All-Dielectric Metasurface Based on Complementary Split-Ring Resonators for Refractive Index Sensing
Abstract
:1. Introduction
2. Metasurface
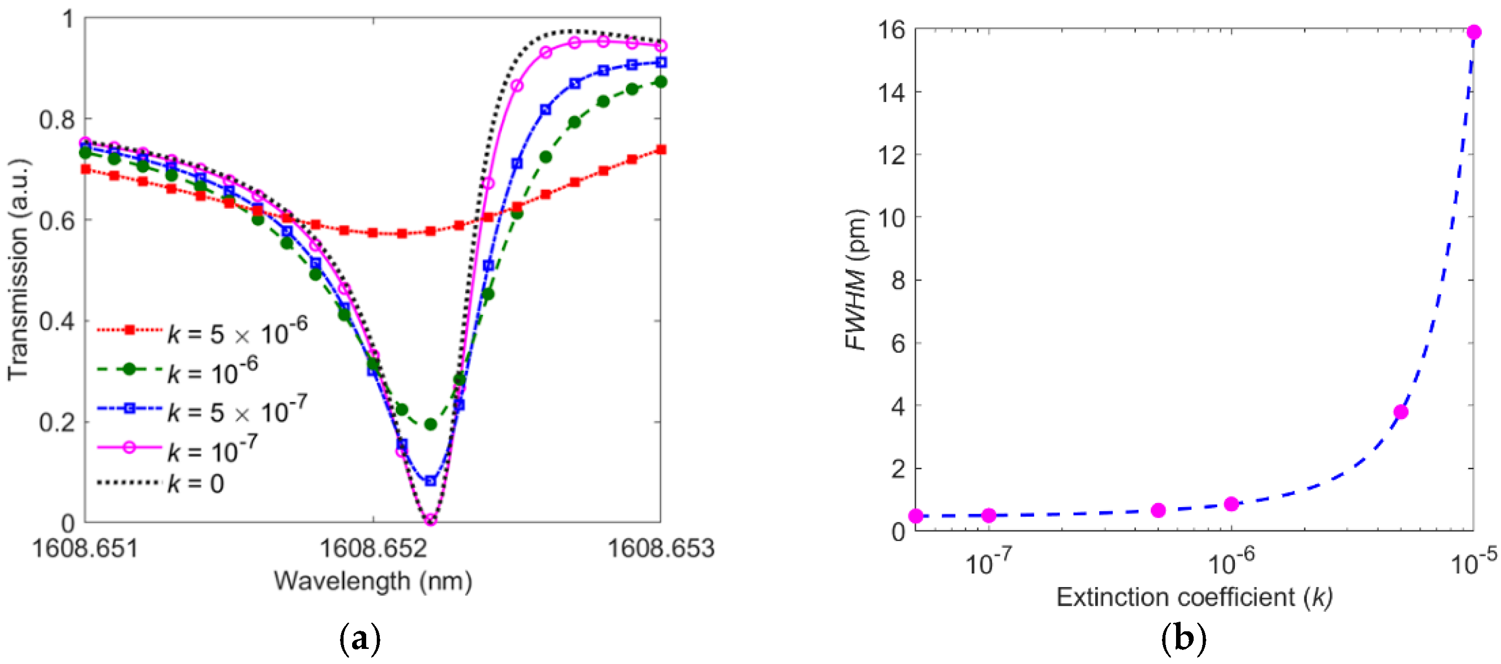
3. Simulation Results
4. Conclusions
Author Contributions
Funding
Institutional Review Board Statement
Informed Consent Statement
Data Availability Statement
Conflicts of Interest
References
- Arnold, S.; Khoshsima, M.; Teraoka, I.; Holler, S.; Vollmer, F. Shift of Whispering-Gallery Modes in Microspheres by Protein Adsorption. Opt. Lett. 2003, 28, 272–274. [Google Scholar] [CrossRef] [PubMed] [Green Version]
- Yalcin, A.; Popat, K.C.; Aldridge, J.C.; Desai, T.A.; Hryniewicz, J.; Chbouki, N.; Little, B.E.; Oliver, K.; Van, V.; Chu, S.; et al. Optical Sensing of Biomolecules Using Microring Resonators. IEEE J. Sel. Top. Quantum Electron. 2006, 12, 148–155. [Google Scholar] [CrossRef]
- Lee, M.R.; Fauchet, P.M. Two-Dimensional Silicon Photonic Crystal Based Biosensing Platform for Protein Detection. Opt. Express 2007, 15, 4530. [Google Scholar] [CrossRef] [PubMed] [Green Version]
- Zhu, H.; White, I.M.; Suter, J.D.; Dale, P.S.; Fan, X. Analysis of Biomolecule Detection with Optofluidic Ring Resonator Sensors. Opt. Express 2007, 15, 9139. [Google Scholar] [CrossRef]
- Homola, J. Surface Plasmon Resonance Sensors for Detection of Chemical and Biological Species. Chem. Rev. 2008, 108, 462–493. [Google Scholar] [CrossRef]
- Spackova, B.; Wrobel, P.; Bockova, M.; Homola, J. Optical Biosensors Based on Plasmonic Nanostructures: A Review. Proc. IEEE 2016, 104, 2380–2408. [Google Scholar] [CrossRef]
- Mayer, K.M.; Hafner, J.H. Localized Surface Plasmon Resonance Sensors. Chem. Rev. 2011, 111, 3828–3857. [Google Scholar] [CrossRef]
- Xu, Y.; Bai, P.; Zhou, X.; Akimov, Y.; Png, C.E.; Ang, L.; Knoll, W.; Wu, L. Optical Refractive Index Sensors with Plasmonic and Photonic Structures: Promising and Inconvenient Truth. Adv. Opt. Mater. 2019, 7, 1801433. [Google Scholar] [CrossRef]
- Chen, H.; Kou, X.; Yang, Z.; Ni, W.; Wang, J. Shape- and Size-Dependent Refractive Index Sensitivity of Gold Nanoparticles. Langmuir 2008, 24, 5233–5237. [Google Scholar] [CrossRef]
- Svedendahl, M.; Chen, S.; Dmitriev, A.; Käll, M. Refractometric Sensing Using Propagating versus Localized Surface Plasmons: A Direct Comparison. Nano Lett. 2009, 9, 4428–4433. [Google Scholar] [CrossRef]
- Shalabney, A.; Abdulhalim, I. Figure-of-Merit Enhancement of Surface Plasmon Resonance Sensors in the Spectral Interrogation. Opt. Lett. 2012, 37, 1175. [Google Scholar] [CrossRef] [PubMed]
- Lodewijks, K.; Van Roy, W.; Borghs, G.; Lagae, L.; Van Dorpe, P. Boosting the Figure-Of-Merit of LSPR-Based Refractive Index Sensing by Phase-Sensitive Measurements. Nano Lett. 2012, 12, 1655–1659. [Google Scholar] [CrossRef] [PubMed] [Green Version]
- Nair, R.V.; Vijaya, R. Photonic Crystal Sensors: An Overview. Prog. Quantum Electron. 2010, 34, 89–134. [Google Scholar] [CrossRef]
- Guo, Y.; Ye, J.Y.; Divin, C.; Huang, B.; Thomas, T.P.; Baker, J.R., Jr.; Norris, T.B. Real-Time Biomolecular Binding Detection Using a Sensitive Photonic Crystal Biosensor. Anal. Chem. 2010, 82, 5211–5218. [Google Scholar] [CrossRef] [Green Version]
- Baker, J.E.; Sriram, R.; Miller, B.L. Two-Dimensional Photonic Crystals for Sensitive Microscale Chemical and Biochemical Sensing. Lab Chip 2015, 15, 971–990. [Google Scholar] [CrossRef] [PubMed] [Green Version]
- Zhang, Y.; Zhao, Y.; Lv, R. A Review for Optical Sensors Based on Photonic Crystal Cavities. Sens. Actuators Phys. 2015, 233, 374–389. [Google Scholar] [CrossRef] [Green Version]
- Baehr-Jones, T.; Hochberg, M.; Walker, C.; Scherer, A. High-Q Ring Resonators in Thin Silicon-on-Insulator. Appl. Phys. Lett. 2004, 85, 3346–3347. [Google Scholar] [CrossRef] [Green Version]
- Ksendzov, A.; Lin, Y. Integrated Optics Ring-Resonator Sensors for Protein Detection. Opt. Lett. 2005, 30, 3344. [Google Scholar] [CrossRef]
- Armani, A.M.; Kulkarni, R.P.; Fraser, S.E.; Flagan, R.C.; Vahala, K.J. Label-Free, Single-Molecule Detection with Optical Microcavities. Science 2007, 317, 783–787. [Google Scholar] [CrossRef] [Green Version]
- Zhu, J.; Ozdemir, S.K.; Xiao, Y.-F.; Li, L.; He, L.; Chen, D.-R.; Yang, L. On-Chip Single Nanoparticle Detection and Sizing by Mode Splitting in an Ultrahigh-Q Microresonator. Nat. Photonics 2010, 4, 46–49. [Google Scholar] [CrossRef]
- Liu, S.-D.; Yang, Z.; Liu, R.-P.; Li, X.-Y. High Sensitivity Localized Surface Plasmon Resonance Sensing Using a Double Split NanoRing Cavity. J. Phys. Chem. C 2011, 115, 24469–24477. [Google Scholar] [CrossRef]
- Fu, Y.H.; Zhang, J.B.; Yu, Y.F.; Luk’yanchuk, B. Generating and Manipulating Higher Order Fano Resonances in Dual-Disk Ring Plasmonic Nanostructures. ACS Nano 2012, 6, 5130–5137. [Google Scholar] [CrossRef] [PubMed]
- Zhang, Q.; Wen, X.; Li, G.; Ruan, Q.; Wang, J.; Xiong, Q. Multiple Magnetic Mode-Based Fano Resonance in Split-Ring Resonator/Disk Nanocavities. ACS Nano 2013, 7, 11071–11078. [Google Scholar] [CrossRef] [PubMed]
- Zhan, Y.; Lei, D.Y.; Li, X.; Maier, S.A. Plasmonic Fano Resonances in Nanohole Quadrumers for Ultra-Sensitive Refractive Index Sensing. Nanoscale 2014, 6, 4705–4715. [Google Scholar] [CrossRef] [PubMed]
- Kildishev, A.V.; Boltasseva, A.; Shalaev, V.M. Planar Photonics with Metasurfaces. Science 2013, 339, 1232009. [Google Scholar] [CrossRef] [Green Version]
- Yu, N.; Capasso, F. Flat Optics with Designer Metasurfaces. Nat. Mater. 2014, 13, 139–150. [Google Scholar] [CrossRef]
- Genevet, P.; Capasso, F.; Aieta, F.; Khorasaninejad, M.; Devlin, R. Recent Advances in Planar Optics: From Plasmonic to Dielectric Metasurfaces. Optica 2017, 4, 139. [Google Scholar] [CrossRef]
- Shen, Z.; Du, M. High-Performance Refractive Index Sensing System Based on Multiple Fano Resonances in Polarization-Insensitive Metasurface with Nanorings. Opt. Express 2021, 29, 28287. [Google Scholar] [CrossRef]
- Romano, S.; Zito, G.; Torino, S.; Calafiore, G.; Penzo, E.; Coppola, G.; Cabrini, S.; Rendina, I.; Mocella, V. Label-Free Sensing of Ultralow-Weight Molecules with All-Dielectric Metasurfaces Supporting Bound States in the Continuum. Photonics Res. 2018, 6, 726. [Google Scholar] [CrossRef]
- Zhang, Y.; Liu, W.; Li, Z.; Li, Z.; Cheng, H.; Chen, S.; Tian, J. High-Quality-Factor Multiple Fano Resonances for Refractive Index Sensing. Opt. Lett. 2018, 43, 1842. [Google Scholar] [CrossRef]
- Algorri, J.; Zografopoulos, D.; Ferraro, A.; García-Cámara, B.; Vergaz, R.; Beccherelli, R.; Sánchez-Pena, J. Anapole Modes in Hollow Nanocuboid Dielectric Metasurfaces for Refractometric Sensing. Nanomaterials 2018, 9, 30. [Google Scholar] [CrossRef] [PubMed] [Green Version]
- Leitis, A.; Tittl, A.; Liu, M.; Lee, B.H.; Gu, M.B.; Kivshar, Y.S.; Altug, H. Angle-Multiplexed All-Dielectric Metasurfaces for Broadband Molecular Fingerprint Retrieval. Sci. Adv. 2019, 5, eaaw2871. [Google Scholar] [CrossRef] [PubMed] [Green Version]
- Su, W.; Ding, Y.; Luo, Y.; Liu, Y. A High Figure of Merit Refractive Index Sensor Based on Fano Resonance in All-Dielectric Metasurface. Results Phys. 2020, 16, 102833. [Google Scholar] [CrossRef]
- Tognazzi, A.; Rocco, D.; Gandolfi, M.; Locatelli, A.; Carletti, L.; De Angelis, C. High Quality Factor Silicon Membrane Metasurface for Intensity-Based Refractive Index Sensing. Optics 2021, 2, 193–199. [Google Scholar] [CrossRef]
- Algorri, J.F.; Dell’Olio, F.; Roldán-Varona, P.; Rodríguez-Cobo, L.; López-Higuera, J.M.; Sánchez-Pena, J.M.; Zografopoulos, D.C. Strongly Resonant Silicon Slot Metasurfaces with Symmetry-Protected Bound States in the Continuum. Opt. Express 2021, 29, 10374. [Google Scholar] [CrossRef]
- Gandolfi, M.; Tognazzi, A.; Rocco, D.; De Angelis, C.; Carletti, L. Near-Unity Third-Harmonic Circular Dichroism Driven by a Quasibound State in the Continuum in Asymmetric Silicon Metasurfaces. Phys. Rev. A 2021, 104, 023524. [Google Scholar] [CrossRef]
- Romano, S.; Zito, G.; Lara Yépez, S.N.; Cabrini, S.; Penzo, E.; Coppola, G.; Rendina, I.; Mocellaark, V. Tuning the Exponential Sensitivity of a Bound-State-in-Continuum Optical Sensor. Opt. Express 2019, 27, 18776. [Google Scholar] [CrossRef]
- Algorri, J.F.; Dell’Olio, F.; Roldán-Varona, P.; Rodríguez-Cobo, L.; López-Higuera, J.M.; Sánchez-Pena, J.M.; Dmitriev, V.; Zografopoulos, D.C. Analogue of Electromagnetically Induced Transparency in Square Slotted Silicon Metasurfaces Supporting Bound States in the Continuum. Opt. Express 2022, 30, 4615. [Google Scholar] [CrossRef]
- Green, M.A. Self-Consistent Optical Parameters of Intrinsic Silicon at 300K Including Temperature Coefficients. Sol. Energy Mater. Sol. Cells 2008, 92, 1305–1310. [Google Scholar] [CrossRef]
- Altissimo, M. E-Beam Lithography for Micro-/Nanofabrication. Biomicrofluidics 2010, 4, 026503. [Google Scholar] [CrossRef] [Green Version]
- Pitruzzello, G.; Krauss, T.F. Photonic Crystal Resonances for Sensing and Imaging. J. Opt. 2018, 20, 073004. [Google Scholar] [CrossRef]
- Scheurich, S.; Belle, S.; Hellmann, R.; So, S.; Sparrow, I.J.G.; Emmerson, G. Application of a Silica-on-Silicon Planar Optical Waveguide Bragg Grating Sensor for Organic Liquid Compound Detection; Baldini, F., Homola, J., Lieberman, R.A., Eds.; International Society for Optics and Photonics: Prague, Czech Republic, 2009; p. 73561B. [Google Scholar]
- Peli, S.; Ronchi, A.; Bianchetti, G.; Rossella, F.; Giannetti, C.; Chiari, M.; Pingue, P.; Banfi, F.; Ferrini, G. Optical and Mechanical Properties of Streptavidin-Conjugated Gold Nanospheres through Data Mining Techniques. Sci. Rep. 2020, 10, 16230. [Google Scholar] [CrossRef] [PubMed]
- Ronchi, A.; Sterzi, A.; Gandolfi, M.; Belarouci, A.; Giannetti, C.; Fatti, N.D.; Banfi, F.; Ferrini, G. Discrimination of Nano-Objects via Cluster Analysis Techniques Applied to Time-Resolved Thermo-Acoustic Microscopy. Ultrasonics 2021, 114, 106403. [Google Scholar] [CrossRef] [PubMed]




Publisher’s Note: MDPI stays neutral with regard to jurisdictional claims in published maps and institutional affiliations. |
© 2022 by the authors. Licensee MDPI, Basel, Switzerland. This article is an open access article distributed under the terms and conditions of the Creative Commons Attribution (CC BY) license (https://creativecommons.org/licenses/by/4.0/).
Share and Cite
Samadi, M.; Abshari, F.; Algorri, J.F.; Roldán-Varona, P.; Rodríguez-Cobo, L.; López-Higuera, J.M.; Sánchez-Pena, J.M.; Zografopoulos, D.C.; Dell’Olio, F. All-Dielectric Metasurface Based on Complementary Split-Ring Resonators for Refractive Index Sensing. Photonics 2022, 9, 130. https://doi.org/10.3390/photonics9030130
Samadi M, Abshari F, Algorri JF, Roldán-Varona P, Rodríguez-Cobo L, López-Higuera JM, Sánchez-Pena JM, Zografopoulos DC, Dell’Olio F. All-Dielectric Metasurface Based on Complementary Split-Ring Resonators for Refractive Index Sensing. Photonics. 2022; 9(3):130. https://doi.org/10.3390/photonics9030130
Chicago/Turabian StyleSamadi, Mohsen, Fatemeh Abshari, José F. Algorri, Pablo Roldán-Varona, Luis Rodríguez-Cobo, José M. López-Higuera, José M. Sánchez-Pena, Dimitrios C. Zografopoulos, and Francesco Dell’Olio. 2022. "All-Dielectric Metasurface Based on Complementary Split-Ring Resonators for Refractive Index Sensing" Photonics 9, no. 3: 130. https://doi.org/10.3390/photonics9030130
APA StyleSamadi, M., Abshari, F., Algorri, J. F., Roldán-Varona, P., Rodríguez-Cobo, L., López-Higuera, J. M., Sánchez-Pena, J. M., Zografopoulos, D. C., & Dell’Olio, F. (2022). All-Dielectric Metasurface Based on Complementary Split-Ring Resonators for Refractive Index Sensing. Photonics, 9(3), 130. https://doi.org/10.3390/photonics9030130

