [Google Scholar] [CrossRef]
- Garrido-Barros, P.; Gimbert-Suriñach, C.; Matheu, R.; Sala, X.; Llobet, A. How to make an efficient and robust molecular catalyst for water oxidation. Chem. Soc. Rev. 2017, 46, 6088–6098. [Google Scholar] [CrossRef] [PubMed]
- Matheu, R.; Garrido-Barros, P.; Gil-Sepulcre, M.; Ertem, M.Z.; Sala, X.; Gimbert-Suriñach, C.; Llobet, A. The development of molecular water oxidation catalysts. Nat. Rev. Chem. 2019, 3, 331–341. [Google Scholar] [CrossRef]
- Creus, J.; De Tovar, J.; Romero, N.; García-Antón, J.; Bofill, R.; Sala, X. Ruthenium Nanoparticles for Catalytic Water Splitting. ChemSusChem 2019, 12, 2493–2514. [Google Scholar] [PubMed]
- Li, C.-J.; Li, Z. Green chemistry: The development of cross-dehydrogenative coupling (CDC) for chemical synthesis. Pure Appl. Chem. 2006, 78, 935–945. [Google Scholar] [CrossRef]
- Fuse, H.; Mitsunuma, H.; Kanai, M. Catalytic Acceptorless Dehydrogenation of Aliphatic Alcohols. J. Am. Chem. Soc. 2020, 142, 4493–4499. [Google Scholar] [CrossRef]
- He, X.; Li, Y.; Fu, H.; Zheng, X.; Chen, H.; Li, R.; Yu, X. Synthesis of Unsymmetrical N-Heterocyclic Carbene–Nitrogen–Phosphine Chelated Ruthenium(II) Complexes and Their Reactivity in Acceptorless Dehydrogenative Coupling of Alcohols to Esters. Organometallics 2019, 38, 1750–1760. [Google Scholar] [CrossRef]
- Azofra, L.M.; Poater, A. Diastereoselective diazenyl formation: The key for manganese-catalysed alcohol conversion into (E)-alkenes. Dalton Trans. 2019, 48, 14122–14127. [Google Scholar] [CrossRef] [PubMed]
- Cheng, J.; Zhu, M.; Wang, C.; Li, J.; Jiang, X.; Wei, Y.; Tang, W.; Xue, D.; Xiao, J. Chemoselective dehydrogenative esterification of aldehydes and alcohols with a dimeric rhodium(II) catalyst. Chem. Sci. 2016, 7, 4428–4434. [Google Scholar] [CrossRef] [PubMed]
- Musa, S.; Ackermann, L.; Gelman, D. Dehydrogenative Cross-Coupling of Primary and Secondary Alcohols. Adv. Synth. Catal. 2013, 355, 3077–3080. [Google Scholar]
- Taniguchi, K.; Jin, X.; Yamaguchi, K.; Nozaki, K.; Mizuno, N. Versatile routes for synthesis of diarylamines through acceptorless dehydrogenative aromatization catalysis over supported gold-palladium bimetallic nanoparticles. Chem. Sci. 2017, 8, 2131–2142. [Google Scholar] [CrossRef]
- Chakraborty, S.; Gellrich, U.; Diskin-Posner, Y.; Leitus, G.; Avram, L.; Milstein, D. Manganese-Catalyzed N-Formylation of Amines by Methanol Liberating H2: A Catalytic and Mechanistic Study. Angew. Chem. Int. Ed. 2017, 56, 4229–4233. [Google Scholar] [CrossRef]
- Chakraborty, S.; Das, U.K.; Ben-David, Y.; Milstein, D. Manganese Catalyzed α-Olefination of Nitriles by Primary Alcohols. J. Am. Chem. Soc. 2017, 139, 11710–11713. [Google Scholar]
- Guchhait, S.K.; Sisodiya, S.; Saini, M.; Shah, Y.V.; Kumar, G.; Daniel, D.P.; Hura, N.; Chaudhary, V. Synthesis of Polyfunctionalized Pyrroles via a Tandem Reaction of Michael Addition and Intramolecular Cyanide-Mediated Nitrile-to-Nitrile Condensation. J. Org. Chem. 2018, 83, 5807–5815. [Google Scholar] [CrossRef]
- Zhu, C.-Z.; Wei, Y.; Shi, M. Base-Promoted Tandem Cyclization for the Synthesis of Benzonitriles by C−C Bond Construction. Adv. Synth. Catal. 2018, 360, 808–813. [Google Scholar] [CrossRef]
- Sharma, K.; Shrivastava, A.; Mehra, R.N.; Deora, G.S.; Alam, M.M.; Zaman, M.S.; Akhter, M. Synthesis of novel benzimidazole acrylonitriles for inhibition of Plasmodium falciparum growth by dual target inhibition. Arch. Pharm. Res. 2018, 351, 1700251. [Google Scholar] [CrossRef]
- Garbe, M.; Junge, K.; Walker, S.; Wei, Z.; Jiao, H.; Spannenberg, A.; Bachmann, S.; Scalone, M.; Beller, M. Manganese(I)-Catalyzed Enantioselective Hydrogenation of Ketones Using a Defined Chiral PNP Pincer Ligand. Angew. Chem. Int. Ed. 2017, 56, 11237–11241. [Google Scholar] [CrossRef]
- Kuriyama, S.; Arashiba, K.; Nakajima, K.; Tanaka, H.; Kamaru, N.; Yoshizawa, K.; Nishibayashi, Y. Catalytic formation of ammonia from molecular dinitrogen by use of dinitrogen-bridged dimolybdenum-dinitrogen complexes bearing PNP-pincer ligands: Remarkable effect of substituent at PNP-pincer ligand. J. Am. Chem. Soc. 2014, 136, 9719–9731. [Google Scholar] [CrossRef]
- Weng, W.; Guo, C.; Celenligil-Cetin, R.; Foxman, B.M.; Ozerov, O.V. Skeletal change in the PNP pincer ligand leads to a highly regioselective alkyne dimerization catalyst. Chem. Commun. 2006, 2, 197–199. [Google Scholar] [CrossRef] [PubMed]
- Fan, L.; Foxman, B.M.; Ozerov, O.V. N−H Cleavage as a Route to Palladium Complexes of a New PNP Pincer Ligand. Organometallics 2004, 23, 326–328. [Google Scholar] [CrossRef]
- Luque-Urrutia, J.A.; Solà, M.; Milstein, D.; Poater, A. Mechanism of the Manganese-Pincer Catalyzed Acceptorless Dehydrogenative Coupling of Nitriles and Alcohols. J. Am. Chem. Soc. 2019, 141, 2398–2403. [Google Scholar] [CrossRef]
- Masdemont, J.; Luque-Urrutia, J.A.; Gimferrer, M.; Milstein, D.; Poater, A. Mechanism of Coupling of Alcohols and Amines To Generate Aldimines and H2 by a Pincer Manganese Catalyst. ACS Catal. 2019, 9, 1662–1669. [Google Scholar] [CrossRef]
- Luque-Urrutia, J.A.; Pèlachs, T.; Solà, M.; Poater, A. Double-Carrousel Mechanism for Mn-catalyzed Dehydrogenative Amide Synthesis from Alcohols and Amines. ACS Catal. 2021, 11, 6155–6161. [Google Scholar] [CrossRef]
- Kumar, A.; Daw, P.; Milstein, D. Homogeneous Catalysis for Sustainable Energy: Hydrogen and Methanol Economies, Fuels from Biomass, and Related Topics. Chem. Rev. 2022, 122, 385–441. [Google Scholar] [CrossRef]
- Leigh, G.J. Haber-Bosch and Other Industrial Processes; Springer: Berlin/Heidelberg, Germany, 2004. [Google Scholar]
- Luque-Urrutia, J.A.; Poater, A. The Fundamental non Innocent Role of Water for the Hydrogenation of Nitrous Oxide by PNP pincer Ru-based catalysts. Inorg. Chem. 2017, 56, 14383–14387. [Google Scholar] [CrossRef]
- Zeng, R.; Feller, M.; Ben-David, Y.; Milstein, D. Hydrogenation and Hydrosilylation of Nitrous Oxide Homogeneously Catalyzed by a Metal Complex. J. Am. Chem. Soc. 2017, 139, 5720–5723. [Google Scholar] [CrossRef]
- Len, T.; Luque, R. Addressing the CO2 challenge through thermocatalytic hydrogenation to carbon monoxide, methanol and methane. Green Chem. 2023, 25, 490–521. [Google Scholar] [CrossRef]
- Posada-Pérez, S.; Solà, M.; Poater, A. Carbon Dioxide Conversion on Supported Metal Nanoparticles: A Brief Review. Catalysts 2023, 13, 305. [Google Scholar] [CrossRef]
- Gaona, M.A.; de la Cruz-Martinez, F.; Fernandez-Baeza, J.; Sanchez-Barba, L.F.; Alonso-Moreno, C.; Rodriguez, A.M.; Rodriguez-Dieguez, A.; Castro-Osma, J.A.; Otero, A.; Lara-Sanchez, A. Synthesis of helical aluminium catalysts for cyclic carbonate formation. Dalton Trans. 2019, 48, 4218–4227. [Google Scholar] [CrossRef] [PubMed]
- Steinbauer, J.; Spannenberg, A.; Werner, T. An in situ formed Ca2+–crown ether complex and its use in CO2-fixation reactions with terminal and internal epoxides. Green Chem. 2017, 19, 3769–3779. [Google Scholar] [CrossRef]
- Shaikh, R.R.; Pornpraprom, S.; D’Elia, V. Catalytic Strategies for the Cycloaddition of Pure, Diluted, and Waste CO2 to Epoxides under Ambient Conditions. ACS Catal. 2017, 8, 419–450. [Google Scholar] [CrossRef]
- Monassier, A.; D’Elia, V.; Cokoja, M.; Dong, H.; Pelletier, J.D.A.; Basset, J.-M.; Kühn, F.E. Synthesis of Cyclic Carbonates from Epoxides and CO2 under Mild Conditions Using a Simple, Highly Efficient Niobium-Based Catalyst. ChemCatChem 2013, 5, 1321–1324. [Google Scholar]
- Vummaleti, S.V.C.; Nolan, S.P.; Cavallo, L.; Talarico, G.; Poater, A. How easy is CO2 fixation by M–C bond containing complexes (M = Cu, Ni, Co, Rh, Ir)? Org. Chem. Front. 2016, 3, 19–23. [Google Scholar]
- Aomchad, V.; Del Globo, S.; Poater, A.; D’Elia, V. Exploring the potential of Group III salen complexes for the conversion of CO2 under ambient conditions. Catal. Today 2021, 375, 324–334. [Google Scholar]
- Sodpiban, O.; Del Gobbo, S.; Barman, S.; Aomchad, V.; Kidkhunthod, P.; Ould-Chikh, S.; Poater, A.; D’Elia, V.; Basset, J.-M. Synthesis of Well-defined Yttrium-based Lewis Acids by Capture of a Reaction Intermediate and Catalytic Application for cycloaddition of CO2 to Epoxides Under Atmospheric Pressure. Catal. Sci. Technol. 2019, 9, 6152–6165. [Google Scholar] [CrossRef]
- Natongchai, W.; Luque-Urrutia, J.A.; Phungpanya, C.; Solà, M.; D’Elia, V.; Poater, A.; Zipse, H. Cycloaddition of CO2 to epoxides by highly nucleophilic 4-aminopyridines: Establishing a relationship between carbon basicity and catalytic performance by experimental and DFT investigations. Org. Chem. Front. 2021, 8, 613–627. [Google Scholar] [CrossRef]
- Dabral, S.; Schaub, T. The Use of Carbon Dioxide (CO2) as a Building Block in Organic Synthesis from an Industrial Perspective. Adv. Synth. Catal. 2019, 361, 223–246. [Google Scholar] [CrossRef]
- Tappe, N.A.; Reich, R.M.; D’Elia, V.; Kuhn, F.E. Current advances in the catalytic conversion of carbon dioxide by molecular catalysts: An update. Dalton Trans. 2018, 47, 13281–13313. [Google Scholar] [CrossRef] [PubMed]
- Saxena, A.; Liyanage, W.; Masud, J.; Kapila, S.; Nath, M. Selective electroreduction of CO2 to carbon-rich products with a simple binary copper selenide electrocatalyst. J. Mater. Chem. A 2021, 9, 7150–7161. [Google Scholar] [CrossRef]
- Saxena, A.; Liyanage, W.; Kapila, S.; Nath, M. Nickel selenide as an efficient electrocatalyst for selective reduction of carbon dioxide to carbon-rich products. Catal. Sci. Technol. 2022, 12, 4727–4739. [Google Scholar] [CrossRef]
- Artz, J.; Muller, T.E.; Thenert, K.; Kleinekorte, J.; Meys, R.; Sternberg, A.; Bardow, A.; Leitner, W. Sustainable Conversion of Carbon Dioxide: An Integrated Review of Catalysis and Life Cycle Assessment. Chem. Rev. 2018, 118, 434–504. [Google Scholar] [CrossRef]
- Song, Q.-W.; Zhou, Z.-H.; He, L.-N. Efficient, selective, and sustainable catalysis of carbon dioxide. Green Chem. 2017, 19, 3707–3728. [Google Scholar] [CrossRef]
- Kleij, A.W. Advancing Halide-Free Catalytic Synthesis of CO2 based Heterocycles. Curr. Opin. Green Sustain. Chem. 2020, 24, 72–81. [Google Scholar] [CrossRef]
- Zou, B.; Hu, C. Halogen-free processes for organic carbonate synthesis from CO2. Curr. Opin. Green Sustain. Chem. 2017, 3, 11–16. [Google Scholar] [CrossRef]
- Bard, A.J.; Faulkner, L.R. Electrochemical Methods: Fundamentals and Applications; Wiley: Hoboken, NJ, USA, 2000. [Google Scholar]
- Alshahrie, A.; Alghamdi, A.A.; Hasan, P.M.Z.; Ahmed, F.; Albalawi, H.M.E.; Umar, A.; Alsulami, A. Enhancement in the Performance of Dye Sensitized Solar Cells (DSSCs) by Incorporation of Reduced Graphene Oxide (RGO) and Carbon Nanotubes (CNTs) in ZnO Nanostructures. Inorganics 2022, 10, 204. [Google Scholar] [CrossRef]
- Ahmed, A.S.A.; Yi, X.; Zhao, X.J.; Xiang, W.-C.; Abdelmotallieb, M. Electrodeposited PPy@TiO2 and PEDOT@TiO2 Counter Electrodes for [Co(bpy)3]2+/3+ Redox Mediator-Based Dye-Sensitized Solar Cells. Inorganics 2022, 10, 213. [Google Scholar] [CrossRef]
- Gonzalez, T.; Diaz-Herrera, J.; Tucker, A. Computing Handbook: Computer Science and Software Engineering, 3rd ed.; CRC Press: Boca Raton, FL, USA, 2014. [Google Scholar]
- Stasyuk, A.J.; Stasyuk, O.A.; Solà, M.; Voityuk, A.A. Photoinduced Charge Shift in Li+-Doped Giant Nested Fullerenes. J. Phys. Chem. C 2019, 123, 16525–16532. [Google Scholar] [CrossRef]
- Yarmolenko, O.V.; Baymuratova, G.R.; Jgatmullina, K.G.; Tulibayeva, G.Z.; Yudina, A.V.; Savinykh, T.A.; Yakushchenko, I.K.; Troshin, P.A.; Shestakov, A.F. Influence of the Lithium Cation Desolvation Process at the Electrolyte/Electrode Interface on the Performance of Lithium Batteries. Inorganics 2022, 10, 176. [Google Scholar] [CrossRef]
- Birrozzi, A.; Mullaliu, A.; Eisenmann, T.; Asenbauer, J.; Diemant, T.; Geiger, D.; Kaiser, I.; de Souza, D.O.; Ashton, T.E.; Groves, A.R.; et al. Synergistic Effect of Co and Mn Co-Doping on SnO2 Lithium-Ion Anodes. Inorganics 2022, 10, 46. [Google Scholar] [CrossRef]
- Flexer, V.; Baspineiro, C.F.; Galli, C.I. Lithium recovery from brines: A vital raw material for green energies with a potential environmental impact in its mining and processing. Sci. Total Environ. 2018, 639, 1188–1204. [Google Scholar] [CrossRef] [PubMed]
- Kesler, S.E.; Gruber, P.W.; Medina, P.A.; Keoleian, G.A.; Everson, M.P.; Wallington, T.J. Global lithium resources: Relative importance of pegmatite, brine and other deposits. Ore Geol. Rev. 2012, 48, 55–69. [Google Scholar] [CrossRef]
- Sharma, S.; Jain, K.K.; Sharma, A. Solar Cells: In Research and Applications—A Review. Mat. Sci. Appl. 2015, 06, 1145–1155. [Google Scholar] [CrossRef]
- Kibria, M.T.; Ahammed, A.; Sony, S.M.; Hossain, F. Shams-Ul-Islam A Review: Comparative Studies on Different Generation Solar Cells Technology. In Proceedings of the 5th International Conference on Environmental Aspects of Bangladesh, Dhaka, Bangladesh, 23–24 May 2014; pp. 51–53. [Google Scholar]
- Vigil-Galán, O.; Courel, M.; Andrade-Arvizu, J.A.; Sánchez, Y.; Espíndola-Rodríguez, M.; Saucedo, E.; Seuret-Jiménez, D.; Titsworth, M. Route towards low cost-high efficiency second generation solar cells: Current status and perspectives. J. Mat. Sci. Mater. Electron. 2014, 26, 5562–5573. [Google Scholar] [CrossRef]
- Yan, J.; Saunders, B.R. Third-generation solar cells: A review and comparison of polymer:fullerene, hybrid polymer and perovskite solar cells. RSC Adv. 2014, 4, 43286–43314. [Google Scholar] [CrossRef]
- Gómez-Ortíz, N.M.; Vázquez-Maldonado, I.A.; Pérez-Espadas, A.R.; Mena-Rejón, G.J.; Azamar-Barrios, J.A.; Oskam, G. Dye-sensitized solar cells with natural dyes extracted from achiote seeds. Sol. Energy Mater. Sol. Cells 2010, 94, 40–44. [Google Scholar] [CrossRef]
- Syed, T.H.; Wei, W. Technoeconomic Analysis of Dye Sensitized Solar Cells (DSSCs) with WS2/Carbon Composite as Counter Electrode Material. Inorganics 2022, 10, 191. [Google Scholar] [CrossRef]
- Beiley, Z.M.; Christoforo, M.G.; Gratia, P.; Bowring, A.R.; Eberspacher, P.; Margulis, G.Y.; Cabanetos, C.; Beaujuge, P.M.; Salleo, A.; McGehee, M.D. Semi-transparent polymer solar cells with excellent sub-bandgap transmission for third generation photovoltaics. Adv. Mater. 2013, 25, 7020–7026. [Google Scholar] [CrossRef]
- Nozik, A.J.; Beard, M.C.; Luther, J.M.; Law, M.; Ellingson, R.J.; Johnson, J.C. Semiconductor quantum dots and quantum dot arrays and applications of multiple exciton generation to third-generation photovoltaic solar cells. Chem. Rev. 2010, 110, 6873–6890. [Google Scholar] [CrossRef] [PubMed]
- Geisz, J.F.; France, R.M.; Schulte, K.L.; Steiner, M.A.; Norman, A.G.; Guthrey, H.L.; Young, M.R.; Song, T.; Moriarty, T. Six-junction III–V solar cells with 47.1% conversion efficiency under 143 Suns concentration. Nat. Energy 2020, 5, 326–335. [Google Scholar] [CrossRef]
- Arjunan, T.V.; Senthil, T.S. Review: Dye sensitised solar cells. Mat. Tech. 2013, 28, 9–14. [Google Scholar] [CrossRef]
- Bomben, P.G.; Robson, K.C.D.; Koivisto, B.D.; Berlinguette, C.P. Cyclometalated ruthenium chromophores for the dye-sensitized solar cell. Coord. Chem. Rev. 2012, 256, 1438–1450. [Google Scholar] [CrossRef]
- Kroto, H.W.; Allaf, A.W.; Balm, S.P. C60: Buckminsterfullerene. Chem. Rev. 1991, 91, 1213–1235. [Google Scholar] [CrossRef]
- Bai, Y.; Dong, Q.; Shao, Y.; Deng, Y.; Wang, Q.; Shen, L.; Wang, D.; Wei, W.; Huang, J. Enhancing stability and efficiency of perovskite solar cells with crosslinkable silane-functionalized and doped fullerene. Nat. Commun. 2016, 7, 12806. [Google Scholar] [CrossRef]
- Erten-Ela, S.; Chen, H.; Kratzer, A.; Hirsch, A.; Brabec, C.J. Perovskite solar cells fabricated using dicarboxylic fullerene derivatives. New J. Chem. 2016, 40, 2829–2834. [Google Scholar] [CrossRef]
- Masud, J.; Liyanage, W.P.R.; Cao, X.; Saxena, A.; Nath, M. Copper Selenides as High-Efficiency Electrocatalysts for Oxygen Evolution Reaction. ACS Appl. Energy Mater. 2018, 1, 4075–4083. [Google Scholar] [CrossRef]
- Gao, J.; Huang, Q.; Wu, Y.; Lan, Y.-Q.; Chen, B. Metal–Organic Frameworks for Photo/Electrocatalysis. Adv. Energy Sustain. Res. 2021, 2, 2100033. [Google Scholar] [CrossRef]
- Khan, U.; Nairan, A.; Gao, J.; Zhang, Q. Current Progress in 2D Metal–Organic Frameworks for Electrocatalysis. Small Struct. 2023. Online Version of Record. [Google Scholar] [CrossRef]
Disclaimer/Publisher’s Note: The statements, opinions and data contained in all publications are solely those of the individual author(s) and contributor(s) and not of MDPI and/or the editor(s). MDPI and/or the editor(s) disclaim responsibility for any injury to people or property resulting from any ideas, methods, instructions or products referred to in the content. |
© 2023 by the authors. Licensee MDPI, Basel, Switzerland. This article is an open access article distributed under the terms and conditions of the Creative Commons Attribution (CC BY) license (https://creativecommons.org/licenses/by/4.0/).



















