Effect of Nature of Substituents on Coordination Properties of Mono- and Disubstituted Derivatives of Boron Cluster Anions [BnHn]2– (n = 10, 12) and Carboranes with exo-Polyhedral B–X Bonds (X = N, O, S, Hal)
Abstract
1. Introduction
2. Metal Complexes with Substituted Derivatives of Boron Cluster Anions
2.1. Halogen Atoms
2.2. Hydroxy Substituent
2.3. Ammonium Substituents
2.4. Amino Group
2.5. Sulfonium Group
2.6. Sulfanyl Group
2.7. Oxonium Substituents
2.8. Opening of the Cyclic Substituent
2.9. S-thiocyanato Substituents
2.10. Diazo Substituents
2.11. Cyano-Substituents
2.12. Azaheterocycles as Substituents
2.13. Carboxy Groups as Substituents
2.14. Amide Groups as Substituents
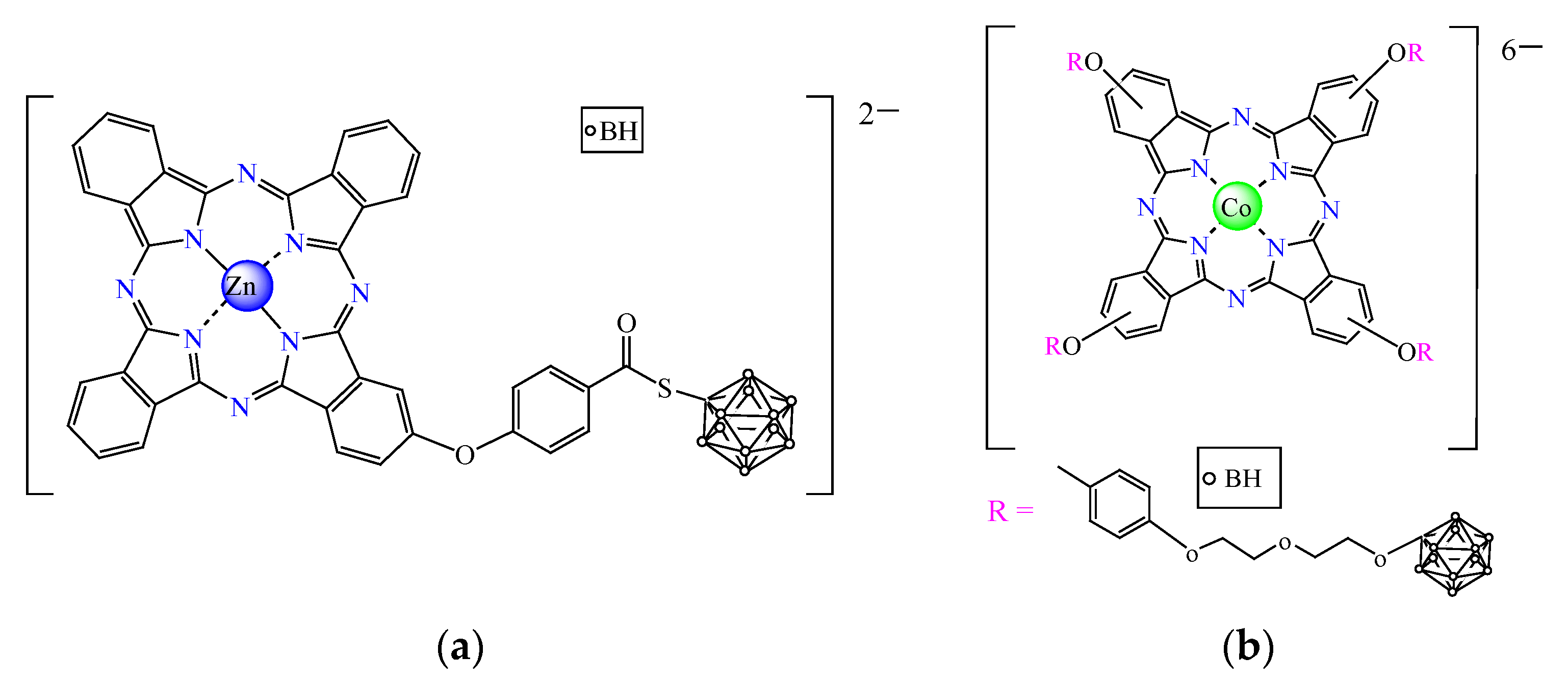
2.15. Phthalocyanine Derivatives as Substituents
3. Metal Complexes with B-Substituted Derivatives of Carboranes
3.1. Derivatives with B–Hal Bonds
3.2. Derivatives with B–S Bonds
3.3. Derivatives with B–N Bonds
3.4. Derivatives with B–O Bonds
4. Conclusions
- (a)
- Metal complexes with substituted derivatives as counterions
- (b)
- Metal complexes with coordinated substituted derivatives
Author Contributions
Funding
Acknowledgments
Conflicts of Interest
References
- Hoard, J.L. Structure and Polymorphism in Elemental Boron. In Borax to Boranes; American Chemical Society: Washington, DC, USA, 1961; Volume 32, pp. 42–52. [Google Scholar] [CrossRef]
- Jemmisab, E.D.; Prasadab, D.L.V.K. Icosahedral B12, macropolyhedral boranes, β-rhombohedral boron and boron-rich solids. J. Solid State Chem. 2006, 179, 2768–2774. [Google Scholar] [CrossRef]
- Jemmis, E.D.; Balakrishnarajan, M.M. Polyhedral Boranes and Elemental Boron: Direct Structural Relations and Diverse Electronic Requirements. J. Am. Chem. Soc. 2001, 123, 18. [Google Scholar] [CrossRef] [PubMed]
- Topnikova, A.P.; Belokoneva, E.L. The structure and classification of complex borates. Russ. Chem. Rev. 2019, 88, 204. [Google Scholar] [CrossRef]
- Zhou, Y.; Fang, C.; Fang, Y.; Zhu, F. Polyborates in aqueous borate solution: A Raman and DFT theory investigation. Spectrochim. Acta A Mol. Biomol. Spectrosc. 2011, 83, 82–87. [Google Scholar] [CrossRef]
- Kozerozhets, I.V.; Avdeeva, V.V.; Buzanov, G.A.; Semenov, E.A.; Ioni, Y.V.; Gubin, S.P. A New Approach for the Synthesis of Powder Zinc Oxide and Zinc Borates with Desired Properties. Inorganics 2022, 10, 212. [Google Scholar] [CrossRef]
- Jiang, Y.; Lu, Y. Designing transition-metal-boride-based electrocatalysts for applications in electrochemical water splitting. Nanoscale 2020, 12, 9327–9351. [Google Scholar] [CrossRef] [PubMed]
- Tanaka, T. Crystal Structures of Boron-Rich Rare-Earth Borides, NIMS Digital Library. 2010. Available online: https://library.nims.go.jp (accessed on 10 October 2022).
- Gunda, H.; Klebanoff, L.E.; Sharma, P.A.; Varma, A.K.; Dolia, V.; Jasuja, K.; Stavila, V. Progress, challenges, and opportunities in the synthesis, characterization, and application of metal-boride-derived two-dimensional nanostructures. ACS Mater. Lett. 2021, 3, 535–556. [Google Scholar] [CrossRef]
- Boron Science: New Technologies and Applications; Hosmane, N.S., Ed.; CRC Press: Boca Raton, FL, USA, 2012. [Google Scholar]
- Grimes, R.N. Carboranes; Academic Press: London, UK, 2016. [Google Scholar] [CrossRef]
- Murphy, N.; McCarthy, E.; Dwyer, R.; Farràs, P. Boron clusters as breast cancer therapeutics. J. Inorg. Biochem. 2021, 218, 111412. [Google Scholar] [CrossRef]
- Sivaev, I.B.; Bregadze, V.V. Polyhedral boranes for medical applications: Current status and perspectives. Eur. J. Inorg. Chem. 2009, 2009, 1433–1450. [Google Scholar] [CrossRef]
- Handbook of Boron Science: With Applications In Organometallics, Catalysis, Materials And Medicine; Hosmane, N.S., Eagling, R.D., Eds.; World Scientific: Singapore, 2018; Volume 1–4. [Google Scholar] [CrossRef]
- Boustani, I. Boron Clusters. In Molecular Modelling and Synthesis of Nanomaterials; Springer: Cham, Switzerland, 2020; pp. 113–254. [Google Scholar] [CrossRef]
- Alexandrova, A.N.; Boldyrev, A.I.; Zhai, H.J.; Wang, L.S. All-boron aromatic clusters as potential new inorganic ligands and building blocks in chemistry. Coord. Chem. Rev. 2006, 250, 2811–2866. [Google Scholar] [CrossRef]
- Kaniowski, D.; Ebenryter-Olbinska, K.; Kulik, K.; Janczak, S.; Maciaszek, A.; Bednarska-Szczepaniak, K.; Lesnikowski, Z. Boron clusters as a platform for new materials: Composites of nucleic acids and oligofunctionalized carboranes (C2B10H12) and their assembly into functional nanoparticles. Nanoscale 2020, 12, 103–114. [Google Scholar] [CrossRef] [PubMed]
- Abakumov, G.A.; Piskunov, A.V.; Cherkasov, V.K.; Fedushkin, I.L.; Ananikov, V.P.; Eremin, D.B.; Gordeev, E.G.; Beletskaya, I.P.; Averin, A.D.; Bochakarev, M.N.; et al. Organoelement chemistry: Promising growth areas and challenges. Russ. Chem. Rev. 2018, 87, 393. [Google Scholar] [CrossRef]
- Zhang, Z.; Zhao, Z.; Wang, B.; Zhang, J. Boron based hypergolic ionic liquids: A review. Green Energy Environ. 2021, 6, 794–822. [Google Scholar] [CrossRef]
- Corrias, A.; Ennas, G.; Musinu, A.; Marongiu, G.; Paschina, G. Amorphous transition metal-boron ultrafine particles prepared by chemical methods. Chem. Mater. 1993, 5, 1722–1726. [Google Scholar] [CrossRef]
- Ali, F.; Hosmane, N.S.; Zhu, Y. Boron chemistry for medical applications. Molecules 2020, 25, 828. [Google Scholar] [CrossRef] [PubMed]
- Hawthorne, M.F.; Pushechnikov, A. Polyhedral borane derivatives: Unique andversatile structural motifs. Pure Appl. Chem. 2012, 84, 2279–2288. [Google Scholar] [CrossRef]
- Knoth, W., Jr.; Michel, R.H. Polymers of Polyhedral Boron Compounds. U.S. Patent 3354121A, 21 November 1967. [Google Scholar]
- Hey-Hawkins, E.; Teixidor, C.V. Boron-based compounds. In Potential and Emerging Applications in Medicine; Wiley: Chichester, UK, 2018. [Google Scholar] [CrossRef]
- Plesek, J. Potential applications of the boron cluster compounds. Chem. Rev. 1992, 92, 269–278. [Google Scholar] [CrossRef]
- Sivaev, I.B.; Bregadze, V.I. Borane, carborane and metallacarborane anions for stabilization of transient and highly reactive intermediates. In Handbook of Boron Science: With Applications in Organometallics, Catalysis, Materials and Medicine; World Scientific: Singapore, 2018; Volume 1, p. 147. [Google Scholar] [CrossRef]
- Goswami, L.N.; Ma, L.; Chakravarty, S.; Cai, Q.; Jalisatgi, S.S.; Hawthorne, M.F. Discrete nanomolecular polyhedral borane scaffold supporting multiple gadolinium (III) complexes as a high performance MRI contrast agent. Inorg. Chem. 2013, 52, 1694–1700. [Google Scholar] [CrossRef] [PubMed]
- Sivaev, I.B.; Bregadze, V.I.; Kuznetsov, N.T. Derivatives of the closo-dodecaborate anion and their application in medicine. Russ. Chem. Bull. 2002, 51, 1362–1374. [Google Scholar] [CrossRef]
- Teixidor, F.; Viñas, C.; Demonceau, A.; Nuñez, R. Boron clusters: Do they receive the deserved interest? Pure Appl. Chem. 2003, 75, 1305–1313. [Google Scholar] [CrossRef]
- Lesnikowski, Z.J. Boron units as pharmacophores-new applications and opportunities of boron cluster chemistry. Collect. Czechoslov. Chem. Commun. 2007, 72, 1646–1658. [Google Scholar] [CrossRef]
- Hawthorne, M.F. Biochemical applications of boron cluster chemistry. Pure Appl. Chem. 1991, 63, 327–334. [Google Scholar] [CrossRef]
- Axtell, J.C.; Saleh, L.M.; Qian, E.A.; Wixtrom, A.I.; Spokoyny, A.M. Synthesis and applications of perfunctionalized boron clusters. Inorg. Chem. 2018, 57, 2333–2350. [Google Scholar] [CrossRef] [PubMed]
- Avdeeva, V.V.; Polyakova, I.N.; Vologzhanina, A.V.; Goeva, L.V.; Buzanov, G.A.; Generalova, N.B.; Malinina, E.A.; Zhizhin, K.Y.; Kuznetsov, N.T. [Co(solv)6][B10H10](solv = DMF and DMSO) for low-temperature synthesis of borides. Russ. J. Inorg. Chem. 2016, 61, 1125–1134. [Google Scholar] [CrossRef]
- Malinina, E.A.; Goeva, L.V.; Buzanov, G.A.; Retivov, V.M.; Avdeeva, V.V.; Kuznetsov, N.T. Synthesis and Thermal Reduction of Complexes [NiLn][B10H10](L = DMF, H2O, n = 6; L = N2H4, n = 3): Formation of Solid Solutions Ni3C1−xBx. Russ. J. Inorg. Chem. 2020, 65, 126–132. [Google Scholar] [CrossRef]
- Malinina, E.A.; Goeva, L.V.; Buzanov, G.A.; Avdeeva, V.V.; Efimov, N.N.; Kozerozhets, I.V.; Kuznetsov, N.T. Synthesis and Physicochemical Properties of Binary Cobalt (II) Borides. Thermal Reduction of Precursor Complexes [CoLn][B10H10](L = H2O, n = 6; N2H4, n = 3). Russ. J. Inorg. Chem. 2019, 64, 1325–1334. [Google Scholar] [CrossRef]
- Malinina, E.A.; Goeva, L.V.; Buzanov, G.A.; Avdeeva, V.V.; Efimov, N.N.; Kuznetsov, N.T. A New Method for Synthesis of Binary Borides with Desired Properties. Dokl. Chem. 2019, 487, 180–183. [Google Scholar] [CrossRef]
- Fink, K.; Uchman, M. Boron cluster compounds as new chemical leads for antimicrobial therapy. Coord. Chem. Rev. 2021, 431, 213684. [Google Scholar] [CrossRef]
- Caminade, A.M. Inorganic dendrimers: Recent advances for catalysis, nanomaterials, and nanomedicine. Chem. Soc. Rev. 2016, 45, 5174–5186. [Google Scholar] [CrossRef]
- Barba-Bon, A.; Salluce, G.; Lostalé-Seijo, I.; Assaf, K.; Hennig, A.; Montenegro, J.; Nau, W.M. Boron clusters as broadband membrane carriers. Nature 2002, 603, 637–642. [Google Scholar] [CrossRef]
- Gabel, D. Boron clusters in medicinal chemistry: Perspectives and problems. Pure Appl. Chem. 2015, 87, 173–179. [Google Scholar] [CrossRef]
- Avdeeva, V.V.; Garaev, T.M.; Malinina, E.A.; Zhizhin, K.Y.; Kuznetsov, N.T. Physiologically Active Compounds Based on Membranotropic Cage Carriers–Derivatives of Adamantane and Polyhedral Boron Clusters. Russ. J. Inorg. Chem. 2022, 67, 28–47. [Google Scholar] [CrossRef]
- Avdeeva, V.V.; Malinina, E.A.; Kuznetsov, N.T. Boron cluster anions and their derivatives in complexation reactions. Coord. Chem. Rev. 2022, 469, 214636. [Google Scholar] [CrossRef]
- Avdeeva, V.V.; Malinina, E.A.; Sivaev, I.B.; Bregadze, V.I.; Kuznetsov, N.T. Silver and copper complexes with closo-polyhedral borane, carborane and metallacarborane anions: Synthesis and X-ray structure. Crystals 2016, 6, 60. [Google Scholar] [CrossRef]
- Avdeeva, V.V.; Malinina, E.A.; Kuznetsov, N.T. Coordination chemistry of iron triad metals with organic N-donor ligands and boron cluster anions [B10H10]2−,[B12H12]2−, and [B10Cl10]2−: Complexation and accompanying processes. Russ. J. Inorg. Chem. 2017, 62, 1673–1702. [Google Scholar] [CrossRef]
- Avdeeva, V.V.; Malinina, E.A.; Zhizhin, K.Y.; Kuznetsov, N.T. Salts and Complexes Containing the Decachloro-closo-Decaborate Anion. Russ. J. Coord. Chem. 2021, 47, 519–545. [Google Scholar] [CrossRef]
- Kravchenko, E.A.; Gippius, A.A.; Kuznetsov, N.T. Noncovalent Interactions in Compounds Based on Perchlorinated Boron Cluster as Monitored by 35Cl NQR. Russ. J. Inorg. Chem. 2020, 65, 546–566. [Google Scholar] [CrossRef]
- Knapp, C. Weakly coordinating anions: Halogenated borates and dodecaborates. In Comprehensive Inorg. Chem. II, 2nd ed.; Reedijk, J., Poeppelmeier, K., Eds.; Elsevier: Amsterdam, The Netherlands, 2013; pp. 651–679. [Google Scholar] [CrossRef]
- Avdeeva, V.V.; Malinina, E.A.; Zhizhin, K.Y.; Bernhardt, E.; Kuznetsov, N.T. Structural Diversity of Dimer Clusters Based on the Octadecahydro-Eicosaborate Anion. J. Struct. Chem. 2019, 60, 692–712. [Google Scholar] [CrossRef]
- Avdeeva, V.V.; Korolenko, S.E.; Malinina, E.A.; Kuznetsov, N.T. Solvent Molecules as Ligands in Coordination Compounds of Metals with Boron Cluster Anions and Their Derivatives (A Review). Russ. J. Gen. Chem. 2022, 92, 393–417. [Google Scholar] [CrossRef]
- Avdeeva, V.V.; Malinina, E.A.; Kuznetsov, N.T. Isomerism in Salts and Complexes with Boron Cluster Anions [B10H10]2– and [B20H18]2–. Russ. J. Inorg. Chem. 2020, 65, 335–358. [Google Scholar] [CrossRef]
- Avdeeva, V.V.; Malinina, E.A.; Zhizhin, K.Y.; Kuznetsov, N.T. Structural Diversity of Cationic Copper (II) Complexes with Neutral Nitrogen-Containing Organic Ligands in Compounds with Boron Cluster Anions and Their Derivatives. Russ. J. Inorg. Chem. 2020, 65, 514–534. [Google Scholar] [CrossRef]
- Zhizhin, K.Y.; Zhdanov, A.P.; Kuznetsov, N.T. Derivatives of closo-decaborate anion [B10H10]2− with exo-polyhedral substituents. Russ. J. Inorg. Chem. 2010, 55, 2089–2127. [Google Scholar] [CrossRef]
- Stogniy, M.Y.; Erokhina, S.A.; Sivaev, I.B.; Bregadze, V.I. Nitrilium derivatives of polyhedral boron compounds (boranes, carboranes, metallocarboranes): Synthesis and reactivity. Phosphorus Sulfur Silicon Relat. Elem. 2019, 194, 983–988. [Google Scholar] [CrossRef]
- Sivaev, I.B.; Prikaznov, A.V.; Naoufal, D. Fifty years of the closo-decaborate anion chemistry. Collect. Czechoslov. Chem. Commun. 2010, 75, 1149–1199. [Google Scholar] [CrossRef]
- Hansen, B.R.; Paskevicius, M.; Li, H.W.; Akiba, E.; Jensen, T.R. Metal boranes: Progress and applications. Coord. Chem. Rev. 2016, 323, 60–70. [Google Scholar] [CrossRef]
- Sivaev, I.B.; Bregadze, V.I.; Sjöberg, S. Chemistry of closo-dodecaborate anion [B12H12]2−: A review. Collect. Czechoslov. Chem. Commun. 2002, 67, 679–727. [Google Scholar] [CrossRef]
- Sivaev, I.B.; Stogniy, M.Y. Mercury derivatives of polyhedral boranes, carboranes, and metallacarboranes. Russ. Chem. Bull. 2019, 68, 217–253. [Google Scholar] [CrossRef]
- Sivaev, I.B. Functional group directed B–H activation of polyhedral boron hydrides by transition metal complexes. Russ. J. Inorg. Chem. 2021, 66, 1289–1342. [Google Scholar] [CrossRef]
- Au, Y.K.; Xie, Z. Recent advances in transition metal-catalyzed selective BH functionalization of o-carboranes. Bull. Chem. Soc. Jpn. 2021, 94, 879–899. [Google Scholar] [CrossRef]
- Hamdaoui, M.; Liu, F.; Cornaton, Y.; Lu, X.; Shi, X.; Zhang, H.; Liu, J.; Spingler, B.; Djukic, J.-P.; Duttwyler, S. An Iridium-Stabilized Borenium Intermediate. J. Am. Chem. Soc. 2022, 144, 18359–18374. [Google Scholar] [CrossRef]
- Tsang, M.Y.; Vinas, C.; Teixidor, F.; Planas, J.G.; Conde, N.; SanMartin, R.; Herrero, M.T.; Domínguez, E.; Lledós, A.; Vidossich, P.; et al. Synthesis, structure, and catalytic applications for ortho-and meta-carboranyl based NBN pincer-Pd complexes. Inorg. Chem. 2014, 53, 9284–9295. [Google Scholar] [CrossRef] [PubMed]
- Sivaev, I.B.; Stogniy, M.Y.; Bregadze, V.I. Transition metal complexes with carboranylphosphine ligands. Coord. Chem. Rev. 2021, 436, 213795. [Google Scholar] [CrossRef]
- Drozdova, V.V.; Malinina, E.A.; Polyakova, I.N.; Razgonyaeva, G.A.; Zhizhin, K.Y.; Kuznetsov, N.T. Reactions of the closo-dodecaborate anion B12H122− with hydrogen halides in dichloroethane. Russ. J. Inorg. Chem. 2007, 52, 52–57. [Google Scholar] [CrossRef]
- Ivanov, S.V.; Ivanova, S.M.; Miller, S.M.; Anderson, O.P.; Solntsev, K.A.; Strauss, S.H. Fluorination of B10H102− with an N-Fluoro Reagent. A New Way To Transform B-H Bonds into B-F Bonds. Inorg. Chem. 1996, 35, 6914–6915. [Google Scholar] [CrossRef]
- Kubasov, A.S.; Matveev, E.Y.; Klyukin, I.N.; Nichugovskiy, A.I.; Zhizhin, K.Y.; Kuznetsov, N.T. Silver(I) complexes with substituted derivatives of the boron cluster anions as ligands. Inorg. Chim. Acta 2020, 510, 119749. [Google Scholar] [CrossRef]
- Avdeeva, V.V.; Polyakova, I.N.; Vologzhanina, A.V.; Malinina, E.A.; Zhizhin, K.Y.; Kuznetsov, N.T. Positional isomers of mononuclear silver(I) anionic complex [Ag(Ph3P)2[B10H10-xClx]]−(x = 0 or 1) with apically and equatorially coordinated decahydrido-closo-decaborate and 2-chlorononahydrido-closo-decaborate ligands. Polyhedron 2017, 123, 396–403. [Google Scholar] [CrossRef]
- Matveev, E.Y.; Novikov, I.V.; Kubasov, A.S.; Retivov, V.M.; Zhizhin, K.Y.; Kuznetsov, N.T. Nickel (II) Complexes with Azaheterocyclic Ligands and 2-Hydroxy-closo-Decaborate Anion [2-B10H9OH]2–. Russ. J. Inorg. Chem. 2021, 66, 187–192. [Google Scholar] [CrossRef]
- Malinina, E.A.; Korolenko, S.E.; Zhdanov, A.P.; Avdeeva, V.V.; Privalov, V.I.; Kuznetsov, N.T. Metal-Promoted Exopolyhedral Substitution of Terminal Hydrogen Atoms in the closo-Decaborate Anion [B10H10]2– in the Presence of Copper (II): Formation of the Substituted Derivative [2-B10H9OH]2–. J. Clust. Sci. 2021, 32, 755–763. [Google Scholar] [CrossRef]
- Peymann, T.; Knobler, C.B.; Hawthorne, M.F. A Study of the Sequential Acid-Catalyzed Hydroxylation of Dodecahydro-closo-dodecaborate (2−). Inorg. Chem. 2000, 39, 1163–1170. [Google Scholar] [CrossRef]
- Hertler, W.R.; Raasch, M.S. Chemistry of Boranes. XIV. Amination of B10H10−2 and B12H12−2 with Hydroxylamine-O-sulfonic Acid. J. Am. Chem. Soc. 1964, 86, 3661–3668. [Google Scholar] [CrossRef]
- Zhdanov, A.P.; Voinova, V.V.; Klyukin, I.N.; Buzanov, G.A.; Grigor’ev, M.S.; Zhizhin, K.Y.; Kuznetsov, N.T. Complex [Ag(PPh3)4][2-B10H9NH3·2DMF]: Synthesis and Structure. Russ. J. Coord. Chem. 2019, 45, 563–568. [Google Scholar] [CrossRef]
- Orlova, A.M.; Sivaev, I.B.; Lagun, V.L.; Katser, S.B.; Solntsev, K.A.; Kuznetsov, N.T. Synthesis and structure of PbBipy-2-(1-B10H9S(CH3)2)2. Koord. Khim. 1993, 19, 116–121. [Google Scholar]
- Elrington, M.; Greenwood, N.N.; Kennedy, J.D.; Thornton-Pett, M. Ruthenium(II) complexes of closo-dodecaboranyl anions and the molecular structure of the pileo thirteen-vertex ruthenaborane [(PPh3)2ClRuB12H11(NEt3)]. J. Chem. Soc. Dalton Trans. 1987, 451–456. [Google Scholar] [CrossRef]
- Kirchmann, M.; Wesemann, L. η1 and η2 Coordination of 1-amino-closo-dodecaborate. Dalton Trans. 2008, 2144–2148. [Google Scholar] [CrossRef] [PubMed]
- Kirchmann, M.; Wesemann, L. Amino-closo-dodecaborate—A new ligand in coordination chemistry. Dalton Trans. 2008, 444–446. [Google Scholar] [CrossRef]
- Knoth, W.H.; Hertler, W.R.; Muetterties, E.L. Chemistry of Boranes. XXIII. B10H9S(CH3)2− and B10H8[S(CH3)2]2. Inorg. Chem. 1965, 4, 280–287. [Google Scholar] [CrossRef]
- Golubev, A.V.; Kubasov, A.S.; Turyshev, E.S.; Bykov, A.Y.; Zhizhin, K.Y.; Kuznetsov, N.T. Perbrominated Sulfonium-Substituted closo-Decaborates with exo-Polyhedral Amino Groups [2-B10Br9S((CH2)nNH2)2]– (n = 1–3). Russ. J. Inorg. Chem. 2020, 65, 1333–1342. [Google Scholar] [CrossRef]
- Malinina, E.A.; Korolenko, S.E.; Goeva, L.V.; Kuznetsov, N.T. Synthesis and Structure of New Water-Soluble Ag(I) and Pb(II) Complexes with Sulfonyl-Substituted Derivatives of the closo-Decaborate Anion. Dokl. Chem. 2018, 483, 297–300. [Google Scholar] [CrossRef]
- Brattsev, V.A.; Morris, J.H. Advances in Neutron Capture Therapy; Larsson, B., Crawford, J., Weinreich, R., Eds.; Elsevier: Amsterdam, The Netherlands, 1997; Volume 2, p. 51. [Google Scholar]
- Broomhead, J.A.; Lynch, M.J. The use of the borocaptate anion as a ligand. Synthesis and X-ray crystal structure of pentaammine (1-thiolato-closo-undecahydrododecaborane) ruthenium(III) dihydrate. Inorg. Chim. Acta 1995, 240, 19–23. [Google Scholar] [CrossRef]
- Zhizhin, K.Y.; Mustaysta, V.N.; Malinina, E.A.; Votinova, N.A.; Matveev, E.Y.; Goeva, L.V.; Kuznetsov, N.T. Interaction of closo-decaborate anion B10H102- with cyclic ethers. Russ. J. Inorg. Chem. 2004, 49, 180–189. [Google Scholar]
- Kubasov, A.S.; Matveev, E.Y.; Retivov, V.M.; Akimov, S.S.; Razgonyaeva, G.A.; Polyakova, I.N.; Votinova, N.A.; Zhizhin, K.Y.; Kuznetsov, N.T. Nickel(II) complexes with nitrogen-containing derivatives of the closo-decaborate anion. Russ. Chem. Bull. 2014, 63, 187. [Google Scholar] [CrossRef]
- Zhizhin, K.Y.; Mustyatsa, V.N.; Malinina, E.A.; Matveev, E.Y.; Goeva, L.V.; Polyakova, I.N.; Kuznetsov, N.T. Nucleophilic cleavage of cyclic substituents in derivatives of the closo-decaborate anion. Russ. J. Inorg. Chem. 2005, 50, 243. [Google Scholar]
- Akimov, S.S.; Matveev, E.Y.; Kubasov, A.S.; Razgonyaeva, G.A.; Zhizhin, K.Y.; Kuznetsov, N.T. Polydentate ligands based on closo-decaborate anion for the synthesis of gadolinium(III) complexes. Russ. Chem. Bull. 2013, 62, 1417–1421. [Google Scholar] [CrossRef]
- Sivaev, I.B.; Katser, S.B.; Solntsev, K.A.; Kuznetsov, N.T. Some peculiarities of the chemistry of the B12H11SCN2– anion: Crystal structure of (thiocyanato)undecahydro-closo-dodecaborates. Russ. J. Inorg. Chem. 1995, 40, 779. [Google Scholar]
- Tikhonova, I.A.; Shubina, E.S.; Dolgushin, F.M.; Tugashov, K.I.; Teplitskaya, L.N.; Filin, A.M.; Sivaev, I.B.; Petrovskii, P.V.; Furin, G.G.; Bregadze, V.I.; et al. Crown compounds for anions. Sandwich complex of cyclic trimeric perfluoro-o-phenylenemercury with [B12H11SCN]2– anion. Russ. Chem. Bull. 2003, 52, 594–600. [Google Scholar] [CrossRef]
- Ng, L.L.; Ng, B.K.; Shelly, K.; Knobler, C.B.; Hawthorne, M.F. Structural analysis of [Et3NH][Cu(1-B10H9N2)2] and [Et3NH][1-B10H9N2]. Inorg. Chem. 1991, 30, 4278–4280. [Google Scholar] [CrossRef]
- Schramm, K.D.; Ibers, J.A. A linear RN2 transition metal linkage. The structure of Ru(H2)(N2)(B10H8)(SMe2)(PPh3)3.3C6H6. Inorg. Chem. 1977, 16, 3287–3293. [Google Scholar] [CrossRef]
- Jacob, L.; Rzeszotarska, E.; Pietrzak, A.; Young Jr, V.G.; Kaszyński, P. Synthesis, Structural Analysis, and Functional Group Interconversion in the [closo-B10H8-1, 10-X2]2– (X = CN, [OCRNMe2]+, OCOR, and [OH2]+) Derivatives. Eur. J. Inorg. Chem. 2020, 2020, 3083–3093. [Google Scholar] [CrossRef]
- Hertler, W.R.; Knoth, W.H.; Muetterties, E.L. Chemistry of Boranes. XXII. Polyhedral Rearrangement of Derivatives of B10H102− and B12H122−. J. Am. Chem. Soc. 1964, 86, 5434–5439. [Google Scholar] [CrossRef]
- Guschlbauer, J.; Shaughnessy, K.H.; Pietrzak, A.; Chung, M.C.; Sponsler, M.B.; Kaszyński, P. [closo-B10H8-1, 10-(CN)2]2– as a Conduit of Electronic Effects: Comparative Studies of Fe···Fe Communication in [{(η5-Cp)(dppe)Fe}2{μ2-(NC-X-CN)}]n+ (n = 0, 2). Organometallics 2021, 40, 2504–2515. [Google Scholar] [CrossRef]
- Dziova, A.E.; Avdeeva, V.V.; Polyakova, I.N.; Belousova, O.N.; Malinina, E.A.; Kuznetsov, N.T. exo-Polyhedral substitution in B10H102− anion induced by redox reactions in the Cu(I)-B10H102−-L system (L = bipy, bpa). Dokl. Chem. 2011, 440, 253–256. [Google Scholar] [CrossRef]
- Avdeeva, V.V.; Dziova, A.E.; Polyakova, I.N.; Goeva, L.V.; Malinina, E.A.; Kuznetsov, N.T. Redox, complexation, and substitution reactions in [Cu2B10H10]-2, 2′-bipyridylamine-CH3CN system. Russ. J. Inorg. Chem. 2013, 58, 657–663. [Google Scholar] [CrossRef]
- Mahfouz, N.; Abi Ghaida, F.; El Hajj, Z.; Diab, M.; Floquet, S.; Mehdi, A.; Naoufal, D. Recent Achievements on Functionalization within closo-Decahydrodecaborate [B10H10]2− Clusters. ChemistrySelect 2022, 7, e202200770. [Google Scholar] [CrossRef]
- Retivov, V.M.; Matveev, E.Y.; Lisovskiy, M.V.; Razgonyaeva, G.A.; Ochertyanova, L.I.; Zhizhin, K.Y.; Kuznetsov, N.T. Nucleophilic substitution in closo-decaborate [B10H10]2− in the presence of carbocations. Russ. Chem. Bull. 2010, 59, 550–555. [Google Scholar] [CrossRef]
- Avdeeva, V.V.; Vologzhanina, A.V.; Malinina, E.A.; Kuznetsov, N.T. Dihydrogen Bonds in Salts of Boron Cluster Anions [BnHn]2− with Protonated Heterocyclic Organic Bases. Crystals 2019, 9, 330. [Google Scholar] [CrossRef]
- Goeva, L.V.; Zhuchkova, A.F.; Malinina, E.A.; Korolenko, S.E.; Avdeeva, V.V.; Kuznetsov, N.T. Radiation-Chemical Transformations of 7-NH3-4-CH3-Coumarin Decahydro-closo-Decaborate as a Potential Inhibitor of Free Radicals. Russ. J. Inorg. Chem. 2022, 67, 1144–1150. [Google Scholar] [CrossRef]
- Avdeeva, V.V.; Polyakova, I.N.; Churakov, A.V.; Vologzhanina, A.V.; Malinina, E.A.; Zhizhin, K.Y.; Kuznetsov, N.T. Complexation and exopolyhedral substitution of the terminal hydrogen atoms in the decahydro-closo-decaborate anion in the presence of cobalt(II). Polyhedron 2019, 162, 65–70. [Google Scholar] [CrossRef]
- Zhizhin, K.Y.; Vovk, O.O.; Malinina, E.A.; Mustyatsa, V.N.; Goeva, L.V.; Polyakova, I.N.; Kuznetsov, N.T. Interaction between a Decahydro-closo-Decaborate (2–) Anion and Aliphatic Carboxylic Acids. Russ. J. Coord. Chem. 2001, 27, 613–619. [Google Scholar] [CrossRef]
- Zhizhin, K.Y.; Malinina, E.A.; Polyakova, I.N.; Lisovskij, M.V.; Kuznetsov, N.T. Acid-catalyzed nucleophilic substitution in the closo-decaborate B10H102- anion. Russ. J. Inorg. Chem. 2002, 47, 1168. [Google Scholar]
- Malinina, E.A.; Goeva, L.V.; Kuznetsov, N.T. (2009). Multicenter interactions in lead (II) coordination compounds with BnHn2− = 6, 10, 12) cluster anions and their derivatives. Russ. J. Inorg. Chem. 2009, 54, 417–424. [Google Scholar] [CrossRef]
- Avdeeva, V.V.; Polyakova, I.N.; Goeva, L.V.; Malinina, E.A.; Kuznetsov, N.T. [2,6(9)-B10H8>(O)2CCH3]− and [2,7(8)-B10H8(OC(O)CH3)2]2− derivatives in synthesis of position isomers of the [B10H8(OC(O)CH3)(OH)]2− anion with the 2,6(9)-and 2,7(8)-arrangement of functional groups. Russ. J. Inorg. Chem. 2014, 59, 1247–1258. [Google Scholar] [CrossRef]
- Voinova, V.V.; Klyukin, I.N.; Zhdanov, A.P.; Grigor’ev, M.S.; Zhizhin, K.Y.; Kuznetsov, N.T. Synthesis of New Boron-Containing Ligands and Their Hafnium (IV) Complexes. Russ. J. Inorg. Chem. 2020, 65, 839–845. [Google Scholar] [CrossRef]
- Zhang, Y.; Sun, Y.; Lin, F.; Liu, J.; Duttwyler, S. Rhodium (III)-Catalyzed Alkenylation–Annulation of closo-Dodecaborate Anions through Double B-H Activation at Room Temperature. Angew. Chem. 2016, 128, 15838–15843. [Google Scholar] [CrossRef]
- Zhang, Y.; Wang, T.; Wang, L.; Sun, Y.; Lin, F.; Liu, J.; Duttwyler, S. RhIII-Catalyzed Functionalization of closo-Dodecaborates by Selective B-H Activation: Bypassing Competitive C-H Activation. Chem. A Eur. J. 2018, 24, 15812–15817. [Google Scholar] [CrossRef] [PubMed]
- Sun, Y.; Zhang, J.; Zhang, Y.; Liu, J.; van der Veen, S.; Duttwyler, S. The closo-Dodecaborate Dianion Fused with Oxazoles Provides 3D Diboraheterocycles with Selective Antimicrobial Activity. Chem. A Eur. J. 2018, 24, 10364–10371. [Google Scholar] [CrossRef]
- Zhizhin, K.Y.; Malinina, E.A.; Goeva, L.V.; Chernyavskaya, A.S.; Ivanov, S.V.; Luk’yanets, E.A.; Kuznetsov, N.T. New boron-containing water-soluble phthalocyanine. Dokl. Akad. Nauk Ross. Akad. Nauk 1997, 357, 206–208. [Google Scholar]
- Fabris, C.; Jori, G.; Giuntini, F.; Roncucci, G. Photosensitizing properties of a boronated phthalocyanine: Studies at the molecular and cellular level. J. Photochem. Photobiol. B Biol. 2001, 64, 1–7. [Google Scholar] [CrossRef]
- Sivaev, I.B.; Bregadze, V.I.; Gül, A.; Mironovc, A.F. Boron-containing phthalocyanines and porphyrazines. Macroheterocycles 2012, 5, 292–301. [Google Scholar] [CrossRef]
- Semioshkin, A.; Tsaryova, O.; Zhidkova, O.; Bregadze, V.; Wöhrle, D. Reactions of oxonium derivatives of (B12H12)2− with phenoles, and synthesis and photochemical properties of a phthalocyanine containing four (B12H12)2− groups. J. Porphyr. Phthalocyanines 2006, 10, 1293–1300. [Google Scholar] [CrossRef]
- Patel, H.; Takagaki, M.; Bode, B.P.; Snajdr, I.; Patel, D.; Sharman, C.; Bux, M.; Bux, S.; Kotara, M.; Hosmane, N.S. Carborane-appended saccharides: Prime candidates for boron neutron capture therapy (BNCT) clinical trials. Biochem. Biophys. J. Neutron Ther. Cancer Treat. 2013, 1, 15–21. [Google Scholar]
- Jin, G.X. Advances in the chemistry of organometallic complexes with 1, 2-dichalcogenolato-o-carborane ligands. Coord. Chem. Rev. 2004, 248, 587–602. [Google Scholar] [CrossRef]
- Liu, S.; Han, Y.F.; Jin, G.X. Formation of direct metal–metal bonds from 16-electron “pseudo-aromatic” half-sandwich complexes Cp″M [E2C2(B10H10)]. Chem. Soc. Rev. 2007, 36, 1543–1560. [Google Scholar] [CrossRef] [PubMed]
- Jain, L.; Jain, V.K.; Kushwah, N.; Pal, M.K.; Wadawale, A.P.; Bregadze, V.I.; Glazun, S.A. Chalcogenocarboranes: A family of multifaceted sterically demanding ligands. Coord. Chem. Rev. 2014, 258, 72–118. [Google Scholar] [CrossRef]
- Fontanet, M.; Rodríguez, M.; Fontrodona, X.; Romero, I.; Viñas, C.; Teixidor, F. Intramolecular hydrogen bonding stabilizes the nuclearity of complexes. A comparative study based on the H-carborane and Me-carborane framework. Dalton Trans. 2015, 44, 10399–10409. [Google Scholar] [CrossRef]
- Li, Z.; Choquesillo-Lazarte, D.; Fraile, J.; Viñas, C.; Teixidor, F.; Planas, J.G. Rational design of carborane-based Cu 2-paddle wheel coordination polymers for increased hydrolytic stability. Dalton Trans. 2022, 51, 1137–1143. [Google Scholar] [CrossRef]
- Kennedy, R.D.; Krungleviciute, V.; Clingerman, D.J.; Mondloch, J.E.; Peng, Y.; Wilmer, C.E.; Mirkin, C.A. Carborane-based metal–organic framework with high methane and hydrogen storage capacities. Chem. Mater. 2013, 25, 3539–3543. [Google Scholar] [CrossRef]
- Choi, S.; Lee, H.E.; Ryu, C.H.; Lee, J.; Lee, J.; Yoon, M.; Kim, Y.; Park, M.H.; Lee, K.M.; Kim, M. Synthesis of o-carborane-functionalized metal–organic frameworks through ligand exchanges for aggregation-induced emission in the solid state. Chem. Commun. 2019, 55, 11844–11847. [Google Scholar] [CrossRef]
- Bae, Y.S.; Farha, O.K.; Spokoyny, A.M.; Mirkin, C.A.; Hupp, J.T.; Snurr, R.Q. Carborane-based metal–organic frameworks as highly selective sorbents for CO2 over methane. Chem. Commun. 2008, 4135–4137. [Google Scholar] [CrossRef]
- Spokoyny, A.M.; Farha, O.K.; Mulfort, K.L.; Hupp, J.T.; Mirkin, C.A. Porosity tuning of carborane-based metal–organic frameworks (MOFs) via coordination chemistry and ligand design. Inorg. Chim. Acta 2010, 364, 266–271. [Google Scholar] [CrossRef]
- Li, Z.; Núñez, R.; Light, M.E.; Ruiz, E.; Teixidor, F.; Vinñas, C.; Ruiz-Molina, D.; Roscini, C.; Planas, J.G. Water-Stable Carborane-Based Eu3+/Tb3+ Metal–Organic Frameworks for Tunable Time-Dependent Emission Color and Their Application in Anticounterfeiting Bar-Coding. Chem. Mater. 2022, 34, 4795–4808. [Google Scholar] [CrossRef] [PubMed]
- Fisher, S.P.; McArthur, S.G.; Tej, V.; Lee, S.E.; Chan, A.L.; Banda, I.; Gregory, A.; Berkley, K.; Tsay, C.; Rheingold, A.L.; et al. Strongly Coordinating Ligands To Form Weakly Coordinating Yet Functional Organometallic Anions. J. Am. Chem. Soc. 2019, 142, 251–256. [Google Scholar] [CrossRef]
- Wang, Q.-Y.; Wang, J.; Wang, S.; Wang, Z.-Y.; Cao, M.; He, C.-L.; Yang, J.-Q.; Zang, S.-Q.; Mak, T.C.W. o-Carborane-Based and Atomically Precise Metal Clusters as Hypergolic Materials. J. Am. Chem. Soc. 2020, 142, 12010–12014. [Google Scholar] [CrossRef]
- Planas, J.G.; Teixidor, F.; Viñas, C. N,O-Type carborane-based materials. Crystals 2016, 6, 50. [Google Scholar] [CrossRef]
- Di Salvo, F.; Tsang, M.Y.; Teixidor, F.; Viñas, C.; Planas, J.G.; Crassous, J.; Vanthuyne, N.; Aliaga-Alcalde, N.; Ruiz, E.; Coquerel, G.; et al. A Racemic and Enantiopure Unsymmetric Diiron(III) Complex with a Chiral o-Carborane-Based Pyridylalcohol Ligand: Combined Chiroptical, Magnetic, and Nonlinear Optical Properties. Chem. A Eur. J. 2014, 20, 1081–1090. [Google Scholar] [CrossRef] [PubMed]
- Tsang, M.Y.; Rodríguez-Hermida, S.; Stylianou, K.C.; Tan, F.; Negi, D.; Teixidor, F.; Viñas, C.; Choquesillo-Lazarte, D.; Verdugo-Escamilla, C.; Guerrero, M.; et al. Carborane bis-pyridylalcohols as linkers for coordination polymers: Synthesis, crystal structures, and guest-framework dependent mechanical properties. Cryst. Growth Des. 2017, 17, 846–857. [Google Scholar] [CrossRef]
- Tsang, M.Y.; Di Salvo, F.; Teixidor, F.; Vinas, C.; Planas, J.G.; Choquesillo-Lazarte, D.; Vanthuyne, N. Is molecular chirality connected to supramolecular chirality? The particular case of chiral 2-pyridyl alcohols. Cryst. Growth Des. 2015, 15, 935–945. [Google Scholar] [CrossRef]
- Tsang, M.Y.; Viñas, C.; Teixidor, F.; Choquesillo-Lazarte, D.; Giner Planas, J. Crystalline Inclusion Compounds of a Palladacyclic Tetraol Host Featuring o-Carborane Units. Eur. J. Inorg. Chem. 2017, 2017, 4589–4598. [Google Scholar] [CrossRef]
- Tsang, M.Y.; Teixidor, F.; Vinas, C.; Choquesillo-Lazarte, D.; Aliaga-Alcalde, N.; Planas, J.G. Synthesis, structures and properties of ironIII complexes with (o-carboranyl) bis-(2-hydroxymethyl) pyridine: Racemic versus meso. Inorg. Chim. Acta 2016, 448, 97–103. [Google Scholar] [CrossRef]
- Ivanov, S.V.; Lupinetti, A.J.; Miller, S.M.; Anderson, O.P.; Solntsev, K.A.; Strauss, S.H. Regioselective Fluorination of CB11H12-. New Weakly Coordinating Anions. Inorg. Chem. 1995, 34, 6419–9420. [Google Scholar] [CrossRef]
- Jelinek, T.; Baldwin, P.; Scheidt, W.R.; Reed, C.A. New weakly coordinating anions. 2. Derivatization of the carborane anion CB11H12. Inorg. Chem. 1993, 32, 1982–1990. [Google Scholar] [CrossRef]
- Ivanov, S.V.; Rockwell, J.J.; Miller, S.M.; Anderson, O.P.; Solntsev, K.A.; Strauss, S.H. Reactions of CB9H10-with electrophiles, including the regioselective mono-and dihalogenation of the lower belt. Inorg. Chem. 1996, 35, 7882–7891. [Google Scholar] [CrossRef]
- Patmore, N.J.; Ingleson, M.J.; Mahon, M.F.; Weller, A.S. Investigation of the synthesis of {Mo(η5-C5H5)(CO)3}+ fragments partnered with the monoanionic carboranes [closo-CB11H11Br]−, [closo-CB11H6Br6]− and [closo-HCB11Me11]− by silver saltmetathesis and hydride abstraction. Dalton Trans. 2003, 2894–2904. [Google Scholar] [CrossRef]
- Mak, T.W.; Reed, C. Structural diversity in silver salts of hexahalogenocarborane anions, Ag(CB11H6X6) (X= Cl, Br or I). J. Chem. Soc. Dalton Trans. 1997, 1213–1218. [Google Scholar] [CrossRef]
- De Crisci, A.G.; Kleingardner, J.; Lough, A.J.; Larsen, A.; Fekl, U. A weakly coordinating anion as a tripodal “Br3”-ligand for platinum (IV)—Structure of [(closo-CB11H6Br6) PtMe3]. Can. J. Chem. 2009, 87, 95–102. [Google Scholar] [CrossRef]
- Tsang, C.W.; Yang, Q.; Sze, E.T.P.; Mak, T.C.; Chan, D.T.; Xie, Z. Weakly coordinating nature of a carborane cage bearing different halogen atoms. Synthesis and structural characterization of icosahedral mixed halocarborane anions, 1-H-CB11Y5X6-(X, Y= Cl, Br, I). Inorg. Chem. 2000, 39, 5851–5858. [Google Scholar] [CrossRef]
- Moxham, G.L.; Douglas, T.M.; Brayshaw, S.K.; Kociok-Köhn, G.; Lowe, J.P.; Weller, A.S. The role of halogenated carborane monoanions in olefin hydrogenation catalysed by cationic iridium phosphine complexes. Dalton Trans. 2006, 5492–5505. [Google Scholar] [CrossRef]
- Lassahn, P.G.; Lozan, V.; Wu, B.; Weller, A.S.; Janiak, C. Dihalogeno (diphosphane) metal (ii) complexes (metal= Co, Ni, Pd) as pre-catalysts for the vinyl/addition polymerization of norbornene–elucidation of the activation process with B(C6F5)3/AlEt3 or Ag [closo-1-CB11H12] and evidence for the in situ formation of “naked” Pd2+ as a highly active species. Dalton Trans. 2003, 4437–4450. [Google Scholar] [CrossRef]
- Moxham, G.L.; Randell-Sly, H.E.; Brayshaw, S.K.; Woodward, R.L.; Weller, A.S.; Willis, M.C. A Second-Generation Catalyst for Intermolecular Hydroacylation of Alkenes and Alkynes Using β-S-Substituted Aldehydes: The Role of a Hemilabile P-O-P Ligand. Angew. Chem. Int. Ed. 2006, 45, 7618–7622. [Google Scholar] [CrossRef] [PubMed]
- Moxham, G.L.; Randell-Sly, H.; Brayshaw, S.K.; Weller, A.S.; Willis, M.C. Intermolecular Alkene and Alkyne Hydroacylation with β-S-Substituted Aldehydes: Mechanistic Insight into the Role of a Hemilabile P–O–P Ligand. Chem. A Eur. J. 2008, 14, 8383–8397. [Google Scholar] [CrossRef] [PubMed]
- Masland, J.; Diaz, J.; Eady, S.; Lobkovsky, E.; Larsen, A. Hexakis (acetonitrile-κN) ruthenium (II) bis (hexabromocarbadodecaborate) acetonitrile solvate. Acta Crystallogr. Sect. E Struct. Rep. Online 2010, 66, m325–m326. [Google Scholar] [CrossRef] [PubMed]
- Kennedy, R.D.; Stern, C.L.; Mirkin, C.A. Zwitterionic weak-link approach complexes based on anionic icosahedral monocarbaboranes. Inorg. Chem. 2013, 52, 14064–14071. [Google Scholar] [CrossRef]
- Spokoyny, A.M.; Machan, C.W.; Clingerman, D.J.; Rosen, M.S.; Wiester, M.J.; Kennedy, R.D.; Stern, C.L.; Sarjeant, A.A.; Mirkin, C.A. A coordination chemistry dichotomy for icosahedral carborane-based ligands. Nat. Chem. 2011, 3, 590–596. [Google Scholar] [CrossRef]
- Jones, P.G. CSD Communication. 2016; Refcode UXITOM. [Google Scholar]
- Yan, H.; Yang, F.; Pan, D.; Lin, Y.; Hohman, J.N.; Solis-Ibarra, D.; Li, F.H.; Dahl, J.E.P.; Carlson, R.M.K.; Tkachenko, B.A.; et al. Sterically controlled mechanochemistry under hydrostatic pressure. Nature 2018, 554, 505–510. [Google Scholar] [CrossRef]
- Zhang, X.; Zhou, Z.; Yan, H. Metal–metal redox synergy in selective B–H activation of ortho-carborane-9,12-dithiolate. Chem. Commun. 2014, 50, 13077–13080. [Google Scholar] [CrossRef]
- Herberhold, M.; Jin, G.X.; Yan, H.; Milius, W.; Wrackmeyer, B. 16- and 18-Electron Cp*Rh complexes with 1,2-dicarba-closo-dodecaborane (12)-1, 2-dichalcogenolato ligands, as studied by multinuclear magnetic resonance. J. Organomet. Chem. 1999, 587, 252–257. [Google Scholar] [CrossRef]
- Zhang, X.; Dai, H.; Yan, H.; Zou, W.; Cremer, D. B–H···π interaction: A new type of nonclassical hydrogen bonding. J. Am. Chem. Soc. 2016, 138, 4334–4337. [Google Scholar] [CrossRef]
- Zou, W.; Zhang, X.; Dai, H.; Yan, H.; Cremer, D.; Kraka, E. Description of an unusual hydrogen bond between carborane and a phenyl group. J. Organomet. Chem. 2018, 865, 114–127. [Google Scholar] [CrossRef]
- Dai, H.; Li, C.X.; Yu, C.; Wang, Z.; Yan, H.; Lu, C. Copper(II) catalyzed domino synthesis of quinoline derivatives from arylamines and alkynes. Org. Chem. Front. 2017, 4, 2008–2011. [Google Scholar] [CrossRef]
- Cao, H.J.; Dai, H.; Zhang, X.; Yan, H.; Lu, C. Synthesis and characterization of Cp*Ir-dithiolene-o-carborane phosphine complexes: A continuous investigation of B-H⋯π interaction. Mol. Phys. 2019, 117, 1287–1297. [Google Scholar] [CrossRef]
- Zhang, X.; Zou, X.; Yan, H. Synthesis of Boron-Fused 1,4-Dithiin via Cobalt-Mediated Disulfuration of Alkyne at the o-Carborane-9,12-dithiolate Unit. Organometallics 2014, 33, 2661–2666. [Google Scholar] [CrossRef]
- Zhang, X.; Tang, X.; Yang, J.; Li, Y.; Yan, H.; Bregadze, V.I. Boron-substituted o-carboranetrithiol to construct trimeric cobalt clusters. Organometallics 2013, 32, 2014–2018. [Google Scholar] [CrossRef]
- Rodríguez-Rey, J.L.; Esteban-Gómez, D.; Platas-Iglesias, C.; Sousa-Pedrares, A. Electronic versus steric control in palladium complexes of carboranyl phosphine-iminophosphorane ligands. Dalton Trans. 2019, 48, 486–503. [Google Scholar] [CrossRef] [PubMed]
- Morel, P.; Schaffer, P.; Valliant, J.F. The synthesis and X-ray crystallographic structure determination of 3-isocyano-1,2-dicarba-closo-dodecaborane-Re (I) complexes. J. Organomet. Chem. 2003, 668, 25–30. [Google Scholar] [CrossRef]
- Asay, M.; Kefalidis, C.E.; Estrada, J.; Weinberger, D.S.; Wright, J.; Moore, C.E.; Lavallo, V. Isolation of a Carborane-Fused Triazole Radical Anion. Angew. Chem. Int. Ed. 2013, 52, 11560–11563. [Google Scholar] [CrossRef] [PubMed]
- Vinogradov, M.M.; Loginov, D.A.; Starikova, Z.A.; Petrovskii, P.V.; Holub, J.; Kudinov, A.R. Nonsymmetrical iron bis (carborane) complexes (η-1-ButNH-1, 7, 9-C3B8H10) Fe (η-9-L-7, 8-C2B9H10)(L = SMe2, NMe3). Russ. Chem. Bull. 2010, 59, 2143–2146. [Google Scholar] [CrossRef]
- Press, L.P.; McCulloch, B.J.; Gu, W.; Chen, C.H.; Foxman, B.M.; Ozerov, O.V. Triflyloxy-substituted carboranes as useful weakly coordinating anions. Chem. Commun. 2015, 51, 14034–14037. [Google Scholar] [CrossRef]
- Jeans, R.J.; Chan, A.P.; Murrell, A.H.; Chouman, H.A.; Rosair, G.M.; Welch, A.J. Metalation of Bis (meta-carborane). J. Organomet. Chem. 2021, 950, 121980. [Google Scholar] [CrossRef]












































| Boron Cluster Anion as a Counterion | Coordination with the Formation of 3c2e MHB Bonds | Coordination by a Substituent | Combined Coordination: MHB + Substituent |
|---|---|---|---|
| [Ni(Bipy)3][B10H9OH] [Ni(Phen)3][B10H9OH] [Ni(Bipy)3][B12H11Cl] [Co(Phen)3][2-B10H9OC(H)O] [CuII(BPA)2(NCCH3)2][2-B10H9BPA]2 [CuII2(bipy)4(µ-CO3)][2-B10H9OH] [Ag(PPh3)4][B10H9NH3] [Ag(PPh3)4][2-B10H9S(CH2N(CO)2C6H4)2] [Ag(PPh3)4][2-B10H9O(CH2)5] [Ag(PPh3)4][2-B10H9O(CH2)4O] | [Et3NH][CuI[1-B10H9N2]2] [Ag(CH3CN)3]2[Ag2[2-B10H9F]2]n [Ag(PPh3)4][(PPh3)2Ag[B10H9Cl]] [Ag2(Ph3P)4[B12H11Cl]] [Ag2(Bipy)2[2-B10H9SH]] [Ag2(Bipy)2[2-B10H9S(CH2C(O)NH2]NO3 (Bu4N)[[(o-C6F4Hg)3]2[B12H11SCN]] (Bu4N)2[[(o-C6F4Hg)3][B12H11SCN]] [(PPh3)2ClRu[B12H11(NEt3)] [Pb[2-B10H9SH]] [Pb(Bipy)2[2-B10H9SH]] [Pb(Bipy)2[1-B10H9SMe2]2] | [Ph3MeP)]2[CpTiCl2[B12H11OH] [Ni(en)[2-B10H9O(CH2)2O(CH2)2NH(CH2)2NH2)]] [Na6(THF)15][Ni[B12H11NH2]]4 [Au(PPh3)[NH2–B12H11]] [RuH2[N2B10H8SMe2](Ph3P)3] [Ru[SB12H11](NH3)5] [(Cp)(dppe)Fe}2[1,10-B10H8(NC)2]·H2O phthalocyanine Al(III), Co(II), Zn(II) complexes Gd(III) and Hf(IV) complexes | [CuI(NCCH3)2[2-B10H9Bipy]] [Ag2(Ph3P)4[B10H9C(O)OCH3]] (Ph4P)2[Pb(Bipy)[2-B10H9OC(O)CH3]2]] [Pb(Bipy)[2-B10H9O(CH2CH2)2OEt]] [Pb(Bipy)(DMF)[2-B10H9OH)]] [Pb(Bipy)(2-B10H9(OCH2CH2)2OEt)] [Pb(Bipy)(DMF)[B10H9OH] [Pb(Bipy)2[2,6(9)-B10H8(OC(O)CH3)(OH)]]2 [Pb(Bipy)2[2,7(8)-B10H8(OC(O)CH3)2)] Bu3MeN[Ru(PPh3)2Cl[B12H11NH2]] Bu4N[Ru(dppb)Cl[B12H11NH2]] [Ru(PPh3)2CO[B12H11NH2]] MePPh3[Rh(PPh3)2[B12H11NH2]] [Rh(Me5Cp)[B12H11NHC(O)NMe2]] [Rh(Me5Cp)[B12H11NHC(O)Ph]] |
| Boron Cluster Anion as a Counterion | Coordination with the Formation of 3c2e MHB Bonds | Coordination by a Substituent | Combined Coordination: MHB + Substituent |
|---|---|---|---|
| [Pd(dppe)2][CB11H11Cl]2]·3CH2Cl2 [(POCOP)Pd(C6D5Br)][HCB11Cl10OTf] [Ru(CH3CN)6][CB11H6Br6] [RhL][CB11H6Cl6] [RhL][CB11H6Br6] (L = diphenylphosphine ligands) [Co(Cp)2][1,2-(3-Ph-1-CH3-3-N3)-1-CB11Cl10] | [Ag(C6H6)2[12-CB11H11F]] [Ag(C6H6)2][6,8-CB9H8F2] | [Ag(C6H6)[12-CB11H11Br]] [MoCp(CO)3(CB11H11Br)] [Ir(PPh3)2H2(1-CB11H6Cl6)] [Cp*Ir{9,10-S2C2(B10H10)}] [Cp*Ir(R3P){9,10-S2C2(B10H10)}] [Cp*Co{9,12-S2C2B10H10}] [Cp*Rh{9,12-S2C2B10H10}] [cis-Rh(Ph2PCH2CH2S-{9-1,7-C2B10H11})2]Cl [cis-Pt(Ph2PCH2CH2S-{1-CB11H11})2] [cis-Pt(Ph2PCH2CH2S-{9-closo-1,7-C2B10H11})Cl2] [cis-Pt(Ph2PCH2CH2S-{9-closo-1,7-C2B10H11})2](BF4)2 [Au2(Ph3P)2S{9,12-S2C2B10H10] [Cu-S-9-closo-1,7-C2B10H11]4 [PdCl2(Ph2PCH2PPh2CN)9B10C2H11] [Re(CO)3L2Br] (L = 3-CN-1,2-B10C2H10] {[(POCOP)Pd][HCB11Cl10OTf]} | [MoCp(CO)3IAg(CB11H11Br)]2 |
Publisher’s Note: MDPI stays neutral with regard to jurisdictional claims in published maps and institutional affiliations. |
© 2022 by the authors. Licensee MDPI, Basel, Switzerland. This article is an open access article distributed under the terms and conditions of the Creative Commons Attribution (CC BY) license (https://creativecommons.org/licenses/by/4.0/).
Share and Cite
Matveev, E.Y.; Avdeeva, V.V.; Zhizhin, K.Y.; Malinina, E.A.; Kuznetsov, N.T. Effect of Nature of Substituents on Coordination Properties of Mono- and Disubstituted Derivatives of Boron Cluster Anions [BnHn]2– (n = 10, 12) and Carboranes with exo-Polyhedral B–X Bonds (X = N, O, S, Hal). Inorganics 2022, 10, 238. https://doi.org/10.3390/inorganics10120238
Matveev EY, Avdeeva VV, Zhizhin KY, Malinina EA, Kuznetsov NT. Effect of Nature of Substituents on Coordination Properties of Mono- and Disubstituted Derivatives of Boron Cluster Anions [BnHn]2– (n = 10, 12) and Carboranes with exo-Polyhedral B–X Bonds (X = N, O, S, Hal). Inorganics. 2022; 10(12):238. https://doi.org/10.3390/inorganics10120238
Chicago/Turabian StyleMatveev, Evgenii Yu., Varvara V. Avdeeva, Konstantin Yu. Zhizhin, Elena A. Malinina, and Nikolay T. Kuznetsov. 2022. "Effect of Nature of Substituents on Coordination Properties of Mono- and Disubstituted Derivatives of Boron Cluster Anions [BnHn]2– (n = 10, 12) and Carboranes with exo-Polyhedral B–X Bonds (X = N, O, S, Hal)" Inorganics 10, no. 12: 238. https://doi.org/10.3390/inorganics10120238
APA StyleMatveev, E. Y., Avdeeva, V. V., Zhizhin, K. Y., Malinina, E. A., & Kuznetsov, N. T. (2022). Effect of Nature of Substituents on Coordination Properties of Mono- and Disubstituted Derivatives of Boron Cluster Anions [BnHn]2– (n = 10, 12) and Carboranes with exo-Polyhedral B–X Bonds (X = N, O, S, Hal). Inorganics, 10(12), 238. https://doi.org/10.3390/inorganics10120238

