Pseudo-Tetrahedral Copper(I) Symmetrical Formamidine Dithiocarbamate-Phosphine Complexes: Antibacterial, Antioxidant and Pharmacokinetics Studies
Abstract
:1. Introduction
2. Materials and Methods
3. General Synthesis Method
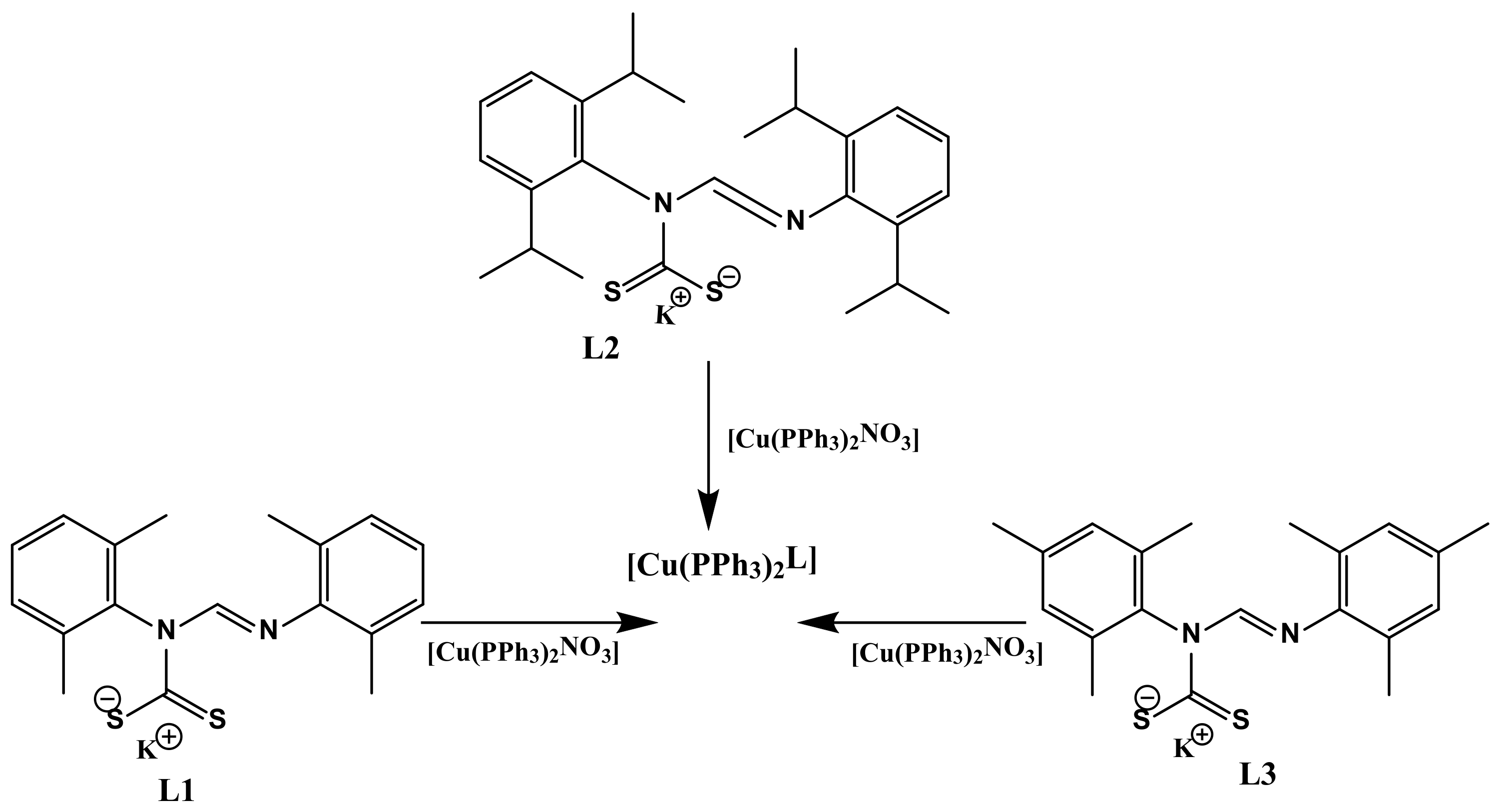
3.1. Synthesis of Heteroleptic Coper(I) Dithiocarbamate-PPh3 Complexes
3.1.1. Synthesis of [Cu(PPh3)2L1] (1)
3.1.2. Synthesis of [Cu(PPh3)2L2] (2)
3.1.3. Synthesis of [Cu(PPh3)2L3] (3)
3.2. Single-Crystal X-ray Crystallography
3.3. In Vitro Antimicrobial Studies
3.4. Determination of Free Radical Scavenging Activity
4. Results and Discussion
4.1. Synthesis of Cu(I) Complexes 1–3
4.2. Spectroscopic Studies
4.2.1. Nuclear Magnetic Resonance
4.2.2. Fourier Transform Infrared Spectroscopy
4.2.3. Electronic Absorption and Emission Spectroscopy
4.3. X-ray Crystal Structures
4.4. Antimicrobial Activities Evaluation
4.5. Antioxidant Studies
DPPH Radical Scavenging Ability
4.6. Analysis of the Drug-Likeness and Pharmacokinetics of the Cu Complexes
5. Conclusions
Supplementary Materials
Author Contributions
Funding
Institutional Review Board Statement
Informed Consent Statement
Data Availability Statement
Conflicts of Interest
References
- Appelbaum, P.C. 2012 and beyond: Potential for the start of a second pre-antibiotic era? J. Antimicrob. Chemother. 2012, 67, 2062–2068. [Google Scholar] [CrossRef] [PubMed] [Green Version]
- Fair, R.J.; Tor, Y. Antibiotics and bacterial resistance in the 21st century. Perspect. Med. Chem. 2014, 6, 25–64. [Google Scholar] [CrossRef] [PubMed] [Green Version]
- D’Costa, V.M.; King, C.E.; Kalan, L.; Morar, M.; Sung, W.W.; Schwarz, C.; Froese, D.; Zazula, G.; Calmels, F.; Debruyne, R.; et al. Antibiotic resistance is ancient. Nature 2011, 477, 457–461. [Google Scholar] [CrossRef] [PubMed]
- Bush, K.; Courvalin, P.; Dantas, G.; Davies, J.; Eisenstein, B.; Huovinen, P.; Jacoby, G.A.; Kishony, R.; Kreiswirth, B.N.; Kutter, E. Tackling antibiotic resistance. Nat. Rev. Microbiol. 2011, 9, 894–896. [Google Scholar] [CrossRef]
- Oladipo, S.D.; Omondi, B.; Mocktar, C. Synthesis and structural studies of nickel (II)-and copper (II)-N, N′-diarylformamidine dithiocarbamate complexes as antimicrobial and antioxidant agents. Polyhedron 2019, 170, 712–722. [Google Scholar] [CrossRef]
- Akl, M.A.; Mostafa, M.M.; Abdel Hamid, A.I.; Hassanin, E.E.; Abdel-Raouf, M. Assessment of the antimicrobial activities of trioctylphosphine oxide modified silica nanoparticles. Egypt. J. Chem. 2020, 63, 1325–1339. [Google Scholar] [CrossRef]
- Valko, M.; Leibfritz, D.; Moncol, J.; Cronin, M.T.; Mazur, M.; Telser, J. Free radicals and antioxidants in normal physiological functions and human disease. Int. Biochem. Cell Biol. 2007, 39, 44–84. [Google Scholar] [CrossRef]
- Adeleke, A.A.; Islam, M.S.; Sanni, O.; Mocktar, C.; Zamisa, S.J.; Omondi, B. Aryl variation and anion effect on CT-DNA binding and in vitro biological studies of pyrindinyl Ag(I) complexes. J. Inorg. Biochem. 2021, 214, 111266. [Google Scholar] [CrossRef]
- Nasiri Sovari, S.; Zobi, F. Recent studies on the antimicrobial activity of transition metal complexes of group 6–12. Chemistry 2020, 2, 418–452. [Google Scholar] [CrossRef]
- Tisato, F.; Marzano, C.; Porchia, M.; Pellei, M.; Santini, C. Copper in diseases and treatments, and copper-based anticancer strategies. Med. Res. Rev. 2010, 30, 708–749. [Google Scholar] [CrossRef]
- Omoregie, H.O.; Yusuf, T.L.; Oladipo, S.D.; Olofinsan, K.A.; Kassim, M.B.; Yousuf, S. Antidiabetes, Antimicrobial and Antioxidant studies of mixed β-diketone and diimine Copper(II) complexes. Polyhedron 2022, 217, 115738. [Google Scholar] [CrossRef]
- Mandal, T.; Kar, S.; Maji, S.; Sen, S.; Gupta, A. Structural and functional diversity among the members of CTR, the membrane copper transporter family. J. Membr. Biol. 2020, 253, 459–468. [Google Scholar] [CrossRef] [PubMed]
- Delpe Acharige, A. Designing Novel Thiosemicarbazone Cu (I) Complexes Against Gram Positive MSSA and MRSA. Ph.D.Thesis, Kansas State University, Manhattan, KS, USA, 2021. [Google Scholar]
- Oladipo, S.D.; Mocktar, C.; Omondi, B. In vitro biological studies of heteroleptic Ag (I) and Cu (I) unsymmetrical N, N′-diarylformamidine dithiocarbamate phosphine complexes; the effect of the metal center. Arab. J. Chem. 2020, 13, 6379–6394. [Google Scholar] [CrossRef]
- Oladipo, S.D.; Omondi, B.; Mocktar, C. Co (III) N, N′-diarylformamidine dithiocarbamate complexes: Synthesis, characterization, crystal structures and biological studies. Appl. Organomet. Chem. 2020, 34, e5610. [Google Scholar] [CrossRef]
- Gysling, H.J.; Kubas, G.J. Coordination complexes of copper (I) nitrate. Inorg. Synth. 1979, 19, 92–97. [Google Scholar]
- Rajput, G.; Singh, V.; Singh, S.K.; Prasad, L.B.; Drew, M.G.; Singh, N. Cooperative Metal–Ligand-Induced Properties of Heteroleptic Copper (I) Xanthate/Dithiocarbamate PPh3 Complexes. Eur. J. Inorg. Chem. 2012, 24, 3885–3891. [Google Scholar] [CrossRef]
- Bruker. APEXII; APEXII Bruker AXS, Inc.: Madison, WI, USA, 2009. [Google Scholar]
- Bruker. SAINT; SAINT Bruker AXS, Inc.: Madison, WI, USA, 2009. [Google Scholar]
- Bruker. SADABS; SADABS Bruker AXS, Inc.: Madison, WI, USA, 2009. [Google Scholar]
- Sheldrick, G.M. A short history of SHELX. Acta Crystallogr. Sect. A 2008, 64, 112–122. [Google Scholar] [CrossRef] [Green Version]
- Macrae, C.F.; Bruno, I.J.; Chisholm, J.A.; Edginton, P.R.; McCabe, P.; Pidcock, E.; Rodriguez-Monge, L.; Taylor, R.; Streek, J.V.D.; Wood, P.A. Mercury CSD 2.0—New Features for the Visualization and Investigation of Crystal Structures. J. Appl. Crystallogr. 2008, 41, 466–470. [Google Scholar] [CrossRef]
- CLSI. Performance Standards for Antimicrobial Susceptibility Testing; Clinical and Laboratory Standards Institute: Wayne, PA, USA, 2011; pp. 100–121. [Google Scholar]
- Liyana-Pathirana, C.M.; Shahidi, F. Antioxidant activity of commercial soft and hard wheat (Triticum aestivum L.) as affected by gastric pH conditions. J. Argic. Food Chem. 2005, 53, 2433–2440. [Google Scholar] [CrossRef]
- Mohammad, A.; Varshney, C.; Nami, S.A. Synthesis, characterization and antifungal activities of 3d-transition metal complexes of 1-acetylpiperazinyldithioc arbamate, M (acpdtc) 2, Spectrochim. Acta A Mol. Biomol. Spectrosc. 2009, 73, 20–24. [Google Scholar] [CrossRef]
- Siddiqi, K.S.; Nami, S.A.; Chebude, Y. Template synthesis of symmetrical transition metal dithiocarbamates. J. Braz. Chem. Soc. 2006, 17, 107–112. [Google Scholar] [CrossRef] [Green Version]
- Gupta, A.N.; Singh, V.; Kumar, V.; Prasad, L.B.; Drew, M.G.; Singh, N. Syntheses, crystal structures and optical properties of heteroleptic copper (I) dithio/PPh3 complexes. Polyhedron 2014, 79, 324–329. [Google Scholar] [CrossRef]
- Heard, P.J. Main group dithiocarbamate complexes. Prog. Inorg. Chem. 2005, 53, 1–69. [Google Scholar]
- Oladipo, S.D.; Tolufashe, G.F.; Mocktar, C.; Omondi, B. Ag (I) symmetrical N, N’-diarylformamidine dithiocarbamate PPh3 complexes: Synthesis, Structural characterization, quantum chemical calculations and in vitro biological studies. Inorg. Chim. Acta 2021, 520, 120316. [Google Scholar] [CrossRef]
- Coucouvanis, D. The Chemistry of the Dithioacid and 1, 1-Dithiolate Complexes, 1968–1977. Prog. Inorg. Chem. 2007, 26, 301–469. [Google Scholar]
- Segers, D.P.; DeArmond, M.K.; Grutsch, P.A.; Kutal, C. Multiple luminescence from borohydridobis (triphenylphosphine) copper (I). Inorg. Chem. 1984, 23, 2874–2878. [Google Scholar] [CrossRef]
- Cunningham, C.T.; Cunningham, K.L.; Michalec, J.F.; McMillin, D.R. Cooperative substituent effects on the excited states of copper phenanthrolines. Inorg. Chem. 1999, 38, 4388–4392. [Google Scholar] [CrossRef]
- Cunningham, C.T.; Moore, J.J.; Cunningham, K.L.; Fanwick, P.E.; McMillin, D.R. Structural and photophysical studies of Cu (NN) 2+ systems in the solid state. Emission at last from complexes with simple 1, 10-phenanthroline ligands. Inorg. Chem. 2000, 39, 3638–3644. [Google Scholar] [CrossRef]
- Yang, L.; Powell, D.R.; Houser, R.P. Structural variation in copper (I) complexes with pyridylmethylamide ligands: Structural analysis with a new four-coordinate geometry index, τ. Dalton Trans. 2007, 4, 955–964. [Google Scholar] [CrossRef]
- Haiduc, I.; Cea-Olivares, R.; Toscano, R.A.; Silvestru, C. X-ray crystal structure of (tetraphenyldithiomidodiphosphinato)(triphenylphosphine) copper (I),(Ph3P) Cu (SPPh2) 2N, a monocyclic inorganic (carbon-free) chelate ring compound. Polyhedron 1995, 14, 1067–1071. [Google Scholar] [CrossRef]
- Oladipo, S.D.; Omondi, B. Mercury (II) N, N′-diarylformamidine dithiocarbamates as single-source precursors for the preparation of oleylamine-capped HgS nanoparticles. Trans. Met. Chem. 2020, 45, 391–402. [Google Scholar] [CrossRef]
- Oladipo, S.D.; Omondi, B. N, N′-Diarylformamidine Dithiocarbamate Ag (I) Cluster and Coordination Polymer. Molbank 2022, 2022, M1327. [Google Scholar] [CrossRef]
- Oladipo, S.D.; Olotu, F.A.; Soliman, M.; Mocktar, C.; Omondi, B. Formamidine-based thiuram disulfides: Synthesis, structural characterization, biological studies, and preliminary cheminformatics evaluation. J. Mol. Struct. 2020, 1219, 128553. [Google Scholar] [CrossRef]
- Ruhal, R.; Kataria, R. Biofilm patterns in gram-positive and gram-negative bacteria. Microbiol. Res. 2021, 251, 1268291. [Google Scholar] [CrossRef]
- Batzing, B.L. Microbiology: An Introduction; Brooks/Cole: Pacific Grove, CA, USA, 2002. [Google Scholar]
- Daina, A.; Michielin, O.; Zoete, V. SwissADME: A free web tool to evaluate pharmacokinetics, drug-likeness and medicinal chemistry friendliness of small molecules. Sci. Rep. 2017, 7, 42717. [Google Scholar] [CrossRef] [Green Version]
- Lipinski, C.A. Drug-like properties and the causes of poor solubility and poor permeability. J. Pharmacol. Toxicol. Methods 2000, 44, 235–249. [Google Scholar] [CrossRef]
- Lipinski, C.A.; Lombardo, F.; Dominy, B.W.; Feeney, P.J. Experimental and computational approaches to estimate solubility and permeability in drug discovery and development settings. Adv. Drug Deliv. 2012, 64, 4–17. [Google Scholar] [CrossRef]
- Oladipo, S.D.; Yusuf, T.L.; Zamisa, S.J.; Tolufashe, G.F.; Olofinsan, K.A.; Tywabi-Ngeva, Z.; Mabuba, N. Synthesis, crystal structure with free radical scavenging activity and theoretical studies of Schiff bases derived from 1-naphthylamine, 2, 6-diisopropylaniline, and substituted benzaldehyde. Eur. J. Chem. 2021, 12, 204–215. [Google Scholar] [CrossRef]
- Shityakov, S.; Neuhaus, W.; Dandekar, T.; Förster, C. Analysing molecular polar surface descriptors to predict blood-brain barrier permeation. Int. J. Comput. Biol. Drug Des. 2013, 6, 146–156. [Google Scholar] [CrossRef]
- Olotu, F.A.; Munsamy, G.; Soliman, M.E. Does size really matter? Probing the efficacy of structural reduction in the optimization of bioderived compoundse A computational “proof-of-concept”. Comput. Struct. Biotechnol. J. 2018, 16, 573–586. [Google Scholar] [CrossRef]
- Veber, D.F.; Johnson, S.R.; Cheng, Y.-H.; Smith, B.R.; Ward, K.W.; Kopple, K.D. Molecular properties that influence the oral bioavailability of drug candidates. J. Med. Chem. 2002, 45, 2615–2623. [Google Scholar] [CrossRef] [PubMed]
- Sjögren, E.; Westergren, J.; Grant, I.; Hanisch, G.; Lindfors, L.; Lennernäs, H.; Abrahamsson, B.; Tannergren, C. In silico predictions of gastrointestinal drug absorption in pharmaceutical product development: Application of the mechanistic absorption model GI-Sim. Eur. J. Pharm. Sci. 2013, 49, 679–698. [Google Scholar] [CrossRef] [PubMed]
- Cornaire, G.; Woodley, J.; Hermann, P.; Cloarec, A.; Arellano, C.; Houin, G. Impact of excipients on the absorption of P-glycoprotein substrates in vitro and in vivo. Int. J. Pharm. 2004, 278, 119–131. [Google Scholar] [CrossRef] [PubMed]
- Yu, L.; Bridgers, A.; Polli, J.; Vickers, A.; Long, S.; Roy, A.; Winnike, R.; Coffin, M. Vitamin E-TPGS increases absorption flux of an HIV protease inhibitor by enhancing its solubility and permeability1. Pharm. Res. 1999, 16, 1812–1817. [Google Scholar] [CrossRef] [PubMed]






| 1 | 2 | 3 | |
|---|---|---|---|
| Empirical formula | C54 H49 Cu N2 P2 S2 | C62.68H65.36Cl10.60CuN2P2S2 | C115H116Cl2Cu2 N4 P4 S4O2 |
| Formula weight | 915.55 | 1057.56 | 2036.24 |
| Crystal system | monoclinic | triclinic | triclinic |
| Space group | P 21/n | P-1 | P-1 |
| a/Å | 22.4044(4) | 11.5681(4) | 12.5065(3) |
| b/Å | 9.5916(2) | 15.9024(5) | 13.1610(2) |
| c/Å | 22.9024(4) | 17.1608(6) | 15.9918(2) |
| α/° | 90° | 104.286(2) | 85.803(10) |
| β/° | 109.010(10)° | 104.050(2) | 89.170(2) |
| γ/° | 90° | 105.939(2) | 77.974(3) |
| Volume/Å3 | 4653.17(15) | 2773.51(17) | 2567.55(3) |
| Z | 4 | 2 | 1 |
| ρcalcg/cm3 | 1.307 | 1.266 | 1.317 |
| μ/mm−1 | 0.667 | 0.596 | 0.663 |
| F(000) | 1912 | 1113 | 1066 |
| Crystal size/mm3 | 0.370 × 0.230 × 0.140 | 0.36 × 0.24 × 0.14 | 0.4 × 0.27 × 0.14 |
| 2Θ range for data collection (°) | 1.104 to 28.382 | 1.942 to 28.540 | 1.665 to 28.342 |
| Index ranges | −29 ≤ h ≤ 29 | −15 ≤ h ≤ 15 | −16 ≤ h ≤ 16 |
| −12 ≤ k ≤ 12 | −18 ≤ k ≤ 21 | −17 ≤ k ≤ 17 | |
| −30 ≤ l ≤ 30 | −22 ≤ l ≤ 22 | −21 ≤ l ≤ 21 | |
| Reflections collected | 58617 | 43604 | 9988 |
| Independent reflections | 11,622 [Rint = 0.0255] | 13,740 [Rint = 0.0179] | 12,357 [Rint = 0.0151] |
| Data/restraints/parameters | 11,622/0/550 | 13,740/0/622 | 12,357/1/621 |
| Goodness-of-fit on F2 | 1.041 | 1.018 | 1.022 |
| Final R indexes [I ≥ 2σ (I)] | 0.0537, 0.1076 | 0.0316, 0.0756 | 0.0436, 0.0814 |
| Final R indexes [all data] | 0.0537, 0.1166 | 0.0397, 0.0801 | 0.0336, 0.0864 |
| Largest diff. peak and hole (e Å−3) | 0.687 and −0.614 | 0.519 and −0.378 | 0.97 and −1.10 |
| Ligands (Complex) | δ (-NCS2) ppm | Δ δ | δ NC(H)=N ppm | Δ δ | υ(C=N) cm−1 | Δυ | υ(C—N) cm−1 | Δυ |
|---|---|---|---|---|---|---|---|---|
| L1 (1) | 217.62 (215.90) | 1.72 | 9.86 (9.56) | 0.30 | 1640 (1643) | 3 | 1467 (1476) | 9 |
| L2 (2) | 220.94 (217.47) | 3.47 | 10.15 (9.77) | 0.38 | 1639 (1643) | 4 | 1452 (1476) | 24 |
| L3 (3) | 218.95 (216.05) | 2.90 | 9.92 (9.53) | 0.39 | 1629 (1633) | 4 | 1477 (1478) | 1 |
| Parameters | 1 | 2 | 3 |
|---|---|---|---|
| Bond length | |||
| Cu(1)—P(1) | 2.2509(5) | 2.2307(5) | 2.2393(5) |
| Cu(1)—P(2) | 2.2351(7) | 2.2472(7) | 2.2525(5) |
| Cu(1)—S(1) | 2.3891(9) | 2.2472(7) | 2.4060(5) |
| Cu(1)—S(2) | 2.4186(7) | 2.3915(8) | 2.4165(4) |
| Cdtc—S(1) | 1.696(2) | 1.692(3) | 1.687(2) |
| Cdtc—S(2) | 1.697(2) | 1.697(3) | 1.704(2) |
| Cdtc—N | 1.376(3) | 1.384(2) | 1.395(2) |
| Bond angles | |||
| P(1)—Cu(1)—P(2) | 125.73(3) | 126.55(3) | 121.81(2) |
| P(1)—Cu(1)—S(1) | 111.30(3) | 112.60(2) | 115.55(2) |
| P(1)—Cu(1)—S(2) | 105.10(2) | 115.71(3) | 115.17(2) |
| P(2)—Cu(1)—S(1) | 112.74(3) | 107.92(2) | 105.14(2) |
| P(2)—Cu(1)—S(2) | 115.65(2) | 108.10(2) | 114.51(2) |
| Cu(1)—S(1)—Cdtc | 83.09(8) | 82.70(5) | 83.34(6) |
| Cu(1)—S(2)—Cdtc | 82.17(17) | 83.87(5) | 82.67(6) |
| S(1)—Cdtc—S(2) | 119.0(1) | 118.72(9) | 119.1(1) |
| S(1)—Cu(1)—S(2) | 75.03(2) | 74.62(1) | 74.61(2) |
| Complexes | Gram (−) Bacteria | Gram (+) Bacteria | ||||
|---|---|---|---|---|---|---|
| E. coli | S. typhimurium | P. aeruginosa | K. pneumoniae | S. aureus | MRSA | |
| 1 | 3.409 | 13.637 | >1000 | >1000 | N | N |
| 2 | 97.196 | 24.299 | 48.598 | 97.196 | N | N |
| 3 | 26.464 | 105.855 | >1000 | >1000 | N | N |
| Ciprofloxacin a | 0.603 | 1.207 | 2.414 | 4.828 | 75.450 | 75.450 |
| Complexes | IC50 (mM) |
|---|---|
| 1 | 6.29 × 10−2 |
| 2 | 4.99 × 10−3 |
| 3 | 5.66 × 10−3 |
| Ascorbic acid | 1.04 × 10−3 |
| Physicochemical Properties | 1 | 2 | 3 | Acceptable Threshold (Ro5) |
|---|---|---|---|---|
| Molecular weight (Da) | 916.61 | 1028.82 | 944.66 | <500 Da |
| LogP | 9.83 | 11.87 | 10.38 | <5 |
| LogS (mol/L) | −14.97 | −17.26 | −15.59 | 0 → −6 |
| TPSA (A2) | 93.38 | 93.38 | 93.38 | ≤140 |
| HBA | 1 | 1 | 1 | ≤10 |
| HBD | 0 | 0 | 0 | ≤5 |
| Rotatable bonds | 12 | 16 | 12 | ˂10 |
| Pharmacokinetics properties | ||||
| GI absorption | Low | Low | Low | |
| BBB Permeant | No | No | No | |
| P-gp Substrate | Yes | Yes | Yes | |
| LogKp (skin permeation) | −1.01 | 0.47 | −0.66 |
Publisher’s Note: MDPI stays neutral with regard to jurisdictional claims in published maps and institutional affiliations. |
© 2022 by the authors. Licensee MDPI, Basel, Switzerland. This article is an open access article distributed under the terms and conditions of the Creative Commons Attribution (CC BY) license (https://creativecommons.org/licenses/by/4.0/).
Share and Cite
Oladipo, S.D.; Omondi, B. Pseudo-Tetrahedral Copper(I) Symmetrical Formamidine Dithiocarbamate-Phosphine Complexes: Antibacterial, Antioxidant and Pharmacokinetics Studies. Inorganics 2022, 10, 79. https://doi.org/10.3390/inorganics10060079
Oladipo SD, Omondi B. Pseudo-Tetrahedral Copper(I) Symmetrical Formamidine Dithiocarbamate-Phosphine Complexes: Antibacterial, Antioxidant and Pharmacokinetics Studies. Inorganics. 2022; 10(6):79. https://doi.org/10.3390/inorganics10060079
Chicago/Turabian StyleOladipo, Segun D., and Bernard Omondi. 2022. "Pseudo-Tetrahedral Copper(I) Symmetrical Formamidine Dithiocarbamate-Phosphine Complexes: Antibacterial, Antioxidant and Pharmacokinetics Studies" Inorganics 10, no. 6: 79. https://doi.org/10.3390/inorganics10060079
APA StyleOladipo, S. D., & Omondi, B. (2022). Pseudo-Tetrahedral Copper(I) Symmetrical Formamidine Dithiocarbamate-Phosphine Complexes: Antibacterial, Antioxidant and Pharmacokinetics Studies. Inorganics, 10(6), 79. https://doi.org/10.3390/inorganics10060079

