SNR Enhancement of Direct Absorption Spectroscopy Utilizing an Improved Particle Swarm Algorithm
Abstract
:1. Introduction
2. Experiment System
2.1. The Absorption Line of CH4
2.2. Principle of the CH4 Detection System
2.3. Noise Analysis
3. The Improved Particle Swarm Algorithm
3.1. Simulation
3.2. Fitness Function
3.3. Learning Factors
4. Experimental Results and Analysis
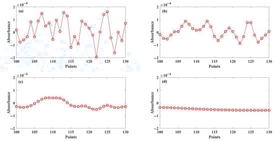
4.1. Denoising Performance and Analysis
4.2. Results and Analysis of Calibration Experiment
4.3. Results and Analysis of Repeatability Experiment
5. Conclusions
Author Contributions
Funding
Institutional Review Board Statement
Informed Consent Statement
Data Availability Statement
Conflicts of Interest
References
- Shemshad, J.; Aminossadati, S.M.; Kizil, M.S. A review of developments in near infrared methane detection based on tunable diode laser. Sens. Actuators B Chem. 2012, 171, 77–92. [Google Scholar] [CrossRef]
- Lin, H.; Zheng, H.; Montano, B.A.Z.; Wu, H.; Giglio, M.; Sampaolo, A.; Patimisco, P.; Zhu, W.; Zhong, Y.; Dong, L.; et al. Ppb-Level gas detection using on-beam quartz-enhanced photoacoustic spectroscopy based on a 28 kHz tuning fork. Photoacoustics 2022, 25, 100321. [Google Scholar] [CrossRef] [PubMed]
- Richard, L.; Ventrillard, I.; Chau, G.; Jaulin, K.; Kerstel, E.; Romanini, D. Optical-Feedback cavity-enhanced absorption spectroscopy with an interband cascade laser: Application to SO2 trace analysis. Appl. Phys. B 2016, 122, 247. [Google Scholar] [CrossRef]
- Adkins, E.M.; Long, D.A.; Fleisher, A.J.; Hodges, J.T. Near-Infrared cavity ring-down spectroscopy measurements of nitrous oxide in the (4200)←(0000) and (5000)←(0000) bands. J. Quant. Spectrosc. Radiat. Transf. 2021, 262, 107527. [Google Scholar] [CrossRef]
- Raza, M.; Ma, L.; Yao, C.; Yang, M.; Wang, Z.; Wang, Q.; Kan, R.; Ren, W. MHz-Rate scanned-wavelength direct absorption spectroscopy using a distributed feedback diode laser at 2.3 μm. Opt. Laser Technol. 2020, 130, 106344. [Google Scholar] [CrossRef]
- Rieker, G.B.; Jeffries, J.B.; Hanson, R.K. Calibration-Free wavelength-modulation spectroscopy for measurements of gas temperature and concentration in harsh environments. Appl. Opt. 2009, 48, 5546–5560. [Google Scholar] [CrossRef]
- Rieker, G.B. Wavelength-Modulation Spectroscopy for Measurements of Gas Temperature and Concentration in Harsh Environments; Stanford University: Stanford, CA, USA, 2009. [Google Scholar]
- Whittaker, E.A.; Gehrtz, M.; Bjorklund, G.C. Residual amplitude modulation in laser electro-optic phase modulation. JOSA B 1985, 2, 1320–1326. [Google Scholar] [CrossRef]
- Goldenstein, C.S.; Spearrin, R.M.; Jeffries, J.B.; Hanson, R.K. Infrared laser-absorption sensing for combustion gases. Prog. Energy Combust. Sci. 2017, 60, 132–176. [Google Scholar] [CrossRef] [Green Version]
- Yang, R.; Zhang, Y. A method of low concentration methane measurement in tunable diode laser absorption spectroscopy and Levenberg-Marquardt algorithm. Optik 2020, 224, 165657. [Google Scholar] [CrossRef]
- Li, J.; Yu, B.; Zhao, W.; Chen, W. A review of signal enhancement and noise reduction techniques for tunable diode laser absorption spectroscopy. Appl. Spectrosc. Rev. 2014, 49, 666–691. [Google Scholar] [CrossRef]
- Werle, P.O.; Mücke, R.; Slemr, F. The limits of signal averaging in atmospheric trace-gas monitoring by tunable diode-laser absorption spectroscopy (TDLAS). Appl. Phys. B 1993, 57, 131–139. [Google Scholar] [CrossRef]
- Liu, L.; Huan, H.; Li, W.; Mandelis, A.; Wang, Y.; Zhang, L.; Zhang, X.; Yin, X.; Wu, Y.; Shao, X. Highly sensitive broadband differential infrared photoacoustic spectroscopy with wavelet denoising algorithm for trace gas detection. Photoacoustics 2021, 21, 100228. [Google Scholar] [CrossRef] [PubMed]
- Li, C.; Guo, X.; Ji, W.; Wei, J.; Qiu, X.; Ma, W. Etalon fringe removal of tunable diode laser multi-pass spectroscopy by wavelet transforms. Opt. Quantum Electron. 2018, 50, 275. [Google Scholar] [CrossRef]
- Mappe-Fogaing, I.; Joly, L.; Durry, G.; Dumelié, N. Wavelet denoising for infrared laser spectroscopy and gas detection. Appl. Spectrosc. 2012, 66, 700–710. [Google Scholar] [CrossRef]
- Reynolds, C.W. Flocks, herds and schools: A distributed behavioral model. In Proceedings of the 14th Annual Conference on Computer Graphics and Interactive Techniques, Anaheim, CA, USA, 27–31 July 1987; pp. 25–34. [Google Scholar]
- Shi, Y.; Eberhart, R. A modified particle swarm optimizer. In Proceedings of the 1998 IEEE International Conference on Evolutionary Computation. IEEE World Congress on Computational Intelligence, (Cat. No. 98TH8360). Anchorage, AK, USA, 4–9 May 1998; IEEE: Piscataway, NJ, USA, 1998; pp. 69–73. [Google Scholar]
- Zhang, X.; Lin, Q. Three-Learning strategy particle swarm algorithm for global optimization problems. Inf. Sci. 2022, 593, 289–313. [Google Scholar] [CrossRef]
- Bryant, H.L.; Segundo, J.P. Spike initiation by transmembrane current: A white-noise analysis. J. Physiol. 1976, 260, 279–314. [Google Scholar] [CrossRef]
- Cassidy, D.T.; Reid, J. Atmospheric pressure monitoring of trace gases using tunable diode lasers. Appl. Opt. 1982, 21, 1185–1190. [Google Scholar] [CrossRef]
- Okada, K.; Yokoyama, E.; Miike, H. Interference fringe pattern analysis using inverse cosine function. Electron. Commun. Jpn. (Part II Electron.) 2007, 90, 61–73. [Google Scholar] [CrossRef]
- Yang, R.; Dong, X.; Bi, Y.; Lv, T. A method of reducing background fluctuation in tunable diode laser absorption spectroscopy. Opt. Commun. 2018, 410, 782–786. [Google Scholar] [CrossRef]
- Webster, C.R. Brewster-Plate spoiler: A novel method for reducing the amplitude of interference fringes that limit tunable-laser absorption sensitivities. JOSA B 1985, 2, 1464–1470. [Google Scholar] [CrossRef]
- Chakraborty, A.L.; Ruxton, K.; Johnstone, W.; Lengden, M.; Duffin, K. Elimination of residual amplitude modulation in tunable diode laser wavelength modulation spectroscopy using an optical fiber delay line. Opt. Express 2009, 17, 9602–9607. [Google Scholar] [CrossRef]
- Feng, H.M. Self-Generation RBFNs using evolutional PSO learning. Neurocomputing 2006, 70, 241–251. [Google Scholar] [CrossRef]
- Ciuryło, R. Shapes of pressure-and Doppler-broadened spectral lines in the core and near wings. Phys. Rev. A 1998, 58, 1029. [Google Scholar] [CrossRef]
- Suganthan, P.N. Particle swarm optimiser with neighbourhood operator. In Proceedings of the 1999 Congress on Evolutionary Computation-CEC99, (Cat. No. 99TH8406). Washington, DC, USA, 6–9 July 1999; IEEE: Piscataway, NJ, USA, 1999; Volume 3, pp. 1958–1962. [Google Scholar]
- Ratnaweera, A.; Halgamuge, S.K.; Watson, H.C. Self-Organizing hierarchical particle swarm optimizer with time-varying acceleration coefficients. IEEE Trans. Evol. Comput. 2004, 8, 240–255. [Google Scholar] [CrossRef]









| Algorithm | SNR (dB) |
|---|---|
| Original spectra | 5.4366 |
| Average algorithm—500 samples | 9.2715 |
| Averaging window algorithm | 13.7944 |
| Wavelet transform | 14.1144 |
| Particle swarm algorithm with 1 iteration | 12.6730 |
| Particle swarm algorithm with 5 iterations | 16.0630 |
| Particle swarm algorithm with 20 iterations | 17.3101 |
| Particle swarm algorithm with 80 iterations | 22.6716 |
| Calibration Gas (ppm) | Concentration Not Processed by Algorithm (ppm) | Maximum Error | Concentration Processed by Algorithm (ppm) | Error |
|---|---|---|---|---|
| 0.2 | 0.131–0.663 | 231.69% | 0.202 | 1.11% |
| 0.6 | 0.553–0.904 | 50.68% | 0.585 | −2.59% |
| 1 | 0.873–1.188 | 18.83% | 0.990 | −0.97% |
| 2 | 1.859–2.216 | 10.80% | 2.009 | 0.44% |
| 4 | 3.795–4.126 | −5.13% | 3.953 | −1.20% |
| 5 | 4.805–5.230 | 4.59% | 5.022 | 0.44% |
| 10 | 9.450–10.223 | −5.50% | 10.016 | 0.16% |
| 20 | 19.884–20.315 | 1.57% | 20.108 | 0.53% |
| 40 | 39.518–40.500 | 1.25% | 40.713 | 1.75% |
| Times (min) | Concentration (ppm) | Error (ppm) |
|---|---|---|
| 15 | 2.081 | 0.081 |
| 30 | 2.060 | 0.060 |
| 45 | 1.957 | −0.043 |
| 60 | 2.001 | 0.001 |
| 75 | 1.905 | −0.095 |
| 90 | 2.005 | 0.005 |
| 105 | 2.008 | 0.008 |
| 120 | 1.990 | −0.010 |
Publisher’s Note: MDPI stays neutral with regard to jurisdictional claims in published maps and institutional affiliations. |
© 2022 by the authors. Licensee MDPI, Basel, Switzerland. This article is an open access article distributed under the terms and conditions of the Creative Commons Attribution (CC BY) license (https://creativecommons.org/licenses/by/4.0/).
Share and Cite
Zhang, L.; Li, Y.; Wei, Y.; Wang, Z.; Zhang, T.; Gong, W.; Zhang, Q. SNR Enhancement of Direct Absorption Spectroscopy Utilizing an Improved Particle Swarm Algorithm. Photonics 2022, 9, 412. https://doi.org/10.3390/photonics9060412
Zhang L, Li Y, Wei Y, Wang Z, Zhang T, Gong W, Zhang Q. SNR Enhancement of Direct Absorption Spectroscopy Utilizing an Improved Particle Swarm Algorithm. Photonics. 2022; 9(6):412. https://doi.org/10.3390/photonics9060412
Chicago/Turabian StyleZhang, Lin, Yanfang Li, Yubin Wei, Zhaowei Wang, Tingting Zhang, Weihua Gong, and Qinduan Zhang. 2022. "SNR Enhancement of Direct Absorption Spectroscopy Utilizing an Improved Particle Swarm Algorithm" Photonics 9, no. 6: 412. https://doi.org/10.3390/photonics9060412
APA StyleZhang, L., Li, Y., Wei, Y., Wang, Z., Zhang, T., Gong, W., & Zhang, Q. (2022). SNR Enhancement of Direct Absorption Spectroscopy Utilizing an Improved Particle Swarm Algorithm. Photonics, 9(6), 412. https://doi.org/10.3390/photonics9060412

