Next Article in Journal
High-Sensitivity Fiber Fault Detection Method Using Feedback-Delay Signature of a Modulated Semiconductor Laser
Next Article in Special Issue
Laser Beat-Wave Acceleration near Critical Density
Previous Article in Journal
System Level Requirement Analysis of Beam Alignment and Shaping for Optical Wireless Power Transmission System by Semi–Empirical Simulation
Previous Article in Special Issue
Ultrafast Fiber Technologies for Compact Laser Wake Field in Medical Application
 
 
Font Type:
Arial Georgia Verdana
Font Size:
Aa Aa Aa
Line Spacing:
Column Width:
Background:
Article

Laser Ion Acceleration in a Near Critical Density Trap

1
TAE Technologies, 19631 Pauling, Foothill Ranch, CA 92610, USA
2
Department of Physics and Astronomy, University of California, Irvine, CA 92697, USA
3
Ecole Polytechnique, Route de Saclay, 91128 Palaiseau, France
4
National Laser-Initiated Transmutation Laboratory, University of Szeged, 6720 Szeged, Hungary
*
Author to whom correspondence should be addressed.
Photonics 2022, 9(7), 453; https://doi.org/10.3390/photonics9070453
Submission received: 27 January 2022 / Revised: 15 May 2022 / Accepted: 16 June 2022 / Published: 28 June 2022
(This article belongs to the Special Issue Progress in Laser Accelerator and Future Prospects)

Abstract

In order to accelerate ions by a laser, we go back to the original and the fundamental idea of how longitudinal field structure generation can be carried out in an ionized media and how particles may be trapped by the created wakefield. The latter condition is characterized by the phase velocity of the longitudinal structure vph be equal to the particle trapping width vtr. Since the trapping width is inversely proportional to the square-root of the mass of the accelerated particles, this width is much shorter for ions than for electrons. Thus, our dictum for laser ion acceleration is to impose a near critical density trap to decelerate laser group velocity, vg and subsequently to generate longitudinal wakefield to be able to trap ions under the condition of vtr = vph. We demonstrate this concept by PIC simulation and find that this method is effective, and the efficiency of laser ion acceleration is enhanced by a couple of orders of magnitude toward unity.

1. Introduction and History

The utilization of the collective force that resides in plasma was first put forward by V. Veksler in 1956 [1]. The plasma was chosen for two reasons: (A) plasma does not break down as it is already ionized; (B) the forces mediated by plasma are long-range and can interact with many particles. Norman Rostoker was a pioneer who started to utilize an electron beam to accelerate ions (e.g., [2,3,4]). Another early experiment [5] had a relatively thick metallic foil causing the sheath formation that did not propagate with ions, which limited ion acceleration process. In Habs’s team work [6,7] the target thickness has been designed sufficiently thin so that the irradiating laser can form penetration enough to (a) cause the ponderomotive fields and (b) that ponderomotive fields propagate with the ions. The condition to realize this (a) and (b) have been established, which is called the coherent acceleration of ions by laser (CAIL) condition:
σ = a 0
where a 0 is the normalized vector potential of the laser while the normalization of the target thickness is σ = n e n c d λ L , where n e is the target density, n c is the critical density, d is the target thickness, and laser wavelength, λ L .
Habs’s group likened the CAIL regime to a bullet train “Shinkansen”. In order to pick up the much heavier ions (likened to “passengers”), it was argued that the laser (or its ponderomotive force) induced electrostatic accelerating structure or wake (“Shinkansen locomotive”) must become nearly stationary as it approaches the “station” before to pick up the “passengers”. Thus, we formulate the target in such a way so as to slow down the group velocity of the laser pulse to near 0 ( v g r 0 ) before the laser interacts with the thin foil.
The goal of this paper is to establish the laser group velocity v g r 0 in front of the target. The photon group velocity in plasma is governed by
v g = c 1 ω p e 2 ω 2 = c 1 n e γ n c ,
where, ω p e and ω are the plasma and the laser frequency respectively, γ = 1 + a 0 2 2 is relativistic factor. In this paper we assume the weakly relativistic case a 0 1 . The phase velocity of the accelerating structure speed also equal to the group velocity of the photons [8]. Two regimes are defined in Equation (1) by the ratio of the plasma and critical density: over-dense regime ( n e > n c ) with laser not propagating and under-dense regime ( n e < n c ) with laser propagating. Thus, the plasma density can be adjusted to slow down the laser group velocity. This technique has been suggested [9] to slow down the laser group velocity to enhance proton acceleration.
In this paper we propose and show a scheme whereas the laser pulse is trapped in a region of less than or close to the critical density, this region is followed by the usual over dense target. It is important to resurrect the concept of trapping velocity and its role in accelerating ions with the laser-driven waves. The trapping velocity was first introduced by O’Neil (1965), among a series of nonlinear wave interaction studies of large (or finite amplitude) plasma waves [10,11]. The trapping velocity is given [12] by
v t r = e E m k ,
where E is the electrostatic field in the plasma, m is the mass of the particles that are to be trapped, and k is the wavenumber of the electrostatic wave. If the particle velocity v is less than vtr, that particle is trapped in a closed elliptical orbit of the equipotential contour orbit of the phase space [12]. If v > vtr, on the other hand, particles execute untrapped open (and nearly straight) orbit. Thus, in order for a particle to gain substantial energy, it is must be trapped, i.e., v < vtr. Laser excites a growing wakefield which drives increasing trapping velocity, v t r . Particles with velocity, v , that satisfy the condition
| v ϕ v |   <   v t r
can be trapped, where v ϕ is the electrostatic wave phase velocity. At saturation, Equation (4) can be written as
v ϕ = v t r ,
indicating the wakefield became large to trap bulk particles with v 0 (or v much smaller compared with speed of light). With v ϕ ~c and k = ω p / c , Equation (5) can be used to obtain the Tajima-Dawson field E T D = m ω p c / e [13] with v t r given in Equation (3). This also tells us that for effective ion acceleration, we have to make the phase velocity of the electrostatic wave (or thus the group velocity of the laser) 50 times smaller than the case for electrons. This is the motivation that for effective ion acceleration (and trapping), we need to choose the electron density near (or at) the critical density, reflective of Equation (2).
Because of the near critical density, the wake (or the plasma electrostatic accelerating structure) can now be able to trap ions and begin to increase their velocities. This allows ions to be moving with the often much faster electronic wake eventually. In this configuration trapped laser pulse converts almost all of its energy into particle energy.
In this paper we suggest a strategy to design the density of the pre-target plasma to decelerate and trap the laser photon to achieve a high efficiency laser-to-ion conversion. This is achieved by a laser-created resonator with a high reflectivity inside the pre-target region. The resulting trap-mirror configuration is akin to a to the flying mirror [14,15,16].
We perform parameter scan using 1D3V simulations to arrive at an optimized parameter regime; this is the main goal of Section 2. In Section 3 we examine the detailed evolution of the laser and plasma under this condition. Section 4 extends the 1D study to 2D by simulation the 1D best case scenario in 2D.

2. Far Increased Efficiency of Ion Acceleration by the Trap

We explore the above concept and theoretical expectation by carrying a series of particle in cell (PIC) simulations using the explicit 1D3V EPOCH code [17]. An extensive campaign (several hundred runs) to determine the optimal target yielded results shown in Table 1 for a fixed laser a 0 = 1 . The density profile to provide the laser pulse trapping prior to the target and their designations are shown in Figure 1 with the pre-foil region divided into 3 segments with varying density. Each run in the campaign has been simulated using a domain [−20, 20] μ m resolved with 10,000 grids resulting with a skin depth c / ω p e resolved with 25 grids, where we assumed electron density, n e = 10 n c . To reduce noise, we used the fifth order particle weighing and 5000 particles per grid.
The first row in Table 1 shows the most successful run, yielding the highest proton conversion efficiency of 75%. In contrast, for the foil target alone—without the photon slowdown in the pre-foil—the efficiency is 0.5% (the bottom row of the Table 1). This case shows that the thickness of the typical thin foil 320 nm (we model here the electrons are pre-ionized) is far too greater than the thickness of the collisionless skin depth c / ω p e . This makes the lack of laser field penetration into the thin foil. This leads to poor acceleration efficiency. (We note that more realistic cases lead to some alternative developments. For example, the laser may have a pre-pulse, which pre-ionizes part of the electrons in the thin foil.) Under this idealized thin foil laser-foil interaction, we show the most of the laser power is reflected due to the condition of c / ω p e << d (Figure 2).
Another run may be the case where we have no thin foil and institute only the pre-foil density tailoring (PFDT) alone. In this case, we observe the efficiency at 38% in the second from the last line in Table 1. In Table 1 we show various numerical combinations of the PFDT and the thin foil. Upon combination of the foil and PFDT, the proton conversion efficiency increases to 75%.

3. Excited Trapped Waves

In Figure 2 we track the evolution of the laser pulse interaction with the foil only; the laser transverse field is black, longitudinal electric field is blue, electron and proton densities are red and green respectively. The laser enters the computational domain at t = 0 from the left, and reaches the foil at a normal incidence at 33.4 fs, as shown in Figure 1. Figure 1 shows the full laser wave packet as a Gaussian irradiating 320 nm thick foil composed of hydrogen plasma at density n e = 10 n c . In Figure 2b, at 53.4 fs, half of the laser wave packet interacted with the foil compressing the electrons (red) into the foil up to the skin depth ( c / ω p e ). Lastly, Figure 2c, at 70.1 fs, shows the full wave pocket reflect and reverse the direction of propagation. Since the thickness of the foil is much greater than the skin depth, very little of the laser field has transmitted. However, we can see the longitudinal electric field (blue) set up at the backside of the foil indicating electrons have penetrated the foil and created the accelerating field. Overall, since the laser-plasma interaction duration is short, the conversion efficiency from the laser to the particles is very low ~0.5%. The photon group velocity, v g = 0 , has achieved our objective, however, immediately reaccelerated to the speed of light.
Lengthening of the laser-plasma interaction is accomplished by introduction of a subcritical region ( n e < n c ) in front of the over dense foil as shown in Figure 1 which reduces the photon group velocity well below the speed of light. The density is specifically tailored to allow the laser pulse trapping by dividing the region into 3 segments, i.e., without the over dense foil. In this scenario, the laser pulse impinges from left and the peak intensity arrives at 75.1 fs. The evolution of the laser pulse and the electron and proton density in the underdense tailor region is shown in Figure 3. The laser dispersion relation in vacuum for the laser carrier (i.e., the central frequency of the laser) is, of course, the well-known ω = k   c , where ω is the frequency of the carrier of the laser, k is the wavenumber. When the laser pulse enters the near critical density trap, the dispersion relation changes to accommodate the plasma frequency ω p that is close to the laser frequency ω . In the trap region the dispersion relation of the photon is ω 2 = ω p 2 + k t 2 c 2 , since the laser frequency is conserved, we obtain
k t = k 2 ω p 2 c 2 .
Because the trap density is near critical by our design, the wavenumber of the trap k t is much smaller than the vacuum laser wavelength, i.e., the wavelength is expanded as it can. The description leading to Equation (6) provides a credible explanation of the laser entering stationary underdense target, however, it fails to capture the long-time laser behavior within the trapped region.
Figure 3a shows the target after the laser pulse entrance. The laser pulse ponderomotive force strongly modifies the local electron density while the ion density remains unperturbed since proton respond on ~ 1 / ω p i times. Indeed, this first stage is akin to laser wakefield acceleration. However, in the next stage the strongly perturbed electron density exceeds the critical density and forms a flying mirror [14,15,16] that causes the laser pulse breaking up and trapping as shown in Figure 3b. At this stage the laser pulse entered the plasma region, however, the proton density remains unperturbed. The laser pulse trapping is achieved within a resonator with a high reflectivity that has an over-critical density on both ends and a sub-critical density in the middle shown in Figure 3c together with the highly perturbed proton density. Overall, the efficiency conversion is 38%. However, a large portion of the laser energy is transmitted.
To suppress the laser energy transmission through the target, we introduce the overdense foil behind segment 3 shown in Figure 1. The laser-plasma evolution is similar to the case with tailor region only but with very little transmission shown in Figure 4a. Due to this unique configuration of laser pulse trapping, a half-cycle pulse is created in front of the foil for long times; Figure 4b shows the pulse at 1 ps with 20% of the peak transverse electric retained, and Figure 4c shows retention of almost 10% at 2 ps. Once such a long wavelength mode (even a subcyclic mode) is established, it exerts ponderomotive forces on the plasma. Because the group velocity is very small, as required in Equation (5), the ponderomotive force is effective in establishing an electrostatic longitudinal wave with small phase velocity that is equal to or less than the trapping width even for ions, i.e., accelerating not only electrons but also ions. This explains the enhanced efficiency of laser energy conversion into ions, once ions catch up with electron acceleration, most of the electron energy is now converted into ions (because they acquire the similar velocities and the large ion-to-electron mass ratio). Furthermore, this is accompanied by the trapped laser pulse expelling plasma electrons and ions, thus forming a depressed plasma density where the large amplitude laser is located with small k t conveyed in Figure 4. The eigenmode is not only trapped but also modifies the trapping region by ejecting plasma to provide a deeper well and guide for trapping. The mode period preserves the initial laser pulse period T L = 3.3 fs.
The proton energy spectrum is shown in Figure 5a for three different times corresponding to time slices shown in Figure 4. The earlier time spectra exhibit quasi-monoenergetic features at t = 400 fs protons with energy around 0.6 MeV coalesce into a beam indicating trapped protons. This feature is also depicted (red ellipse) in the phase space plot of Figure 5b is located at the leading edge of the plasma expanding to the left.
However, proton trapping is observed in the later stages as well. e.g., Figure 6 shows the proton phase plot at t = 1668 fs with the electrostatic potential color map plotted on the bottom. The potential exhibits many peaks and valleys with the trapping region located around −4 μ m , the inset shows the zoomed in portion of the trapped region demonstrating the protons are confined and accelerated by the potential. The electrostatic potential has been derived from the electron and proton density and Poisson equation. The centroid of the trapped region is moving to the left with energy 47 keV which compares well to p x = 0.01   m p c .
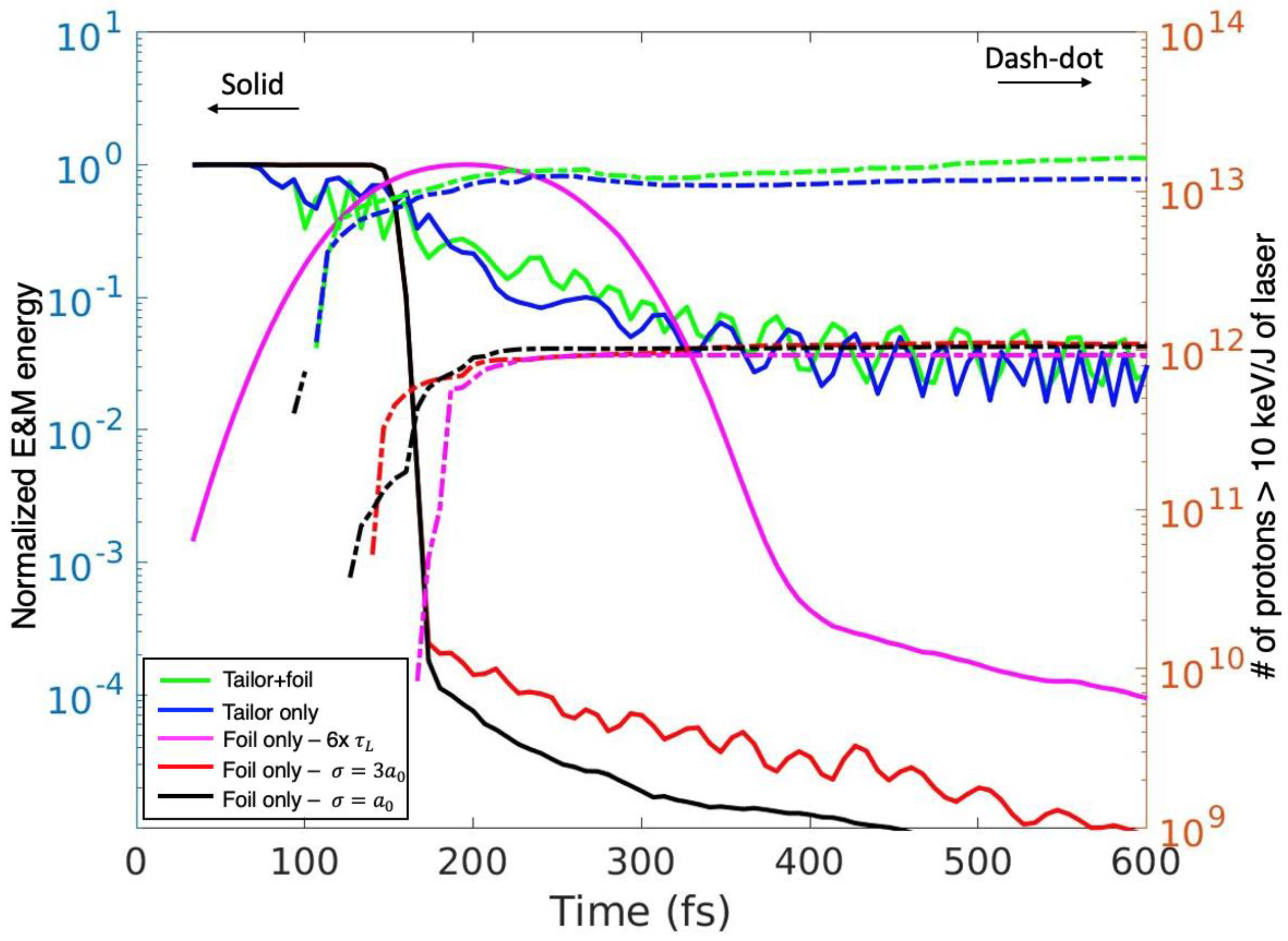
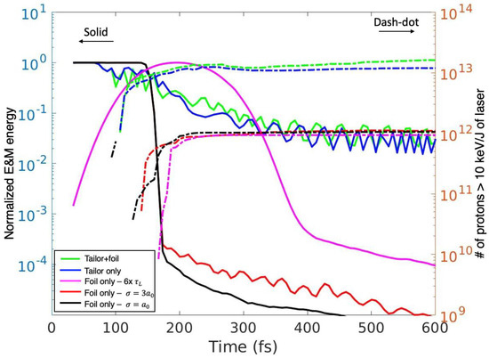
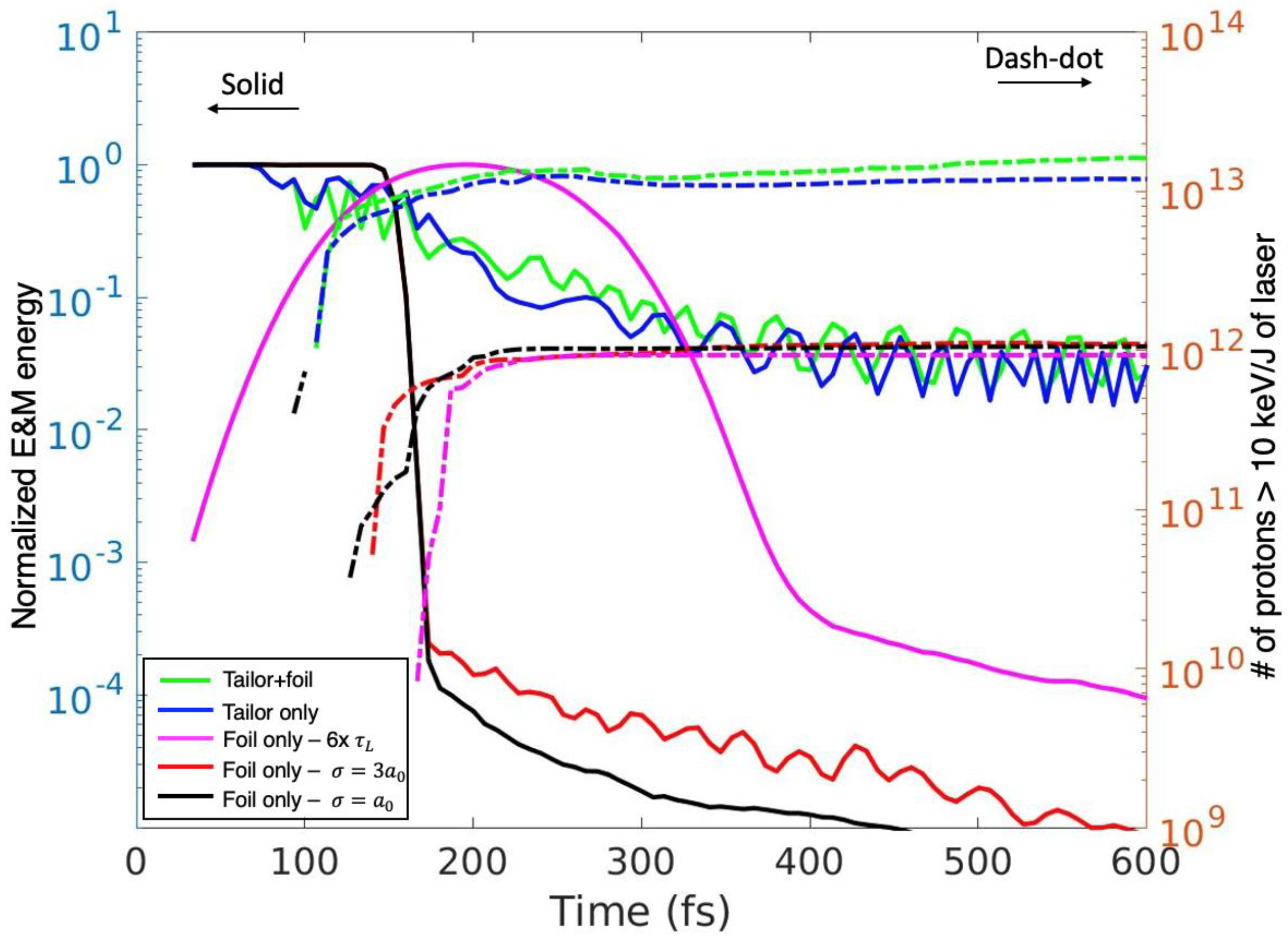
To obtain a comparison between the various cases, we plot the total electromagnetic energy in the computational domain (solid) and the number of protons exceeding 10 keV normalized to laser energy, Y p , (dash-dot) vs. time in Figure 7. We can observe that for the case of foil only the electromagnetic energy in the computational domain disappears on a time scale of the laser pulse return trip upon reflection from the overdense foil. Interestingly, for the case of 6 times longer pulse (magenta) the Y p is the same as for the shorter laser pulse ( τ L = 5 T L ) cases and foil only. In contrast, for the cases of tailor only (blue) and tailor + foil (green) the stored energy in the electromagnetic fields is retained for much longer duration, consequently Y p is greatly enhanced.
The trapping region allows the laser pulse to enter into a unique entity of half cycled pulse for a long time. The amplitude of this half cycle laser is very high, as the laser pulse is now collapsed on top of each other to form the narrow condensation of the laser trapping. Features of coherent sub-cyclic photon formation by itself must be of interest to the ultrafast photonics in general and attosecond laser science in particular [18]. There might be additional nonlinear plasma interaction when the stationary trap of a large amplitude plasma waves in the density trap [19].
We believe that the enhanced (or acquired) high level of coherent phase space structure (which we call in a general language as “structure formation” and coherent structure at it) of electrons and in particular that of ions are quite remarkable. In earlier works [20,21], Rau et al. remarked that sub-cyclic laser can make more coherent particle acceleration and its phase space structure. We, in fact, observe such a highly coherent phase space structures in our simulations. We have yet to learn how significant such highly coherent structural formation might result into new phenomena and physics.

4. Filamentation in 2D

We have carried out a 2D3V PIC simulation studies, guided by the extensive 1D simulation insights. A linearly polarized laser with τ L = 5   T L pulse length is injected through the left boundary onto the target of special tailored ionized hydrogen plasma (again pre-ionized plasma is a rough but good approximation to the high intensity laser irradiation with a 0 = 1 , which necessitates immediate above-field ionization). The longitudinal density profile cross section is same as shown in Figure 1 for the 1D case with transverse extend of ± 15   μ m . The computational domain of 40 × 40   μ m 2 is used and grid of 4000 × 2000 is applied with 40 particles per species per cell with 17 million particles per species. The laser focal length is 19   μ m thus the laser is focused 1   μ m in front of the foil, i.e., in the middle of the tailor region. The beam has a Gaussian profile exp ( y 2 / w 0 2 ) with w 0 = 4   μ m focal spot.
The 2D energy spectrum is shown in Figure 8 at t = 1000 fs with the evolution of the proton and electron density highlighted in Figure 9. A proton conversion efficiency of 38% is achieved for this tailor profile, and furthermore an efficiency of 55% is reached for the electrons. This is somewhat a reduction from the more ideal 1D results we cited above. We will follow with further studies and optimizations in future, however for the purpose of this paper, the foil only case with 3 a 0 = σ results in efficiency of 0.5% and maximum proton energy of 0.05 MeV.
The transverse electric field applies the ponderomotive force in 2D and is thus somewhat diminished from the 1D case as shown in Figure 10 at t = 400 fs. The maximum E y in the 1D case was 0.5, in contrast the maximum field for the 2D case is 0.2.
The electron and proton densities are shown in Figure 9. At t = 400 fs both electron and proton densities develop a density bubble similar to the density depression in the 1D case. This bubble is an indication of laser pulse trapping in the near critical density tailor region. Since both the proton and the electron exhibit the bubble, we can conclude that the protons are following electrons closely even at the later stages as shown in Figure 9b at t = 1000 fs. The laser pulse upon interaction with the tailor region undergoes strongly non-linear interaction similar to Figure 3b, thus it is remarkable that out of this chaos the plasma developes a well-organized structure shown in Figure 9.

5. Discussions

With the development of nanomaterial [22,23,24,25] and their adoption into many fields, we believe that the near-critical region proposed in this paper can be artificially grown using carbon nanotubes (CNT), carbon nano foams or other carbon allotropes. Indeed, this idea has been simulated [9,26,27]. Nanomaterials can be grown to precisely tailor density by setting the substrate structure, for example, the design of the precise profile of the critical or near critical density is within our capabilities.
We also observe that the laser that is trapped shows a marked coherence. In particular, as shown in Figure 4, we observe subcyclic laser pulse generated in side of the trap. We could design to make subcyclic laser pulse and condensation of entrant non-subcyclic laser pulse may be done by adopting out density trap strategy. Such a scheme may also help as a technique to generate subcyclic laser pulses. Rau et al. also mentioned that the use of subcyclic laser pulse is helpful to create more coherent wakefield acceleration than the case with longer laser pulse length [20,21]. Also, such creation of an intense laser subcyclic fields may be a useful technique to lend a path of intense subcyclic laser pulse generation field [18,28].
A potential application of the ion acceleration with a weakly relativistic laser presented here is a neutron generation through the deuterium and tritium fusion. Such neutrons have a large scope of applications ranging from neutron imaging to the incineration of spent nuclear fuel [29]. We thus look forward to the application of the present laser ion acceleration with the density trap to the transmutation of the spent nuclear waste by having efficient and effective ion acceleration and its driven neutrons may be of interest [30,31,32,33,34,35,36]. Since the present acceleration technique is (relatively) simple, compact, and controllable (via the laser operation), its application to the purpose of transmutator may be promising and operationally attractive [36]. It may be multiple of small ion accelerators that are attached to the vessel of the transmutator. This may be far different from a large and high energy (several 100 MeV or even GeV) accelerator [31]. We now have a candidate for high efficiency ion acceleration in a tiny accelerator for such a purpose.
In addition, low energy application (compared with high energy physics) of such a trap to nuclear physics may be of interest. For example, in a nuclear physics domain ions from our method may explore by simple and abundant ions from the present method, to help increase luminosity or other issues in possible experiments to test recent topic in nuclear physics experiments such as the one by [37,38].

6. Conclusions

We have demonstrated by simulations the concept of near critical density trap to effectively trap laser pulse and accelerate ions with efficiency of up to 75%. The mechanism is to make the laser group velocity sufficiently small so that the phase velocity of the induced electrostatic wave (wakefield) is also made substantially reduced. The smallness of the group velocity (“Shinkansen (bullet) train” (laser pulse)) is to pick up heavy ions (“passengers”). Once laser pulse is trapped, this process continues till most of the trapped laser pulse energy is used up to convert its energy into ion energy. This is the reason why ion acceleration is made very efficient. The increase of the efficiency from the cases without the density trap to the ones with it is a spectacular jump from sub 1% efficiency to over 70%. Further investigation will include laser irradiation of a mixture of carbon and hydrogen, as well as a more realistic portrayal of CNT.

Author Contributions

Conceptualization, A.N. and T.T.; methodology, A.N. and T.T.; software, A.N.; investigation, A.N., T.T., K.O. and G.M.; writing—review and editing, A.N., T.T., K.O. and G.M.; funding acquisition, K.O. All authors have read and agreed to the published version of the manuscript.

Funding

We thank the support of the Hungarian National Research, Development, and Innovation Office through the National Laboratory program (contract # NKFIH-476-4/2021) and the Norman Rostoker Fund, etc., for the research study.

Institutional Review Board Statement

Not applicable.

Informed Consent Statement

Not applicable.

Data Availability Statement

Input decks for PIC simulation can be obtained upon a reasonable request.

Acknowledgments

We are deeply indebted to TAE Technologies and TAE investors for their trust and computational resources and to our colleagues S. Gales, T. Massard, P. Taborek, S. Iijima, K. Novoselov, D. Shiltsev, S. Hakimi, S. Nicks, E. Barraza, Y. Brechet, X. Q. Yan, T. Esirkepov, S. Bulanov, T. Kawachi, the late N. Rostoker, and the late J. Dawson for their collaboration, advices, and inspiration. We would like to dedicate this paper to the pioneers, the late V. Veksler and the late N. Rostoker, of the collective acceleration in plasma, whose works we were inspired by and tried to follow. They may be delighted that we came thus far.

Conflicts of Interest

The authors declare no conflict of interest.

References

  1. Veksler, V.I. CERN Symposium on High Energy Accelerators and Pion Physics; CERN: Geneva, Switzerland, 1956; Volume 1, p. 80. [Google Scholar]
  2. Rostoker, N.; Reiser, M. Collective Methods of Acceleration. Papers Presented at the Third International Conference on Collective Methods of Acceleration, Dedicated to the Late Gersh Itskovich (André) Budker, University of California, Irvine, CA, USA, 22–25 May 1978; CRC Press: Irvine, CA, USA, 1979; Volume 2. [Google Scholar]
  3. Mako, F.; Tajima, T. Collective Ion Acceleration by a Reflexing Electron Beam: Model and Scaling. Phys. Fluids 1984, 27, 1815–1820. [Google Scholar] [CrossRef]
  4. Tajima, T.; Mako, F. Self-Consistent Potential for a Relativistic Magnetized Electron Beam through a Metallic Boundary. Phys. Fluids 1978, 21, 1459–1460. [Google Scholar] [CrossRef]
  5. Snavely, R.A.; Key, M.H.; Hatchett, S.P.; Cowan, I.E.; Roth, M.; Phillips, T.W.; Stoyer, M.A.; Henry, E.A.; Sangster, T.C.; Singh, M.S.; et al. Intense High-Energy Proton Beams from Petawatt-Laser Irradiation of Solids. Phys. Rev. Lett. 2000, 85, 2945. [Google Scholar] [CrossRef]
  6. Henig, A.; Steinke, S.; Schnürer, M.; Sokollik, T.; Hörlein, R.; Kiefer, D.; Jung, D.; Schreiber, J.; Hegelich, B.M.; Yan, X.Q.; et al. Radiation-Pressure Acceleration of Ion Beams Driven by Circularly Polarized Laser Pulses. Phys. Rev. Lett. 2009, 103, 245003. [Google Scholar] [CrossRef]
  7. Yan, X.Q.; Tajima, T.; Hegelich, M.; Yin, L.; Habs, D. Theory of Laser Ion Acceleration from a Foil Target of Nanometer Thickness. Appl. Phys. B Lasers Opt. 2010, 98, 711–721. [Google Scholar] [CrossRef][Green Version]
  8. Tajima, T.; Dawson, J.M. Laser Electron Accelerator. Phys. Rev. Lett. 1979, 43, 267. [Google Scholar] [CrossRef]
  9. Yazdani, E.; Sadighi-Bonabi, R.; Afarideh, H.; Yazdanpanah, J.; Hora, H. Enhanced Laser Ion Acceleration with a Multi-Layer Foam Target Assembly. Laser Part. Beams 2014, 32, 509–515. [Google Scholar] [CrossRef][Green Version]
  10. Al’Tshul, L.M.; Karpman, V.I. Theory of Nonlinear Oscillations in a Collisionless Plasma. Sov. Phys. JETP 1966, 22, 361–369. [Google Scholar]
  11. Bernstein, I.B.; Greene, J.M.; Kruskal, M.D. Exact Nonlinear Plasma Oscillations. Phys. Rev. 1957, 108, 546. [Google Scholar] [CrossRef]
  12. O’neil, T. Collisionless Damping of Nonlinear Plasma Oscillations. Phys. Fluids 1965, 8, 2255–2262. [Google Scholar] [CrossRef]
  13. Tajima, T.; Yan, X.Q.; Ebisuzaki, T. Wakefield Acceleration. Rev. Mod. Plasma Phys. 2020, 4, 7. [Google Scholar] [CrossRef]
  14. Lefebvre, E.; Bonnaud, G. Transparency/Opacity of a Solid Target Illuminated by an Ultrahigh-Intensity Laser Pulse. Phys. Rev. Lett. 1995, 74, 2002. [Google Scholar] [CrossRef] [PubMed]
  15. Iwawaki, T.; Habara, H.; Yabuuchi, T.; Hata, M.; Sakagami, H.; Tanaka, K.A. Slowdown Mechanisms of Ultraintense Laser Propagation in Critical Density Plasma. Phys. Rev. E 2015, 92, 13106. [Google Scholar] [CrossRef] [PubMed]
  16. Bulanov, S.v.; Esirkepov, T.; Tajima, T. Light Intensification towards the Schwinger Limit. Phys. Rev. Lett. 2003, 91, 85001. [Google Scholar] [CrossRef] [PubMed]
  17. Arber, T.D.; Bennett, K.; Brady, C.S.; Lawrence-Douglas, A.; Ramsay, M.G.; Sircombe, N.J.; Gillies, P.; Evans, R.G.; Schmitz, H.; Bell, A.R.; et al. Contemporary Particle-in-Cell Approach to Laser-Plasma Modelling. Plasma Phys. Control. Fusion 2015, 57, 1–26. [Google Scholar] [CrossRef]
  18. Shou, Y.; Hu, R.; Gong, Z.; Yu, J.; Mourou, G.; Yan, X.; Ma, W. Others Cascaded Generation of a Sub-10-Attosecond Half-Cycle Pulse. arXiv 2020, arXiv:2010.05724. [Google Scholar]
  19. Zakharov, V.E. Collapse of Langmuir Waves. Sov. Phys. JETP 1972, 35, 908–914. [Google Scholar]
  20. Hojo, H.; Rau, B.; Tajima, T. Particle Acceleration and Coherent Radiation by Subcycle Laser Pulses. Nucl. Instrum. Methods Phys. Res. Sect. A Accel. Spectrometers Detect. Assoc. Equip. 1998, 410, 509–513. [Google Scholar] [CrossRef]
  21. Rau, B.; Tajima, T.; Hojo, H. Coherent Electron Acceleration by Subcycle Laser Pulses. Phys. Rev. Lett. 1997, 78, 3310. [Google Scholar] [CrossRef]
  22. Kubo, R. Electronic Properties of Metallic Fine Particles. I. J. Phys. Soc. Jpn. 1962, 17, 975–986. [Google Scholar] [CrossRef]
  23. Chattopadhyay, S.; Mourou, G.; Shiltsev, V.D.; Tajima, T. Beam Acceleration in Crystals and Nanostructures-Proceedings of the Workshop; World Scientific: Singapore, 2020. [Google Scholar]
  24. Iijima, S. Helical Microtubules of Graphitic Carbon. Nature 1991, 354, 56–58. [Google Scholar] [CrossRef]
  25. Geim, A.K.; Novoselov, K.S. The Rise of Graphene. Nat. Mater. 2007, 6, 183–191. [Google Scholar] [CrossRef] [PubMed]
  26. Cristoforetti, G.; Baffigi, F.; Brandi, F.; D’Arrigo, G.; Fazzi, A.; Fulgentini, L.; Giove, D.; Koester, P.; Labate, L.; Maero, G.; et al. Laser-Driven Proton Acceleration via Excitation of Surface Plasmon Polaritons into TiO2 Nanotube Array Targets. Plasma Phys. Control. Fusion 2020, 62, 114001. [Google Scholar] [CrossRef]
  27. Chao, Y.; Cao, L.; Zheng, C.; Liu, Z.; He, X. Enhanced Proton Acceleration from Laser Interaction with a Tailored Nanowire Target. Appl. Sci. 2022, 12, 1153. [Google Scholar] [CrossRef]
  28. Hassan, M.T.; Luu, T.T.; Moulet, A.; Raskazovskaya, O.; Zhokhov, P.; Garg, M.; Karpowicz, N.; Zheltikov, A.M.; Pervak, V.; Krausz, F.; et al. Optical Attosecond Pulses and Tracking the Nonlinear Response of Bound Electrons. Nature 2016, 530, 66–70. [Google Scholar] [CrossRef]
  29. Tajima, T.; Necas, A.; Mourou, G.; Gales, S.; Leroy, M. Spent Nuclear Fuel Incineration by Fusion-Driven Liquid Transmutator Operated in Real Time by Laser. Fusion Sci. Technol. 2021, 77, 251–265. [Google Scholar] [CrossRef]
  30. Tajima, T.; Necas, A. Report 2 TAE Technologies: Laser Ion Acceleration in a near Critical Density Trap. 2021; unpublished. [Google Scholar]
  31. Rubbia, C.; Rubio, J.; Buono, S.; Carminati, F.; Fiétier, N.; Galvez, J.; Geles, C.; Kadi, Y.; Klapisch, R.; Mandrillon, P.; et al. Conceptual Design of a Fast Neutron Operated High Power Energy Amplifier; CERN/AT/95-44; CERN: Geneva, Switzerland, 1995; pp. 187–312. [Google Scholar]
  32. Parish, T.A.; Davidson, J.W. Reduction in the Toxicity of Fission Product Wastes through Transmutation with Deuterium-Tritium Fusion Neutrons. Nucl. Technol. 1980, 47, 324–342. [Google Scholar] [CrossRef]
  33. Feiveson, H.; Mian, Z.; Ramana, M.V.; von Hippel, F. Managing Spent Fuel from Nuclear Power Reactors: Experience and Lessons from around the World. International Panel on Fissile Materials 2011. Available online: https://fissilematerials.org/library/rr10.pdf (accessed on 27 January 2022).
  34. Gales, S. Nuclear Energy and Waste Transmutation with High Power Accelerator and Laser Systems. Available online: https://indico.cern.ch/event/617648/contributions/2517094/attachments/1442136/2220662/18_GALES_IZEST-Talk-Nuclear-Transmutation-040417.pdf (accessed on 21 April 2018).
  35. Tajima, T.; Necas, A.; Massard, T.; Gales, S. East Meets West again Now to Tackle the Global Energy Crises. Phys. Uspekhi, 2022; to be published. [Google Scholar]
  36. Tanner, J.; Necas, A.; Gales, S.; Tajima, T. Study of Neutronic Transmutation of Transuranics in a Molten Salt. Nucl. Instrum. Methods Phys. Res. A, 2021; submitted. [Google Scholar]
  37. Feng, J.L.; Fornal, B.; Galon, I.; Gardner, S.; Smolinsky, J.; Tait, T.M.P.; Tanedo, P. Protophobic Fifth-Force Interpretation of the Observed Anomaly in Be 8 Nuclear Transitions. Phys. Rev. Lett. 2016, 117, 71803. [Google Scholar] [CrossRef]
  38. Krasznahorkay, A.J.; Csatlós, M.; Csige, L.; Gácsi, Z.; Gulyás, J.; Hunyadi, M.; Kuti, I.; Nyakó, B.M.; Stuhl, L.; Timár, J.; et al. Observation of Anomalous Internal Pair Creation in Be 8: A Possible Indication of a Light, Neutral Boson. Phys. Rev. Lett. 2016, 116, 42501. [Google Scholar] [CrossRef]
Figure 1. Density profile showing the shape of the tailor region and the foil. Inset shows the 6 free parameters to vary in addition to the foil density and thickness. The value of parameters shown is for the best-case scenario.
Figure 1. Density profile showing the shape of the tailor region and the foil. Inset shows the 6 free parameters to vary in addition to the foil density and thickness. The value of parameters shown is for the best-case scenario.
Photonics 09 00453 g001
Figure 2. The evolution of the laser transverse electric field, E y , upon interaction with an overdense foil. The field is normalized to the Tajima-Dawson field, E T D = m e c ω L / e , where ω L is the laser frequency. The laser pulse is reflected and thus minimizing the interaction with the foil and subsequently the conversion efficiency is 0.5%. Laser pulse is injected from the left boundary and at t = 70.06 fs arrives at the foil (a), the maximum intensity reaches foil at t = 83.39 fs with the field penetration exhibiting exponential decay into the foil up to a few the skin depth lengths (b). Reflected laser pulse shape is slightly modified travelling to the left boundary (c).
Figure 2. The evolution of the laser transverse electric field, E y , upon interaction with an overdense foil. The field is normalized to the Tajima-Dawson field, E T D = m e c ω L / e , where ω L is the laser frequency. The laser pulse is reflected and thus minimizing the interaction with the foil and subsequently the conversion efficiency is 0.5%. Laser pulse is injected from the left boundary and at t = 70.06 fs arrives at the foil (a), the maximum intensity reaches foil at t = 83.39 fs with the field penetration exhibiting exponential decay into the foil up to a few the skin depth lengths (b). Reflected laser pulse shape is slightly modified travelling to the left boundary (c).
Photonics 09 00453 g002
Figure 3. Snapshots of the spatial profiles of the electron density (red), proton density (green), and transverse electric field (black) at 80 fs, 90 fs, and 200 fs, respectively, for a_0 = 1 laser for the case of the tailor region only. The laser pulse enters the trapping region and strongly modifies the local electron density while ion density remains unperturbed (a) and penetrates the trapping region and is partially trapped (b) while only the electron density is perturbed. Ion density is strongly perturbed later in the evolution (c) with the laser pulse converted into a half cycle pulse; however, part of the laser energy is transmitted to the right.
Figure 3. Snapshots of the spatial profiles of the electron density (red), proton density (green), and transverse electric field (black) at 80 fs, 90 fs, and 200 fs, respectively, for a_0 = 1 laser for the case of the tailor region only. The laser pulse enters the trapping region and strongly modifies the local electron density while ion density remains unperturbed (a) and penetrates the trapping region and is partially trapped (b) while only the electron density is perturbed. Ion density is strongly perturbed later in the evolution (c) with the laser pulse converted into a half cycle pulse; however, part of the laser energy is transmitted to the right.
Photonics 09 00453 g003
Figure 4. Snapshots of the spatial profiles of the electron density (red), proton density (green) and transverse electric field (black) at 200 fs, 400 fs, and 1000 fs respectively for a 0 = 1 laser for the case of the over-dense foil and tailor region. The laser pulse penetration of the trapping region is similar to Figure 3 with Figure 3c taken at same time as (a) shows the electrons and the ions are expelled from the region of the maximum trapping. The evolution of the half-cycle proceeds (b) with no laser field penetration beyond the foil. The overdense foil prevents the transmission and thus enhances and facilitates the laser pulse trapping for long times (c).
Figure 4. Snapshots of the spatial profiles of the electron density (red), proton density (green) and transverse electric field (black) at 200 fs, 400 fs, and 1000 fs respectively for a 0 = 1 laser for the case of the over-dense foil and tailor region. The laser pulse penetration of the trapping region is similar to Figure 3 with Figure 3c taken at same time as (a) shows the electrons and the ions are expelled from the region of the maximum trapping. The evolution of the half-cycle proceeds (b) with no laser field penetration beyond the foil. The overdense foil prevents the transmission and thus enhances and facilitates the laser pulse trapping for long times (c).
Photonics 09 00453 g004
Figure 5. (a) Proton energy spectrum for the tailor plus foil at 200 fs, 400 fs, and 1000 fs respectively corresponding to snapshots in Figure 4. The quasi—monoenergetic feature in energy spectrum at 400 fs is explored in the phase plot (b) with the region highlighted in red ellipse indicating trapped region.
Figure 5. (a) Proton energy spectrum for the tailor plus foil at 200 fs, 400 fs, and 1000 fs respectively corresponding to snapshots in Figure 4. The quasi—monoenergetic feature in energy spectrum at 400 fs is explored in the phase plot (b) with the region highlighted in red ellipse indicating trapped region.
Photonics 09 00453 g005
Figure 6. Plot of the proton phase space and electrostatic potential shown as a color plot on the bottom at 1700 fs. The potential displays a dip in the region where protons are trapped. The trapped region magnified in the inset.
Figure 6. Plot of the proton phase space and electrostatic potential shown as a color plot on the bottom at 1700 fs. The potential displays a dip in the region where protons are trapped. The trapped region magnified in the inset.
Photonics 09 00453 g006
Figure 7. Normalized total electromagnetic energy in the computation domain (solid) and number of protons above 10 keV per input laser energy (dot-dash) vs. time. The case of tailor + foil (green) displays an elevated E&M energy for a long duration and subsequently high number of energetic protons. The case of 6× longer pulse (magenta) produces the same number of energetic protons per laser energy.
Figure 7. Normalized total electromagnetic energy in the computation domain (solid) and number of protons above 10 keV per input laser energy (dot-dash) vs. time. The case of tailor + foil (green) displays an elevated E&M energy for a long duration and subsequently high number of energetic protons. The case of 6× longer pulse (magenta) produces the same number of energetic protons per laser energy.
Photonics 09 00453 g007
Figure 8. Spectrum of proton energy acceleration obtained from 2D PIC simulation with the density trap and foil at t = 1000 fs and efficiency of 55%. In contrast the foil only case results with maximum proton energy of 0.05 MeV and efficiency of 0.5%.
Figure 8. Spectrum of proton energy acceleration obtained from 2D PIC simulation with the density trap and foil at t = 1000 fs and efficiency of 55%. In contrast the foil only case results with maximum proton energy of 0.05 MeV and efficiency of 0.5%.
Photonics 09 00453 g008
Figure 9. Evolution of electron and proton density at 400 fs and 1000 fs respectively for 2D simulation. Highly organized vortices emerge from the non-linear interaction of the laser pulse with the near critical foil (a). As in the 1D simulation, the vortices are maintained for extended period of time (b) compared to the case of laser foil-only.
Figure 9. Evolution of electron and proton density at 400 fs and 1000 fs respectively for 2D simulation. Highly organized vortices emerge from the non-linear interaction of the laser pulse with the near critical foil (a). As in the 1D simulation, the vortices are maintained for extended period of time (b) compared to the case of laser foil-only.
Photonics 09 00453 g009
Figure 10. Transverse electric field normalized to the Tajima-Dawson field, E T D = m e c ω L / e , at 400 fs exhibits high degree of coherence and large amplitude (0.2 × E T D ) later in time.
Figure 10. Transverse electric field normalized to the Tajima-Dawson field, E T D = m e c ω L / e , at 400 fs exhibits high degree of coherence and large amplitude (0.2 × E T D ) later in time.
Photonics 09 00453 g010
Table 1. Summary of the most successful runs based on laser-to-proton energy efficiency conversion. Parameter varied are in columns 2–8 are shown in Figure 1. The last two rows display the extreme cases of tailor region only and foil-only.
Table 1. Summary of the most successful runs based on laser-to-proton energy efficiency conversion. Parameter varied are in columns 2–8 are shown in Figure 1. The last two rows display the extreme cases of tailor region only and foil-only.
Run # L 1 L 2 L 3 n e 1 n e 2 n e 3 Foil Thickness [nm]Pulse Length
[ T L ]
SigmaEffi. [%]
350.71.40.30.90.80.9532053.275
0.71.40.30.450.40.4332053.26.2
0.82.80.30.90.80.9532053.265
0.50.50.150.90.80.953205 4.5
0.81.00.30.90.80.953205 57
1860.71.40.30.90.80.9532016 5.1
1840.71.40.30.90.80.953204 71.0
0.71.40.30.90.80.953208 42
2330.21.40.60.90.80.953208 4.4
340.71.40.30.90.80.9516051.670.1
480.71.40.30.950.80.964056.459.9
Tailor only0.71.40.30.950.80.905038
Foil only------32053.20.5
Publisher’s Note: MDPI stays neutral with regard to jurisdictional claims in published maps and institutional affiliations.

Share and Cite

MDPI and ACS Style

Necas, A.; Tajima, T.; Mourou, G.; Osvay, K. Laser Ion Acceleration in a Near Critical Density Trap. Photonics 2022, 9, 453. https://doi.org/10.3390/photonics9070453

AMA Style

Necas A, Tajima T, Mourou G, Osvay K. Laser Ion Acceleration in a Near Critical Density Trap. Photonics. 2022; 9(7):453. https://doi.org/10.3390/photonics9070453

Chicago/Turabian Style

Necas, Ales, Toshiki Tajima, Gerard Mourou, and Karoly Osvay. 2022. "Laser Ion Acceleration in a Near Critical Density Trap" Photonics 9, no. 7: 453. https://doi.org/10.3390/photonics9070453

APA Style

Necas, A., Tajima, T., Mourou, G., & Osvay, K. (2022). Laser Ion Acceleration in a Near Critical Density Trap. Photonics, 9(7), 453. https://doi.org/10.3390/photonics9070453

Note that from the first issue of 2016, this journal uses article numbers instead of page numbers. See further details here.

Article Metrics

Back to TopTop