Effects of Atmospheric Turbulence on Optical Wireless Communication in NEOM Smart City
Abstract
1. Introduction
2. Literature Review
3. Atmospheric Turbulence
- When the turbulence cells’ diameters are smaller than the laser beam diameter, the laser beam bends and becomes distorted. Small differences in the arrival times of various components of the beam wavefront cause constructive and destructive interference, resulting in temporal variations in the laser beam intensity at the receiver. This effect is known as scintillation, Figure 1a.
- If the size of the air turbulence cell is larger than the beam diameter, it can bend the optical path. Figure 1b shows how the beams (solid rays) leaving the laser source are deflected as they go through the large air cell, arriving off-axis rather than on-axis as expected in the absence of turbulence.
4. Mathematical Analysis of Atmospheric Turbulence
4.1. Refractive Index Structure Parameter
- This model has been validated for a similar coastal area called Negev area, as shown in Figure 2. Negev is approximately 400 km from the study area, NEOM, and has a similar landscape;
- This model can help correlate the changes in the atmospheric turbulence strength with the meteorological parameters.
4.2. Scintillation
4.3. Beam Spreading
5. Channel Model and BER Analysis
5.1. LN Channel
5.2. G-G Channel
6. Study Area: NEOM Smart City
6.1. Geographical Location
6.2. Meteorological Information
7. Results and Discussion
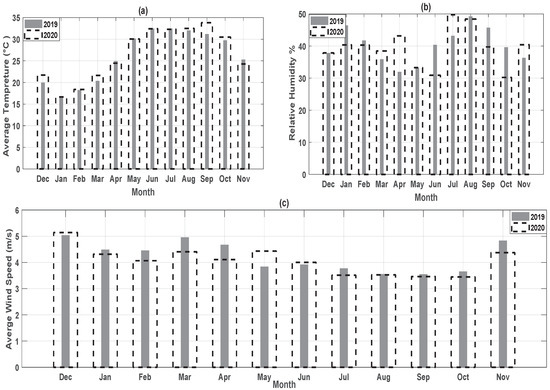
- In 2019, as shown in Figure 4, the peak occurred in the summer season (May), in which the temperature was high (T = 30.42 °C) and relative humidity was low (H = 33.14%). The minimum value occurred in the winter season (February), in which the temperature was low (T = 18.24 °C) and humidity was high (). The results indicated that the increase in the temperature can affect the atmospheric turbulence strength more than the increase in humidity. This agrees with the experimental result of the author [61].
- As mentioned previously, in the summer season, the wind speed did not vary significantly. In the winter season, the maximum occurred in December for both years in which the wind speed was high (up to = 5 m/s). Moreover, December was the hottest month among the winter months. This finding indicates that the turbulence strength increases with the increasing wind speed and temperature in the winter season, as shown in Figure 5.
8. Conclusions
Author Contributions
Funding
Institutional Review Board Statement
Informed Consent Statement
Data Availability Statement
Acknowledgments
Conflicts of Interest
References
- Klohe, K.; Koudou, B.G.; Fenwick, A.; Fleming, F.; Garba, A.; Gouvras, A.; Harding-Esch, E.M.; Knopp, S.; Molyneux, D.; D’Souza, S.; et al. A Systematic Literature Review of Schistosomiasis in Urban and Peri-Urban Settings. PLOS Negl. Trop. Dis. 2021, 15, e0008995. [Google Scholar] [CrossRef]
- Tabane, S.M.N.E.; Zuva, T. Survey of Smart City Initiatives Towards Urbanization. In Proceedings of the 2016 Third International Conference on Advances in Computing and Communication Engineering (ICACCE) 2016, Durban, South Africam, 28–29 November 2019. [Google Scholar]
- Tan, S.Y.; Taeihagh, A. Smart City Governance in Developing Countries: A Systematic Literature Review. Sustainability 2020, 12, 899. [Google Scholar] [CrossRef]
- Wenge, R.; Zhang, X.; Dave, C.; Chao, L.; Hao, S. Smart City Architecture: A Technology Guide for Implementation and Design Challenges. China Commun. 2014, 11, 56–69. [Google Scholar] [CrossRef]
- UN-Habitat Core Team and Contributors. Saudi Cities Report 2019. Ministry of Municipal and Rural Affairs. Available online: https://unhabitat.org/sites/default/files/2020/05/Saudi-City-report-english.pdf (accessed on 1 January 2022).
- Doheim, R.M.; Farag, A.A.; Badawi, S. Smart City Vision and Practices Across the Kingdom of Saudi Arabia A Review. In Smart Cities: Issues and Challenges; Elsevier: Amsterdam, The Netherlands, 2019; pp. 309–332. [Google Scholar]
- Farag, A.A. The Story of NEOM City: Opportunities and Challenges. In New Cities and Community Extensions in Egypt and the Middle East; Springer: Berlin/Heidelberg, Germany, 2019; pp. 35–49. [Google Scholar]
- Alotaibi, D.M.; Akrami, M.; Dibaj, M.; Javadi, A.A. Smart Energy Solution for An Optimised Sustainable Hospital in the Green City of NEOM. Sustain. Energy Technol. Assess. 2019, 35, 32–40. [Google Scholar] [CrossRef]
- Al-Gasawneh, J.A.; Al-Adamat, A.M. The Relationship between Perceived Destination Image, Social Media Interaction and Travel Intentions Relating to NEOM City. Acad. Strateg. Manag. J. 2020, 19, 1–12. [Google Scholar]
- Salameh, T.; Sayed, E.T.; Abdelkareem, M.A.; Olabi, A.G.; Rezk, H. Optimal Selection and Management of Hybrid Renewable Energy System: NEOM City as A case Study. Energy Convers. Manag. 2021, 244, 114434. [Google Scholar] [CrossRef]
- Alqahtani, N.; Balta-Ozkan, N. Assessment of Rooftop Solar Power Generation to Meet Residential Loads in the City of NEOM, Saudi Arabia. Energies 2021, 14, 3805. [Google Scholar] [CrossRef]
- Papagiannopoulos, N.; Raitsos, D.E.; Krokos, G.; Gittings, J.A.; Brewin, R.J.W.; Papadopoulos, V.P.; Pavlidou, A.; Selmes, N.; Groom, S.; Hoteit, I. Phytoplankton Biomass and the Hydrodynamic Regime in NEOM, Red Sea. Remote Sens. 2021, 13, 2082. [Google Scholar] [CrossRef]
- Balalaa, M.S.; Mabrouk, A.B.; Abdessalem, H. A wavelet-based Method for the Impact of Social Media on the Economic Situation: The Saudi Arabia 2030-vision Case. Mathematics 2021, 9, 1117. [Google Scholar] [CrossRef]
- Rezk, H.; Alghassab, M.; Ziedan, H. An Optimal Sizing of Stand-Alone Hybrid PV-fuel Cell-Battery to Desalinate Seawater at Saudi NEOM C. Processes 2020, 8, 382. [Google Scholar] [CrossRef]
- Boubakri, W.; Abdallah, W.; Boudriga, N. An Optical Wireless Communication based 5G Architecture to Enable Smart City Applications. In Proceedings of the 20th International Conference on Transparent Optical Networks (ICTON) 2018, Bucharest, Romania, 1–5 July 2018. [Google Scholar]
- Miladić-Tešić, S.D.; Marković, G.Z.; Nonković, N.P. Optical Technologies in Support of the Smart Ccity Concept. Tehnika 2020, 75, 209–215. [Google Scholar] [CrossRef]
- NEOM Launches Infrastructure Work for the World’s Leading Cognitive Cities in an Agreement with STC. Available online: https://www.prnewswire.comnews-releases/neom-launches-infrastructure-work-for-the-worlds-leadingcognitive-cities-in-an-agreement-with-stc-301100431.html (accessed on 5 October 2021).
- Aleksic, S. A Survey on Optical Technologies for IoT, Smart Industry, and Smart Infrastructures. J. Sens. Actuator Netw. 2019, 8, 47. [Google Scholar] [CrossRef]
- Abdallah, W.; Boudriga, N. Enabling 5G Wireless Access using Li-Fi Technology: An OFDM based Approach. In Proceedings of the 18th International Conference on Transparent Optical Networks (ICTON) 2016, Trento, Italy, 10–14 July 2016. [Google Scholar]
- Gupta, A.; Anand, P.; Khajuria, R.; Bhagat, S.; Jha, R.K. A Survey of Free Space Optical Communication Network Channel over Optical Fiber Cable Communication. Int. J. Comput. Appl. 2014, 105, 32–36. [Google Scholar]
- Harboe, P.B.; Souza, J. Free Space Optical Communication Systems Afeasibility Study for Deployment in Brazil. J. Microwaves, Optoelectron. Electromagn. Appl. (JMOe) 2004, 3, 58–66. [Google Scholar]
- Alma, H.; Al-Khateeb, W. Effect of Weather Conditions on Quality of Free Space Optics Links (with Focus on Malaysia). In Proceedings of the 2008 International Conference on Computer and Communication Engineering, Kuala Lumpur, Malaysia, 13–15 May 2008; pp. 1206–1210. [Google Scholar]
- Rouissat, M.; Borsali, A.R.; Chikh-Bled, M.E. Free Space Optical Channel Characterization and Modeling with Focus on Algeria Weather Conditions. Int. J. Comput. Netw. Inf. Secur. 2012, 4, 17. [Google Scholar] [CrossRef]
- Twati, M.O.; Badi, M.M.; Adam, A.F. Analysis of Rain Effects on Free Space Optics based on Data Measured in the Libyan Climate. Int. J. Inf. Electron. Eng. 2014, 4, 469–472. [Google Scholar] [CrossRef][Green Version]
- Mohale, J.; Handura, M.R.; Olwal, T.O.; Nyirenda, C.N. Feasibility Study of Free-Sspace Optical Communication for South Africa. Opt. Eng. 2016, 55, 056108. [Google Scholar] [CrossRef]
- Sultana, M.; Barua, A.; Akhtar, J.; Reja, M.I. Performance Investigation of OFDM-FSO System under Diverse Weather Conditions of Bangladesh. Int. J. Electr. Comput. Eng. 2018, 8, 3722–3731. [Google Scholar] [CrossRef]
- Yasir, S.M.; Abas, N.; Saleem, M.S. Performance Analysis of 10Gbps FSO Communication Link Under Suspended Dust and Rain Conditions in Lahore, Pakistan. Nonlinear Opt. Quantum Opt. Concepts Mod. Opt. 2019, 50, 4. [Google Scholar]
- Algamal, A.A.; Fayed, H.A.; Mahmoud, M.; Aly, M.H. Reliable FSO System Performance Matching Multi-Lvel Customer needs in Alexandria City, Egypt, Climate: Sandstorm Impact with Pointing Error. Opt. Quantum Electron. 2020, 52, 349. [Google Scholar] [CrossRef]
- Tofsted, D.H.; O’Brien, S.G.; Vaucher, G.T. An Atmospheric Turbulence Profile Model for Use in Army Wargaming Applications I; Army Research Lab White Sands Missile Range NM Computational and Information; Defense Technical Information Center: Fort Belvoir, VA, USA, 2006. [Google Scholar]
- Altowij, K.S.; Alkholidi, A.; Hamam, H. Effect of Clear Atmospheric Turbulence on Quality of Free Space Optical Communications in Yemen. Front. Optoelectron. China 2010, 3, 423–428. [Google Scholar] [CrossRef]
- Shaikh, M.N.; Waqas, A.; Chowdhry, B.S.; Umrani, F.A. Performance and Analysis of FSO Link Availability under Different Weather Conditions in Pakistan. J. Inst. Electr. Electron. Eng. 2012, 76. [Google Scholar]
- Chiyaba, T.K. Analysing the Effect of Visibility and Scintillation on Free Space Optical Communication: A Case of Dodoma and Dar ES Salaam, Tanzania. Ph.D. Thesis, The University of Dodoma, Dodoma, Tanzania, 2018. [Google Scholar]
- Garlinska, M.; Pregowska, A.; Masztalerz, K.; Osial, M. From Mirrors to Free-Space Optical Communication—Historical Aspects in Data Transmission. Future Internet 2020, 12, 179. [Google Scholar] [CrossRef]
- Pang, X.; Ozolins, O.; Zhang, L.; Schatz, R.; Udalcovs, A.; Yu, X.; Jacobsen, G.; Popov, S.; Chen, J.; Lourdudoss, S. Free-Space Communications Enabled by Quantum Cascade Lasers. Phys. Status Solidi A 2021, 218, 2000407. [Google Scholar] [CrossRef]
- Spitz, O.; Didier, P.; Durupt, L.; Baranov, A.N.; Cerutti, L.; Grillot, F. Free-Space Communication with Directly Modulated Mid-Infrared Quantum Cascade Devices. IEEE J. Sel. Top. Quantum Electron. 2022, 28, 1–9. [Google Scholar] [CrossRef]
- Lionis, A.; Peppas, K.; Nistazakis, H.E.; Tsigopoulos, A.D.; Cohn, K. Experimental performance analysis of an optical communication channel over maritime environmen. Electronics 2020, 9, 1109. [Google Scholar] [CrossRef]
- Garlinska, M.; Pregowska, A.; Gutowska, I.; Osial, M.; Szczepanski, J. Experimental Study of the Free Space Optics Communication System Operating in the 8–12 μm Spectral Range. Electronic 2021, 10, 875. [Google Scholar] [CrossRef]
- Wang, Y.; Xu, H.; Li, D.; Wang, R.; Jin, C.; Yin, X.Y.; Gao, S.; Mu, Q.; Zuan, L.; Cao, Z. Performance analysis of an adaptive optics system for free-space optics communication through atmospheric turbulence. Sci. Rep. 2018, 8, 1124. [Google Scholar] [CrossRef]
- Alkholidi, A.; Altowij, K. Effect of Clear Atmospheric Turbulence on Quality of Free space Optical Communications in Western Asia. Opt. Commun. Syst. 2012, 1, 41–72. [Google Scholar]
- Raj, A.A.B.; Selvi, J.A.V.; Durairaj, S. Comparison of Different Models for Ground-Level Atmospheric Turbulence Strength () Prediction with A New Model According to Local Weather Data for FSO Applications. Appl. Opt. 2015, 54, 802–815. [Google Scholar]
- Wilcox, C.C.; Restaino, S.R. A New Method of Generating Atmospheric Turbulence with A Liquid Crystal Sspatial Light Modulator; THI Sone Is: A Chapter in New Development in Liquid Crystals; InTech: Toyama, Toyama, 2009; ISBN 978-953-307-015-5. [Google Scholar]
- Sadot, D.; Kopeika, N.S. Forecasting Optical Turbulence Strength on the Basis of Macroscale Meteorology and Aerosols: Models and Validation. Opt. Eng. 1992, 31, 200–212. [Google Scholar] [CrossRef]
- Bendersky, S.; Kopeika, N.S.; Blaunstein, N. Atmospheric Optical Turbulence over Land in Middle East Coastal Environments: Prediction Modeling and Measurements. Appl. Opt. 2004, 43, 4070–4079. [Google Scholar] [CrossRef] [PubMed]
- Lionis, A.; Peppas, K.; Nistazakis, H.E.; Tsigopoulos, A.; Cohn, K. Statistical Modeling of Received Signal Strength for An FSO Link over Maritime Environment. Opt. Commun. 2021, 489, 126858. [Google Scholar] [CrossRef]
- Wang, H.; Li, B.; Wu, X.; Liu, C.; Hu, Z.; Xu, P. Prediction Model of Atmospheric Refractive Index Structure Parameter in Coastal Area. J. Mod. Opt. 2015, 62, 1336–1346. [Google Scholar] [CrossRef]
- Bendersky, S.; Lilos, E.; Kopeika, N.S.; Blaunstein, N. Modeling and Measurements of Near-Gground Atmospheric Optical Turbulence According to Weather for Middle East Environments. In Proceedings of the SPIE 5612, Electro-Optical and Infrared Systems: Technology and Applications, London, UK, 6 December 2004. [Google Scholar] [CrossRef]
- Jellen, C.; Nelson, C.; Brownell, C.; Burkhardt, J.; Oakley, M. Measurement and Analysis of Atmospheric Optical Turbulence in A Near-Maritime Environment. IOP SciNotes 2020, 1, 024006. [Google Scholar] [CrossRef]
- Porras, R.B. Exponentiated Weibull Fading Channel Model in Free-Space Optical Communications Under Atmospheric Turbulence. Ph.D. Dissertation, Universitat Politecnica de Catalunya, Barcelona, Spain, 2013. [Google Scholar]
- Farid, A.A.; Hranilovic, S. Outage Capacity Optimization for Free-Space Optical Links with Pointing Errors. J. Light. Technol. 2007, 25, 1702–1710. [Google Scholar] [CrossRef]
- Abaza, M.; Mesleh, R.; Mansour, A.; Aggoune, E.-H.M. Relay Selection for Full-Duplex FSO Relays over Turbulent Channels. In Proceedings of the the 16TH IEEE International Symposium on Signal Processing and Information Technology (ISSP 2016), Limassol, Cyprus, 12–14 December 2016. [Google Scholar]
- Saud, M.M.A. Sustainable Land Management for NEOM Region; Springer: Berlin/Heidelberg, Germany, 2020. [Google Scholar]
- Zhangy, M.; Tang, X.; Lin, B.; Ghassemlooy, Z.; Wei, Y. Analysis of Rytov Variance in Free Space Optical Communication under the Weak Turbulence. In Proceedings of the 16th International Conference on Optical Communications and Networks (ICOCN), Wuzhen, China, 7–10 August 2017. [Google Scholar]
- Moradi, H.; Refai, H.H.; LoPresti, P.G. Switched Diversity Aapproach for Multireceiving Optical Wireless Systems. J. Appl. Opt. 2011, 50, 5606–5614. [Google Scholar] [CrossRef]
- Youssef, A.A.; Abaza, M.; Alatawi, A.S. LDPC Decoding Techniques for Free-Space Optical Communications. IEEE Access 2021, 9, 133510–133519. [Google Scholar] [CrossRef]
- Abaza, M.; Mesleh, R.; Mansour, A.; Aggoune, H.M. Performance Analysis of MISO Multi-Hop FSO Links over Log-Normal Channels with Fog and Beam Divergence Attenuations. Opt. Commun. 2015, 334, 247–252. [Google Scholar] [CrossRef]
- Abramowitz, M.; Stegun, I.A.; Romer, R.H. Handbook of Mathematical Functions with Formulas, Graphs, and Mathematical Tables; Dover Publication: Mineola, NY, USA, 1988. [Google Scholar]
- Kiasaleh, K. Performance of APD-based, PPM Free-Sspace Optical Communication Systems in Atmospheric Turbulence. IEEE Trans. Commun. 2005, 53, 1455–1461. [Google Scholar] [CrossRef]
- Safari, M.; Uysal, M. Relay-Assisted Free-Space Optical Communication. IEEE Trans. Wirel. Commun. 2008, 7, 5441–5449. [Google Scholar] [CrossRef]
- Xu, Z.; Xu, G.; Zheng, Z. BER and Channel Capacity Performance of An FSO Communication System over Atmospheric Turbulence with Different Types of Noise. Sensors 2021, 21, 3454. [Google Scholar] [CrossRef] [PubMed]
- Chatzidiamantis, N.D.; Michalopoulos, D.S.; Kriezis, E.E.; Karagiannidis, G.K.; Schober, R. Relay Selection Protocols for Relay-Assisted Free-Space Optical Systems. J. Opt. Commun. Netw. 2013, 5, 92–103. [Google Scholar] [CrossRef]
- Zhangy, M.; Tang, X.; Lin, B.; Ghassemlooy, Z.; Wei, Y. Experimental setup to validate the effects of major environmental parameters on the performance of FSO communication link in Qatar. Appl. Sci. 2018, 8, 2599. [Google Scholar]
- Ali, M.A.; Ali, A. Atmospheric turbulence effect on free space optical communications. Int. J. Emerg. Technol. Comput. Appl. Sci. 2013, 5, 345–351. [Google Scholar]
- Ali, R.N.; Jassim, J.M.; Jasim, K.M.; Jawad, M.K. Experimental study of clear atmospheric turbulence effects on laser beam spreading in free space. Int. J. Appl. Eng. Res. 2017, 12, 14789–14796. [Google Scholar]













| Temporal Hour Interval | W | Temporal Hour Interval | W |
|---|---|---|---|
| Until −4 | 0.11 | 5 to 6 | 1.00 |
| −4 to −3 | 0.11 | 6 to 7 | 0.90 |
| −3 to −2 | 0.07 | 7 to 8 | 0.80 |
| −2 to −1 | 0.08 | 8 to 9 | 0.59 |
| −1 to 0 | 0.06 | 9 to 10 | 0.32 |
| Sunrise 0 to 1 | 0.05 | 10 to 11 | 0.22 |
| 1 to 2 | 0.10 | 11 to 12 | 0.10 |
| 2 to 3 | 0.51 | 12 to 13 | 0.08 |
| 3 to 4 | 0.75 | Over 13 | 0.13 |
| 4 to 5 | 0.95 |
| Season | Year | Turbulence Strength | ||
|---|---|---|---|---|
| Min | Max | |||
| Winter | 2019 | 1.21 | 2.89 | Moderate |
| 2020 | 1.26 | 3.42 | ||
| Summer | 2019 | 3.82 | 5.1 | High |
| 2020 | 4.96 | 5.9 | ||
Publisher’s Note: MDPI stays neutral with regard to jurisdictional claims in published maps and institutional affiliations. |
© 2022 by the authors. Licensee MDPI, Basel, Switzerland. This article is an open access article distributed under the terms and conditions of the Creative Commons Attribution (CC BY) license (https://creativecommons.org/licenses/by/4.0/).
Share and Cite
Alatawi, A.S.; Youssef, A.A.; Abaza, M.; Uddin, M.A.; Mansour, A. Effects of Atmospheric Turbulence on Optical Wireless Communication in NEOM Smart City. Photonics 2022, 9, 262. https://doi.org/10.3390/photonics9040262
Alatawi AS, Youssef AA, Abaza M, Uddin MA, Mansour A. Effects of Atmospheric Turbulence on Optical Wireless Communication in NEOM Smart City. Photonics. 2022; 9(4):262. https://doi.org/10.3390/photonics9040262
Chicago/Turabian StyleAlatawi, Ayshah S., Albashir A. Youssef, Mohamed Abaza, Mohammad Ammad Uddin, and Ali Mansour. 2022. "Effects of Atmospheric Turbulence on Optical Wireless Communication in NEOM Smart City" Photonics 9, no. 4: 262. https://doi.org/10.3390/photonics9040262
APA StyleAlatawi, A. S., Youssef, A. A., Abaza, M., Uddin, M. A., & Mansour, A. (2022). Effects of Atmospheric Turbulence on Optical Wireless Communication in NEOM Smart City. Photonics, 9(4), 262. https://doi.org/10.3390/photonics9040262

