Cyano-Bridged Dy(III) and Ho(III) Complexes with Square-Wave Structure of the Chains
Abstract
:1. Introduction
2. Results and Discussion
2.1. Synthesis
2.2. Description of the Structure
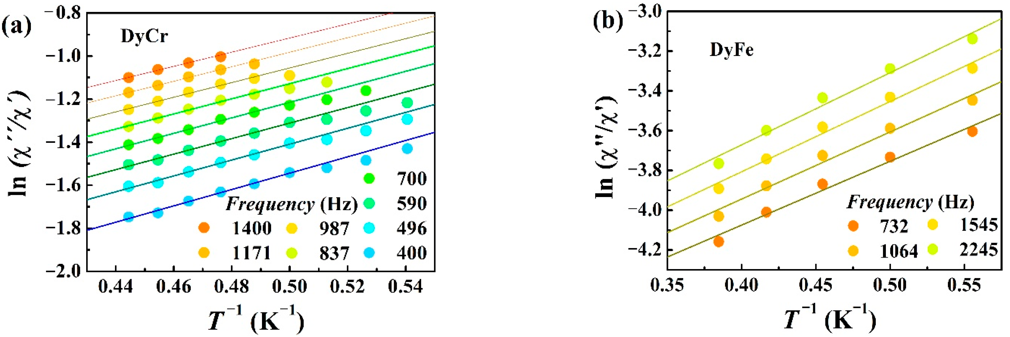
2.3. Magnetic Properties
3. Materials and Methods
3.1. Synthesis
- {[Dy(H2dapsc)(H2O)2][Cr(CN)6]}n·3nH2O (1)
- {[Dy(H2dapsc)(H2O)2][Fe(CN)6]}n·3nH2O (2)
- {[Ho(H2dapsc)(H2O)2][Cr(CN)6]}n·3nH2O (3)
- {[Ho(H2dapsc)(H2O)2][Fe(CN)6]}n·3nH2O (4)
3.2. X-ray Crystal Structure
3.3. Magnetic Measurements
4. Conclusions
Supplementary Materials
Author Contributions
Funding
Data Availability Statement
Acknowledgments
Conflicts of Interest
Appendix A
| 1 (DyCr) | 2 (DyFe) | 3 (HoCr) | 4 (HoFe) | |
|---|---|---|---|---|
| Ln(1)-O(1) | 2.3279(9) | 2.317(5) | 2.326(1) | 2.321(4) |
| Ln(1)-O(2) | 2.3627(9) | 2.354(4) | 2.357(1) | 2.363(4) |
| Ln(1)-N(5) | 2.5272(11) | 2.525(5) | 2.522(1) | 2.535(5) |
| Ln(1)-N(6) | 2.5654(11) | 2.560(5) | 2.564(1) | 2.551(4) |
| Ln(1)-N(7) | 2.5152(12) | 2.499(5) | 2.510(2) | 2.496(5) |
| Ln(1)-N(12) | 2.5288(12) | 2.536(5) | 2.521(2) | 2.547(4) |
| Ln(1)-N(13) | 2.5080(12) | 2.516(5) | 2.502(2) | 2.521(5) |
| Ln(1)-O(3) | 2.3508(10) | 2.359(4) | 2.347(1) | 2.373(4) |
| Ln(1)-O(4) | 2.3589(10) | 2.349(5) | 2.355(1) | 2.362(4) |
| M(1)-CCN | 2.0575(14)–2.0798(13) | 1.925(7)–1.968(7) | 2.063(2)–2.088(2) | 1.918(6)–1.968(5) |
| Ln(1)-M(1) | 5.6295(2) | 5.5190(12) | 5.6355(4) | 5.5525(9) |
| Ln(1)-M(1) * | 5.5982(2) | 5.4749(12) | 5.5999(4) | 5.4918(12) |
| O(1)-Ln(1)-O(2) | 97.74(3) | 96.12(16) | 97.23(5) | 95.68(13) |
| O(1)-Ln(1)-N(5) | 64.07(4) | 64.17(17) | 64.13(5) | 64.42(14) |
| O(2)-Ln(1)-N(6) | 63.34(3) | 63.73(16) | 63.44(5) | 63.88(14) |
| N(5)-Ln(1)-N(7) | 61.75(4) | 61.97(19) | 62.11(5) | 62.08(14) |
| N(6)-Ln(1)-N(7) | 61.46(4) | 61.72(18) | 61.50(5) | 61.45(14) |
| O(1)-Ln(1)-N(6) | 147.76(4) | 146.47(17) | 147.49(5) | 145.52(14) |
| O(2)-Ln(1)-N(5) | 147.23(3) | 146.28(16) | 147.01(5) | 146.58(13) |
| O(3)-Ln(1)-O(4) | 129.47(4) | 129.84(19) | 129.37(5) | 129.8(2) |
| N(12)-Ln(1)-N(13) | 73.08(4) | 74.94(16) | 73.18(5) | 74.76(14) |
| Ln(1)-N(12)-C(12) | 158.95(10) | 160.2(5) | 159.15(15) | 159.4(4) |
| Ln(1)-N(13)-C(13) | 155.25(10) | 154.9(5) | 155.45(15) | 154.5(4) |
| M(1)-C(12)-N(12) | 174.59(11) | 175.1(6) | 174.5(2) | 176.0(5) |
| M(1)-C(13) **-N(13) ** | 176.37(13) | 177.9(6) | 176.3(2) | 178.0(5) |
| C(12)-M(1)-C(13) ** | 94.26(5) | 94.8(3) | 94.37(7) | 94.9(2) |
| M(1)-Ln(1)-M(1) * | 100.72(0) | 101.05(2) | 100.77(0) | 101.02(1) |
| Ln(1)-M(1)-Ln(1) ** | 95.61(0) | 95.78(2) | 95.67(0) | 95.90(1) |
References
- Bartolomé, J.; Luis, F.; Fernández, J.F. Molecular Magnets: Physics and Applications; Springer: Berlin/Heidelberg, Germany, 2014. [Google Scholar]
- Layfield, R.A.; Murugesu, M. Lanthanides and Actinides in Molecular Magnetism; Wiley-VCH Verlag & Co. KGaA: Weinheim, Germany, 2015. [Google Scholar]
- Dey, A.; Kalita, P.; Chandrasekhar, V. Lanthanide(III)-Based Single-Ion Magnets. ACS Omega 2018, 3, 9462–9475. [Google Scholar] [CrossRef] [PubMed]
- Bar, A.K.; Pichon, C.; Sutter, J.-P. Magnetic anisotropy in two- to eight-coordinated transition–metal complexes: Recent developments in molecular magnetism. Co-Ord. Chem. Rev. 2016, 308, 346–380. [Google Scholar] [CrossRef]
- Meng, Y.-S.; Jiang, S.-D.; Wang, B.-W.; Gao, S. Understanding the Magnetic Anisotropy toward Single-Ion Magnets. Acc. Chem. Res. 2016, 49, 2381–2389. [Google Scholar] [CrossRef] [PubMed]
- Rinehart, J.D.; Long, J.R. Exploiting single-ion anisotropy in the design of f-element single-molecule magnets. Chem. Sci. 2011, 2, 2078–2085. [Google Scholar] [CrossRef]
- Feng, M.; Tong, M.-L. Single ion magnets from 3d to 5f: Developments and strategies. Chem. Eur. J. 2018, 24, 7574–7594. [Google Scholar] [CrossRef] [PubMed]
- Chen, Y.-C.; Liu, J.-L.; Ungur, L.; Liu, J.; Li, Q.-W.; Wang, L.-F.; Ni, Z.-P.; Chibotaru, L.F.; Chen, X.-M.; Tong, M.-L. Symmetry-Supported Magnetic Blocking at 20 K in Pentagonal Bipyramidal Dy(III) Single-Ion Magnets. J. Am. Chem. Soc. 2016, 138, 2829–2837. [Google Scholar] [CrossRef] [PubMed]
- Liu, J.; Chen, Y.-C.; Liu, J.-L.; Vieru, V.; Ungur, L.; Jia, J.-H.; Chibotaru, L.F.; Lan, Y.; Wernsdorfer, W.; Gao, S.; et al. A Stable Pentagonal Bipyramidal Dy(III) Single-Ion Magnet with a Record Magnetization Reversal Barrier over 1000 K. J. Am. Chem. Soc. 2016, 138, 5441–5450. [Google Scholar] [CrossRef] [PubMed]
- Ding, Y.; Chilton, N.F.; Winpenny, R.E.P.; Zheng, Y.-Z. On Approaching the Limit of Molecular Magnetic Anisotropy: A Near-Perfect Pentagonal Bipyramidal Dysprosium(III) Single-Molecule Magnet. Angew. Chem. Int. Ed. 2016, 55, 16071–16074. [Google Scholar] [CrossRef] [PubMed]
- Gupta, S.K.; Rajeshkumar, T.; Rajaraman, G.; Murugavel, R. An air-stable Dy(iii) single-ion magnet with high anisotropy barrier and blocking temperature. Chem. Sci. 2016, 7, 5181–5191. [Google Scholar] [CrossRef] [Green Version]
- Yu, K.-X.; Kragskow, J.; Ding, Y.; Zhai, Y.-Q.; Reta, D.; Chilton, N.F.; Zheng, Y.-Z. Enhancing Magnetic Hysteresis in Single-Molecule Magnets by Ligand Functionalization. Chem 2020, 6, 1777–1793. [Google Scholar] [CrossRef]
- Palenik, G.J.; Wester, D.W. Pentagonal-bipyramidal complexes. Crystal and molecular structures of chloroaqua(2,6-diacetylpyridine bis(semicarbazone))manganese(II), -iron(II), -cobalt(II), and -zinc(II) chloride dihydrates. Inorg. Chem. 1978, 17, 864–870. [Google Scholar] [CrossRef]
- Gerloch, M.; Morgenstern-Badarau, I. Magnetic and spectral properties of chloroaqua[2,6-diacetylpyridinebis(semicarbazone)]iron(II) and diaqua[2,6-diacetylpyridinebis(semicarbazone)]nickel(II): Ligand fields and bonding in pentagonal-bipyramidal complexes. Inorg. Chem. 1979, 18, 3225–3229. [Google Scholar] [CrossRef]
- Ivanovic-Burmazovic, I.; Andjelkovic, K. Transition Metal Complexes with Bis(hydrazone) Ligands of 2,6-Diacetylpyridine: Heptacoordination of 3d Metals. Adv. Inorg. Chem. 2005, 36, 315–360. [Google Scholar] [CrossRef]
- Bino, A.; Frim, R.; Van Genderen, M. Three coordination modes of the pentadentate ligand 2,6-diacetylpyridinedisemicarbazone. Inorg. Chim. Acta 1987, 127, 95–101. [Google Scholar] [CrossRef]
- Carcelli, M.; Ianelli, S.; Pelagatti, P.; Pelizzi, G. Structural characterization of a new ligand mode of 2,6-diacetylpyridine bis(semicarbazone), H2daps. Inorg. Chim. Acta 1999, 292, 121–126. [Google Scholar] [CrossRef]
- Bar, A.K.; Gogoi, N.; Pichon, C.; Goli, V.M.L.D.P.; Thlijeni, M.; Duhayon, C.; Suaud, N.; Guihéry, N.; Barra, A.-L.; Ramasesha, S.; et al. Pentagonal Bipyramid FeII Complexes: Robust Ising-Spin Units towards Heteropolynuclear Nanomagnets. Chem.—Eur. J. 2017, 23, 4380–4396. [Google Scholar] [CrossRef] [PubMed]
- Sasnovskaya, V.D.; Kopotkov, V.A.; Kazakova, A.V.; Talantsev, A.D.; Morgunov, R.B.; Simonov, S.V.; Zorina, L.V.; Mironov, V.S.; Yagubskii, E.B. Slow magnetic relaxation in mononuclear complexes of Tb, Dy, Ho and Er with the pentadentate (N3O2) Schiff-base dapsc ligand. New J. Chem. 2018, 42, 14883–14893. [Google Scholar] [CrossRef]
- Han, T.; Leng, J.-D.; Ding, Y.-S.; Wang, Y.; Zheng, Z.; Zheng, Y.-Z. Field and dilution effects on the magnetic relaxation behaviours of a 1D dysprosium(III)-carboxylate chain built from chiral ligands. Dalton Trans. 2015, 44, 13480–13484. [Google Scholar] [CrossRef] [Green Version]
- Chen, S.; Mereacre, V.; Zhao, Z.; Zhang, W.; Zhang, M.; He, Z. Targeted replacement: Systematic studies of dodecanuclear {MIII6LnIII6} coordination clusters (M = Cr, Co; Ln = Dy, Y). Dalton Trans. 2018, 47, 7456–7462. [Google Scholar] [CrossRef] [Green Version]
- Shen, F.-X.; Li, H.-Q.; Miao, H.; Shao, D.; Wei, X.-Q.; Shi, L.; Zhang, Y.-Q.; Wang, X.-Y. Heterometallic MIILnIII (M = Co/Zn; Ln = Dy/Y) Complexes with Pentagonal Bipyramidal 3d Centers: Syntheses, Structures, and Magnetic Properties. Inorg. Chem. 2018, 57, 15526–15536. [Google Scholar] [CrossRef]
- Chen, S.; Mereacre, V.; Kostakis, G.E.; Anson, C.E.; Powell, A.K. Systematic studies of hexanuclear {MIII4LnIII2}complexes (M = Fe, Ga; Ln = Er, Ho): Structures, magnetic properties and SMM behavior. Inorg. Chem. Front. 2017, 4, 927–934. [Google Scholar] [CrossRef]
- Blagg, R.; Ungur, L.; Tuna, F.; Speak, J.; Comar, P.; Collison, D.; Wernsdorfer, W.; McInnes, E.J.L.; Chibotaru, L.; Winpenny, R.E.P. Magnetic relaxation pathways in lanthanide single-molecule magnets. Nat. Chem. 2013, 5, 673–678. [Google Scholar] [CrossRef] [PubMed]
- Habib, F.; Lin, P.-H.; Long, J.; Korobkov, I.; Wernsdorfer, W.; Murugesu, M. The Use of Magnetic Dilution to Elucidate the Slow Magnetic Relaxation Effects of a Dy2 Single-Molecule Magnet. J. Am. Chem. Soc. 2011, 133, 8830–8833. [Google Scholar] [CrossRef] [PubMed]
- Rinehart, J.; Fang, M.; Evans, W.J.; Long, J.R. Strong exchange and magnetic blocking in N23−-radical-bridged lanthanide complexes. Nat. Chem. 2011, 3, 538–542. [Google Scholar] [CrossRef]
- Wang, J.-H.; Li, Z.-Y.; Yamashita, M.; Bu, X.-H. Recent progress on cyano-bridged transition-metal-based single-molecule magnets and single-chain magnets. Co-Ord. Chem. Rev. 2021, 428, 213617. [Google Scholar] [CrossRef]
- Liu, Y.; Chen, Y.-C.; Liu, J.; Chen, W.-B.; Huang, G.-Z.; Wu, S.-G.; Wang, J.; Liu, J.-L.; Tong, M.-L. Cyanometallate-Bridged Didysprosium Single-Molecule Magnets Constructed with Single-Ion Magnet Building Block. Inorg. Chem. 2020, 59, 687–694. [Google Scholar] [CrossRef]
- Kou, H.-Z.; Gao, S.; Jin, X. Synthesis, Crystal Structure, and Magnetic Properties of Two Cyano-Bridged Bimetallic 4f−3d Arrays with One-Dimensional Chain and Two-Dimensional Brick Wall Molecular Structures. Inorg. Chem. 2001, 40, 6295–6300. [Google Scholar] [CrossRef]
- Ge, C.; Kou, H.-Z.; Ni, Z.-H.; Jiang, Y.-B.; Zhang, L.-F.; Cui, A.-L.; Sato, O. Cyano-bridged One-dimensional SmIII–FeIII Molecule-based Magnet with an Ordering Temperature of 3.4 K. Chem. Lett. 2005, 34, 1280–1281. [Google Scholar] [CrossRef]
- Figuerola, A.; Diaz, C.; El Fallah, M.S.; Ribas, J.; Maestro, M.; Mahía, J. Structure and magnetism of the first cyano-bridged hetero-one-dimensional GdIII–CrIII complexes. Chem. Commun. 2001, 1204–1205. [Google Scholar] [CrossRef]
- Guo, Y.; Xu, G.-F.; Wang, C.; Cao, T.-T.; Tang, J.; Liu, Z.-Q.; Ma, Y.; Yan, S.-P.; Cheng, P.; Liao, D.-Z. Cyano-bridged terbium(III)–chromium(III) bimetallic quasi-one-dimensional assembly exhibiting long-range magnetic ordering. Dalton Trans. 2012, 41, 1624–1629. [Google Scholar] [CrossRef]
- Batchelor, L.J.; Sangalli, M.; Guillot, R.; Guihéry, N.; Maurice, R.; Tuna, F.; Mallah, T. Pentanuclear Cyanide-Bridged Complexes Based on Highly Anisotropic CoII Seven-Coordinate Building Blocks: Synthesis, Structure, and Magnetic Behavior. Inorg. Chem. 2011, 50, 12045–12052. [Google Scholar] [CrossRef] [PubMed]
- Ruamps, R.; Batchelor, L.J.; Maurice, R.; Gogoi, N.; Jiménez-Lozano, P.; Guihéry, N.; de Graaf, C.; Barra, A.L.; Sutter, J.-P.; Mallah, T. Origin of the magnetic anisotropy in heptacoordinate NiII and CoII complexes. Chem. Eur. J. 2013, 19, 950–956. [Google Scholar] [CrossRef] [PubMed]
- Manakin, Y.V.; Mironov, V.S.; Bazhenova, T.A.; Lyssenko, K.A.; Gilmutdinov, I.F.; Bikbaev, K.S.; Masitov, A.A.; Yagubskii, E.B. (Et4N)[MoIII(DAPBH)Cl2], the first pentagonal-bipyramidal Mo(III) complex with a N3O2-type Schiff-base ligand: Manifestation of unquenched orbital momentum and Ising-type magnetic anisotropy. Chem. Commun. 2018, 54, 10084–10087. [Google Scholar] [CrossRef]
- Sasnovskaya, V.D.; Kopotkov, V.A.; Talantsev, A.D.; Morgunov, R.B.; Yagubskii, E.B.; Simonov, S.V.; Zorina, L.V.; Mironov, V.S. Synthesis, structure and magnetic properties of 1D {[MnIII(CN)6][MnII(dapsc)]}n coordination polymers: Origin of unconventional single-chain magnet behavior. Inorg. Chem. 2017, 56, 8926–8943. [Google Scholar] [CrossRef] [PubMed]
- Zorina, L.V.; Simonov, S.V.; Sasnovskaya, V.D.; Talantsev, A.D.; Morgunov, R.B.; Mironov, V.S.; Yagubskii, E.B. Slow magnetic relaxation, antiferromagnetic ordering and metamagnetism in MnII(H2dapsc)-FeIII(CN)6 chain complex with highly anisotropic Fe-CN-Mn spin coupling. Chem. Eur. J. 2019, 25, 14583–14597. [Google Scholar] [CrossRef]
- Pichon, C.; Suaud, N.; Duhayon, C.; Guihéry, N.; Sutter, J.-P. Cyano-Bridged Fe(II)–Cr(III) Single-Chain Magnet Based on Pentagonal Bipyramid Units: On the Added Value of Aligned Axial Anisotropy. J. Am. Chem. Soc. 2018, 140, 7698–7704. [Google Scholar] [CrossRef]
- Albrecht, M.; Mirtschin, S.; Osetska, O.; Dehn, S.; Enders, D.; Fröhlich, R.; Pape, T.; Hahn, E.F. Pentadentate Ligands for the 1:1 Coordination of Lanthanide(III) Salts. Eur. J. Inorg. Chem. 2007, 2007, 3276–3287. [Google Scholar] [CrossRef]
- Bar, A.K.; Kalita, P.; Sutter, J.-P.; Chandrasekhar, V. Pentagonal-Bipyramid Ln(III) Complexes Exhibiting Single-Ion-Magnet Behavior: A Rational Synthetic Approach for a Rigid Equatorial Plane. Inorg. Chem. 2018, 57, 2398–2401. [Google Scholar] [CrossRef]
- Corredoira-Vázguez, J.; Fondo, M.; Sanmartin-Matalobos, J.; García-Deibe, A.M. Attainment of pentagonal-bipyramidal LnIII complexes from a planar pentadentate ligand. Proceedings 2020, 62, 2. [Google Scholar] [CrossRef]
- Kalita, P.; Ahmed, N.; Bar, A.K.; Dey, S.; Jana, A.; Rajaraman, G.; Sutter, J.-P.; Chandrasekhar, V. Pentagonal Bipyramidal Ln(III) Complexes Containing an Axial Phosphine Oxide Ligand: Field-induced Single-ion Magnetism Behavior of the Dy(III) Analogues. Inorg. Chem. 2020, 59, 6603–6612. [Google Scholar] [CrossRef]
- Bazhenova, T.A.; Kopotkov, V.A.; Korchagin, D.V.; Manakin, Y.V.; Zorina, L.V.; Simonov, S.V.; Yakushev, I.A.; Mironov, V.S.; Vasiliev, A.N.; Maximova, O.V.; et al. A Series of Novel Pentagonal-Bipyramidal Erbium(III) Complexes with Acyclic Chelating N3O2 Schiff-Base Ligands: Synthesis, Structure, and Magnetism. Molecules 2021, 26, 6908. [Google Scholar] [CrossRef] [PubMed]
- Figuerola, A.; Diaz, C.; Ribas, J.; Tangoulis, V.; Sangregorio, C.; Gatteschi, D.; Maestro, M.; Mahía, J. Magnetism of Cyano-Bridged Hetero-One-Dimensional Ln3+—M3+ Complexes (Ln3+ = Sm, Gd, Yb; M3+ = FeLS, Co). Inorg. Chem. 2003, 42, 5274–5281. [Google Scholar] [CrossRef] [PubMed]
- Figuerola, A.; Ribas, J.; Casanova, D.; Maestro, M.; Alvarez, S.; Diaz, C. Magnetism of Cyano-Bridged Ln3+—M3+ Complexes. Part II: One-Dimensional Complexes (Ln3+ = Eu, Tb, Dy, Ho, Er, Tm; M3+ = Fe or Co) with bpy as Blocking Ligand. Inorg. Chem. 2005, 44, 6949–6958. [Google Scholar] [CrossRef] [PubMed]
- Koner, R.; Drew, M.G.; Figuerola, A.; Diaz, C.; Mohanta, S. A new cyano-bridged one-dimensional GdIIIFeIII coordination polymer with o-phenanthroline as the blocking ligand: Synthesis, structure, and magnetic properties. Inorg. Chim. Acta 2005, 358, 3041–3047. [Google Scholar] [CrossRef]
- Estrader, M.; Ribas, J.; Tangoulis, V.; Solans, X.; Font-Bardía, M.; Maestro, M.; Diaz, C. Synthesis, Crystal Structure, and Magnetic Studies of One-Dimensional Cyano-Bridged Ln3+−Cr3+ Complexes with bpy as a Blocking Ligand. Inorg. Chem. 2006, 45, 8239–8250. [Google Scholar] [CrossRef] [PubMed]
- Zhao, H.; Lopez, N.; Prosvirin, A.; Chifotides, H.T.; Dunbar, K.R. Lanthanide–3d cyanometalate chains Ln(III)–M(III) (Ln = Pr, Nd, Sm, Eu, Gd, Tb; M = Fe) with the tridentate ligand 2,4,6-tri(2-pyridyl)-1,3,5-triazine (tptz): Evidence of ferromagnetic interactions for the Sm(III)–M(III) compounds (M = Fe, Cr). Dalton Trans. 2007, 878–888. [Google Scholar] [CrossRef] [PubMed]
- Yu, D.; Li, L.; Zhou, H.; Yuan, A.; Li, Y. Cyano-Bridged 4f-3d Assemblies with Achiral Helical Chains: Syntheses, Structures, and Magnetic Properties. Eur. J. Inorg. Chem. 2012, 2012, 3394–3397. [Google Scholar] [CrossRef]
- Wang, F.; Gong, H.-W.; Zhang, Y.; Xue, A.-Q.; Zhu, W.-H.; Zhang, Y.-Q.; Huang, Z.-N.; Sun, H.-L.; Liu, B.; Fang, Y.-Y.; et al. The comparative studies on the magnetic relaxation behaviour of the axially-elongated pentagonal-bipyramidal dysprosium and erbium ions in similar one-dimensional chain structures. Dalton Trans. 2021, 50, 8736–8745. [Google Scholar] [CrossRef]
- Wang, R.; Wang, H.; Wang, J.; Bai, F.; Ma, Y.; Li, L.; Wang, Q.; Zhao, B.; Cheng, P. The different magnetic relaxation behaviors in [Fe(CN)6]3− or [Co(CN)6]3− bridged 3d–4f heterometallic compounds. Cryst. Eng. Comm. 2020, 22, 2998–3004. [Google Scholar] [CrossRef]
- Kahn, O. Molecular Magnetism; Wiley-VCH: New York, NY, USA, 1993. [Google Scholar]
- Zhang, Y.; Guo, Z.; Xie, S.; Li, H.-L.; Zhu, W.-H.; Liu, L.; Dong, X.-Q.; He, W.-X.; Ren, J.-C.; Liu, L.-Z.; et al. Tuning the Origin of Magnetic Relaxation by Substituting the 3d or Rare-Earth Ions into Three Isostructural Cyano-Bridged 3d–4f Heterodinuclear Compounds. Inorg. Chem. 2015, 54, 10316–10322. [Google Scholar] [CrossRef]
- Thomas, L.; Lionti, F.; Ballou, R.; Gatteschi, D.; Sessoli, R.; Barbara, B. Macroscopic quantum tunnelling of magnetization in a single crystal of nanomagnets. Nature 1996, 383, 145–147. [Google Scholar] [CrossRef]
- Bazhenova, T.A.; Yakushev, I.A.; Lyssenko, K.A.; Maximova, O.V.; Mironov, V.S.; Manakin, Y.V.; Kornev, A.B.; Vasiliev, A.N.; Yagubskii, E.B. Ten-coordinate lanthanide [Ln(HL)(L)] complexes (Ln = Dy, Ho, Er, Tb) with pentadentate N3O2-type schiff-base ligands: Synthesis, structure and magnetism. Magnetochemistry 2020, 6, 60. [Google Scholar] [CrossRef]
- Bartolomé, J.; Filoti, G.; Kuncser, V.; Schinteie, G.; Mereacre, V.; Anson, C.E.; Powell, A.K.; Prodius, D.; Turta, C. Magnetostructural correlations in the tetranuclear series of {Fe3LnO2} butterfly core clusters: Magnetic and Mössbauer spectroscopic study. Phys. Rev. B 2009, 80, 014430. [Google Scholar] [CrossRef]
- Craig, G.A.; Murrie, M. 3d single-ion magnets. Chem. Soc. Rev. 2015, 44, 2135–2147. [Google Scholar] [CrossRef] [PubMed] [Green Version]
- Palenik, G.J.; Wester, D.W.; Rychlewska, U.; Palenik, R.C. Pentagonal-bipyramidal complexes. Synthesis and crystal structures of diaqua[2,6-diacetylpyridine bis(semicarbazone)]chromium(III) hydroxide dinitrate hydrate and dichloro[2,6-diacetylpyridine bis(semicarbazone)]iron(III) chloride dehydrate. Inorg. Chem. 1976, 15, 1814–1819. [Google Scholar] [CrossRef]
- Lorenzini, C.; Pelizzi, C.; Pelizzi, G.; Predieri, G. Investigation into aroylhydrazones as chelating agents. Part 3. Synthesis and spectroscopic characterization of complexes of MnII, CoII, NiII, CuII and ZnII with 2,6-diacetylpyridine bis(benzoylhydrazone) and X-ray structure of aquachloro[2,6-diacetylpyridine bis(benzoylhydrazone)]manganese(II) chloride. J. Chem. Soc. Dalton Trans. 1983, 721–727. [Google Scholar] [CrossRef]
- Bonardi, A.; Carini, C.; Merlo, C.; Pelizzi, C.; Pelizzi, G.; Tarasconi, P.; Vitali, F.; Cavatorta, F. Synthesis, spectroscopic and structural characterization of mono- and bi-nuclear iron(II) complexes with 2,6-diacetylpyridine bis(acylhydrazones). J. Chem. Soc. Dalton Trans. 1990, 2771–2777. [Google Scholar] [CrossRef]
- Rigaku Oxford Diffraction Ltd. CrysAlisPro; Version 1.171.38; Rigaku Oxford Diffraction Ltd.: Oxford, UK, 2015. [Google Scholar]
- Sheldrick, G.M. A short history of SHELX. Acta Crystallogr. Sect. A 2008, A64, 112–122. [Google Scholar] [CrossRef] [PubMed] [Green Version]







| 1 | 2 | 3 | 4 | |
|---|---|---|---|---|
| Chemical formula | C17H25CrDyN13O7 | C17H25FeDyN13O7 | C17H25CrHoN13O7 | C17H25FeHoN13O7 |
| Formula weight | 738.00 | 741.85 | 740.43 | 744.28 |
| Cell setting | monoclinic | monoclinic | monoclinic | monoclinic |
| Space group, Z | P21/c, 4 | P21/c, 4 | P21/c, 4 | P21/c, 4 |
| Temperature (K) | 150(1) | 150(1) | 140(1) | 295(1) |
| a (Å) | 12.8451(1) | 12.6415(8) | 12.8518(7) | 12.721(2) |
| b (Å) | 12.7918(1) | 12.5812(7) | 12.8157(7) | 12.661(1) |
| c (Å) | 17.1832(2) | 17.0894(13) | 17.2114(10) | 17.293(2) |
| α (°) | 90 | 90 | 90 | 90 |
| β (°) | 103.3953(9) | 103.484(6) | 103.557(6) | 103.040(10) |
| γ (°) | 90 | 90 | 90 | 90 |
| Cell volume (Å3) | 2746.58(4) | 2643.1(3) | 2755.8(3) | 2713.4(6) |
| ρ (g/cm3) | 1.785 | 1.864 | 1.785 | 1.822 |
| μ, cm−1 | 31.56 | 34.18 | 33.06 | 34.91 |
| Refls collected/unique | 35374/9358 | 24896/10290 | 22589/9216 | 16823/6386 |
| Rint | 0.0196 | 0.0793 | 0.0306 | 0.0762 |
| θmax (°) | 31.20 | 28.28 | 31.00 | 26.50 |
| Parameters refined | 402 | 403 | 402 | 399 |
| Final R1, wR2 [I > 2σ(I)] | 0.0159, 0.0362 | 0.0496, 0.1157 | 0.0233, 0.0557 | 0.0519, 0.0814 |
| Goodness-of-fit | 1.006 | 1.001 | 1.007 | 1.000 |
| CCDC number | 2156616 | 2156617 | 2156618 | 2156619 |
Publisher’s Note: MDPI stays neutral with regard to jurisdictional claims in published maps and institutional affiliations. |
© 2022 by the authors. Licensee MDPI, Basel, Switzerland. This article is an open access article distributed under the terms and conditions of the Creative Commons Attribution (CC BY) license (https://creativecommons.org/licenses/by/4.0/).
Share and Cite
Sasnovskaya, V.D.; Zorina, L.V.; Simonov, S.V.; Talantsev, A.D.; Yagubskii, E.B. Cyano-Bridged Dy(III) and Ho(III) Complexes with Square-Wave Structure of the Chains. Inorganics 2022, 10, 41. https://doi.org/10.3390/inorganics10040041
Sasnovskaya VD, Zorina LV, Simonov SV, Talantsev AD, Yagubskii EB. Cyano-Bridged Dy(III) and Ho(III) Complexes with Square-Wave Structure of the Chains. Inorganics. 2022; 10(4):41. https://doi.org/10.3390/inorganics10040041
Chicago/Turabian StyleSasnovskaya, Valentina D., Leokadiya V. Zorina, Sergey V. Simonov, Artem D. Talantsev, and Eduard B. Yagubskii. 2022. "Cyano-Bridged Dy(III) and Ho(III) Complexes with Square-Wave Structure of the Chains" Inorganics 10, no. 4: 41. https://doi.org/10.3390/inorganics10040041
APA StyleSasnovskaya, V. D., Zorina, L. V., Simonov, S. V., Talantsev, A. D., & Yagubskii, E. B. (2022). Cyano-Bridged Dy(III) and Ho(III) Complexes with Square-Wave Structure of the Chains. Inorganics, 10(4), 41. https://doi.org/10.3390/inorganics10040041

