Study on the Influence of Random Vibration of Space-Based Payload on Area-Array Camera Frame-by-Frame Imaging
Abstract
1. Introduction
2. Model of Dynamic Imaging
2.1. Dynamic Frame-by-Frame Imaging Models
2.2. The Exposure Equation of CMOS Camera
2.3. Curvature Distortion Mapping Function of Ground Pixels
2.4. Frequency Domain Image Filtering of Random Vibration
2.5. Image Sharpness Evaluation
3. Results
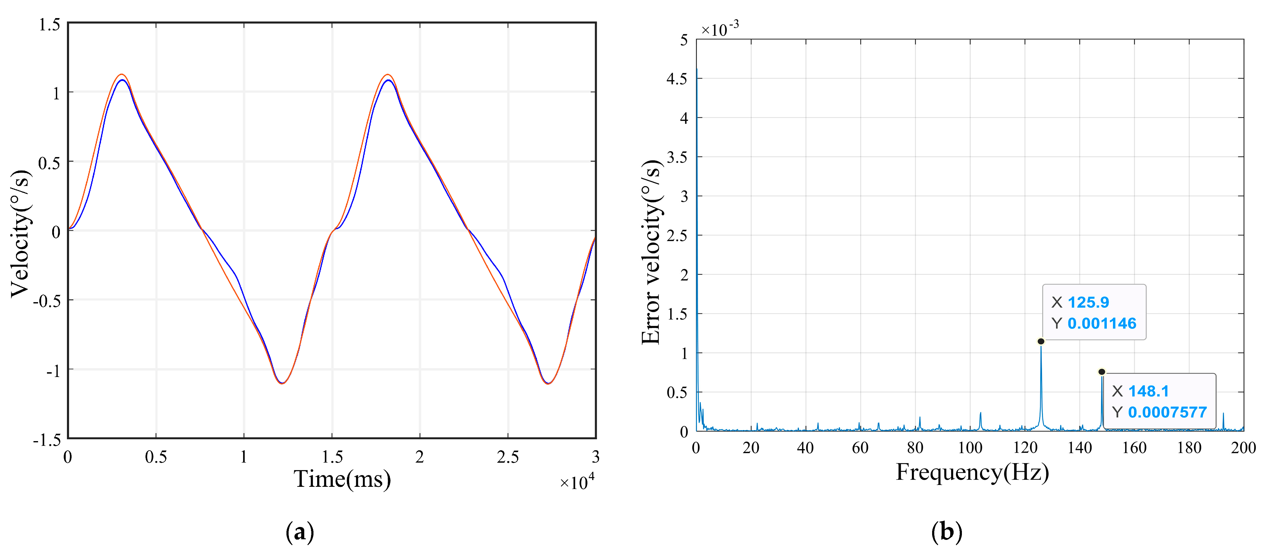
3.1. Ground Vibration Test
3.2. Analysis of Ground Distortion Imaging
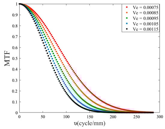
3.3. Analysis the MTF of Sub-Satellite Point Imaging Interfered by Random Vibration
3.4. Analysis the MTF of Dynamic Imaging Interfered by Random Vibration
3.5. Remote Sensing Image Simulation
4. Discussion
- In the process of dynamic imaging, the ground image information becomes larger, and the distortion degree of the output image on the focal plane grows larger with the increasing angle between the optical axis of the camera and the position of the satellite nadir.
- When the attitude angle is a certain value, the MTF drops rapidly with the increasing error of velocity.
- The camera exposure time is determined by the periodically changing attitude angle. When the scanning mirrors scan at the satellite nadir, the camera exposure time is the shortest. With the increasing angle between the optical axis and the satellite nadir, the camera exposure time is extended. When the error of velocity is a certain value, the MTF drops with the axis of symmetry of the satellite nadir.
- In a group of wide, single-frame output images, the error of velocity is caused by the random vibration of the payload mechanism, resulting in an error image shift on the focal plane of the camera. In a set of single-frame images that constitute wide-format imaging, the distortion effect and degradation degree of each single-frame image are different. The single-frame image far away from the satellite nadir has the largest distortion, and the image degradation phenomenon is obvious.
5. Conclusions
Author Contributions
Funding
Institutional Review Board Statement
Informed Consent Statement
Data Availability Statement
Acknowledgments
Conflicts of Interest
References
- Zhu, Z.; Zhou, Y.; Seto, K.C.; Stokes, E.C.; Deng, C.; Pickett, S.T.A.; Taubenböck, H. Understanding an urbanizing planet: Strategic directions for remote sensing. Remote Sens. Environ. 2019, 228, 164–182. [Google Scholar] [CrossRef]
- Tomás, R.; Li, Z. Earth Observations for Geohazards: Present and Future Challenges. Remote Sens. 2017, 9, 194. [Google Scholar] [CrossRef]
- Wang, Y.; Sun, G.; Guo, S. Target Detection Method for Low-Resolution Remote Sensing Image Based on ESRGAN and ReDet. Photonics 2021, 8, 431. [Google Scholar] [CrossRef]
- Xie, Y.; Han, J.; Gu, X.; Liu, Q. On-orbit radiometric calibration for a space-borne multi-camera mosaic imaging sensor. Remote Sens. 2017, 9, 1248. [Google Scholar] [CrossRef]
- Chen, S.; Liu, J.; Huang, W.; Chen, R. Wide Swath Stereo Mapping from Gaofen-1 Wide-Field-View (WFV) Images Using Calibration. Sensors 2018, 18, 739. [Google Scholar] [CrossRef]
- Yang, X.; Wang, J.; Jin, G. Calculation of Line Frequency for Rotational Pendulum Imaging of the TDI Camera Vertical Track; Changchun Zhongbang Jinghua Intellectual Property Agency Co., Ltd.: Changchun, China, 2019. [Google Scholar]
- Du, B.; Li, S.; She, Y.; Li, W.; Wang, H. Area targets observation mission planning of agile satellite considering the drift angle constraint. J. Astron. Telesc. Instrum. Syst. 2018, 4, 047002. [Google Scholar] [CrossRef]
- Wang, S.; Yang, X.; Feng, R.; Gao, S.; Han, J. Dynamic Disturbance Analysis of Whiskbroom Area Array Imaging of Aerospace Optical Camera. IEEE Access 2021, 9, 137099–137106. [Google Scholar] [CrossRef]
- Zaman, I.U.; Boyraz, O. Impact of receiver architecture on small satellite optical link in the presence of pointing jitter. Appl. Opt. 2020, 59, 10177–10184. [Google Scholar] [CrossRef]
- Hadar, O.; Fisher, M.; Kopeika, N.S. Image resolution limits resulting from mechanical vibrations. Part III: Numerical calculation of modulation transfer function. Opt. Eng. 1992, 31, 581–589. [Google Scholar] [CrossRef]
- Hadar, O.; Dror, I.; Kopeika, N.S. Image resolution limits resulting from mechanical vibrations. Part IV: Real-time numerical calculation of optical transfer functions and experimental verification. Opt. Eng. 1994, 33, 566–578. [Google Scholar] [CrossRef]
- Stern, A.; Kopeika, N.S. Analytical method to calculate optical transfer functions for image motion using moments and its implementation in image restoration. Proc. SPIE Int. Soc. Opt. Eng. 1996, 2827, 190–202. [Google Scholar] [CrossRef]
- Du, Y.; Ding, Y.; Xu, Y.; Sun, C. Dynamic modulation transfer function analysis of images blurred by sinusoidal vibration. J. Opt. Soc. Korea 2016, 20, 762–769. [Google Scholar] [CrossRef][Green Version]
- Deng, C.; Mu, D.; An, Y.; Yan, Y.; Li, Z. Reduction of satellite flywheel microvibration using rubber shock absorbers. J. Vibroeng. 2017, 19, 1465–1478. [Google Scholar] [CrossRef]
- Li, J.; Liu, Z.; Si, L. Suppressing the image smear of the vibration modulation transfer function for remote-sensing optical cameras. Appl. Opt. 2017, 56, 1616–1624. [Google Scholar] [CrossRef]
- Song, M.; Qu, H.; Zhang, G.; Jin, G. Design of aerospace camera circular scanning imaging model. Infrared Laser Eng. 2018, 47, 195–202. [Google Scholar] [CrossRef]
- Zhong, L.; Wu, X.; Wang, P. Construction and Verification of Rigorous Imaging Model of Spaceborne Linear Array Vertical Orbit Ring Scanning Sensor. In Proceedings of the 2020 4th International Conference on Electronic Information Technology and Computer Engineering, Xiamen, China, 6–8 November 2020; pp. 94–98. [Google Scholar]
- Liu, Z.; Gao, L.; Wang, J.; Yu, T. Research on the influence of swing mirror of infrared imaging system with image-space scanning. Infrared Phys. Technol. 2018, 92, 459–465. [Google Scholar] [CrossRef]
- Chang, T.; Wang, Q.; Zhang, L.; Hao, N.; Dai, W. Battlefield dynamic scanning and staring imaging system based on fast steering mirror. J. Syst. Eng. Electron. 2019, 30, 37–56. [Google Scholar] [CrossRef]
- Ng, S.H.; Allan, B.; Ierodiaconou, D.; Anand, V.; Babanin, A.; Juodkazis, S. Drone polariscopy—Towards remote sensing applications. Photonics 2021, 11, 46. [Google Scholar] [CrossRef]
- Yue-Lin, L.; Wang, Y.; Fu-Qi, S.; Xue, H.; Chen, J.; Jiang, Y.; Liu, X.; Chen, Z. Design of scanning mirror control system for satellite-borne DOAS spectrometer. Opt. Precis. Eng. 2019, 27, 630–636. [Google Scholar] [CrossRef]
- Jiang, P.; Zhou, P. The Optimization of a Convex Aspheric Lightweight SiC Mirror and Its Optical Metrology. Photonics 2022, 9, 210. [Google Scholar] [CrossRef]
- Wei, Q.; Chao, X. Attitude maneuver planning of agile satellites for time delay integration imaging. J. Guid. Control Dyn. 2019, 43, 46–59. [Google Scholar] [CrossRef]











| Serial Number | Simulation Parameters | Value |
|---|---|---|
| 1 | height of the track | 500 km |
| 2 | camera focal length | 0.5 m |
| 3 | earth radius | 6400 km |
| 4 | dynamic scan velocity | 10°/s |
| 5 | pixel size of camera focal plane | 3.5 μm |
| 6 | attitude angle | –50° ≤ θ ≤ 50° |
| Attitude Angle | SSIM | MSE |
|---|---|---|
| −50° | 0.2125 | 89.3903 |
| −30° | 0.2958 | 79.9711 |
| 0° | 0.3136 | 76.7977 |
| 30° | 0.2509 | 84.1601 |
| 50° | 0.2041 | 94.5861 |
Publisher’s Note: MDPI stays neutral with regard to jurisdictional claims in published maps and institutional affiliations. |
© 2022 by the authors. Licensee MDPI, Basel, Switzerland. This article is an open access article distributed under the terms and conditions of the Creative Commons Attribution (CC BY) license (https://creativecommons.org/licenses/by/4.0/).
Share and Cite
Yu, Z.; Jiang, L.; Ling, K.; Yao, Z. Study on the Influence of Random Vibration of Space-Based Payload on Area-Array Camera Frame-by-Frame Imaging. Photonics 2022, 9, 455. https://doi.org/10.3390/photonics9070455
Yu Z, Jiang L, Ling K, Yao Z. Study on the Influence of Random Vibration of Space-Based Payload on Area-Array Camera Frame-by-Frame Imaging. Photonics. 2022; 9(7):455. https://doi.org/10.3390/photonics9070455
Chicago/Turabian StyleYu, Ziqi, Li Jiang, Kai Ling, and Zhihai Yao. 2022. "Study on the Influence of Random Vibration of Space-Based Payload on Area-Array Camera Frame-by-Frame Imaging" Photonics 9, no. 7: 455. https://doi.org/10.3390/photonics9070455
APA StyleYu, Z., Jiang, L., Ling, K., & Yao, Z. (2022). Study on the Influence of Random Vibration of Space-Based Payload on Area-Array Camera Frame-by-Frame Imaging. Photonics, 9(7), 455. https://doi.org/10.3390/photonics9070455
