Finite Temperature Ultraviolet-Visible Dielectric Functions of Tantalum Pentoxide: A Combined Spectroscopic Ellipsometry and First-Principles Study
Abstract
1. Introduction
2. Materials and Methods
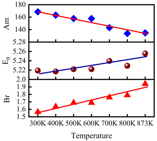
3. Results and Discussions
4. Conclusions
Author Contributions
Funding
Data Availability Statement
Acknowledgments
Conflicts of Interest
References
- Homes, C.C.; Vogt, T.; Shapiro, S.M.; Wakimoto, S.; Ramirez, A.P. Optical response of high-dielectric-constant perovskite-related oxide. Science 2001, 293, 673–676. [Google Scholar] [CrossRef] [PubMed]
- Krohns, S.; Lunkenheimer, P.; Meissner, S.; Reller, A.; Gleich, B.; Rathgeber, A.; Gaugler, T.; Buhl, H.U.; Sinclair, D.C.; Loidl, A. The route to resource-efficient novel materials. Nat. Mater. 2011, 10, 899–901. [Google Scholar] [CrossRef] [PubMed]
- Zhao, X.-G.; Liu, P.; Song, Y.-C.; Zhang, A.-P.; Chen, X.-M.; Zhou, J.-P. Origin of colossal permittivity in (In1/2Nb1/2)TiO2 via broadband dielectric spectroscopy. Phys. Chem. Chem. Phys. 2016, 18, 26310. [Google Scholar] [CrossRef] [PubMed]
- Huang, Y.; Huang, R.; Pan, Y.; Zhang, L.; Cai, Y.; Yang, G.; Wang, Y. A New Dynamic Selector Based on the Bipolar RRAM for the Crossbar Array Application. IEEE Trans. Electron Devices 2012, 59, 2277–2280. [Google Scholar] [CrossRef]
- Xu, H.; Jiang, Y.; Luo, S.; Ma, Y.; Wang, Y. Enhanced dielectric properties of Ti-doped Ta2O5 single crystal grown by floating zone technique. J. Alloys Compd. 2014, 588, 42–45. [Google Scholar] [CrossRef]
- Lee, M.J.; Lee, C.B.; Lee, D.; Lee, S.R.; Chang, M.; Hur, J.H.; Kim, Y.-B.; Kim, C.-J.; Seo, D.H.; Seo, S.; et al. A fast, high-endurance and scalable non-volatile memory device made from asymmetric Ta2O5−x/TaO2−x bilayer structures. Nat. Mater. 2011, 10, 625–630. [Google Scholar] [CrossRef] [PubMed]
- Zhuo, V.Q.; Jiang, Y.; Li, M.H.; Chua, E.K.; Zhang, Z.; Pan, J.S.; Zhao, R.; Shi, L.P.; Chong, T.C.; Robertson, J. Band alignment between Ta2O5 and metals for resistive random access memory electrodes engineering. Appl. Phys. Lett. 2013, 102, 062106. [Google Scholar] [CrossRef]
- Roy, P.K.; Kizilyalli, I.C. Stacked high-ε gate dielectric for gigascale integration of metal–oxide–semiconductor technologies. Appl. Phys. Lett. 1998, 72, 2835–2837. [Google Scholar] [CrossRef]
- Markosyan, A.S.; Route, R.; Fejer, M.M.; Patel, D.; Menoni, C. Study of spontaneous and induced absorption in amorphous Ta2O5 and SiO2 dielectric thin films. J. Appl. Phys. 2013, 113, 133104. [Google Scholar] [CrossRef]
- Garavito, J.; Galvis, C.; López, A.; Franco, A.; Barreiro, F.; Tarazona, R.; Serpa-Imbett, C. Heating Device Based on Modified Microwave Oven: Improved to Measure Liquid Temperature by Using FBG Sensors. Photonics 2021, 8, 104. [Google Scholar] [CrossRef]
- Knox, R.S. Principles of the Theory of Solids. J. Am. Chem. Soc. 1965, 87, 3288. [Google Scholar] [CrossRef]
- Ezhilvalavan, S.; Tseng, T.-Y. Preparation and properties of tantalum pentoxide (Ta2O5) thin films for ultra large scale integrated circuits (ULSIs) application—A review. J. Mater. Sci. Mater. Electron. 1999, 10, 9–31. [Google Scholar] [CrossRef]
- Shibata, S. Dielectric constants of Ta2O5 thin films deposited by r.f. sputtering. Thin Solid Films 1996, 277, 1–4. [Google Scholar] [CrossRef]
- Andreoni, W.; Pignedoli, C.A. Ta2O5 polymorphs: Structural motifs and dielectric constant from first principles. Appl. Phys. Lett. 2010, 96, 062901. [Google Scholar] [CrossRef]
- Rathee, K.; Malik, B. Structural and electrical properties of Tantalum Pentaoxide (Ta2O5) thin films—A review. Int. J. Mod. Phys. Conf. Ser. 2013, 22, 564–569. [Google Scholar] [CrossRef]
- Bousquet, A.; Zoubian, F.; Cellier, J.; Taviot-Guého, C.; Sauvage, T.; Tomasella, E. Structural and ellipsometric study on tailored optical properties of tantalum oxynitride films deposited by reactive sputtering. J. Phys. D Appl. Phys. 2014, 47, 475201. [Google Scholar] [CrossRef]
- Cheng, T.; Fei, T.; Zhang, W.; Yang, J.-Y.; Liu, L. Ellipsometric and first-principles study on temperature-dependent UV–Vis dielectric functions of GaN. Appl. Opt. 2021, 60, 6869. [Google Scholar] [CrossRef]
- Liu, Y.; Li, Q.X.; Wan, L.Y.; Kucukgok, B.; Ghafari, E.; Ferguson, I.T.; Zhang, X.; Wang, S.; Feng, Z.C.; Lu, N. Composition and temperature dependent optical properties of AlxGa1-xN alloy by spectroscopic ellipsometry. Appl. Surf. Sci. 2017, 421, 389–396. [Google Scholar] [CrossRef]
- Shokhovets, S.; Goldhahn, R.; Gobsch, G.; Piekh, S.; Lantier, R.; Rizzi, A.; Lebedev, V.; Richter, W. Determination of the anisotropic dielectric function for wurtzite AlN and GaN by spectroscopic ellipsometry. J. Appl. Phys. 2003, 94, 307–312. [Google Scholar] [CrossRef]
- Li, Q.H.; Zhu, D.; Liu, W.; Liu, Y.; Ma, X.C. Optical properties of Al-doped ZnO thin films by ellipsometry. Appl. Surf. Sci. 2008, 254, 2922–2926. [Google Scholar] [CrossRef]
- Zhang, X.; Qiu, J.; Li, X.; Zhao, J.; Liu, L.H. Complex refractive indices measurements of polymers in visible and near-infrared bands. Appl. Opt. 2020, 59, 2337–2344. [Google Scholar] [CrossRef]
- Karmakov, I.; Konova, A.; Atanassova, E.; Paskaleva, A. Spectroscopic ellipsometry of very thin tantalum pentoxide on Si. Appl. Surf. Sci. 2009, 255, 9211–9216. [Google Scholar] [CrossRef]
- Zhang, D.X.; Zheng, Y.X.; Cai, Q.Y.; Lin, W.; Wu, K.N.; Mao, P.H.; Zhang, R.-J.; Zhao, H.-B.; Chen, L.-Y. Thickness-dependence of optical constants for Ta2O5 ultrathin films. Appl. Phys. A 2012, 108, 975–979. [Google Scholar] [CrossRef]
- Franke, E.; Trimble, C.L.; Devries, M.J.; Woollam, J.A.; Schubert, M.; Frost, F. Dielectric function of amorphous tantalum oxide from the far infrared to the deep ultraviolet spectral region measured by spectroscopic ellipsometry. J. Appl. Phys. 2000, 88, 5166–5174. [Google Scholar] [CrossRef]
- Franke, E.; Schubert, M.; Trimble, C.; DeVries, M.; Woollam, J. Optical properties of amorphous and polycrystalline tantalum oxide thin films measured by spectroscopic ellipsometry from 0.03 to 8.5 eV. Thin Solid Films 2011, 388, 283–289. [Google Scholar] [CrossRef]
- Prachachet, R.; Buranasiri, P.; Horprathum, M.; Eiamchai, P.; Limwichean, S.; Patthanasettakul, V.; Nuntawong, N.; Chindaudom, P.; Samransuksamer, B.; Lertvanithphol, T. Investigation of optical characteristics of the evaporated Ta2O5 thin films based on ellipsometry and spectroscopy. Mater. Today Proc. 2017, 4, 6365–6371. [Google Scholar] [CrossRef]
- Darmasetiawan, H.; Irzaman, I.; Indro, M.N.; Sukaryo, S.; Hikam, M.; Bo, N.P. Optical Properties of Crystalline Ta2O5 Thin Films. Phys. Status Solidi A 2002, 193, 53–60. [Google Scholar] [CrossRef]
- Yang, J.-Y.; Cheng, T.; Fei, T.; Zhang, C.; Liu, L. Temperature-induced surface phonon polaritons dissipation in perovskite SrTiO3. Opt. Lett. 2021, 46, 4244–4247. [Google Scholar] [CrossRef]
- Ivanov, M.V.; Perevalov, T.V.; Aliev, V.S.; Gritsenko, V.A.; Kaichev, V.V. Electronic structure of δ-Ta2O5 with oxygen vacancy: Ab initio calculations and comparison with experiment. J. Appl. Phys. 2011, 110, 024115. [Google Scholar] [CrossRef]
- Lee, J.; Lu, W.D.; Kioupakis, E. Electronic and optical properties of oxygen vacancies in amorphous Ta2O5 from first principles. Nanoscale 2017, 9, 1120–1127. [Google Scholar] [CrossRef] [PubMed]
- Kim, J.-Y.; Magyari-Köpe, B.; Nishi, Y.; Ahn, J.-H. First-principles study of carbon impurity effects in the pseudo-hexagonal Ta2O5. Curr. Appl. Phys. 2016, 16, 638–643. [Google Scholar] [CrossRef]
- Valencia-Balvín, C.; Pérez-Walton, S.; Osorio-Guillén, J.M. First principles calculations of the electronic and dielectric properties of λ-Ta2O5. TecnoLogicas 2018, 21, 43–52. [Google Scholar] [CrossRef][Green Version]
- Chu, A.K.; Lin, H.C.; Cheng, W.H. Temperature dependence of refractive index of Ta2O5. J. Electron. Mater. 1997, 26, 889–892. [Google Scholar] [CrossRef]
- Liu, X.; Han, X.; Zhang, Z.; Ji, L.; Jiang, Y. The crystal structure of high temperature phase Ta2O5. Acta Mater. 2007, 55, 2385–2396. [Google Scholar] [CrossRef]
- Gajdoš, M.; Hummer, K.; Kresse, G.; Furthmüller, J.; Bechstedt, F. Linear optical properties in the projector-augmented wave methodology. Phys. Rev. B 2006, 73, 045112. [Google Scholar] [CrossRef]
- Kresse, G.; Furthmüller, J. Efficient iterative schemes for ab initio total-energy calculations using a plane-wave basis set. Phys. Rev. B 1996, 54, 11169–11186. [Google Scholar] [CrossRef]
- Yang, J.; Liu, L.; Tan, J. First-principles molecular dynamics study on temperature-dependent dielectric function of bulk 3C and 6H SiC in the energy range 3–8 eV. Phys. B Condens. Matt. 2014, 436, 182–187. [Google Scholar] [CrossRef]
- Marini, A. Ab initio finite-temperature excitons. Phys. Rev. Lett. 2008, 101, 106405. [Google Scholar] [CrossRef]
- Ghandchi, M.; Darvish, G.; Moravvej-Farshi, M.K. Properties of Bilayer Graphene Quantum Dots for Integrated Optics: An Ab Initio Study. Photonics 2020, 7, 78. [Google Scholar] [CrossRef]
- Yang, J.; Liu, L.; Tan, J. Temperature-dependent dielectric function of germanium in the UV–vis spectral range: A first-principles study. J. Quant. Spectrosc. Radiat. Transf. 2014, 141, 24–30. [Google Scholar] [CrossRef]
- Rohlfing, M.; Louie, S.G. Excitonic effects and the optical absorption spectrum of hydrogenated Si clusters. Phys. Rev. Lett. 1998, 80, 3320. [Google Scholar] [CrossRef]
- Von Blanckenhagen, B.; Tonova, D.; Ullmann, J. Application of the Tauc-Lorentz formulation to the interband absorption of optical coating materials. Appl. Opt. 2002, 41, 3137–3141. [Google Scholar] [CrossRef] [PubMed]





Publisher’s Note: MDPI stays neutral with regard to jurisdictional claims in published maps and institutional affiliations. |
© 2022 by the authors. Licensee MDPI, Basel, Switzerland. This article is an open access article distributed under the terms and conditions of the Creative Commons Attribution (CC BY) license (https://creativecommons.org/licenses/by/4.0/).
Share and Cite
Zhang, W.; Zeng, Z.; Cheng, T.; Fei, T.; Fu, Z.; Liu, X.; Zhang, J.; Yang, J.-Y. Finite Temperature Ultraviolet-Visible Dielectric Functions of Tantalum Pentoxide: A Combined Spectroscopic Ellipsometry and First-Principles Study. Photonics 2022, 9, 440. https://doi.org/10.3390/photonics9070440
Zhang W, Zeng Z, Cheng T, Fei T, Fu Z, Liu X, Zhang J, Yang J-Y. Finite Temperature Ultraviolet-Visible Dielectric Functions of Tantalum Pentoxide: A Combined Spectroscopic Ellipsometry and First-Principles Study. Photonics. 2022; 9(7):440. https://doi.org/10.3390/photonics9070440
Chicago/Turabian StyleZhang, Wenjie, Zhaohui Zeng, Tao Cheng, Tianhao Fei, Zhiwei Fu, Xiaoyan Liu, Jingyi Zhang, and Jia-Yue Yang. 2022. "Finite Temperature Ultraviolet-Visible Dielectric Functions of Tantalum Pentoxide: A Combined Spectroscopic Ellipsometry and First-Principles Study" Photonics 9, no. 7: 440. https://doi.org/10.3390/photonics9070440
APA StyleZhang, W., Zeng, Z., Cheng, T., Fei, T., Fu, Z., Liu, X., Zhang, J., & Yang, J.-Y. (2022). Finite Temperature Ultraviolet-Visible Dielectric Functions of Tantalum Pentoxide: A Combined Spectroscopic Ellipsometry and First-Principles Study. Photonics, 9(7), 440. https://doi.org/10.3390/photonics9070440

