NH3 Sensor Based on ZIF-8/CNT Operating at Room Temperature with Immunity to Humidity
Abstract
1. Introduction
2. Results and Discussion
2.1. Material Analysis
2.2. Sensor Fabrication and Gas-Sensing Test
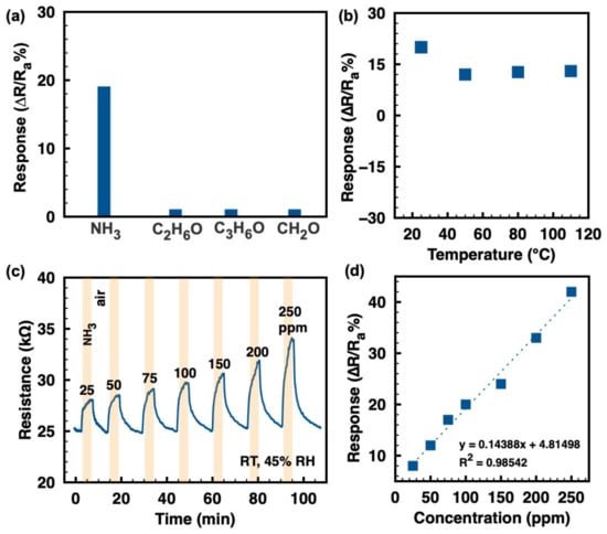
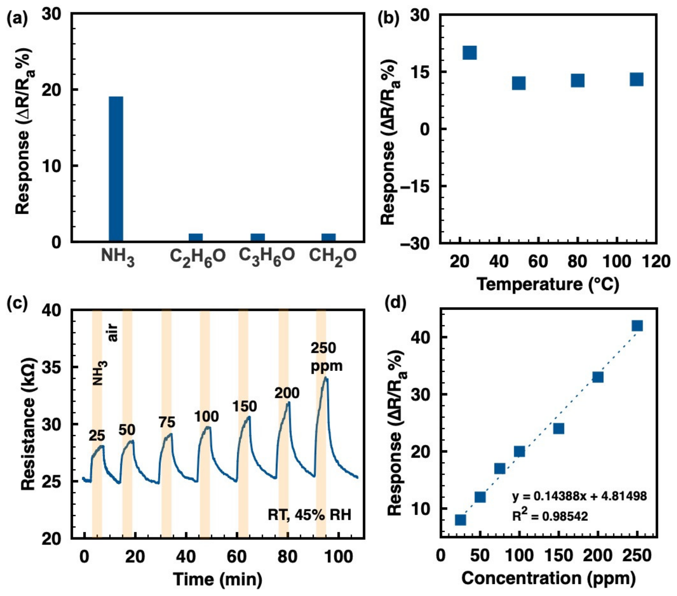
2.3. Gas-Sensing Characteristics
3. Materials and Methods
3.1. ZIF-8/CNT Preparation
3.2. Characterization
4. Conclusions
Supplementary Materials
Author Contributions
Funding
Institutional Review Board Statement
Informed Consent Statement
Data Availability Statement
Acknowledgments
Conflicts of Interest
References
- Kwak, D.; Lei, Y.; Maric, R. Ammonia gas sensors: A comprehensive review. Talanta 2019, 204, 713–730. [Google Scholar] [CrossRef] [PubMed]
- Vikrant, K.; Kumar, V.; Kim, K.-H. Graphene materials as a superior platform for advanced sensing strategies against gaseous ammonia. J. Mater. Chem. A 2018, 6, 22391–22410. [Google Scholar] [CrossRef]
- Aarya, S.; Kumar, Y.; Chahota, R. Recent advances in materials, parameters, performance and technology in ammonia sensors: A review. J. Inorg. Organomet. Polym. Mater. 2020, 30, 269–290. [Google Scholar] [CrossRef]
- Meng, Z.; Stolz, R.M.; Mendecki, L.; Mirica, K.A. Electrically-Transduced Chemical Sensors Based on Two Dimensional Nanomaterials. Chem. Rev. 2019, 119, 478–598. [Google Scholar] [CrossRef] [PubMed]
- Huang, Y.; Jiao, W.; Chu, Z.; Wang, S.; Chen, L.; Nie, X.; Wang, R.; He, X. High sensitivity, humidity-independent, flexible NO2 and NH3 gas sensors based on SnS2 hybrid functional graphene ink. ACS Appl. Mater. Inter. 2019, 12, 997–1004. [Google Scholar] [CrossRef]
- Tang, X.; Raskin, J.-P.; Kryvutsa, N.; Hermans, S.; Slobodian, O.; Nazarov, A.N.; Debliquy, M. An ammonia sensor composed of polypyrrole synthesized on reduced graphene oxide by electropolymerization. Sens. Actuators B Chem. 2020, 305, 127423. [Google Scholar] [CrossRef]
- Huang, X.; Huang, Z.; Zhang, L.; Liu, R.; Lv, Y. Highly efficient cataluminescence gas sensor for acetone vapor based on UIO-66 metal-organic frameworks as preconcentrator. Sens. Actuators B Chem. 2020, 312, 127952. [Google Scholar] [CrossRef]
- Lu, W.G.; Wei, Z.W.; Gu, Z.Y.; Liu, T.F.; Park, J.; Park, J.; Tian, J.; Zhang, M.W.; Zhang, Q.; Gentle, T.; et al. Tuning the structure and function of metal-organic frameworks via linker design. Chem. Soc. Rev. 2014, 43, 5561–5593. [Google Scholar] [CrossRef]
- Howarth, A.J.; Liu, Y.; Li, P.; Li, Z.; Wang, T.C.; Hupp, J.T.; Farha, O.K. Chemical, thermal and mechanical stabilities of metal–organic frameworks. Nat. Rev. Mater. 2016, 1, 1–15. [Google Scholar] [CrossRef]
- Thunberg, J.; Zacharias, S.C.; Hasani, M.; Oyetunji, O.A.; Noa, F.M.A.; Westman, G.; Ohrstrom, L. Hybrid Metal-Organic Framework-Cellulose Materials Retaining High Porosity: ZIF-8@Cellulose Nanofibrils. Inorganics 2021, 9, 84. [Google Scholar] [CrossRef]
- Cravillon, J.; Münzer, S.; Lohmeier, S.-J.; Feldhoff, A.; Huber, K.; Wiebcke, M. Rapid room-temperature synthesis and characterization of nanocrystals of a prototypical zeolitic imidazolate framework. Chem. Mater. 2009, 21, 1410–1412. [Google Scholar] [CrossRef]
- Canivet, J.; Fateeva, A.; Guo, Y.M.; Coasne, B.; Farrusseng, D. Water adsorption in MOFs: Fundamentals and applications. Chem. Soc. Rev. 2014, 43, 5594–5617. [Google Scholar] [CrossRef]
- Qin, Y.; Gui, H.; Bai, Y.; Xie, J. Moisture-Resistant Gas Sensor Derived from ZIF-8/Layered Double Hydroxide/Ti3C2T x Nanocomposites for Trace Isopropanol Detection. ACS Appl. Nano Mater. 2022, 5, 9799–9809. [Google Scholar] [CrossRef]
- Ren, G.; Li, Z.; Yang, W.; Faheem, M.; Xing, J.; Zou, X.; Pan, Q.; Zhu, G.; Du, Y. ZnO@ ZIF-8 core-shell microspheres for improved ethanol gas sensing. Sens. Actuators B Chem. 2019, 284, 421–427. [Google Scholar] [CrossRef]
- Jafari, N.; Zeinali, S.; Shadmehr, J. Room temperature resistive gas sensor based on ZIF-8/MWCNT/AgNPs nanocomposite for VOCs detection. J. Mater. Sci. Mater. Electron. 2019, 30, 12339–12350. [Google Scholar] [CrossRef]
- Khudiar, A.I.; Elttayef, A.K.; Khalaf, M.K.; Oufi, A.M. Fabrication of ZnO@ ZIF-8 gas sensors for selective gas detection. Mater. Res. Express 2020, 6, 126450. [Google Scholar] [CrossRef]
- Liu, Y.; Wang, R.; Zhang, T.; Liu, S.; Fei, T. Zeolitic imidazolate framework-8 (ZIF-8)-coated In2O3 nanofibers as an efficient sensing material for ppb-level NO2 detection. J. Colloid Interface Sci. 2019, 541, 249–257. [Google Scholar] [CrossRef]
- Wang, Y.M.; Wang, X.C.; Qi, B.Y.; Cheng, J.P.; Wang, X.Y.; Shang, Y.Y.; Jia, J.F. Design of SnO2/ZnO@ZIF-8 Hydrophobic Nanofibers for Improved H2S Gas Sensing. Chemistryselect 2021, 6, 5488–5495. [Google Scholar] [CrossRef]
- Nair, S.S.; Illyaskutty, N.; Tam, B.; Yazaydin, A.O.; Emmerich, K.; Steudel, A.; Hashem, T.; Schöttner, L.; Wöll, C.; Kohler, H. ZnO@ ZIF-8: Gas sensitive core-shell hetero-structures show reduced cross-sensitivity to humidity. Sens. Actuators B Chem. 2020, 304, 127184. [Google Scholar] [CrossRef]
- Li, J.; Lu, Y.; Ye, Q.; Cinke, M.; Han, J.; Meyyappan, M. Carbon nanotube sensors for gas and organic vapor detection. Nano Lett. 2003, 3, 929–933. [Google Scholar] [CrossRef]
- Lupan, O.; Postica, V.; Mecklenburg, M.; Schulte, K.; Mishra, Y.K.; Fiedler, B.; Adelung, R. Low powered, tunable and ultra-light aerographite sensor for climate relevant gas monitoring. J. Mater. Chem. A 2016, 4, 16723–16730. [Google Scholar] [CrossRef]
- Cheng, L.; Yan, P.; Yang, X.; Zou, H.; Yang, H.; Liang, H. High conductivity, percolation behavior and dielectric relaxation of hybrid ZIF-8/CNT composites. J. Alloys Compd. 2020, 825, 154132. [Google Scholar] [CrossRef]
- Yoon, J.-W.; Kim, H.-J.; Kim, I.-D.; Lee, J.-H. Electronic sensitization of the response to C2H5OH of p-type NiO nanofibers by Fe doping. Nanotechnology 2013, 24, 444005. [Google Scholar] [CrossRef] [PubMed]
- Jafari, N.; Zeinali, S. Highly rapid and sensitive formaldehyde detection at room temperature using a zif-8/mwcnt nanocomposite. ACS Omega 2020, 5, 4395–4402. [Google Scholar] [CrossRef]
- Abdulla, S.; Mathew, T.L.; Pullithadathil, B. Highly sensitive, room temperature gas sensor based on polyaniline-multiwalled carbon nanotubes (PANI/MWCNTs) nanocomposite for trace-level ammonia detection. Sens. Actuators B Chem. 2015, 221, 1523–1534. [Google Scholar] [CrossRef]
- Yan, W.J.; Chen, Y.L.; Zeng, X.M.; Wu, G.; Jiang, W.; Wei, D.; Ling, M.; Ng, K.W.; Qin, Y.X. Ultrasensitive ethanol sensor based on segregated ZnO-In2O3 porous nanosheets. Appl. Surf. Sci. 2021, 535, 147697. [Google Scholar] [CrossRef]
- Tang, H.; Li, Y.; Sokolovskij, R.; Sacco, L.; Zheng, H.; Ye, H.; Yu, H.; Fan, X.; Tian, H.; Ren, T.-L. Ultra-high sensitive NO2 gas sensor based on tunable polarity transport in CVD-WS2/IGZO pN heterojunction. ACS Appl. Mater. Inter. 2019, 11, 40850–40859. [Google Scholar] [CrossRef]
- Ong, K.G.; Zeng, K.; Grimes, C.A. A wireless, passive carbon nanotube-based gas sensor. IEEE Sens. J. 2002, 2, 82–88. [Google Scholar]
- Liu, Y.Z.; Li, G.R.; Chen, Z.W.; Peng, X.S. CNT-threaded N-doped porous carbon film as binder-free electrode for high-capacity supercapacitor and Li-S battery. J. Mater. Chem. A 2017, 5, 9775–9784. [Google Scholar] [CrossRef]




Publisher’s Note: MDPI stays neutral with regard to jurisdictional claims in published maps and institutional affiliations. |
© 2022 by the authors. Licensee MDPI, Basel, Switzerland. This article is an open access article distributed under the terms and conditions of the Creative Commons Attribution (CC BY) license (https://creativecommons.org/licenses/by/4.0/).
Share and Cite
Yan, W.; Zhou, S.; Ling, M.; Peng, X.; Zhou, H. NH3 Sensor Based on ZIF-8/CNT Operating at Room Temperature with Immunity to Humidity. Inorganics 2022, 10, 193. https://doi.org/10.3390/inorganics10110193
Yan W, Zhou S, Ling M, Peng X, Zhou H. NH3 Sensor Based on ZIF-8/CNT Operating at Room Temperature with Immunity to Humidity. Inorganics. 2022; 10(11):193. https://doi.org/10.3390/inorganics10110193
Chicago/Turabian StyleYan, Wenjun, Shiyu Zhou, Min Ling, XinSheng Peng, and Houpan Zhou. 2022. "NH3 Sensor Based on ZIF-8/CNT Operating at Room Temperature with Immunity to Humidity" Inorganics 10, no. 11: 193. https://doi.org/10.3390/inorganics10110193
APA StyleYan, W., Zhou, S., Ling, M., Peng, X., & Zhou, H. (2022). NH3 Sensor Based on ZIF-8/CNT Operating at Room Temperature with Immunity to Humidity. Inorganics, 10(11), 193. https://doi.org/10.3390/inorganics10110193
